Abstract
This study aimed for the synthesis of new heterocyclic compounds incorporating sulfamoyl moiety suitable for use as antimicrobial agents via a versatile, readily accessible N-[4-(aminosulfonyl)phenyl]-2-cyanoacetamide (3). The 2-pyridone derivatives were obtained via reaction of cyanoacetamide with acetylacetone or arylidenes malononitrile. Cycloaddition reaction of cyanoacetamide with salicyaldehyde furnished chromene derivatives. Diazotization of 3 with the desired diazonium chloride gave the hydrazone derivatives 13a–e. Also, the reactivity of the hydrazone towards hydrazine hydrate to give Pyrazole derivatives was studied. In addition, treatment of 3 with elemental sulfur and phenyl isothiocyanate or malononitrile furnished thiazole and thiophene derivatives respectively. Reaction of 3 with phenyl isothiocyanate and KOH in DMF afforded the intermediate salt 17 which reacted in situ with 3-(2-bromoacetyl)-2H-chromen-2-one and methyl iodide afforded the thiazole and ketene N,S-acetal derivatives respectively. Finally, reaction of 3 with carbon disulfide and 1,3-dibromopropane afforded the N-[4-(aminosulfonyl) phenyl]-2-cyano-2-(1,3-dithian-2-ylidene)acetamide product 22. All newly synthesized compounds were elucidated by considering the data of both elemental and spectral analysis. The compounds were evaluated for both their in vitro antibacterial and antifungal activities and showed promising results.
1. Introduction
Cyanoacetamides and their related heterocyclic derivatives have generated a great deal of attention due to their interesting biological and therapeutic value; their pharmaceutical activities include: antimicrobial [1,2], antifungal [3], insulin releasing [4], carbonic anhydrase inhibitory [5], anti-inflammatory [6], and antitumor properties [7]. Some active sulfonamides as antibacterials are also known for their immunmodifying effects [8,9]. In addition, several thiazole derivatives possess important pharmacological activities and therefore they are useful materials in drug research. Over the past few decades, the literature has been enriched with progressive findings about the anticonvulsant activities of various substituted thiazole derivatives [10–14] that are of interest as potential neuroprotective agents [15,16]. Some 2-pyridones are also reported to possess antitumor [17], antibacterial [18] and other biological activities [19,20]. In view of these facts and as a continuation of our research program on the chemistry of butanamide [21,22], the present investigation aimed to synthesize and characterize newer hydrazones, pyridones, acrylamide, Pyrazole, thiadiazole, and thiophene incorporating sulfonamide moiety. It was found that N-[4-(aminosulfonyl)phenyl]-2-cyanoacetamide (3) is an excellent building block for the synthesis of the target objectives.
2. Results and Discussion
One reason of our interest in amines is related to the conversion possibility of their NH2 group to the NHCOCH2CN group, which leads to cyanoacetamide with further useful functionalization at this position [23,24]. Cyanoacetamide 3 was synthesized by cyanoacetylation of 1 with 3,5-dimetyl-1-cyanoacetyl Pyrazole (2) [25] as previously described (Scheme 1).
Scheme 1.
Synthesis of cyanoacetamide 3.
Thus, the Knoevengel condensation of the cyanoacetamide 3 with aromatic aldehydes namely benzaldehyde, p-anisaldehyde, and p-chlorobenzaldehyde furnished the corresponding arylidene derivatives 5a–c (Scheme 2). The IR spectrum of compound 5a, taken as a typical example of the series prepared, revealed absorption bands at 1680, 2220 and 3362 cm−1 corresponding to carbonyl, nitrile and NH functions, respectively. Its 1H-NMR spectrum showed signals at δ 8.32 and 10.70 (D2O-exchangeable) due to CH and NH protons in addition to two aromatic protons at δ 7.81–7.83. Its mass spectrum showed a molecular ion peak at m/z 327. Pyridin-2(1H)-ones 7a–c was obtained through the reaction of the arylidene derivatives 5a–c with malononitrile in dioxane containing piperidine as catalyst. One-pot reactions of the cyanoacetamide derivative 3 with malononitrile and the same aldehydes (1:1:1 molar ratio) at reflux temperature in the presence of piperidine afforded the 2-pyridone derivatives 7a–c. Spectroscopic data as well as elemental analyses of the obtained products were in complete agreement with the assigned structures 7a–c. In addition, when the cyanoacetamide 3 was reacted with acetylacetone in dioxane in the presence of a catalytic amount of triethylamine, the cyclocondensation reaction occurred and the 2-pyridinone derivatives 10 were smoothly afforded. It can be postulated that the reaction initially proceeds via a nucleophilic attack to form the Michael adduct which in turn cyclized and eliminated two water molecules, affording the final product (Scheme 2).
Scheme 2.
Synthesis of arylidene 5a–c and pyridones 7a–c and 10.
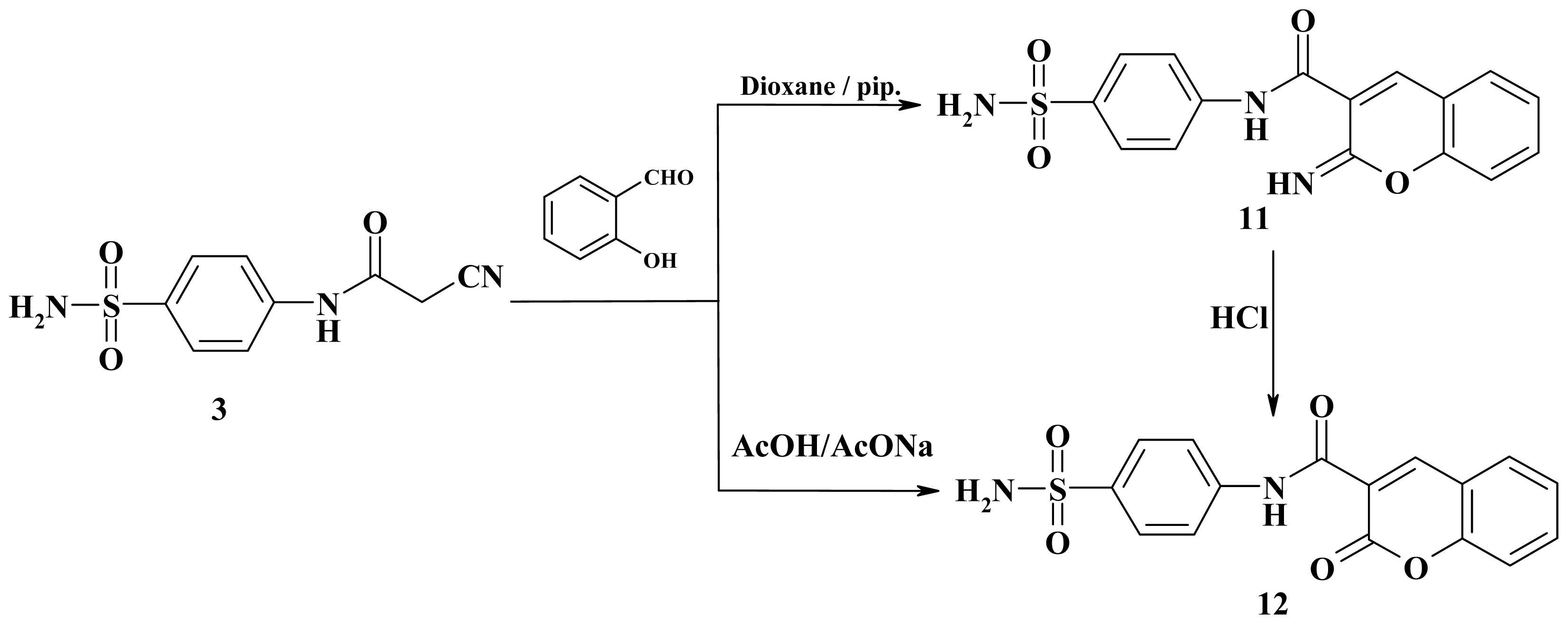
Similarly, cyclocondensation of cyanoacetamide 3 with salicyaldehyde in dioxane in the presence of a catalytic amount of piperidine afforded 2-iminochromene 11 in high yield. On the other hand, by interaction of 3 with salicyaldehyde in the presence of AcOH/AcONa, chromenone 12 was obtained in reasonably good yield. The structure of compound 12 was further confirmed through its synthesis upon hydrolysis of 11 with ethanolic HCl. (Scheme 3). The IR spectrum of the reaction product 11 revealed the disappearance of cyano absorption band and showed absorption bands at 1680, 3244 and 3318 cm−1 corresponding to carbonyl and two NH functions, respectively. Its 1H-NMR spectrum showed two D2O-exchangeable signal at δ 9.29 and 13.11 due to two NH protons, in addition to an aromatic multiplet in the region 7.58–7.83. It mass spectrum showed a molecular ion peak at m/z 343 while 1H-NMR spectrum of 12 showed one D2O-exchangeable signal at δ 10.88 due to one NH proton.
