Chemotherapeutic Efficacy of Implantable Antineoplastic-Treatment Protocols in an Optimal Mouse Model for Human Ovarian Carcinoma Cell Targeting
Abstract
1. Introduction
2. Results
2.1. Mechanism of Synthesis of the Anti-MUC16 MTX-Loaded Nanomicelles
2.1.1. Analysis of the Molecular Structure Integrity of the Functionalized Nanocomposite
2.1.2. Analysis of the Thermal Features of the Drug-Free and MTX-Loaded PNIPAAm-b-PASP Nanomicelles
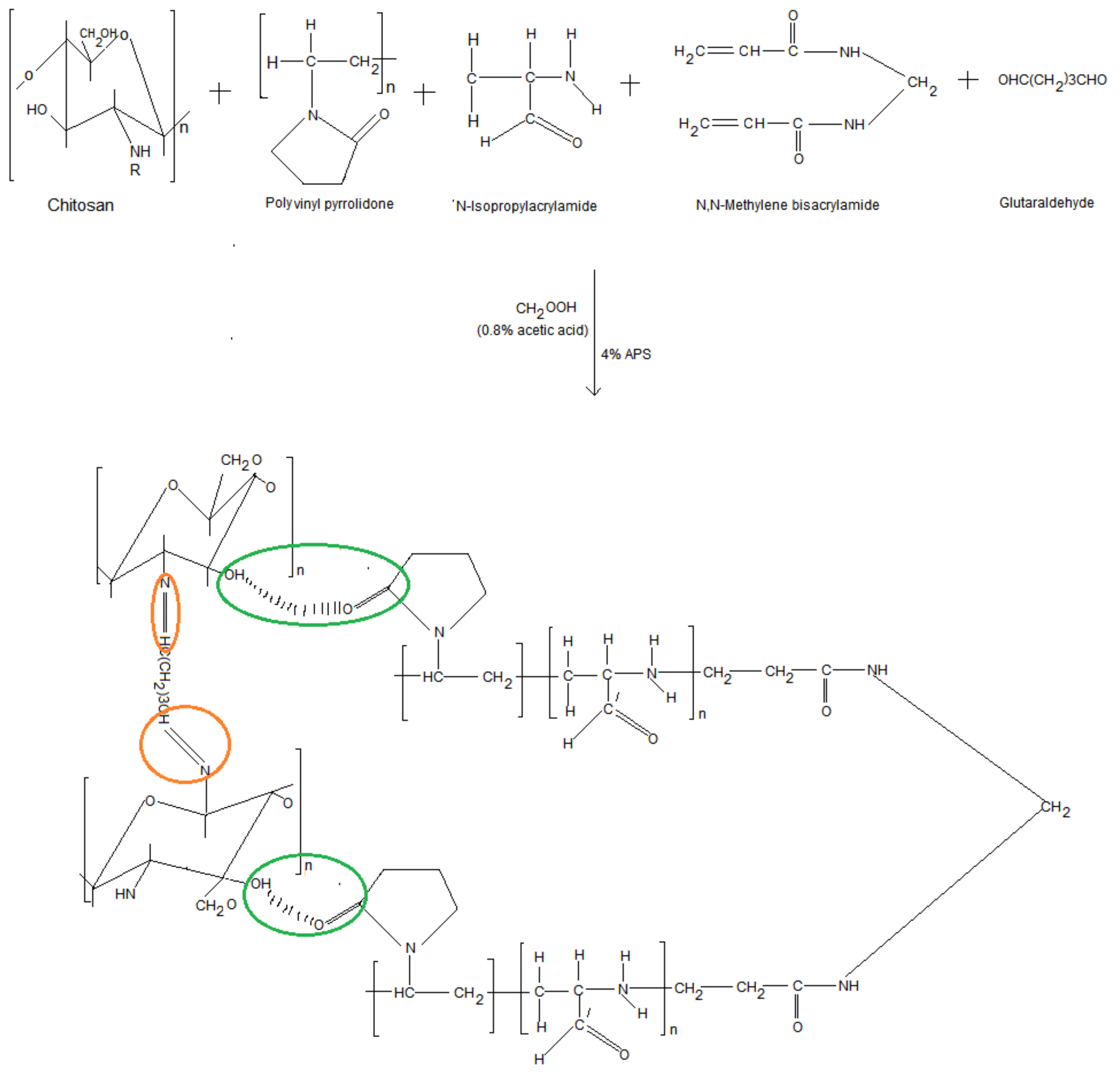
2.2. Synthesis and Characterization of Chitosan-Poly(N-Vinylpyrrolidone)-Poly(N-Isopropylacrylamide) (C–P–N) Hydrogel
2.3. Characterization of the In Situ Forming Implant (ISFI)
2.3.1. Assessment of the Gelation Temperature Using Oscillatory Rheology
2.3.2. Morphological Characterization of the ISFI
2.4. In Vivo Studies in the Athymic-Nude Mice Model
2.4.1. Induction of Human Ovarian Carcinoma in Athymic Swiss Nude Mice
2.4.2. Chemotherapeutic Efficacy in the Treatment of Human Ovarian Carcinoma
2.4.3. Tumor Size
2.4.4. Whole Mouse Weight
2.4.5. Quantification of Plasma and Ascitic Fluid MUC16/CA125 Antigen Levels
2.4.6. IP-Tumor Histopathology
2.4.7. Liver Histopathology
2.4.8. Renal Histopathology
2.4.9. Immunohistochemistry (IHC)
2.4.10. MUC16/CA125 IHC Analysis on Formalin-Fixed, Paraffin-Embedded (FFPE) Epithelial Ovarian Cancer (EOC) Tissue Sections
2.4.11. Mechanism of Intraperitoneal ISFI Delivery for Human Ovarian Carcinoma Targeting
3. Discussion
4. Materials and Methods
4.1. Materials
4.2. Anti-MUC16 Functionalized MTX-Loaded NanoComposite Preparation
4.2.1. Synthesis of PNIPAAm-b-PAS for NanoComposite Formulation
4.2.2. Preparation of the MTX-Loaded NanoComposite
4.2.3. Evaluation of the Molecular Structural Integrity of the Functionalized Nanomicelles
4.2.4. Differential Scanning Calorimetry for Elucidation of the Thermal Events of the Methotrexate-Loaded Nanomicelles
4.3. Chitosan-PVP-PNIPAAm (C–P–N) Hydrogel Synthesis
4.3.1. Nuclear Magnetic Resonance (NMR) Spectroscopic Analysis
4.3.2. Determination of Polymeric Structural Variations
4.4. Preparation of Bio-Responsive IPN Nanomicelle/Hydrogel Composite Based Implant (ISFI)
4.4.1. Determination of the Gelation Temperature of the Polymeric ISFI Utilizing Oscillatory Rheology
4.4.2. Morphological Characterization of the ISFI
4.5. In Vivo Studies in the Swiss Athymic-Nude Mice Model
4.5.1. Mouse Model
4.5.2. In Vitro Cell Culture
4.5.3. Induction of Human Ovarian Carcinoma in Swiss Athymic Nude Mice—Pre-Treatment Phase
4.5.4. IP-Inoculated Mice
