Cytotoxic Sesterterpenoids Isolated from the Marine Sponge Scalarispongia sp.
Abstract
:1. Introduction
2. Results and Discussion
2.1. Isolation of Scalarane Sesterterpenoids from a Scalarispongia sp. Marine Sponge
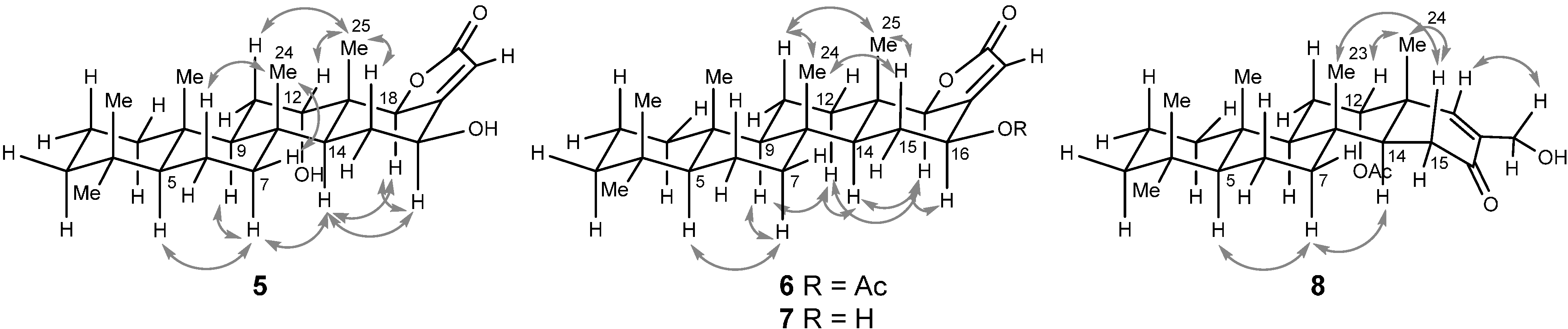
2.2. Structure Elucidation of Isolated Compounds

| Position | 5 a | 6 a | 7 b | |||
|---|---|---|---|---|---|---|
| δC, type c | δH (J in Hz) | δC, type c | δH (J in Hz) | δC, type c | δH (J in Hz) | |
| 1 | 39.2, CH2 | 1.64, m | 40.1, CH2 | 1.68, m | 40.2, CH2 | 1.69, m |
| 0.72, m | 0.75, ddd (12.5, 3.5, 3.5) | 0.78, ddd (12.5, 3.5, 3.5) | ||||
| 2 | 18.1, CH2 | 1.42, m | 18.8, CH2 | 1.57, m | 18.8, CH2 | 1.55, m |
| 1.22, m | 1.40, m | 1.40, m | ||||
| 3 | 41.7, CH2 | 1.20, m | 42.2, CH2 | 1.36, m | 42.2, CH2 | 1.35, m |
| 0.98, ddd (13.0,13.0, 3.5) | 0.95, ddd (12.5, 12.5, 3.5) | 1.10, ddd (13.0, 13.0, 3.5) | ||||
| 4 | 32.8, C | 33.5, C | 33.5, C | |||
| 5 | 56.1, CH | 0.76, brd (13.0) | 56.6, CH | 0.82, m | 56.7, CH | 0.78, m |
| 6 | 18.2, CH2 | 1.40, m | 18.4, CH2 | 1.54, m | 18.5, CH2 | 1.54, m |
| 1.30, m | 1.29, m | 1.40, m | ||||
| 7 | 41.7, CH2 | 1.66, ddd, (12.5, 3.0, 3.0) | 42.5, CH2 | 1.77, ddd (13.0, 4.0, 3.0) | 42.6, CH2 | 1.81, ddd (12.5, 3.0, 3.0) |
| 0.92, ddd, (12.5,12.5, 3.0) | 1.02, ddd (13.0, 13.0, 4.0) | 1.00, (12.5, 12.5, 3.0) | ||||
| 8 | 37.7, C | 38.2, C | 38.2, C | |||
| 9 | 50.6, CH | 1.32, m | 61.4, CH | 0.87, m | 61.4, CH | 0.81, m |
| 10 | 36.6, C | 37.8, C | 37.8, C | |||
| 11 | 25.2, CH2 | 1.54, m | 17.2, CH2 | 1.60, m | 17.2, CH2 | 1.59, m |
| 1.28, m | 1.38, m | 1.33, m | ||||
| 12 | 70.2, CH | 3.60, dd (3.0, 3.0) | 40.5, CH | 2.03, m | 40.7, CH | 2.03, dd (10.0, 3.0) |
| 1.33, m | 1.34, m | |||||
| 13 | 45.5, C | 41.6, C | 41.6, C | |||
| 14 | 45.1, CH | 1.19, m | 51.6, CH | 1.09, m | 51.9, CH | 1.05, m |
| 15 | 30.6, CH2 | 1.99, ddd (12.5, 8.0, 2.0) | 28.0, CH2 | 2.19, ddd (12.5, 7.0, 2.0) | 31.7, CH2 | 2.17, ddd (12.5, 7.0, 2.0) |
| 1.33, m | 1.47, m | 1.45, m | ||||
| 16 | 67.4, CH | 4.26, dd (10.0, 8.0) | 69.8, CH | 5.52, ddd (11.5, 7.0, 2.0) | 69.0, CH2 | 4.49, ddd (9.3, 7.0, 2.0) |
| 17 | 175.5, C | 167.0, C | 171.7, C | |||
| 18 | 83.3, CH | 5.06, brs | 90.0, CH | 4.33, d (2.0) | 90.1, C | 4.29, brs |
| 19 | 174.9, C | 173.0, C | 173.5, C | |||
| 20 | 110.6, CH | 5.73, brs | 112.4, CH | 5.76, dd (2.0, 2.0) | 111.9, CH2 | 5.90, brs |
| 21 | 32.9, CH3 | 0.67, s | 33.5, CH3 | 0.82, s | 33.4, CH3 | 0.83, s |
| 22 | 20.8, CH3 | 0.65, s | 21.5, CH3 | 0.78, s | 21.5, CH3 | 0.79, s |