Scheme 3.
Synthesis of 2-imino-2H-chromene 11 and 2-oxo-2H-chromene 12.
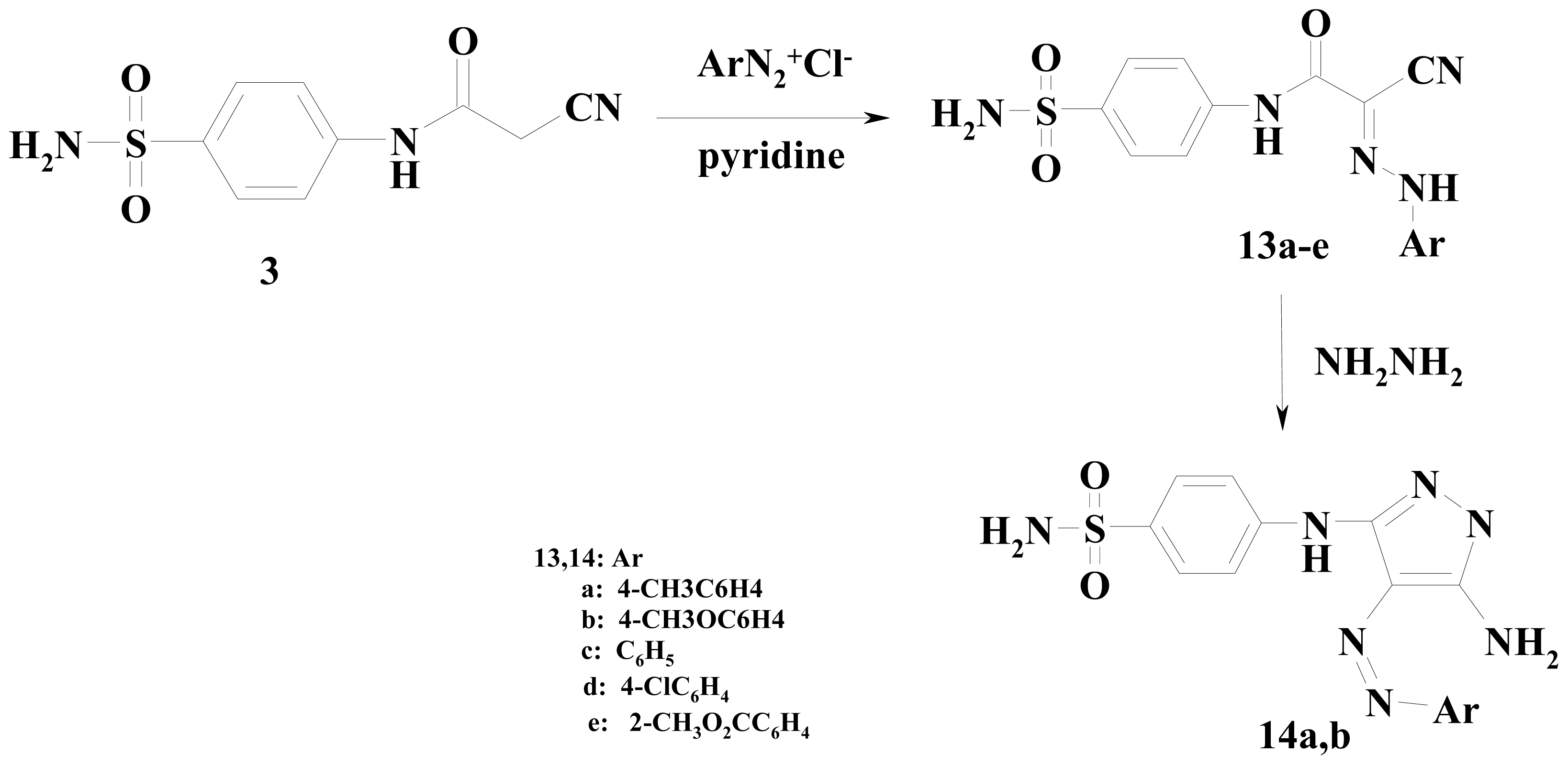
Next, we studied the reactivity of the active methylene group present in compound 3 towards diazonium salts. Thus, cyanoacetamide 3 coupled with diazonium salts, derived from the appropriate aromatic amines (4-methylaniline, 4-methoxyaniline, aniline, 4-chloroaniline, and methyl anthranilate) in pyridine to afford the respective hydrazones 13a–e (Scheme 4). Analytical and spectral data of the latter reaction products are all consistent with the proposed structures.
Scheme 4.
Synthesis of hydrazones 13a–e and aminopyrazole 14a,b.
Further elucidation of the structure of 13a,b came from the reaction with hydrazine hydrate to furnish the Pyrazole products 14a,b. The structures of compounds 14a,b were confirmed based on elemental analysis and spectral data (see Experimental section).
In view of the growing biological importance of thiazole derivatives, it was considered of interest to synthesize some new derivative of thiazole. Thus, the reaction of compound 3 with phenyl isothiocyanate and elemental sulfur gave the thiazole-2-thione derivative 15. The reaction of cyanoacetamide 3 with elemental sulfur and malononitrile gave the thiophene derivative 16 (Scheme 5). Analytical and spectral data of the products are in agreement with the proposed structure (see Experimental section).
Scheme 5.
Synthesis of aminothiazole 15 and diaminothiophene 16.
The reactivity of cyanoacetamide 3 towards isothiocyanate was investigated. Thus, when 3 was left to react with phenyl isothiocyanate in dimethylformamide, in the presence of potassium hydroxide, at room temperature, the corresponding potassium salt 17 was obtained. Heterocyclization of the intermediate 17 with chloroacetone or 3-(2-bromoacetyl)-2H-chromen-2-one furnished in each case, one isolable product (as tested by TLC). Probably the reaction proceeds via nucleophilic displacement of the halogen atom to give an S-alkylated intermediate followed by loss of water of the latter intermediate to give thiazole derivatives 18 and 19 as the final products. The structures of the products 18 and 19 as well as the rejection of 18′ were determined from spectroscopic and elemental analytical data. Analytical and spectral data of the product are in agreement with the proposed structure (see Experimental section). Furthermore, the non-isolated potassium salt was methylated by treatment with methyl iodide to afford the novel ketene N,S-acetal 20 (Scheme 6). The structure of the synthesized product was established on the basis of their elemental analysis and spectral data (see Experimental section).
Scheme 6.
Synthesis of thiazoles 18, 19 and acrylamide 20.
Stirring the cyanoacetamide 3 with carbon disulfide in the presence of potassium hydroxide in N,N-dimethylformamide followed by cycloalkylation with 1,3-dibromopropane afforded N-[4-(amino-sulfonyl)phenyl]-2-cyano-2-(1,3-dithian-2-ylidene)acetamide (22) (Scheme 7). The IR spectra of compound 22 showed characteristic bands for NH, CH–aliphatic, C≡N and C=O groups. 1H-NMR spectrum of compound 22 showed signals for dithiene moiety at δ 2.18 ppm (m, 2H, J = 6.80 Hz, CH2), 3.04 (t, 2H, J = 6.60 Hz, CH2), 3.19 (t, 2H, J = 6.60 Hz, CH2). Mass spectrum of 22 showed a molecular ion peak at m/z: 355 with a base peak at m/z: 183 (100%).
Scheme 7.
Synthesis of 1,3-dithian-2-ylidene 22.