4.5.5. Experimental Design
4.5.6. Chemotherapeutic Efficacy Studies in EOC-Inoculated Nude (NU/NU) Mice
4.5.7. Quantification of MUC16/CA125 Levels in Plasma and Ascitic Fluid
4.5.8. Histopathology and IHC
4.5.9. Immunohistochemical Quantification of MUC16/CA125 Antigens in FFPE Tissue Sections
4.5.10. Experimental Data Statistical Analysis
5. Conclusions
Supplementary Materials
Author Contributions
Acknowledgments
Conflicts of Interest
References
- Whitehouse, C.; Solomon, E. Current status of the molecular characterization of the ovarian cancer antigen CA125 and implications for its use in clinical screening. J. Gynecol. Oncol. 2003, 88, 152–157. [Google Scholar] [CrossRef]
- Wang, L.; Chen, H.; Pourgholami, M.H.; Beretov, J.; Hao, J. Anti-MUC1 Monoclonal Antibody (C595) and Docetaxel Markedly Reduce Tumor Burden and Ascites, and Prolong Survival in an in vivo Ovarian Cancer Model. J. Comb. Ther. Hum. Ovarian Cancer 2011, 6, e24405. [Google Scholar] [CrossRef] [PubMed]
- Cho, H.; Lai, T.C.; Kwon, G.S. Poly (ethylene glycol)-block-poly(ε-caprolactone) micelles for combination drug delivery: Evaluation of paclitaxel, cyclopamine and gossypol in intraperitoneal xenograft models of ovarian cancer. J. Control. Release 2013, 166, 1–9. [Google Scholar] [CrossRef] [PubMed]
- Sawant, R.R.; Jhaveri, A.M.; Torchilin, V.P.; Jhaveri, A.M.; Torchilin, V.P. Immunomicelles for advancing personalized therapy. Adv. Drug Deliv. Rev. 2012, 64, 1436–1446. [Google Scholar] [CrossRef] [PubMed]
- Song, H.; He, R.; Wang, K.; Ruan, J.; Bao, C.; Li, N.; Ji, J.; Cui, D. Anti-HIF-1a antibody-conjugated pluronic triblock copolymers encapsulated with Paclitaxel for tumor targeting therapy. Biomaterials 2010, 31, 2302–2312. [Google Scholar] [CrossRef] [PubMed]
- William, W.N., Jr.; Heymach, J.V.; Kim, E.S.; Lippman, S.M. Molecular targets for cancer chemoprevention. Nat. Rev. Drug Discov. 2009, 8, 213–225. [Google Scholar] [CrossRef] [PubMed]
- Wang, Y.Z.; Li, Y.J.; Han, L.M.; Sha, X.Y.; Fang, X.L. Difunctional Pluronic copolymer micelles for paclitaxel delivery: Synergistic effect of folate-mediated targeting and Pluronic-mediated overcoming multidrug resistance in tumor cell lines. Int. J. Pharm. 2007, 337, 63–73. [Google Scholar] [CrossRef] [PubMed]
- Batrakova, E.V.; Li, S.; Li, Y.L.; Alakhov, V.Y.; Elmquist, W.F.; Kabanov, A.V. Ditribution kinetics of a micelle-forming block copolymer Pluronic P85. J. Control. Release 2010, 100, 389–397. [Google Scholar] [CrossRef] [PubMed]
