Antimicrobial, Antiproliferative and Proapoptotic Activities of Extract, Fractions and Isolated Compounds from the Stem of Erythroxylum caatingae Plowman
Abstract
:1. Introduction
2. Results and Discussion
2.1. Antimicrobial Activity
2.2. Cytotoxicity Activity
2.3. Study of the Mechanisms of Action of the Phases of Erythroxylum caatingae
2.3.1. Annexin/PI Cell Death Assay
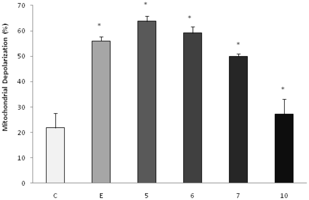
2.3.2. Measurement of the Mitochondrial Membrane Potential
3. Experimental Section
3.1. Chemicals
3.2. Plant Material
3.3. Extraction and Isolation
3.4. Microorganisms
3.5. Cell Lines and Cell Culture
3.6. Animals
3.7. Antimicrobial Activity
3.8. Cell Viability Assay (MTT Assay)
3.9. Hemolytic Assay
3.10. Analysis of the Mechanisms Involved in the Cytotoxic Activity
3.10.1. Annexin/PI Cell Death Assay
3.10.2. Measurement of the Mitochondrial
3.11. Statistical Analysis
4. Conclusions
Acknowledgments
References
- Brandão, M.G.L.; Cosenza, G.P.; Moreira, R.A.; Monte-Mor, R.L.M. Medicinal plants and other botanical products from the Brazilian Official Pharmacopoeia. Rev. Bras. Farmacogn 2006, 16, 408–420. [Google Scholar]
- Politi, F.A.; de Mello, J.C.; Migliato, K.F.; Nepomuceno, A.L.; Moreira, R.R.; Pietro, R.C. Antimicrobial, cytotoxic and antioxidant activities and determination of the total tannin content of bark extracts endopleura uchi. Int. J. Mol. Sci 2011, 12, 2757–2768. [Google Scholar]
- Yunes, R.A.; Calixto, J.B. Plantas Medicinais sob a ótica da Química Medicinal Moderna; 1st edChapecó (SC): Argos, Brazil, 2001; pp. 17–44. [Google Scholar]
- Stankovic, M.S.; Curcic, M.G.; Zizic, J.B.; Topuzovic, M.D.; Solujic, S.R.; Markovic, S.D. Teucrium plant species as natural sources of novel anticancer compounds: Antiproliferative, proapoptotic and antioxidant properties. Int. J. Mol. Sci 2011, 12, 4190–4205. [Google Scholar]
- Reddy, L.; Odhav, B.; Bhoola, K. Natural products for cancer prevention: Global perspective. Pharmacol. Ther 2003, 99, 1–13. [Google Scholar]
- Guo, X.; Zhu, K.; Zhang, H.; Yao, H. Anti-tumor activity of a novel protein obtained from Tartary Buckwheat. Int. J. Mol. Sci 2010, 11, 5201–5211. [Google Scholar]
- Cragg, G.M.; Newman, D.J. Plants as a source of anticancer agents. J. Ethopharmacol 2005, 100, 72–79. [Google Scholar]
- Tan, G.; Gyllenhaal, C.; Sorjarto, D.D. Biodiversity as a source of anticancer drugs. Curr. Drug Targets 2006, 7, 265–277. [Google Scholar]
- Cechinel Filho, V. Principais avanços e perspectivas na área de produtos naturais ativos: Estudos desenvolvidos no NIQFAR/Univali. Quim. Nova 2000, 23, 680–685. [Google Scholar]
- Antunes, R.M.P.; Lima, E.O.; Pereira, M.S.V.; Camara, C.A.; Arruda, T.A.; Catão, R.M.R.; Barbosa, T.P.; Nunes, X.P.; Dias, C.S.; Silva, T.M.S. Atividade antimicrobiana “in vitro” e determinação da concentração inibitória mínina (CIM) de fitoconstituintes e produtos sintéticos sobre bactérias e fungos leveduriformes. Braz. J. Pharmacogn 2006, 16, 517–524. [Google Scholar]