2.1. Screening for Antimicrobial Activity
The newly synthesized compounds 5a, 5c, 7b, 7c, 10, 11, 13b, 14a, 15, 16, 18, 19 and 22 were evaluated for their in vitro antibacterial activity against Streptococcus pneumoniae (RCMB-010010) (SP) and Bacillis subtilis (RCMB-010067) (BS) as examples of Gram-positive bacteria and Pseudomonas aeruginosa (RCMB-010043) (PA) and Escherichia coli (RCMB-010052) (EC) as examples of Gram-negative bacteria. They were also evaluated for their in vitro antifungal activity against Aspergillus fumigatus (RCMB-02568) (AF), Syncephalastrum racemosum (RCMB-05922) (SR), Geotricum candidum (RCMB-05097) (GC) and Candida albicans (RCMB-05036) (CA) fungal strains. Inhibition zone diameter (IZD) in mm was used as criterion for the antimicrobial activity using the diffusion technique [26–28]. The fungicide Amphotericin B and the bactericides Ampicillin and Gentamicin were used as references to evaluate the potency of the tested compounds under the same conditions. The results are depicted in Table 1. As seen from the data present in Table 1, Streptococcus pneumoniae and Bacillis subtilis are sensitive to all tested compounds except compounds 11 and 16; furthermore, Pseudomonas aeruginosa is sensitive to compounds 5a, 7c and 15, while Escherichia coli is sensitive to 5a, 7b, 7c, 10, 13b, 14a, 15, 18, 19 and 22 except compounds 11 and 16. All tested compounds except compound 16 exhibit antifungal activity against the three tested fungi species Aspergillus fumigatus, Syncephalastrum racemosum and Geotricum candidum. Also the Candida albicans strain is sensitive to compounds 5a, 5c, 7c, 10, 11. The high activity of 5a, 7c and 10 is attributed to the presence of pharmacological active arylidene moiety in compound 5a and pyridone ring in 7c and 10. The inactivity of compound 16 against the tested bacteria and fungi is due to the presence of a thiophene ring.
Table 1.
Antibacterial and antifungal activities of the synthesized compounds (5a, 5c, 7b, 7c, 10, 11, 13b, 14a, 15, 16, 18, 19 and 22).
3. Experimental Section
3.1. General Experimental Procedures
All melting points were measured on an Electrothermal Gallenkamp apparatus (Weiss-Gallenkamp, London, UK). The infrared spectra were recorded in potassium bromide discs on a Pye Unicam SP3300 and Shimadzo FT IR 8101 PC infrared spectrophotometers (Pye Unicam Ltd., Cambridge, UK and Shimadzu, Tokyo, Japan, respectively). The 1H-NMR spectra were recorded on a Varian Mercury VXR-300 spectrometer (300 MHz, Vernon Hills, IL, USA). The mass spectra were recorded on a GCMS-Q1000-EX Shimadzu and GCMS 5988-A HP spectrometers (Kyoto, Japan), the ionizing voltage was 70 eV. Elemental analyses were carried out at the Micro-analytical Center of Cairo University, Giza, Egypt. The biological evaluation of the products was carried out in the Medical Mycology Laboratory of the Regional Center for Mycology and Biotechnology of Al-Azhar University, Cairo, Egypt. The starting material 3-(2-bromoacetyl)-2H-chromen-2-one was prepared as previously reported in the literature [29,30].
3.2. Synthetic Procedures
3.2.1. 2-Cyano-N-(4-sulfamoylphenyl)acetamide (3)
A mixture of 1 (3.44 g, 20 mmol) and 3,5-dimetyl-1-cyanoacetyl Pyrazole (2) (3.26 g, 20 mmol) in dioxane (20 mL) was refluxed for 3 h. The reaction mixture was poured into crushed ice. The resulting precipitate was filtrated off, dried, and crystallized from DMF/MeOH (1:3) to give 3; Yield (70%), mp 248 °C (from DMF/MeOH) (lit. mp 230 °C) [31]; IR (KBr) νmax: 3337, 3236, 3102 (NH, NH2), 2269 (C≡N), 1687 (C=O) cm−1; 1H-NMR (DMSO-d6): δ 3.96 (s, 2H, CH2), 7.29 (s, 2H, D2O-exchangeable NH2), 7.77 (d, 2H, J = 9 Hz), 7.80 (d, 2H, J = 9 Hz), 10.63 (s, 1H, D2O-exchangeable NH). MS m/z (%): 241 (M+ + 2, 0.7), 240 (M+ + 1, 5.8), 239 (M+, 12.7), 238 (100), 222 (34.9), 172 (25.3), 159 (29.7), 132 (19.1), 108 (47.3), 92 (46.3), 90 (25.1), 75 (15.9). Anal. Calcd for C9H9N3O3S (239.25): C, 45.18; H, 3.79; N, 17.56; S, 13.40. Found: C, 45.11; H, 3.70; 65, N, 17.42; S, 13.30%.
3.2.2. N-[4-(Aminosulfonyl)phenyl]-3-aryl-2-cyanoacrylamide (5a–c)
General Procedure: To a solution of cyanoacetanilide 3 (0.239 g, 1 mmol) and the appropriate aromatic aldhyeds (1 mmol) in dioxane (20 mL), was added few drops of piperidine and the reaction mixture was refluxed for 6 h. The solid product so formed was filtered off, washed with EtOH and then recrystallized from proper solvent to give 5a–c.
3.2.3. 2-Cyano-3-phenyl-N-(4-sulfamoylphenyl)prop-2-enamide (5a)
Yield (45%), mp 322 °C (from dioxane/ethanol); IR (KBr) νmax: 3362, 3316, 3262 (NH, NH2), 2220 (C≡N), 1680 (C=O) cm−1; 1H-NMR (DMSO-d6): δ 7.29 (s, 2H, D2O-exchangeable NH2), 7.63 (d, 2H, J = 9 Hz), 7.80 (d, 2H, J = 9 Hz), 7.81–7.83 (m, 5H, ArH), 8.32 (s, 1H, olefinicH), 10.70 (s, 1H, D2O-exchangeable NH). MS m/z (%): 327 (M+, 18.2), 128 (40.4), 104 (10.7), 156 (100), 77 (23.9); Anal. Calcd for C16H13N3O3S (327.35): C, 58.70; H, 4.00; N, 12.84; S, 9.80. Found: C, 58.65; H, 3.88; N, 12.72; S, 9.77%.
3.2.4. 2-Cyano-3-(4-methoxyphenyl)-N-(4-sulfamoylphenyl)prop-2-enamide (5b)
Yield (90%), mp 292 °C (from dioxane/ethanol); IR (KBr) νmax: 3312, 3266, 3106 (NH, NH2), 2218 (C≡N), 1682 (C=O) cm−1; 1H-NMR (DMSO-d6): δ 3.87 (s, 3H, OCH3), 7.19 (d, 2H, J = 9 Hz), 7.27 (s, 2H, D2O-exchangeable NH2), 7.82–7.83 (m, 4H, ArH), 8.04 (d, 2H, J = 9 Hz), 8.24 (s, 1H, olefinicH), 10.56 (s, 1H, D2O-exchangeable NH); MS m/z (%): 357 (M+, 11.3), 199 (0.3), 187 (12.6), 186 (100), 158 (19.2), 77 (7.6); Anal. Calcd for C17H15N3O4S (357.38): C, 57.13; H, 4.23; N, 11.76; S, 8.97. Found: C, 57.00; H, 4.18; N, 11.55; S, 8.67%.
3.2.5. 2-Cyano-3-(4-chlorophenyl)-N-(4-sulfamoylphenyl)prop-2-enamide (5c)
Yield (63%), mp 286 °C (from dioxane/ethanol); IR (KBr) νmax: 3388, 3329, 3262 (NH, NH2), 2218 (C≡N), 1688 (C=O) cm−1; 1H-NMR (DMSO-d6): δ 7.37 (s, 2H, D2O-exchangeable NH2), 7.76 (d, 2H, J = 9 Hz), 7.91–8.07 (m, 4H, ArH), 8.10 (d, 2H, J = 9 Hz), 8.39 (s, 1H, olefinicH), 10.78 (s, 1H, D2O-exchangeable NH); MS m/z (%): 361 (M+, 19.4), 191 (17.3), 190 (100), 162 (27.9), 127 (29.6), 123 (4.6), 111 (5.8), 99 (5.2), 75 (13.8); Anal. Calcd for C16H12ClN3O3S (361.80): C, 53.11; H, 3.34; Cl, 9.80; N, 11.61; S, 8.86. Found: C, 53.01; H, 3.29; Cl, 9.72; N, 11.51; S, 8.76%.