- Xie, J.; Lee, S.; Chen, X. Nanoparticle-based theranostic agents. Adv. Drug Deliv. Rev. 2010, 62, 1064–1079. [Google Scholar] [CrossRef] [PubMed]
- Torchilin, V.P. PEG-based micelles as carriers of contrast agents for different imaging modalities. Adv. Drug Deliv. Rev. 2002, 54, 235–252. [Google Scholar] [CrossRef]
- Jager, K.; Wu, G.; Sel, S.; Garreis, F.; Brauer, L.; Paulsen, F.P. MUC16 in the lacrimal apparatus. Histochem. Cell Biol. 2007, 127, 433–438. [Google Scholar] [CrossRef] [PubMed]
- Felder, M.; Arvinder Kapur, A.; Gonzalez-Bosquet, J.; Horibata, S.; Heintz, J.; Albrecht, R.; Fass, L.; Kaur, J.; Hu, K.; Shojaei, H.; et al. MUC16 (CA125): Tumor biomarker to cancer therapy, a work in progress. J. Mol. Cancer 2014, 13, 129. [Google Scholar] [CrossRef] [PubMed]
- Teicher, B.A. Antibody-Drug Conjugate Targets. Curr. Cancer Drug Targets 2009, 9, 982–1004. [Google Scholar] [CrossRef] [PubMed]
- Bast, R.C.; Klug, T.L.; St John, E.; Jenison, E.; Niloff, J.M. A radioimmunoassay using a monoclonal antibody to monitor the course of epithelial ovarian cancer. N. Engl. J. Med. 1983, 309, 883–887. [Google Scholar] [CrossRef] [PubMed]
- Díaz, M.R.; Vivas-Mejia, P.E. Nanoparticles as Drug Delivery Systems in Cancer Medicine: Emphasis on RNAi-Containing Nanoliposomes. J. Pharm. 2013, 6, 1361–1380. [Google Scholar] [CrossRef] [PubMed]
- Babu, A.; Templeton, A.K.; Munshi, A.; Ramesh, R. Nanoparticle-Based Drug Delivery for Therapy of Lung Cancer: Progress and Challenges. J. Nanomater. 2013, 2013, 14. [Google Scholar] [CrossRef]
- Ma, D.; Zhang, H.; Tua, K.; Zhang, L. Novel supramolecular hydrogel/micelle composite for co-delivery of anticancer drug and growth factor. Soft Matter 2012, 8, 3665–3672. [Google Scholar] [CrossRef]
- Lee, S.C.; Chang, Y.; Yoon, J.S.; Kim, C.; Kwon, I.C.; Kim, Y.H.; Jeong, S.J. Synthesis and Micellar Characterization of Amphiphilic Diblock Copolymers Based on Poly(2-ethyl-2-oxazoline) and Aliphatic Polyesters. Macromolecules 1999, 32, 1847–1852. [Google Scholar] [CrossRef]
- Hamilton, T.C.; Robert, C.; Young Karen, G.; Louie Brent, C.; Wilma BMMcKoy, R.G.; Ozols, R.F. Characterization of a Xenograft Model of Human Ovarian Carcinoma Which Produces Ascites and Intraabdominal Carcinomatosis in Mice. Cancer Res. 1984, 44, 5286–5290. [Google Scholar] [PubMed]
- Abolmaali, S.S.; Tamaddon, A.M.; Dinarvand, R. A review of therapeutic challenges and achievements of methotrexate delivery systems for treatment of cancer and rheumatoid arthritis. Cancer Chemother. Pharmacol. 2013, 71, 1115–1130. [Google Scholar] [CrossRef] [PubMed]