- Barreiros, M.L.; David, J.M.; Queiroz, L.P.; David, J.P. Flavonoids and triterpenes from leaves of Erythroxylum nummularia. Biochem. Syst. Ecol 2005, 33, 537–540. [Google Scholar]
- Loiola, M.I.B.; Agra, M.F.; Baracho, G.S.; Queiroz, R.T. Flora da Paraíba, Brasil: Erythroxylaceae Kunth. Acta Bot. Bras 2007, 21, 473–487. [Google Scholar]
- Santos, C.C.; Lima, M.A.S.; Silveira, E.R. Micromolecular secondary metabolites of Erythroxylum barbatum. Biochem. Syst. Ecol 2003, 31, 661–664. [Google Scholar]
- Chin, Y.W.; Jones, W.P.; Waybright, T.J.; McCloud, T.G.; Rasoanaivo, P.; Cragg, G.M.; Cassady, J.M.; Kinghorn, A.D. Tropane aromatic ester alkaloids from a large-scale re-collection of Erythroxylum pervillei stem bark obtained in Madagascar. J. Nat. Prod 2006, 69, 414–417. [Google Scholar]
- Silva, G.L.; Cui, B.; Chávez, D.; You, M.; Chai, H.B.; Rasoanaivo, P.; Lynn, S.M.; O’Neill, M.J.; Lewis, J.A.; Besterman, J.M.; et al. Modulation of the multidrug-resistance phenotype by new tropane alkaloid aromatic esters from Erythroxylum pervillei. J. Nat. Prod 2001, 64, 1514–1520. [Google Scholar]
- González-Guevara, J.L.; Veélez-Castro, H.; González-García, K.L.; Payo-Hill, A.L.; González-Lavaut, J.A.; Molina-Torres, J.; Prieto-Gonzaález, S. Flavonoid glycosides from Cuban Erythroxylum species. Biochem. Syst. Ecol 2006, 34, 539–542. [Google Scholar]
- Zuanazzi, J.A.S.; Tremea, V.; Limberger, R.P.; Sobral, M.; Henriques, A.T. Alkaloids of Erythroxylum (Erythroxylaceae) species from Southern Brazil. Biochem. Syst. Ecol 2001, 29, 819–825. [Google Scholar]
- Khattak, K.F.; Atta-ur-Rahman Choudhary, M.I.; Hemalal, K.D.; Tillekeratne, L.M. New tropane alkaloids from Erythroxylum moonii. J. Nat. Prod. 2002, 65, 929–931. [Google Scholar]
- Mahesh, B.; Satish, S. Antimicrobial activity of some important medicinal plant against plant and human pathogens. J. Agric. Sci 2008, 4, 839–843. [Google Scholar]
- Manabe, H. Effects of Catuaba extracts on microbial and HIV infection. In Vivo 1992, 6, 161–165. [Google Scholar]
- Atta-ur-Rahman Khattak, K.F.; Nighat, F.; Shabbir, M.; Hemalal, K.D.; Tillekeratne, L.M. Dimeric tropane alkaloids from Erythroxylum moonii. Phytochemistry 1998, 48, 377–383. [Google Scholar]
- Haslan, E. Natural polyphenols (vegetable tannins) as drugs: Possible modes of action. J. Nat. Prod 1996, 59, 205–215. [Google Scholar]
- Chavez, D.; Cui, B.; Chai, H.B.; Garcia, R.; Meija, M.; Farnsworth, N.R.; Cordell, G.A.; Pezzuto, J.M.; Kinghorn, A.D. Reversal of multidrug resistance by tropane alkaloids from the stems of Erythroxylum rotundifolium. J. Nat. Prod 2002, 65, 606–610. [Google Scholar]
- Rodeiro, I.; Donato, M.T.; Lahoz, A.; González-Lavaut, J.A.; Laguna, A.; Castell, J.V.; Delgado, R.; Gómez-Lechón, M.J. Modulation of P450 enzymes by Cuban natural products rich in polyphenolic compounds in rat hepatocytes. Chem. Biol. Interact 2008a, 172, 1–10. [Google Scholar]