3.2.6. Synthesis of Pyridines 7a–c
Method A: A mixture of 5 (10 mmol) and malononitrile (0.66 g, 10 mmol) in ethanol (30 mL) containing piperidine (0.5 mL) was heated under reflux for 3 h. After cooling, the precipitate was filtered off, washed with ethanol and then recrystallized from the proper solvent to give 7a–c.
Method B: Equimolar amounts of 3 (10 mmol) and the appropriate 2-(arylidene)-malononitrile (namely 2-(benzylidene)-malononitrile, 2-(4-methoxybenzylidene)-malononitrile, and 2-(4-chloro benzylidene)-malononitrile) (10 mmol) in ethanol (30 mL) was treated with piperidine (0.5 mL) and the reaction mixture was heated under reflux for 3 h. After cooling, the precipitate was filtered off, washed with ethanol and then recrystallized from the proper solvent to give 7a–c.
Method C: A mixture of 3 (10 mmol), the appropriate aldehyde (namely benzaldehyde, p-anisaldehyde, and p-chlorobenzaldehyde) (10 mmol), piperidine (10 mmol), and malononitrile (0.66 g, 10 mmol) in ethanol (30 mL) was heated under reflux for 3 h. After cooling, the precipitate was filtered off, washed with ethanol and then recrystallized from the proper solvent to give 7a–c.
3.2.7. 4-(6-Amino-3,5-dicyano-2-oxo-4-phenylpyridin-1(2H)-yl)benzenesulfonamide (7a)
Yield (54%), mp 316 °C (from dioxane/ethanol); IR (KBr) νmax: 3458, 3332, 3212 (NH, NH2), 2216 (C≡N), 1672 (C=O) cm−1; 1H-NMR (DMSO-d6): δ 7.50 (s, 2H, D2O-exchangeable NH2), 7.51–7.58 (m, 7H, ArH, NH2), 7.60 (d, 2H, J = 9 Hz), 8.01 (d, 2H, J = 9 Hz); MS m/z (%): 392 (M+ + 1, 10.7), 391 (M+, 7.8), 237 (7.8), 155 (9.2), 129 (8.7), 81 (46.5), 69 (100). Anal. Calcd for C19H13N5O3S (391.40): C, 58.30; H, 3.35; N, 17.89; S, 8.19. Found: C, 58.20; H, 3.34; N, 17.86; S, 8.15%.
3.2.8. 4-[6-Amino-3,5-dicyano-4-(4-methoxyphenyl)-2-oxopyridin-1(2H)-yl]benzenesulfonamide (7b)
Yield (56%), mp 350 °C (from dioxane/ethanol); IR (KBr) νmax: 3311, 3208, 3078 (NH, NH2), 2214 (C≡N), 1659 (C=O) cm−1; 1H-NMR (DMSO-d6): δ 3.88 (s, 3H, OCH3), 7.12 (s, 2H, D2O-exchangeable NH2), 7.50–7.52 (m, 6H, ArH, NH2), 7.62 (d, 2H, J = 9 Hz), 8.00 (d, 2H, J = 9 Hz); 13C-NMR: δ 55.3, 66.3, 75.4, 87.8, 114.0, 116.5, 120.1, 126.5, 127.7, 129.7, 132.7, 136.8, 145.3, 156.9, 159.5, 161.1; MS m/z (%): 422 (M+ + 1, 15.1), 421 (M+, 3.9), 336 (11.2), 265 (12.9), 229 (15.1), 195 (13.6), 185 (34.8), 157 (22.6), 82 (34.4), 55.1 (100). Anal. Calcd for C20H15N5O4S (421.43): C, 57.00; H, 3.59; N, 16.62; S, 7.61. Found: C, 56.98; H, 3.53; N, 16.55; S, 7.58%.
3.2.9. 4-[6-Amino-4-(4-chlorophenyl)-3,5-dicyano-2-oxopyridin-1(2H)-yl]benzenesulfonamide (7c)
Yield (60%), mp > 300 °C (from dioxane/ethanol); IR (KBr) νmax: 3348, 3208, 3097 (NH, NH2), 2219 (C≡N), 1661 (C=O) cm−1; 1H-NMR (DMSO-d6): δ 7.51 (s, 2H, D2O-exchangeable NH2), 7.56–7.59 (m, 4H, ArH), 7.69 (d, 2H, J = 9 Hz), 8.01 (d, 2H, J = 9 Hz), 8.10 (s, 2H, D2O-exchangeable NH2); MS m/z (%): 427 (M+ + 2, 46.3), 426 (M+ + 1, 46.0), 425 (M+, 100), 397 (38.0), 313 (22.4), 269 (18.4), 156 (25.8), 132 (28.2), 111 (27.3), 106 (22.4), 91 (41.4), 80 (29.1), 77 (55.2). Anal. Calcd for C19H12ClN5O3S (425.84): C, 53.59; H, 2.84; Cl, 8.33; N, 16.45; S, 7.53. Found: C, 53.46; H, 2.80; Cl, 8.30; N, 16.42; S, 7.50%.
3.2.10. 4-(3-Cyano-4,6-dimethyl-2-oxopyridin-1(2H)-yl)benzenesulfonamide (10)
To a mixture of cyanoacetanilide 3 (1.20 g, 5 mmol) and acetylacetone (0.50 g, 1mmol) in dioxane (20 mL), triethylamine (0.5 mL) was added and the reaction mixture was refluxed for 8 h. On cooling, the separated solid was filtered, washed with ethanol and crystallized from DMF to afford the corresponding 4-(3-cyano-4,6-dimethyl-2-oxopyridin-1(2H)-yl)benzenesulfonamide (10). Yield (64%), mp > 300 °C (from DMF); IR (KBr) νmax: 3314, 3174, 3083 (NH, NH2), 2223 (C≡N), 1648 (C=O) cm−1; 1H-NMR (DMSO-d6): δ 1.98 (s, 3H, CH3), 2.40 (s, 3H, CH3), 6.49 (s, 1H, pyridineH), 7.52–7.57 (m, 4H, ArH, NH2), 7.99 (d, 2H, J = 9 Hz, ArH); MS m/z (%): 303 (M+, 51.9), 302 (100), 274 (10.6), 223 (21.5), 171 (0.9), 156 (2.8), 78 (23.6), 50 (20.6). Anal. Calcd for C14H13N3O3S (303.33): C, 55.43; H, 4.32; N, 13.85; S, 10.57. Found: C, 55.33; H, 4.28; N, 13.78; S, 10.52%.
3.2.11. 2-Imino-N-(4-sulfamoylphenyl)-2H-chromene-3-carboxamide (11)
A mixture of equimolar amounts of 3 (1.20 g, 5 mmol) and salicyaldehyde (0.61 g, 5 mmol) in 1,4-dioxane (25 mL) containing a catalytic amount of piperidine was heated under reflux for 2 h. The solid product formed was collected by filtration and recrystallized from dioxane/ethanol (3:1) to give 11. Yield (90%), mp 294 °C (from dioxane/ethanol); IR (KBr) νmax: 3318, 3244 (NH, NH2), 1680 (C=O) cm−1; 1H-NMR (DMSO-d6): δ 7.25 (s, 2H, D2O-exchangeable NH2), 7.32 (d, 2H, J = 9 Hz, ArH), 7.58–7.63 (m, 4H, ArH), 7.83 (d, 2H, J = 9 Hz, ArH), 8.58 (s, 1H, CH), 9.29 (s, 1H, D2O-exchangeable NH), 13.11 (s, 1H, D2O-exchangeable NH); MS m/z (%): 344 (M+ + 1, 4.8), 343 (M+, 13.5), 172 (86.5), 156 (62.9), 143 (99.1), 65 (100). Anal. Calcd for C16H13N3O4S (343.35): C, 55.97; H, 3.82; N, 12.24; S, 9.34. Found: C, 55.90; H, 3.80; N, 12.20; S, 9.31%.
3.2.12. 2-Oxo-N-(4-sulfamoylphenyl)-2H-chromene-3-carboxamide (12)
Method A: To a solution of 3 (1.20 g, 5 mmol) in acetic acid (30 mL) containing 0.5 g of fused sodium acetate, salicyaldehyde (0.61 g, 5 mmol) was added. The mixture was heated under reflux for 2 h. After cooling, the formed product was collected by filtration and recrystallized from DMF to give 12.