- Bastakoti, B.P.; Wu, K.C.W.; Inoue, M.; Yusa, S.; Nakashima, K.; Yamauchi, Y. Multifunctional Core-Shell-Corona-Type Polymeric Micelles for Anticancer Drug-Delivery and Imaging. Chem. Eur. J. 2013, 19, 4812–4817. [Google Scholar] [CrossRef] [PubMed]
- Zhang, W.; Shi, Y.; Chen, Y.Z.; Yu, S.Y.; Hao, J.G.; Luo, J.Q.; Sha, S.; Fang, X. Enhanced antitumor efficacy by Paclitaxel-loaded Pluronic P123/F127 mixed micelles against nonsmall cell lung cancer based on passive tumor targeting and modulation of drug resistance. Eur. J. Pharm. Biopharm. 2010, 75, 341–353. [Google Scholar] [CrossRef] [PubMed]
- Weers, J.G.; Scheuing, D.R. Characterization of viscoelastic surfactant mixtures, I: Fourier transform infrared spectroscopic studies. Colloid. Surf. B 1991, 55, 41–56. [Google Scholar]
- Rimmer, S.; Carter, S.; Rutkaite, R.; Haycock, J.W.; Swanson, L. Highly branched poly-(N-isopropylacrylamide)s with arginine–glycine–aspartic acid (RGD)- or COOH-chain ends that form sub-micron stimulus-responsive particles above the critical solution temperature. J. Soft Matter 2007, 3, 971–973. [Google Scholar] [CrossRef]
- Lin, J.; Li, Y.; Li, Y.; Cui, F.; Yu, F.; Wu, H.; Xie, L.; Luo, F.; Hou, Z.; Lin, C. Self-targeted, bacillus-shaped, and controlled-release methotrexate prodrug polymeric nanoparticles for intratumoral administration with improved therapeutic efficacy in tumor-bearing mice. J. Mater. Chem. B 2015, 3, 7707–7717. [Google Scholar] [CrossRef]
- Pisano, C.; Vesci, L.; Foderà, R.; Ferrara, F.F.; Rossi, C.; De Cesare, M.; Zuco, V.; Pratesi, G.; Supino, R.; Zunino, F. Antitumor activity of the combination of synthetic retinoid ST1926 and cisplatin in ovarian carcinoma models. Ann. Oncol. 2007, 18, 1500–1505. [Google Scholar] [CrossRef] [PubMed]
- Daman, Z.; Ostad, S.N.; Amini, M.; Gilani, K. Preparation, optimization and in vitro characterization of stearoyl-gemcitabine polymeric micelles: A comparison with its self-assembled nanoparticles. Int. J. Pharm. 2014, 468, 142–151. [Google Scholar] [CrossRef] [PubMed]
- Pantshwa, J.; Choonara, Y.E.; Kumar, P.; du Toit, L.C.; Penny, C.; Pillay, V. Synthesis of novel amphiphilic poly(N-isopropylacrylamide)-b-poly(aspartic acid) nanomicelles for potential targeted chemotherapy in ovarian cancer. J. Drug Deliv. Sci. Technol. 2017, 39, 308–323. [Google Scholar] [CrossRef]