| 23 | 16.0, CH3 | 0.68, s | 16.5, CH3 | 0.81, s | 16.5, CH3 | 0.81, s |
| 24 | 16.7, CH3 | 0.72, s | 17.7, CH3 | 0.85, s | 17.7, CH3 | 0.86, s |
| 25 | 11.6, CH3 | 0.51, s | 12.3, CH3 | 0.70, s | 12.4, CH3 | 0.69, s |
| 16-OAc | 170.0, C | |||||
| 21.1, CH3 | 2.16, s | |||||


| Compound | Cell Line (GI50 μM) b | |||||
|---|---|---|---|---|---|---|
| HCT-15 | NCI-H23 | ACHN | MDA-MB-231 | NUGC-3 | PC-3 | |
| 1 | 7.38 ± 0.07 | 11.0 ± 0.12 | 6.01 ± 0.02 | 6.17 ± 0.02 | 7.25 ± 0.04 | 5.45 ± 0.02 |
| 2 | 6.52 ± 0.05 | 6.20 ± 0.09 | 5.43 ± 0.01 | 6.99 ± 0.03 | 6.13 ± 0.03 | 5.36 ± 0.03 |
| 3 | 7.75 ± 0.08 | 5.66 ± 0.09 | 6.17 ± 0.04 | 5.41 ± 0.02 | 5.66 ± 0.03 | 5.70 ± 0.02 |
| 4 | 8.17 ± 0.06 | 9.02 ± 0.10 | 6.99 ± 0.02 | 5.19 ± 0.03 | 8.98 ± 0.04 | 7.01 ± 0.02 |
| 5 | >60.0 | >60.0 | >60.0 | >60.0 | >60.0 | >60.0 |
| 6 | 9.11 ± 0.09 | 21.0 ± 0.09 | 6.69 ± 0.04 | 11.3 ± 0.08 | 21.0 ± 0.02 | 10.0 ± 0.08 |
| 7 | 11.6 ± 0.09 | 12.2 ± 0.10 | 7.22 ± 0.07 | 5.24 ± 0.04 | 12.2 ± 0.04 | 6.53 ± 0.03 |
| 8 | 7.85 ± 0.05 | 10.6 ± 0.07 | 6.60 ± 0.03 | 9.10 ± 0.02 | 10.2 ± 0.09 | 9.17 ± 0.04 |
| Doxorubicin | 1.53 ± 0.02 | 1.79 ± 0.05 | 1.85 ± 0.01 | 1.76 ± 0.01 | 1.50 ± 0.02 | 1.69 ± 0.03 |
3. Experimental Section
3.1. General Experimental Procedure
3.2. Biological Material
3.3. Extraction and Isolation
3.4. Cytotoxicity Assay
4. Conclusions
Supplementary Materials
Acknowledgments
Author Contributions
Conflicts of Interest
References
- González, M.A. Scalarane sesterterpenoids. Curr. Bioact. Compd. 2010, 6, 178–206. [Google Scholar] [CrossRef]
- Laurie, W.A.; McHale, D.; Sheridan, J.B. A cucurbitacin glycoside from Picrorhiza kurrooa. Phytochemistry 1985, 24, 2659–2661. [Google Scholar] [CrossRef]
- Smit, H.F.; van den Berg, A.J.J.; Kroes, B.H.; Beukelman, C.J.; Quarles van Ufford, H.C.; van Dijk, H.; Labadie, R.P. Inhibition of T-lymphocyte proliferation by cucurbitacins from Picrorhiza scrophulariaeflora. J. Nat. Prod. 2000, 63, 1300–1302. [Google Scholar] [CrossRef] [PubMed]
- Choudhary, M.I.; Ranjit, R.; Atta ur, R.; Hussain, S.; Devkota, K.P.; Shrestha, T.M.; Parvez, M. Novel sesterterpenes from Leucosceptrum canum of Nepalese origin. Org. Lett. 2004, 6, 4139–4142. [Google Scholar] [CrossRef]
- Choudhary, M.I.; Ranjit, R.; Atta ur, R.; Shrestha, T.M.; Yasin, A.; Parvez, M. Leucosceptrine—A novel sesterterpene with prolylendopeptidase inhibitory activity from Leucosceptrum canum. J. Org. Chem. 2004, 69, 2906–2909. [Google Scholar] [CrossRef] [PubMed]