Method B: The iminochromene derivatives 11 (0.86 g, 2.5 mmol) was dissolved in boiling dioxane (40 mL) and treated with 5 mL HCl. The reaction mixture was heated under reflux for 2 h. Left to cool, the obtained product was filtered off, washed with cold water, and air-dried. Yield (86%), mp > 300 °C (from DMF); IR (KBr) νmax: 3362, 3258, 3108 (NH, NH2), 1698 (C=O) cm−1; 1H-NMR (DMSO-d6): δ 7.30 (s, 2H, D2O-exchangeable NH2), 7.57 (d, 2H, J = 9 Hz, ArH), 7.79–7.89 (m, 4H, ArH), 8.03 (d, 2H, J = 9 Hz, ArH), 8.92 (s, 1H, CH), 10.88 (s, 1H, D2O-exchangeable NH); 13C-NMR: δ 114.9, 118.7, 119.8, 124.3, 126.9, 130.2, 134.6, 139.1, 141.2, 142.1, 153.5, 155.4, 160.2, 161.2; MS m/z (%): 345 (M+ + 1, 3.6), 344 (M+, 10.1), 224 (2.8), 173 (100), 118 (5.8), 101 (47.3), 90 (14.6), 80 (14.2), 76 (6.5), 64 (47.0). Anal. Calcd for C16H12N2O5S (344.34): C, 55.81; H, 3.51; N, 8.14; S, 9.31. Found: C, 55.76; H, 3.45; N, 8.10; S, 9.29%.
3.2.13. Coupling of N-[4-(Aminosulfonyl)phenyl]-2-cyanoacetamide (3) with the Appropriate Diazonium Salt of Aromatic Amines
General procedure: To a cold solution of cyanoacetanilide 3 (1.20 g, 5 mmol) in pyridine (20 mL), was added the appropriate diazonium salt of aromatic amine (4-methylaniline or 4-methoxyaniline or aniline or 4-chloroaniline or methyl 2-aminobenzoate) (5 mmol) [prepared according to literature procedures] [32]. The addition was carried out portion wise with stirring at 0–5 °C over a period of 30 min. After complete addition, the reaction mixture was stirred for a further 4 h then kept in an ice chest for 12 h and finally diluted with water. The precipitated solid was collected by filtration, washed with water, dried and finally recrystallized from the proper solvent to afford the corresponding coupling products 13a–e.
3.2.14. 2-Cyano-2-[2-(4-methylphenyl)hydrazinylidene]-N-(4-sulfamoylphenyl)ethanamide (13a)
Yield (94%), mp 288 °C (from dioxane); IR (KBr) νmax: 3325, 3226, 3186 (NH, NH2), 2214 (C≡N),1664 (C=O) cm−1; 1H-NMR (DMSO-d6): δ 2.30 (s, 3H, CH3), 7.20 (s, 2H, D2O-exchangeable NH2), 7.22–7.64 (m, 4H, ArH), 7.81 (d, 2H, J = 9 Hz, ArH), 7.92 (d, 2H, J = 9 Hz, ArH), 10.13 (s, 1H, D2O-exchangeable NH), 11.93 (s, 1H, D2O-exchangeable NH); MS m/z (%): 358 (M+ + 1, 8.7), 357 (M+, 45.0), 198 (6.4), 186 (23.8), 172 (87.8), 134 (10.9), 119 (19.9), 106 (47.9), 91 (100), 77 (52.1), 65 (38.3). Anal. Calcd for C16H15N5O3S (357.38): C, 53.77; H, 4.23; N, 19.60; S, 8.97. Found: C, 53.71; H, 4.20; N, 19.55; S, 8.87%.
3.2.15. 2-Cyano-2-[2-(4-methoxyphenyl)hydrazinylidene]-N-(4-sulfamoylphenyl)ethanamide (13b)
Yield (95%), mp 274 °C (from dioxane); IR (KBr) νmax: 3336, 3227 (NH, NH2), 2212 (C≡N), 1662 (C=O) cm−1; 1H-NMR (DMSO-d6): δ 3.77 (s, 3H, OCH3), 7.00 (d, 2H, J = 9 Hz, ArH), 7.25 (s, 2H, D2O-exchangeable NH2), 7.69 (d, 2H, J = 9 Hz, ArH), 7.81 (d, 2H, J = 8.7 Hz, ArH), 7.92 (d, 2H, J = 8.7 Hz, ArH), 10.10 (s, 1H, D2O-exchangeable NH), 11.95 (s, 1H, D2O-exchangeable NH); MS m/z (%): 374 (M+ + 1, 8.7), 373 (M+, 24.3), 270 (5.8), 175 (21.4), 172 (39.8 ), 129 ( 22.3), 122 (100), 107 (38.8), 92 (38.8), 77 (47.6). Anal. Calcd for C16H15N5O4S (373.38): C, 51.47; H, 4.05; N, 18.76; S, 8.59. Found: C, 51.36; H, 4.00; N, 18.69; S, 8.52%.
3.2.16. 2-Cyano-2-(2-phenylhydrazinylidene)-N-(4-sulfamoylphenyl)ethanamide (13c)
Yield (92%), mp > 300 °C (from dioxane); IR (KBr) νmax: 3367, 3269, 3240 (NH, NH2), 2218 (C≡N), 1680 (C=O) cm−1; 1H-NMR (DMSO-d6): δ 7.26 (s, 2H, D2O-exchangeable NH2), 7.38–7.79 (m, 5H, ArH), 7.82 (d, 2H, J = 9 Hz, ArH), 7.93 (d, 2H, J = 9 Hz, ArH), 10.17 (s, 1H, D2O-exchangeable NH), 11.98 (s, 1H, D2O-exchangeable NH); MS m/z (%): 343 (M+, 36.8), 206 (21.1), 198 (18.4), 172 (68.4), 145 (50.0), 118 (31.6), 108 (36.8), 91 (84.2), 80 (50.0), 77 (76.3), 60 (100). Anal. Calcd for C15H13N5O3S (343.36): C, 52.47; H, 3.82; N, 20.40; S, 9.34. Found: C, C, 52.45; H, 3.78; N, 20.38; S, 9.30%.
3.2.17. 2-[2-(4-Chlorophenyl)hydrazinylidene]-2-cyano-N-(4-sulfamoylphenyl)ethanamide (13d)
Yield (95%), mp > 300 °C (from dioxane); IR (KBr) νmax: 3360, 3232, 3190 (NH, NH2), 2216 (C≡N), 1668 (C=O) cm−1; 1H-NMR (DMSO-d6): δ 7.26 (s, 2H, D2O-exchangeable NH2), 7.47 (d, 2H, J = 9 Hz), 7.74–7.82 (m, 4H, ArH), 7.92 (d, 2H, J = 9 Hz), 10.22 (s, 1H, D2O-exchangeable NH), 12.04 (s, 1H, D2O-exchangeable NH); MS m/z (%): 379 (M+ + 2, 17.9), 378 (M+ + 1, 12.5), 377 (M+, 39.3), 296 (26.8), 238 (12.5 ), 206 (41.1), 182 (32.1), 172 (96.4), 156 (51.8), 125 (57.1), 111 (53.6), 106 (30.4), 90 (69.6), 77 (21.4), 64 (100). Anal. Calcd for C15H12ClN5O3S (377.80): C, 47.69; H, 3.20; Cl, 9.38; N, 18.54; S, 8.49. Found: C, 47.61; H, 3.15; Cl, 9.27; N, 18.49; S, 8.43%.
3.2.18. Methyl 4-[2-(1-Cyano-2-oxo-2-{(4-sulfamoylphenyl)amino}ethylidene)hydrazinyl]benzoate (13e)
Yield (95%), mp > 300 °C (from dioxane); IR (KBr) νmax: 3340, 3231, 3148 (NH, NH2) 2211 (C≡N), 1687 (C=O) cm−1; 1H-NMR (DMSO-d6): δ 3.94 (s, 3H, CH3), 7.24 (s, 2H, D2O-exchangeable NH2), 7.31–7.94 (m, 4H, ArH), 8.03 (d, 2H, J = 9 Hz), 8.32 (d, 2H, J = 9 Hz), 10.43 (s, 1H, D2O-exchangeable NH), 12.49 (s, 1H, D2O-exchangeable NH); MS m/z (%): 402 (M+ + 1, 3.0), 401 (M+, 12.8), 170 (11.7), 133 (100), 90 (34.1), 92 (20.2), 77 (21.2), 65 (12.7). Anal. Calcd for C17H15N5O5S (401.39): C, 50.87; H, 3.77; N, 17.45; S, 7.99. Found: C, 50.81; H, 3.65; N, 17.40; S, 7.92%.