- Rodeiro, I.; Donato, M.T.; Martínez, I.; Hermández, I.; Garrido, G.; González-Lavaut, J.A.; Menéndez, R.; Laguna, A.; Castell, J.V.; Gómez-Lechón, M.J. Potential hepatoprotective effects of new Cuban natural products in rat hepatocytes culture. Toxicol. In Vitro 2008, 22, 1242–1249. [Google Scholar]
- Oliveira, S.L.; Silva, M.S.; Tavares, J.F.; Branco, M.V.S.C.; Lucena, H.F.S.; Barbosa-Filho, J.M.; Agra, M.F.; Silva, T.G.; Nascimento, S.C.; Aguiar, J.S.; et al. Tropane alkaloids from Erythroxylum caatingae plowman. Chem. Biodivers 2011, 8, 155–165. [Google Scholar]
- Mesquita, M.L.; Paula, J.E.; Pessoa, C.; Moraes, M.O.; Costa-Lotufo, L.V.; Grougnet, R.; Michel, S.; Tillequin, F.; Espindola, L.S. Cytotoxic activity of Brazilian Cerrado plants used in traditional medicine against cancer cell lines. J. Ethopharmacol 2009, 123, 439–445. [Google Scholar]
- Lima, A.P.; Pereira, F.C.; Vilanova-Costa, C.A.S.T.; Mello, F.M.S.; Ribeiro, A.S.B.B.; Benfica, P.L.; Valadares, M.C.; Pavanin, L.A.; Santos, W.B.; Lacerda, E.P.S. The compound cis-(dichloro)tetrammineruthenium(III) chloride induces caspase-mediated apoptosis in K562 cells. Toxicol. In Vitro 2010, 24, 1562–1568. [Google Scholar]
- Johnstone, R.W.; Ruefli, A.A.; Lowe, S.W. Apoptosis: A link between cancer genetics and chemotherapy. Cell 2002, 108, 153–164. [Google Scholar]
- Fesik, S.W. Promoting apoptosis as a strategy for cancer drug discovery. Nat. Rev. Cancer 2005, 5, 876–885. [Google Scholar]
- Meeran, S.M.; Katiyar, S.; Katiyar, S.K. Berberine-induced apoptosis in human prostate cancer cells is initiated by reactive oxygen species generation. Toxicol. Appl. Pharmacol 2008, 229, 33–43. [Google Scholar]
- Sun, S.Y.; Hail, N., Jr; Lotan, R. Apoptosis as a novel target for cancer chemoprevention. J. Natl. Cancer Inst. 2004, 96, 662–672. [Google Scholar]
- Konopleva, M.; Zhao, S.; Xie, Z.; Segall, H.; Younes, A.; Claxton, D.F.; Estrov, Z.; Kornblau, S.M.; Andreeff, M. Apoptosis: Molecules and mechanisms. Adv. Exp. Med. Biol 1998, 457, 217–236. [Google Scholar]
- Bauer, A.W.; Kirby, W.M.M.; Sherris, J.C.; Turk, M. Antibiotic susceptibility testing by the standardized single disk method. Am. J. Clin. Pathol 1966, 45, 493–496. [Google Scholar]
- Barry, A.L. Procedure for Testing Antimicrobial Agents in Agar Media: Theoretical Considerations. In Lorian, Antibiotics in Laboratory Medicine, 5th ed; Williams & Wilkins: Baltimore, MD, USA, 1986; p. 13. [Google Scholar]
- Carvalho, A.A.; Sampaio, M.C.C.; Sampaio, F.C.; Melo, A.F.M.; Sena, K.X.F.R.; Chiappeta, A.A.; Higino, J.S. Atividade antimicrobiana in vitro de extratos hidroalcoólico de Psidium guajava L. sobre bactérias Gram-negativas. Lat. Am. J. Pharm 2002, 21, 255–258. [Google Scholar]
- Holetz, F.B.; Pessini, G.L.; Sanches, N.R.; Cortez, D.A.G.; Nakamura, C.V.; Dias Filho, B.P. Screening of some plants used in the Brazilian folk medicine for the treatment of infectious diseases. Mem. Inst. Oswaldo Cruz 2002, 97, 1027–1031. [Google Scholar]
- Mosmann, T. Rapid colorimetric assay for cellular growth and survival: Application to proliferation and cytotoxicity assays. J. Immunol. Methods 1983, 16, 55–63. [Google Scholar]