- Moghaddam, F.M.; Amiri, R.; Alam, M.; Hossain, M.B.; van der Helm, D. Structure and absolute stereochemistry of salvimirzacolide, a new sesterterpene from Salvia mirzayanii. J. Nat. Prod. 1998, 61, 279–281. [Google Scholar] [CrossRef]
- Fattorusso, E.; Magno, S.; Santacroce, C.; Sica, D. Scalarin, a new pentacyclic C-25 terpenoid from the sponge Cacospongia scalaris. Tetrahedron 1972, 28, 5993–5997. [Google Scholar] [CrossRef]
- Tsoukatou, M.; Siapi, H.; Vagias, C.; Roussis, V. New sesterterpene metabolites from the Mediterranean sponge Cacospongia scalaris. J. Nat. Prod. 2003, 66, 444–446. [Google Scholar] [CrossRef] [PubMed]
- Cafieri, F.; de Napoli, L.; Iengo, A.; Santacroce, C. Minor pyrroloterpenoids from the marine sponge Cacospongia mollior. Experientia 1979, 35, 157–158. [Google Scholar] [CrossRef]
- De Rosa, S.; Crispino, A.; de Giulio, A.; Iodice, C.; Tommonaro, G.; Zavodnik, N. A new dimethylscalarane derivative from the sponge Cacospongia scalaris. Tetrahedron 1998, 54, 6185–6190. [Google Scholar]
- Yasuda, F.; Tada, H. Desacetylscalaradial, a cytotoxic metabolite from the sponge Cacospongia scalaris. Experientia 1981, 37, 110–111. [Google Scholar] [CrossRef] [PubMed]
- Rueda, A.; Zubia, E.; Ortega, M.J.; Carballo, J.L.; Salva, J. New cytotoxic metabolites from the sponge Cacospongia scalaris. J. Org. Chem. 1997, 62, 1481–1485. [Google Scholar] [CrossRef]
- Cimino, G.; Cafieri, A.F.; de Napoli, L.; Fattorusso, E. 13C-NMR spectrum and absolute stereochemistry of furoscalarol. Tetrahedron Lett. 1978, 19, 2041–2044. [Google Scholar] [CrossRef]
- Fusetani, N.; Kato, Y.; Matsunaga, S.; Hashimoto, K. Bioactive marine metabolites V. Two new furanosesterterpenes, inhibitors of cell division of the fertilized starfish eggs, from the marine sponge Cacospongia scalaris. Tetrahedron Lett. 1984, 25, 4941–4942. [Google Scholar] [CrossRef]
- Tanaka, J.; Marriott, G.; Higa, T.; Higa, T. Cacofurans A and B, new furanoditerpenes from a marine sponge. J. Nat. Prod. 2001, 64, 1468–1470. [Google Scholar] [CrossRef] [PubMed]
- Guella, G.; Amade, P.; Pietra, F. Cacospongione A, cacospongienone A, and cacospongienone B, new C21 difuran terpenoids from the marine sponge Cacospongia scalaris SCHMIDT of the Cote d'Azur. Helv. Chim. Acta 1986, 69, 726–733. [Google Scholar] [CrossRef]
- Lu, Q.; Faulkner, D.J. Two new sesterterpenoids and a new 9,11-secosterol from Spongia matamata. J. Nat. Prod. 1997, 60, 195–198. [Google Scholar] [CrossRef] [PubMed]