3.2.19. Synthesis of Aminopyrazoles 14a,b
To a solution of the compound 13a,b (5 mmol) in dioxane (20 mL), hydrazine hydrate (80%, 1.0 mL, 5 mmol) was added and the reaction mixture was refluxed for 6 h and allowed to cool. The solid product obtained was filtered, washed with EtOH and dried. Recrystallization from dioxane afforded 14a,b.
3.2.20. 4-({5-Amino-4-[(4-methylphenyl)diazenyl]-1H-pyrazol-3-yl}amino)benzenesulfonamide (14a)
Yield (40%), mp 240 °C (from dioxane); IR (KBr) νmax: 3459, 3367, 3345, 3208 (NH, NH2), 2920, 2859 (aliphaticCH) cm−1; 1H-NMR (DMSO-d6): δ 2.29 (s, 3H, CH3), 5.18 (s, 2H, D2O-exchangeable NH2), 7.23 (d, 2H, J = 9 Hz), 7.42 (d, 2H, J = 9 Hz), 7.49 (s, 2H, D2O-exchangeable NH2), 7.75–7.90 (m, 4H, ArH), 9.86 (s, 1H, D2O-exchangeable NH), 13.65 (s, 1H, D2O-exchangeable NH); 13C-NMR: δ 20.5, 99.4, 117.0, 119.5, 126.4, 129.5, 132.9, 137.9, 141.8, 145.1, 151.5, 165.7; MS m/z (%): 372 (M+ + 1, 14.6), 356 (20.8), 217 ( 31.3 ), 201 (16.7), 156 ( 31.3 ), 126 ( 22.9), 123 (58.3), 107 (50.0), 106 (100), 90 (50.0), 77 (54.2). Anal. Calcd for C16H17N7O2S (371.41): C, 51.74; H, 4.61; N, 26.40; S, 8.63. Found: C, 51.70; H, 4.58; N, 26.20; S, 8.59%.
3.2.21. 4-({5-Amino-4-[(4-methoxyphenyl)diazenyl]-1H-pyrazol-3-yl}amino)benzenesulfonamide (14b)
Yield (72%), mp 200 °C (from dioxane); IR (KBr) νmax: 3436, 3351, 3259 (NH, NH2), 1658 (C=O) cm−1; 1H-NMR (DMSO-d6): δ 3.77 (s, 3H, OCH3), 5.03 (s, 2H, D2O-exchangeable NH2), 7.00 (d, 2H, J = 9 Hz), 7.21 (s, 2H, D2O-exchangeable NH2), 7.49 (d, 2H, J = 9 Hz), 7.77–7.81 (m, 4H, ArH), 9.70 (s, 1H, D2O-exchangeable NH), 13.20 (s, 1H, D2O-exchangeable NH); MS m/z (%): 389 (M+ + 2, 35.4), 388 (M+ + 1, 40.2), 387 (M+, 38.4), 250 (31.7 ), 216 (40.2), 196 (53.0 ), 171 (45.1), 155 (31.7), 122 (33.5), 108 (34.8), 95 (40.2), 69 (100). Anal. Calcd for C16H17N7O3S (387.41): C, 49.60; H, 4.42; N, 25.31; S, 8.28. Found: C, 49.58; H, 4.40; N, 25.30; S, 8.20%.
3.2.22. 4-Amino-3-phenyl-N-(4-sulfamoylphenyl)-2-thioxo-2,3-dihydro-1,3-thiazole-5-carboxamide (15)
To a solution of cyanoacetamide 3 (1.20 g, 5 mmol) in DMF containing triethylamine (1 mL), elemental sulfur (0.16 g, 5 mmol) and phenyl isothiocyanate (0.68 mL, 5 mmol) were added. The reaction mixture was heated at 60 °C for 2 h with continous stirring and then poured into a beaker containing an ice-water mixture with few drops of HCl. The solid product so formed was filtered off, washed with EtOH and dried. Recrystallization from dioxane afforded compound 15. Yield (60%), mp > 300 °C (from DMF); IR (KBr) νmax: 3397, 3210 (NH, NH2), 1671 (C=O), 1335, 1217 (C=S) cm−1; 1H-NMR (DMSO-d6): δ 3.42 (s, 2H, D2O-exchangeable NH2), 7.19 (s, 2H, D2O-exchangeable NH2), 7.50 (d, 2H, J = 9 Hz), 7.55–7.88 (m, 5H, ArH), 7.96 (d, 2H, J = 9 Hz), 8.45 (s, 1H, D2O-exchangeable NH); MS m/z (%) 406 (M+, 0.9), 402 (5.7), 172 (14.3), 156 (8.6), 129 (11.4), 114 (11.4), 109 (17.1), 82 (32.9), 76 (44.3), 63 (100). Anal. Calcd for C16H14N4O3S3 (406.50): C, 47.27; H, 3.47; N, 13.78; S, 23.66. Found: C, 47.21; H, 3.44; N, 13.71; S, 23.59%.
3.2.23. 3,5-Diamino-4-cyano-N-(4-sulfamoylphenyl)thiophene-2-carboxamide (16)
To a solution of compound 3 (1.20 g, 5 mmol) in dioxane (25 mL) containing triethylamine (1.00 mL), malononitrile (0.33 g, 5 mmol) was added followed by the addition of an equimolar amount of elemental sulfur (0.16 g, 5 mmol). The reaction mixture was heated under reflux for 5 h, then cooled and neutralized by pouring onto ice/water mixture containing few drops of hydrochloric acid. The solid product formed was collected by filtration and crystallized from dioxane. Yield (86%), mp > 300 °C (from dioxane); IR (KBr) νmax: 3743, 3316 (NH, NH2), 2209 (C≡N), 1635 (C=O) cm−1; 1H-NMR (DMSO-d6): δ 3.45 (s, 4H, D2O-exchangeable 2NH2), 7.26 (s, 2H, D2O-exchangeable NH2), 7.50–7.92 (m, 4H, ArH), 11.36 (s, 1H, D2O-exchangeable NH); MS m/z (%): 338 (M+ + 1, 44.9), 337 (M+, 47.2), 295 (47.2), 278 (45.7), 181 (49.6), 156 (53.5), 150 (51.9), 122 (51.2), 105 (64.6), 80 (48.8), 58 (100.0). Anal. Calcd for C12H11N5O3S (337.37): C, 42.72; H, 3.29; N, 20.76; S, 19.01. Found: C, 42.68; H, 3.21; N, 20.66; S, 18.96%.
3.2.24. Synthesis of 18, 19 and 20
Compound 3 (1.20 g, 5 mmol) was added to a stirred solution of potassium hydroxide (0.26 g, 5 mmol) in DMF (20 mL). After stirring for 30 min, phenyl isothiocyanate (0.68 g, 5 mmol) was added to the resulting mixture. Stirring was continued for 6 h, and then chloroacetone or 3-(2-bromoacetyl)- 2H-chromen-2-one or methyl iodide, (5 mmol) was added portion wise over a period of 30 min. After the addition was complete, the reaction mixture was stirred for an additional 12 h, during which the reactant dissolved and a yellow product precipitated. The solid product was filtered off, washed with EtOH and dried. Recrystallization from proper solvent afforded 18, 19 and 20.
3.2.25. N-[4-(Aminosulfonyl)phenyl]-2-cyano-2-(4-methyl-3-phenyl-1,3-thiazol-2(3H)-ylidene)acet- amide (18)
Yield (95%), mp 272 °C (from Dioxane) (lit. mp 260–262 °C) [31]; IR (KBr) νmax: 3294, 3196, 3107 (NH, NH2), 2178 (C≡N), 1605 (C=O) cm−1; 1H-NMR (DMSO-d6): δ 1.86 (s, 3H, CH3), 6.98 (s, 1H, thiazole-CH), 7.17 (s, 2H, D2O-exchangeable NH2), 7.49 (d, 2H, J = 9 Hz), 7.57 (d, 2H, J = 9 Hz), 7.60–7.70 (m, 5H, ArH), 9.02 (s, 1H, D2O-exchangeable NH); 13C-NMR (DMSO-d6): δ 14.2, 66.3, 106.9, 115.9, 119.3, 126.2, 128.9, 129.6, 130.6, 136.6, 137.5, 138.3, 142.4, 165.1, 166.5; MS m/z (%): 412 (M+, 10.1), 332 (2.1), 241 (100), 214 (35.3), 198 (19.2), 172 (6.9), 118 (19.9), 90 (38.3), 77 (43.2). Anal. Calcd for C19H16N4O3S2 (412.48): C, 55.32; H, 3.91; N, 13.58; S, 15.55. Found: C, 55.30; H, 3.88; N, 13.51; S, 15.50%.