- Wei, Z.; Hao, J.; Yuan, S.; Li, Y.; Juan, W.; Sha, X.; Fang, X. Paclitaxel-loaded Pluronic P123/F127 mixed polymeric micelles: Formulation, optimization and in vitro characterization. Int. J. Pharm. 2009, 376, 176–185. [Google Scholar] [CrossRef] [PubMed]
- Bae, Y.; Nishiyama, N.; Kataoka, K. In vivo antitumor activity of the folate conjugated pH-sensitive polymeric micelle selectively releasing adrinamycin in the intracellular acidic compartments. Bioconj. Chem. 2007, 18, 1131–1139. [Google Scholar] [CrossRef] [PubMed]
- Connolly, D.C. Animal Models of Ovarian Cancer. In Ovarian Cancer, Cancer Treatment and Research; Stack, M.S., Fishman, D.A., Eds.; Fox Chase Cancer Center: Philadelphia, PA, USA, 2009; Volume 149. [Google Scholar]
- Orsulic, S.; Li, Y.; Soslow, R.A.; Vitale-Cross, L.A.; Gutkind, J.S.; Varmus, H.E. Induction of ovarian cancer by defined multiple geneticchanges in a mouse model system. Cancer Cell 2002, 1, 53–62. [Google Scholar] [CrossRef]
- Roberts, D.; Williams, S.J.; Cvetkovic, D.; Weinstein, J.K.; Godwin, A.K.; Johnson, S.W.; Hamilton, T.C. Decreased expression of retinolbindingproteins is associated with malignant transformationof the ovarian surface epithelium. DNA Cell Biol. 2002, 21, 11–19. [Google Scholar] [CrossRef] [PubMed]
- Vendramini-Costa, D.B.; Castro, I.B.D.; Ruiz, A.L.T.G. Effect of goniothalamin on the development of Ehrlich solid tumor in mice. Bioorg. Med. Chem. 2008, 18, 6742–6747. [Google Scholar] [CrossRef] [PubMed]
- Kievit, E.; Van Gog, F.B.; Schluper, H.M.M.; Van Dongen, G.A.M.S.; Herbert, M.; Pinedo, H.M.; Boven, E. Comparison of the biodistribution and the efficacy of monoclonal antibody labeled with either 131I or 186Re in human ovarian cancer xenografts. Int. J. Radiat. Oncol. Biol. Phys. 1997, 38, 813–823. [Google Scholar] [CrossRef]
- Qiao, P.; Niu, Q.; Wang, Z.; Cao, D. Synthesis of thermosensitive micelles based on poly(N-isopropylacrylamide) and poly(l-alanine) for controlled release of adriamycin. J. Chem. Eng. 2010, 159, 257–263. [Google Scholar] [CrossRef]
- Rump, A.; Morikawa, Y.; Tanaka, M.; Minami, S.; Umesak, N.; Takeuchi, M.; Miyajima, A. Binding of ovarian cancer antigen CA125/MUC16 to mesothelin mediates cell adhesion. J. Biol. Chem. 2004, 279, 9190–9198. [Google Scholar] [CrossRef] [PubMed]
- Gubbels, J.A.; Belisle, J.; Onda, M.; Rancourt, C.; Migneault, M.; Ho, M.; Bera, T.K.; Connor, J.; Sathyanarayana, B.K.; Lee, B.; et al. Mesothelin-MUC16 binding is a high affinity, N-glycan dependent interaction that facilitates peritoneal metastasis of ovarian tumors. Mol. Cancer 2006, 5, 50. [Google Scholar] [CrossRef] [PubMed]