- Ryu, G.; Matsunaga, S.; Fusetani, N. Three new cytotoxic sesterterpenes from the marine sponge Hyrtios cf. erectus. J. Nat. Prod. 1996, 59, 515–517. [Google Scholar] [CrossRef]
- Rho, J.-R.; Lee, H.-S.; Shin, H.J.; Ahn, J.-W.; Kim, J.-Y.; Sim, C.J.; Shin, J. New sesterterpenes from the sponge Smenospongia sp. J. Nat. Prod. 2004, 67, 1748–1751. [Google Scholar] [CrossRef] [PubMed]
- Song, J.; Jeong, W.; Wang, N.; Lee, H.-S.; Sim, C.J.; Oh, K.-B.; Shin, J. Scalarane sesterterpenes from the sponge Smenospongia sp. J. Nat. Prod. 2008, 71, 1866–1871. [Google Scholar] [CrossRef] [PubMed]
- Hahn, D.; Won, D.H.; Mun, B.; Kim, H.; Han, C.; Wang, W.; Chun, T.; Park, S.; Yoon, D.; Choi, H.; et al. Cytotoxic scalarane sesterterpenes from a Korean marine sponge Psammocinia sp. Bioorg. Med. Chem. Lett. 2013, 23, 2336–2339. [Google Scholar] [CrossRef]
- Tokue, T.; Miura, S.; Kato, H.; Hirota, H.; Ohta, T.; Tsukamoto, S. Neurotrophic sesterterpenes isolated from a marine sponge, Spongia sp. Heterocycles 2006, 69, 521–526. [Google Scholar] [CrossRef]
- Skehan, P.; Storeng, R.; Scudiero, D.; Monks, A.; McMahon, J.; Vistica, D.; Warren, J.T.; Bokesch, H.; Kenney, S.; Boyd, M.R. New colorimetric cytotoxicity assay for anticancer-drug screening. J. Natl. Cancer Inst. 1990, 82, 1107–1112. [Google Scholar] [CrossRef] [PubMed]
© 2014 by the authors; licensee MDPI, Basel, Switzerland. This article is an open access article distributed under the terms and conditions of the Creative Commons Attribution license (http://creativecommons.org/licenses/by/4.0/).
Share and Cite
Lee, Y.-J.; Lee, J.-W.; Lee, D.-G.; Lee, H.-S.; Kang, J.S.; Yun, J. Cytotoxic Sesterterpenoids Isolated from the Marine Sponge Scalarispongia sp. Int. J. Mol. Sci. 2014, 15, 20045-20053. https://doi.org/10.3390/ijms151120045
Lee Y-J, Lee J-W, Lee D-G, Lee H-S, Kang JS, Yun J. Cytotoxic Sesterterpenoids Isolated from the Marine Sponge Scalarispongia sp. International Journal of Molecular Sciences. 2014; 15(11):20045-20053. https://doi.org/10.3390/ijms151120045
Chicago/Turabian StyleLee, Yeon-Ju, Jeong-Woo Lee, Dong-Geun Lee, Hyi-Seung Lee, Jong Soon Kang, and Jieun Yun. 2014. "Cytotoxic Sesterterpenoids Isolated from the Marine Sponge Scalarispongia sp." International Journal of Molecular Sciences 15, no. 11: 20045-20053. https://doi.org/10.3390/ijms151120045
APA StyleLee, Y.-J., Lee, J.-W., Lee, D.-G., Lee, H.-S., Kang, J. S., & Yun, J. (2014). Cytotoxic Sesterterpenoids Isolated from the Marine Sponge Scalarispongia sp. International Journal of Molecular Sciences, 15(11), 20045-20053. https://doi.org/10.3390/ijms151120045