3.2.26. 2-Cyano-2-[4-(2-oxo-2H-chromen-4-yl]-3-phenyl-1,3-thiazol-2(3H)-ylidene)-N-(4-sulfamoyl- phenyl)ethanamide (19)
Yield (55%), mp 280 °C (from Dioxane); IR (KBr) νmax: 3367, 3310 and 3235 (NH, NH2), 3060 (aromatic CH), 1713 (C=O), 1635 (C=O) cm−1; 1H-NMR (DMSO-d6): δ 1.01 (s, 3H, J = 7.2 Hz, CH3), 4.04 (q, 2H, J = 7.2 Hz, CH2), 7.08–7.13 (m, 5H, ArH), 7.21 (d, 2H, J = 9 Hz), 7.39–7.44 (m, 7H, ArH and NH2), 7.63 (d, 2H, J = 9 Hz), 9.54 (s, 1H, D2O-exchangeable NH), 9.73 (s, 1H, D2O-exchangeable NH); 13C-NMR: δ 70.9, 95.3, 115.4, 115.8, 118.0, 119.6, 120.9, 124.8, 125.8, 126.3, 128.4, 128.8, 129.3, 129.5, 132.7, 137.0, 138.0, 142.1, 143.0, 153.2, 158.4, 164.7, 171.3; MS m/z (%): 521 (M+, 26.3), 322 (15.8), 218 (100.0), 199 (15.8), 77 (86.0). Anal. Calcd for C27H18N4O5S2 (542.58): C, 59.77; H, 3.34; N, 10.33; S, 11.82. Found: C, 59.75; H, 3.30; N, 10.31; S, 11.79%.
3.2.27. 2-Cyano-3-(methylsulfanyl)-3-(phenylamino)-N-(4-sulfamoylphenyl)prop-2-enamide (20)
Yield (95%), mp 204 °C (from EtOH) (lit. mp 220–222 °C) [33]; IR (KBr) νmax: 3410, 3339, 3243, 3119 (NH, NH2), 2194 (C≡N), 1628 (C=O) cm−1; 1H-NMR (DMSO-d6): δ 2.49 (s, 3H, CH3), 7.18 (s, 2H, D2O-exchangeable NH2), 7.31–7.41 (m, 5H, ArH), 7.67 (d, 2H, J = 9 Hz), 7.79 (d, 2H, J = 9 Hz), 9.65 (s, 1H, D2O-exchangeable NH), 9.91 (s, 1H, D2O-exchangeable NH); MS m/z (%): 389 (M+ + 1, 63.0), 388 (M+, 10.9), 341 (58.7), 294 (100), 249 (56.5), 223 (67.4), 208 (68.5), 197 (58.7), 185 (25.0), 182 (59.8), 140 (76.1), 92 (17.4). Anal. Calcd for C17H16N4O3S2 (388.46): C, 52.56; H, 4.15; N, 14.42; S, 16.51. Found: C, 52.50; H, 4.12; N, 14.45; S, 16.48%.
3.2.28. 2-Cyano-2-(1,3-dithian-2-ylidene)-N-(4-sulfamoylphenyl)acetamide (22)
To a stirred suspension of finely powdered potassium hydroxide (0.26 g, 5 mmole) in dry DMF (20 mL) cyanoacetamide 3 (1.20 g, 5 mmole) was added, the resulted mixture was cooled at 10 °C in an ice bath, then carbon disulfide (5 mmol) was added slowly over the course of 10 min. After addition was complete, stirring of the reaction mixture was continued for additional 2 h. Then dibromopropane (5 mmol) was added to the mixture while cooling (~15 °C) and stirring for 1 h. The mixture was then poured into crushed ice and the resulting precipitate was filtrated off, dried and crystallized from the proper solvent to give 22. Yield (95%), mp 278 °C (from Dioxane); IR (KBr) νmax: 3314, 3241, 3107 (NH, NH2), 2209 (C≡N), 1653 (C=O) cm−1; 1H-NMR (DMSO-d6): δ 2.18 (m, 2H, J = 6.80 Hz, CH2), 3.04 (t, 2H, J = 6.6 Hz, CH2), 3.19 (t, 2H, J = 6.6 Hz, CH2), 7.25 (s, 2H, D2O-exchangeable NH2), 7.75 (m, 4H, ArH), 10.29 (s, 1H, D2O-exchangeable NH); 13C-NMR: δ 22.5, 29.2, 98.5, 115.6, 119.8, 126.5, 139.0, 141.3, 159.8, 177.3; MS m/z (%): 356 (M+ + 1, 2.9), 355 (M+, 14.8), 237 (0.2), 183 (100), 129 (2.3), 118 (1.2), 110 (27.6), 80 (18.1). Anal. Calcd for C13H13N3O3S3 (355.45): C, 43.93; H, 3.69; N, 11.82; S, 27.06. Found: C, 43.85; H, 3.57; N, 11.78; S, 27.00%.
3.3. Antimicrobial Evaluation
The antibacterial and antifungal activity assays were carried out in the Medical Mycology Laboratory of the Regional Center for Mycology and Biotechnology of Al-Azhar University, Cairo, Egypt using the diffusion plate method [26–28] as follows: a bottomless cylinder containing a measured quantity (1 mL, 5 mg/mL) of the sample is placed on a plate (9 cm diameter) containing a solid bacterial medium (nutrient agar broth) or fungal medium, which has been heavily seeded with a spore suspension of the test organism. After incubation (24 h for bacteria and 5 days for fungi), the diameter of the clear zone of inhibition surrounding the sample is taken as measure of the inhibitory power of the sample against the particular test organism. The solvent used was DMSO and the concentration of the sample used is 100 μg/mL. The results of antimicrobial activity are summarized in Table 1.
4. Conclusions
In conclusion, the reactivity of N-[4-(aminosulfonyl)phenyl]-2-cyanoacetamide (3) was investigated as a versatile and readily accessible building block for the synthesis of new heterocycles incorporating a sulfamoyl moiety of biological and pharmaceutical importance.
Acknowledgments
The authors would like to thank the Chemistry Department, Faculty of Science, Cairo University for their financial support to facilitate the publication of this study.
Conflicts of Interest
The authors declare no conflict of interest.
References
- El-Gaby, M.S.A.; Atalla, A.A.; Gaber, A.M.; Abd Al-Wahab, K.A. Studies on aminopyrazoles: Antibacterial activity of some novel pyrazolo[1,5-a]pyrimidines containing sulfonamido moieties. Il Farm 2000, 55, 596–602. [Google Scholar]
- El-Gaby, M.S.A.; Taha, N.M.; Micky, J.A.; El-Sharief, M.A.M.Sh. Preparation of some novel 3, 5-diaminopyrazole, pyrazolo [1,5-a][1,3,5]triazine and pyrazolo [1,5-a]pyrimidine derivatives containing sulfonamido moieties as antimicrobial agents. Acta Chim. Slov 2002, 49, 159–171. [Google Scholar]
- El-Gaby, M.S.A.; Gaber, A.M.; Atalla, A.A.; Abd Al-Wahab, K.A. Novel synthesis and antifungal activity of pyrrole and pyrrolo[2,3-d]pyrimidine derivatives containing sulfonamido moieties. Il Farm 2002, 57, 613–617. [Google Scholar]
- Maren, T.H. Relations between structure and biological activity of sulfonamides. Annu. Rev. Pharmacol. Toxicol 1976, 16, 309–327. [Google Scholar]
- Alafeefy, A.M.; Isik, S.; Abdel-Aziz, H.A.; Ashour, A.E.; Vullo, D.; Al-Jaber, N.A.; Supuran, C.T. Carbonic anhydrase inhibitors: Benzenesulfonamides incorporating cyanoacrylamide moieties are low nanomolar/subnanomolar inhibitors of the tumor-associated isoforms IX and XII. Bioorg. Med. Chem 2013, 21, 1396–1403. [Google Scholar]
- Roifman, C.M.; Aviv, G.; Alexander, L. Preparation of N-benzyl-3-aryl-2-cyanoacrylamides activity for treatment of neoplastic disorders. PCT. Int. Appl. WO Patent 0055, 128, 2000. [Google Scholar]Chem. Abstr. 133, 237695h.
