Two New Quinochalcone C-Glycosides from the Florets of Carthamus tinctorius
Abstract
:1. Introduction

2. Results and Discussion
2.1. Results
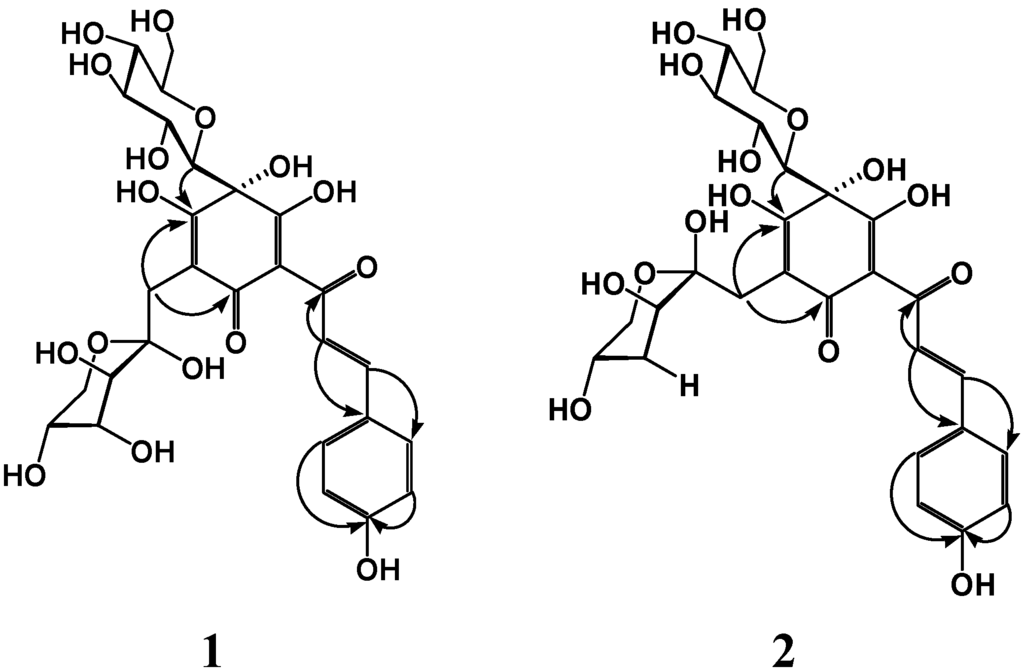
| No. | 1 | 2 | ||
|---|---|---|---|---|
| δC (a) | δH (b) (Mult) | δC (a) | δH (a) (Mult) | |
| 1 | 190.9 | - | 191.5 | - |
| 2 | 106.4 | - | 106.2 | - |
| 3 | 197.0 | 18.23 br s (OH) | 196.6 | - |
| 4 | 85.6 | 4.83 br s (OH) | 85.4 | - |
| 5 | 185.6 | - | 184.8 | - |
| 6 | 99.7 | - | 99.9 | - |
| 7 | 179.7 | - | 180.4 | - |
| 8 | 120.3 | 7.28 d (15.5) | 120.7 | 7.29 d (15.5) |
| 9 | 140.5 | 7.45 d (15.5) | 140.2 | 7.33 d (15.5) |
| 1' | 127.9 | - | 127.9 | - |
| 2', 6' | 130.4 | 7.43 d (8.5) | 130.3 | 7.46 d (8.5) |
| 3', 5' | 116.0 | 6.82 (8.5) | 115.9 | 6.83 d (8.5) |
| 4' | 157.7 | 9.82 br s (OH) | 157.6 | - |
| 1" | 84.9 | 3.79 overlap | 84.9 | 3.82 overlap |
| 2" | 68.5 | 3.32 m | 68.2 | 3.34 m |
| 3" | 77.6 | 3.31 m | 77.5 | 3.32 m |
| 4" | 71.1 | 3.58 m | 71.3 | 3.56 m |
| 5" | 79.1 | 3.20 m | 78.7 | 3.30 m |
| 6" | 59.6 | 3.76 m 3.68 m | 59.6 | 3.77 m 3.68 m |
| 1''' | 30.2 | 31.2 | ||
| 2.64 d (14.5) | 2.68 d (14.5) | |||
| 2''' | 101.0 | - | 100.2 | - |
| 3''' | 70.7 | 3.71 m | 69.5 | 3.74 m |
| 4''' | 69.3 | 3.52 m | 69.3 | 3.85 m |
| 5''' | 66.3 | 3.75 m | 69.1 | 3.50 m |
| 6''' | 62.5 | 3.63 m 3.50 m | 63.2 | 3.81 m 3.48 m |



2.2. Discussion
3. Experimental Section
3.1. General Experimental Procedures
3.2. Plant Material
3.3. Extraction and Isolation
3.3.1. Hydroxysafflor Yellow B (1)
3.3.2. Hydroxysafflor Yellow C (2)
3.3.3. Supplementary Files
3.4. Biological Assay
3.4.1. Cell Culture
3.4.2. Cell Viability Test
3.4.3. Statistical Analysis
3.4.4. Sample Availability
4. Conclusions
Supplementary Materials
Supplementary Files
Supplementary File 1Acknowledgments
Author Contributions
Conflicts of Interest
References
- Zheng, H.Z.; Dong, Z.H.; She, J. Modern Study of Traditional Chinese Medicine; Xue Yuan Press: Beijing, China, 1998. [Google Scholar]
- Yue, S.J.; Tang, Y.P.; Li, S.J.; Duan, J.A. Chemical and biological properties of quinochalcone C-glycosides from the florets of Carthamus tinctorius. Molecules 2013, 18, 15220–15254. [Google Scholar] [CrossRef]
- Yue, S.J.; Tang, Y.P.; Wang, L.Y.; Tang, H.; Li, S.J.; Liu, P.; Su, S.L.; Duan, J.A. Separation and evaluation of antioxidant constituents from Carthamus tinctorius. Zhongguo Zhong Yao Za Zhi 2014, in press (in Chinese). [Google Scholar]
- Feng, Z.M.; He, J.; Jiang, J.S.; Chen, Z.; Yang, Y.N.; Zhang, P.C. NMR solution structure study of the representative component hydroxysafflor yellow A and other quinochalcone C-glycosides from flowers of Carthamus tinctorius. J. Nat. Prod. 2012, 17, 14918–14927. [Google Scholar]