- Alley, M.C.; Scudiere, D.A.; Monks, A.; Hursey, M.L.; Czerwinski, M.J.; Fine, D.L.; Abbott, B.J.; Mayo, J.G.; Shoemaker, R.H.; Boyd, M.R. Feasibility of drug screening with panels of human tumor cell lines using a microculture tetrazolium assay. Cancer Res 1988, 48, 589–601. [Google Scholar]
- Costa-Lotufo, L.V.; Cunha, G.M.A.; Farias, P.A.M.; Viana, G.S.B.; Cunha, K.M.A.; Pessoa, C.; Moraes, M.O.; Silveira, E.R.; Gramosa, N.V.; Rao, V.S.N. The cytotoxic and embryotoxic effects of kaurenoic acid, a diterpene isolated from Copaifera langsdorffii oleo-resin. Toxicon 2002, 40, 1231–1234. [Google Scholar]
- Guthrie, H.D.; Welch, G.R. Determination of intracellular reactive oxygen species and high mitochondrial membrane potential in Percoll-treated viable boar sperm using fluorescence-activated flow cytometry. J. Anim. Sci 2006, 84, 2089–2100. [Google Scholar]
- Kang, K.S.; Yun, J.W.; Lee, Y.S. Protective effect of l-carnosine against 12-Otetradecanoylphorbol-13-acetate- or hydrogen peroxide-induced apoptosis on v-myc transformed rat liver epithelial cells. Cancer Lett 2002, 178, 53–62. [Google Scholar]




| Zone of Inhibition (mm) | ||||||||||
|---|---|---|---|---|---|---|---|---|---|---|
| Microorganisms | 1 | 2 | 3 | 4 | 5 | 6 | 7 | 8 | Kanamicin (30 μg/disc) | ketoconazole (300 μg/disc) |
| S. aureus | 10.5 ± 0.7 | 10.0 ± 0.0 | 11.0 ± 0.7 | 12.0 ± 0.0 | 12.0 ± 0.0 | 0.0 | 10.5 ± 0.7 | 0.0 | 28 | - |
| M. luteus | 21.5 ± 2.1 | 26.0 ± 1.4 | 28.5 ± 0.7 | 28.5 ± 0.7 | 29.5 ± 0.7 | 13.5 ± 0.7 | 26.0 ± 0.0 | 0.0 | 34 | - |
| B. subitilis | 10.0 ± 0.0 | 10.0 ± 0.0 | 13.5 ± 0.7 | 13.5 ± 0.7 | 13.0 ± 0.7 | 0.0 | 12.0 ± 0.0 | 0.0 | 29 | - |
| M. smegmatis | 14.0 ± 1.4 | 22.5 ± 0.7 | 30.0 ± 0.0 | 31.5 ± 1.4 | 30.0 ± 0.0 | 15.0 ± 0.0 | 15.0 ± 0.0 | 0.0 | 40 | - |
| E. faecalis | 0.0 | 0.0 | 11.5 ± 0.7 | 11.5 ± 0.7 | 12.5 ± 0.7 | 0.0 | 17.0 ± 0.0 | 0.0 | 13 | - |
| E. coli | 0.0 | 0.0 | 0.0 | 0.0 | 0.0 | 0.0 | 0.0 | 0.0 | 15 | - |
| S. marcescens | 0.0 | 0.0 | 0.0 | 0.0 | 0.0 | 0.0 | 0.0 | 0.0 | 15 | - |
| P. aeruginosa | 0.0 | 0.0 | 0.0 | 0.0 | 0.0 | 0.0 | 0.0 | 0.0 | 20 | - |
| C. albicans | 0.0 | 0.0 | 19.0 ± 1.4 | 19.0 ± 1.4 | 18.0 ± 1.4 | 0.0 | 18.0 ± 0.0 | 0.0 | - | 24 |
| Microorganisms | Minimum Inhibitory Concentration (μg/mL) | ||||||
|---|---|---|---|---|---|---|---|
| 1 | 2 | 3 | 4 | 5 | 6 | 7 | |
| S. aureus | n.t. | n.t. | n.t. | 250 | 250 | n.t. | n.t. |
| M. luteus | 250 | 250 | n.t. | <31.25 | <31.25 | 250 | <31.25 |
| B. subtilis | n.t. | n.t. | n.t. | 250 | 250 | n.t. | 125 |
| M. smegmatis | 500 | 500 | n.t. | 125 | 125 | 1000 | 125 |
| E. faecalis | n.t. | n.t. | n.t. | n.t. | 500 | n.t. | 500 |
| C. albicans | n.t. | n.t. | n.t. | 250 | 125 | n.t. | 125 |
| Microorganisms | Minimum Bacteriostatic Concentration (μg/mL) | ||||||
|---|---|---|---|---|---|---|---|
| 1 | 2 | 3 | 4 | 5 | 6 | 7 | |
| S. aureus | n.t. | n.t. | n.t. | 1000 | 500 | n.t. | n.t. |
| M. luteus | 250 | 500 | n.t. | <31.25 | <31.25 | >2000 | <31.25 |