- Tamada, Y.; Takeuchi, H.; Suzuki, N.; Susumu, N.; Aoki, D.; Irimura, T. Biological and therapeutic significance of MUC1 with sialoglycans in clear cell adenocarcinoma of the ovary. Cancer Sci. 2007, 98, 1586–1591. [Google Scholar] [CrossRef] [PubMed]
- Gulley, J.L.; Arlen, P.M.; Tsang, K.Y.; Yokokawa, J.; Palena, C. Pilot study of vaccination with recombinant CEA-MUC-1-TRICOM poxviral-based vaccines in patients with metastatic carcinoma. Clin. Cancer Res. 2008, 14, 3060–3069. [Google Scholar] [CrossRef] [PubMed]
- Oei, A.L.; Moreno, M.; Verheijen, R.H.; Sweep, F.C.; Thomas, C.M. Induction of IgG antibodies to MUC1 and survival in patients with epithelial ovarian cancer. Int. J. Cancer 2008, 123, 1848–1853. [Google Scholar] [CrossRef] [PubMed]














© 2018 by the authors. Licensee MDPI, Basel, Switzerland. This article is an open access article distributed under the terms and conditions of the Creative Commons Attribution (CC BY) license (http://creativecommons.org/licenses/by/4.0/).
Share and Cite
Pantshwa, J.M.; Rhoda, K.; Clift, S.J.; Pradeep, P.; Choonara, Y.E.; Kumar, P.; Du Toit, L.C.; Penny, C.; Pillay, V. Chemotherapeutic Efficacy of Implantable Antineoplastic-Treatment Protocols in an Optimal Mouse Model for Human Ovarian Carcinoma Cell Targeting. Int. J. Mol. Sci. 2018, 19, 3030. https://doi.org/10.3390/ijms19103030
Pantshwa JM, Rhoda K, Clift SJ, Pradeep P, Choonara YE, Kumar P, Du Toit LC, Penny C, Pillay V. Chemotherapeutic Efficacy of Implantable Antineoplastic-Treatment Protocols in an Optimal Mouse Model for Human Ovarian Carcinoma Cell Targeting. International Journal of Molecular Sciences. 2018; 19(10):3030. https://doi.org/10.3390/ijms19103030
Chicago/Turabian StylePantshwa, Jonathan M., Khadija Rhoda, Sarah J. Clift, Priyamvada Pradeep, Yahya E. Choonara, Pradeep Kumar, Lisa C. Du Toit, Clement Penny, and Viness Pillay. 2018. "Chemotherapeutic Efficacy of Implantable Antineoplastic-Treatment Protocols in an Optimal Mouse Model for Human Ovarian Carcinoma Cell Targeting" International Journal of Molecular Sciences 19, no. 10: 3030. https://doi.org/10.3390/ijms19103030
APA StylePantshwa, J. M., Rhoda, K., Clift, S. J., Pradeep, P., Choonara, Y. E., Kumar, P., Du Toit, L. C., Penny, C., & Pillay, V. (2018). Chemotherapeutic Efficacy of Implantable Antineoplastic-Treatment Protocols in an Optimal Mouse Model for Human Ovarian Carcinoma Cell Targeting. International Journal of Molecular Sciences, 19(10), 3030. https://doi.org/10.3390/ijms19103030