- Jamróz, M.K.; Paradowska, K.; Zawada, K.; Makarova, K.; Kaźmierski, S.; Wawer, I. 1H- and 13C-NMR-based sugar profiling with chemometric analysis and antioxidant activity of herbhoneys and honeys. J. Sci. Food Agric. 2014, 94, 246–255. [Google Scholar] [CrossRef]
- Kumazawa, T.; Chiba, M.; Matsuba, S.; Sato, S.; Onodera, J. The conversion of 3-C-β-d-galactopyranosyl phloroacetophenone to a spiroketal derivative. Carbohydr. Res. 2000, 328, 599–603. [Google Scholar] [CrossRef]
- Sato, S.; Kumazawa, T.; Watanabe, H.; Takayanagi, K.; Matsuba, S.; Onodera, J.; Obara, H.; Furuhata, K. Synthesis of carthamin acetate, the red pigment in safflower petals. Chem. Lett. 2001, 30, 1318–1319. [Google Scholar] [CrossRef]
- Kite, G.C.; Porter, E.A.; Denison, F.C.; Grayer, R.J.; Veitch, N.C.; Butler, I.; Simmonds, M.S. Data-directed scan sequence for the general assignment of C-glycosylflavone O-glycosides in plant extracts by liquid chromatography-ion trap mass spectrometry. J. Chromatogr. A 2006, 1104, 123–131. [Google Scholar]
- Waridel, P.; Wolfender, J.L.; Ndjoko, K.; Hobby, K.R.; Major, H.J.; Hostettmann, K. Evaluation of quadrupole time-of-flight tandem mass spectrometry and ion-trap multiple-stage mass spectrometry for the differentiation of C-glycosidic flavonoid isomers. J. Chromatogr. A 2001, 926, 29–41. [Google Scholar] [CrossRef]
- Ye, M.; Yan, Y.; Guo, D.A. Characterization of phenolic compounds in the Chinese herbal drug Tu-Si-Zi by liquid chromatography coupled to electrospray ionization mass spectrometry. Rapid Commun. Mass Spectrom. 2005, 19, 1469–1484. [Google Scholar] [CrossRef]
- Jin, Y.; Zhang, X.L.; Shi, H.; Xiao, Y.S.; Ke, Y.X.; Xue, X.Y.; Zhang, F.F.; Liang, X.M. Characterization of C-glycosyl quinochalcones in Carthamus tinctorius L. by ultraperformance liquid chromatography coupled with quadrupole-time-of-flight mass spectrometry. Rapid Commun. Mass Spectrom. 2008, 22, 1275–1287. [Google Scholar]
- Onodera, J.I.; Obara, H.; Hirose, R.; Matsuba, S. The structure of safflomin C, a constituent of safflower. Chem. Lett. 1989, 18, 1571–1574. [Google Scholar] [CrossRef]
- Jiang, J.S.; Chen, Z.; Yang, Y.N.; Feng, Z.M.; Zhang, P.C. Two new glycosides from the florerts of Carthamus tinctorius. J. Asian Nat. Prod. Res. 2013, 15, 427–432. [Google Scholar] [CrossRef]
- Zhou, Y.Z.; Chen, H.; Qiao, L.; Xu, N.; Cao, J.Q.; Pei, Y.H. Two new compounds from Carthamus tinctorius. J. Asian Nat. Prod. Res. 2008, 5, 429–433. [Google Scholar] [CrossRef]