| B. subtilis | n.t. | n.t. | n.t. | 1000 | 500 | n.t. | 250 |
| M. smegmatis | 1000 | 1000 | n.t. | 500 | 250 | 1,000 | 250 |
| E. faecalis | n.t. | n.t. | n.t. | n.t. | 1000 | n.t. | 1000 |
| C. albicans | n.t. | n.t. | n.t. | 500 | 500 | n.t. | 250 |
| Products/Extracts | Cell Line, IC50 (μg/mL) | EC50 (μg/mL) | ||
|---|---|---|---|---|
| HEp-2 | NCI-H292 | K562 | ||
| 1 | >50 | >50 | >50 | n.t. |
| 2 | >50 | >50 | >50 | n.t. |
| 3 | >50 | 25.76 ± 1.71 | >50 | >2000 |
| 4 | >50 | 25.50 ± 1.08 | >50 | >2000 |
| 5 | 40.59 ± 0.72 | 28.19 ± 2.09 | 13.10 ± 0.63 | >2000 |
| 6 | 34.12 ± 1.01 | 20.37 ± 0.75 | 9.86 ± 0.56 | 403.24 ± 9.64 |
| 7 | 8.25 ± 0.36 | 34.39 ± 1.71 | 11.21 ± 0.46 | 1036.52 ± 35.17 |
| 8 | 31.42 ± 1.01 | 15.79 ± 1.01 | 33.58 ± 1.33 | 510.00 ± 8.60 |
| 9 | >50 | >50 | >50 | n.t. |
| 10 | >50 | >50 | 9.36 ± 0.77 | >250 |
| 11 | >50 | >50 | >50 | n.t. |
| Etoposide | 6.10 ± 0.19 | 2.75 ± 0.10 | 4.48 ± 0.23 | n.t. |
© 2012 by the authors; licensee Molecular Diversity Preservation International, Basel, Switzerland. This article is an open-access article distributed under the terms and conditions of the Creative Commons Attribution license (http://creativecommons.org/licenses/by/3.0/).
Share and Cite
Aguiar, J.S.; Araújo, R.O.; Do Desterro Rodrigues, M.; Sena, K.X.F.R.; Batista, A.M.; Guerra, M.M.P.; Oliveira, S.L.; Tavares, J.F.; Silva, M.S.; Nascimento, S.C.; et al. Antimicrobial, Antiproliferative and Proapoptotic Activities of Extract, Fractions and Isolated Compounds from the Stem of Erythroxylum caatingae Plowman. Int. J. Mol. Sci. 2012, 13, 4124-4140. https://doi.org/10.3390/ijms13044124
Aguiar JS, Araújo RO, Do Desterro Rodrigues M, Sena KXFR, Batista AM, Guerra MMP, Oliveira SL, Tavares JF, Silva MS, Nascimento SC, et al. Antimicrobial, Antiproliferative and Proapoptotic Activities of Extract, Fractions and Isolated Compounds from the Stem of Erythroxylum caatingae Plowman. International Journal of Molecular Sciences. 2012; 13(4):4124-4140. https://doi.org/10.3390/ijms13044124
Chicago/Turabian StyleAguiar, Jaciana S., Rosilma O. Araújo, Maria Do Desterro Rodrigues, Kêsia X. F. R. Sena, André M. Batista, Maria M. P. Guerra, Steno L. Oliveira, Josean F. Tavares, Marcelo S. Silva, Silene C. Nascimento, and et al. 2012. "Antimicrobial, Antiproliferative and Proapoptotic Activities of Extract, Fractions and Isolated Compounds from the Stem of Erythroxylum caatingae Plowman" International Journal of Molecular Sciences 13, no. 4: 4124-4140. https://doi.org/10.3390/ijms13044124
APA StyleAguiar, J. S., Araújo, R. O., Do Desterro Rodrigues, M., Sena, K. X. F. R., Batista, A. M., Guerra, M. M. P., Oliveira, S. L., Tavares, J. F., Silva, M. S., Nascimento, S. C., & Da Silva, T. G. (2012). Antimicrobial, Antiproliferative and Proapoptotic Activities of Extract, Fractions and Isolated Compounds from the Stem of Erythroxylum caatingae Plowman. International Journal of Molecular Sciences, 13(4), 4124-4140. https://doi.org/10.3390/ijms13044124