- Fadda, A.A.; Mukhtar, M.M.; Refat, H.M. Utility of activated nitriles in the synthesis of some new heterocyclic compounds. Am. J. Org. Chem 2012, 2, 32–40. [Google Scholar]
- Labro, M.T. Immunomodulation by antibacterial agents: Is it clinically relevant. Drugs 1993, 45, 319–328. [Google Scholar]
- Azab, M.E.; Youssef, M.M.; El-Bordany, E.A. Synthesis and antibacterial evaluation of novel heterocyclic compounds containing a sulfonamido moiety. Molecules 2013, 18, 832–844. [Google Scholar]
- Abu-Hashem, A.A.; Gouda, M.A.; Badria, F.A. Synthesis of some new pyrimido [2′,1′:2,3] thiazolo[4,5-b]quinoxaline derivatives as anti-inflammatory and analgesic agents. Eur. J. Med. Chem 2010, 45, 1976–1981. [Google Scholar]
- Gouda, M.A.; Berghot, M.A.; Abd El-Ghani, G.E.; Khalil, A.M. Synthesis and antimicrobial activities of some new thiazole and pyrazole derivatives based on 4,5,6,7-tetrahydrobenzo thiophene moiety. Eur. J. Med. Chem 2010, 45, 1338–1345. [Google Scholar]
- Khalil, A.M.; Berghot, M.A.; Gouda, M.A. Synthesis and antibacterial activity of some new thiazole and thiophene derivatives. Eur. J. Med. Chem. 2009a, 44, 4434–4440. [Google Scholar]
- Khalil, A.M.; Berghot, M.A.; Gouda, M.A.; Abd El-Ghani, G.E. Synthesis and antimicrobial evaluation of some new thiophene derivatives. Synth. Commun. 2010a, 40, 1658–1669. [Google Scholar]
- Khalil, A.M.; Berghot, M.A.; Gouda, M.A.; Shoeib, A.I. Synthesis and antimicrobial of certain new thiazolidinone, thiazoline, and thiophene derivatives. Phosphorus Sulfur Silicon 2010b, 185, 1455–1462. [Google Scholar]
- Wilby, M.J.; Hutchinson, P.J. The pharmacology of chlormethiazole: A potential neuroprotective agent? CNS Drug Rev 2004, 10, 281–294. [Google Scholar]
- Harnett, J.J.; Roubert, V.; Dolo, C.; Charnet, C.; Spinnewyn, B.; Cornet, S.; Rolland, A.; Marin, J.G.; Bigg, D.; Chabrier, P.E. Phenolic thiazoles as novel orally-active neuroprotective agents. Bioorg. Med. Chem. Lett 2004, 14, 157–160. [Google Scholar]
- Anderson, W.K.; Dean, D.C.; Endo, T. Synthesis, chemistry, and antineoplastic activity of α-halopyridinium salts: Potential pyridone prodrugs of acylated vinylogous carbinolamine tumor inhibitors. J. Med. Chem 1990, 33, 1667–1675. [Google Scholar]
- Li, Q.; Mitscher, L.A.; Shen, L.L. The 2-pyridone antibacterial agents: Bacterial topoisomerase inhibitors. Med. Res. Rev 2000, 20, 231–293. [Google Scholar]
- Dragovich, P.S.; Prins, T.J.; Zhou, R.; Brown, E.L.; Maldonado, F.C.; Fuhrman, S.A.; Zalman, L.S.; Tuntland, T.; Lee, C.A.; Patick, A.K.; et al. Structure-based design, synthesis, and biological evaluation of irreversible human rhinovirus 3C protease inhibitors. 6: Structure–activity studies of orally bioavailable, 2-pyridone-containing peptidomimetics. J. Med. Chem 2002, 45, 1607–1623. [Google Scholar]
- Dragovich, P.S.; Prins, T.J.; Zhou, R.; Johnson, T.O.; Brown, E.L.; Maldonado, F.C.; Fuhrman, S.A.; Zalman, L.S.; Patick, A.K.; Matthews, D.A.; et al. Structure-based design, synthesis, and biological evaluation of irreversible human rhinovirus 3C protease inhibitors. Part 7: Structure–activity studies of bicyclic 2-pyridone-containing peptidomimetics. Bioorg. Med. Chem. Lett 2002, 12, 733–738. [Google Scholar]
- Darwish, E.S.; Kheder, N.A.; Farag, A.M. Synthesis and antimicrobial evaluation of some new pyridine based heterocycles. Heterocycles 2010, 81, 2247–2256. [Google Scholar]
- Darwish, E.S.; Mahmoud, F.F.; Hussein, A.M.; Altalbawy, F.M. β-Oxoanilides in heterocyclic: Synthesis of som new pyridazine and polyfunctionally substituted heterocyclic compounds. Arab. J. Chem 2013, in press. [Google Scholar]
- Ammar, Y.A.; Saleh, N.M.; Micky, J.A.; Abas, H.S.; El-Gaby, M.S.A. Activated nitriles in heterocyclic chemistry: Facile synthesis and antimicrobial activity of some pyrimidine, pyrazolopyrimidine and pyrazolotriazinederivatives containing sulfonamido moiety. Indian J. Chem 2004, 43B, 2203–2211. [Google Scholar]
- El-Bayouki, K.A.M.; Basyouni, W.M.; Aly, Y.A.M.M.; Abbas, S.Y. Novel 4(3H)-quinazolinones containing biologically active thiazole, pyridinone and chromene of expected antitumor and antifungal activities. Eur. J. Chem 2011, 2, 455–462. [Google Scholar]
- Gorobets, Y.N.; Yousefi, B.H.; Belaj, F.; Kappe, C.O. Rapid microwave-assisted solution phase synthesis of substituted 2-pyridone libraries. Tetrahedron 2004, 60, 8633–8644. [Google Scholar]
- Esmail, R.; Kurzer, F. Heterocyclic compounds from urea derivatives. Part XXIII. Thiobenzoylated thiocarbonohydrazides and their cyclization. J. Chem. Soc 1975, 18, 1787–1791. [Google Scholar]
- Muanz, D.N.; Kim, B.W.; Euler, K.L.; Williams, L. Antibacterial and antifungal activities of nine medicinal plants from Zaire. Int. J. Pharmacogn 1994, 32, 337–345. [Google Scholar]
- Harborne, J.B.; Williams, C.A. A survey of antifungal compounds from higher plants, 1982–1993. Phytochemistry 1994, 37, 19–42. [Google Scholar]
- Koelsch, C.F. Bromination of acetocoumarin. J. Am. Chem. Soc 1950, 72, 2993–2995. [Google Scholar]
- Czerney, P.; Hartman, H. 3-α-Bromoacetyl-coumarines as synthones for heterocyclic substituted coumarines. J. Prakt. Chem 1983, 325, 551–560. [Google Scholar]
- Ammar, Y.A.; Aly, M.M.; Al-Sehem, A.G.; Mohamed, Y.A.; Salem, M.A.; El-Gaby, M.S.A. Cyanoacetanilides intermediates in heterocyclic synthesis. Part 4: Preparation of some hitherto unknown thiazolidine and bisthiazolidine derivatives. Phosphorus Sulfur Silicon 2008, 183, 1710–1721. [Google Scholar]
- Butler, R.N. The diazotization of heterocyclic primary amines. Chem. Rev 1975, 75, 241–257. [Google Scholar]
- Ammar, Y.A.; Aly, M.M.; Al-Sehemi, A.G.; Salem, M.A.; El-Gaby, M.S.A. Cyanoacetanilides intermediates in heterocyclic synthesis. Part 5: Preparation of hitherto unknown 5-aminopyrazole and pyrazolo[1,5-a]pyrimidine derivatives containing sulfamoyl moiety. J. Chin. Chem. Soc 2009, 56, 1064–1071. [Google Scholar]
© 2014 by the authors; licensee MDPI, Basel, Switzerland This article is an open access article distributed under the terms and conditions of the Creative Commons Attribution license (http://creativecommons.org/licenses/by/3.0/).