- Bermúdez, C.; Peňa, I.; Cabezas, C.; Daly, A.M.; Alonso, J.L. Unveiling the sweet conformations of d-fructopyranose. ChemPhysChem 2013, 14, 893–895. [Google Scholar] [CrossRef]
- Ryter, S.W.; Kim, H.P.; Hoetzel, A.; Park, J.W.; Nakahira, K.; Wang, X.; Choi, A.M. Mechanisms of cell death in oxidative stress. Antioxid. Redox Signal. 2007, 9, 49–89. [Google Scholar]
- Hescheler, J.; Meyer, R.; Plant, S.; Krautwurst, D.; Rosenthal, W.; Schultz, G. Morphological, biochemical, and electrophysiological characterization of a clonal cell (H9c2) line from rat heart. Circ. Res. 1992, 69, 1476–1486. [Google Scholar]
- Sun, X.; Sun, G.B.; Wang, M.; Xiao, J.; Sun, X.B. Protective effects of cynaroside against H2O2-induced apoptosis in H9c2 cardiomyoblasts. J. Cell. Biochem. 2011, 112, 2019–2029. [Google Scholar] [CrossRef]
- Fan, L.; Zhao, H.Y.; Xu, M.; Zhou, L.; Guo, H.; Han, J.; Wang, B.R.; Guo, D.A. Qualitative evaluation and quantitative determination of 10 major active components in Carthamus tinctorius L. by high-performance liquid chromatography coupled with diode array detector. J. Chromatogr. A 2009, 1216, 2063–2070. [Google Scholar]
- Levy, D.E.; Tang, C. The Chemistry of C-Glycosides, 1st ed.; Pergamon: Oxford, UK, 1995; p. 4. [Google Scholar]
- Kizil, S.; Çakmak, Ö.; Kirici, S.; İnan, M. A comprehensive study on safflower (Carthamus tinctorius L.) in semi-arid conditions. Biotechnol. Biotechnol. Equip. 2008, 22, 947–953. [Google Scholar]
© 2014 by the authors; licensee MDPI, Basel, Switzerland. This article is an open access article distributed under the terms and conditions of the Creative Commons Attribution license (http://creativecommons.org/licenses/by/3.0/).
Share and Cite
Yue, S.; Tang, Y.; Xu, C.; Li, S.; Zhu, Y.; Duan, J.-A. Two New Quinochalcone C-Glycosides from the Florets of Carthamus tinctorius. Int. J. Mol. Sci. 2014, 15, 16760-16771. https://doi.org/10.3390/ijms150916760
Yue S, Tang Y, Xu C, Li S, Zhu Y, Duan J-A. Two New Quinochalcone C-Glycosides from the Florets of Carthamus tinctorius. International Journal of Molecular Sciences. 2014; 15(9):16760-16771. https://doi.org/10.3390/ijms150916760
Chicago/Turabian StyleYue, Shijun, Yuping Tang, Chengmei Xu, Shujiao Li, Yue Zhu, and Jin-Ao Duan. 2014. "Two New Quinochalcone C-Glycosides from the Florets of Carthamus tinctorius" International Journal of Molecular Sciences 15, no. 9: 16760-16771. https://doi.org/10.3390/ijms150916760
APA StyleYue, S., Tang, Y., Xu, C., Li, S., Zhu, Y., & Duan, J.-A. (2014). Two New Quinochalcone C-Glycosides from the Florets of Carthamus tinctorius. International Journal of Molecular Sciences, 15(9), 16760-16771. https://doi.org/10.3390/ijms150916760

