Characterization of Terpenoids from the Root of Ceriops tagal with Antifouling Activity
Abstract
:1. Introduction
2. Results and Discussion
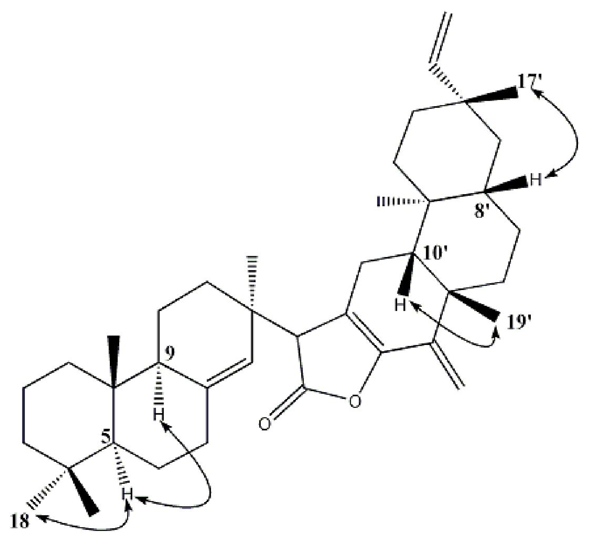
2.1. Structural Elucidation of Terpenoids
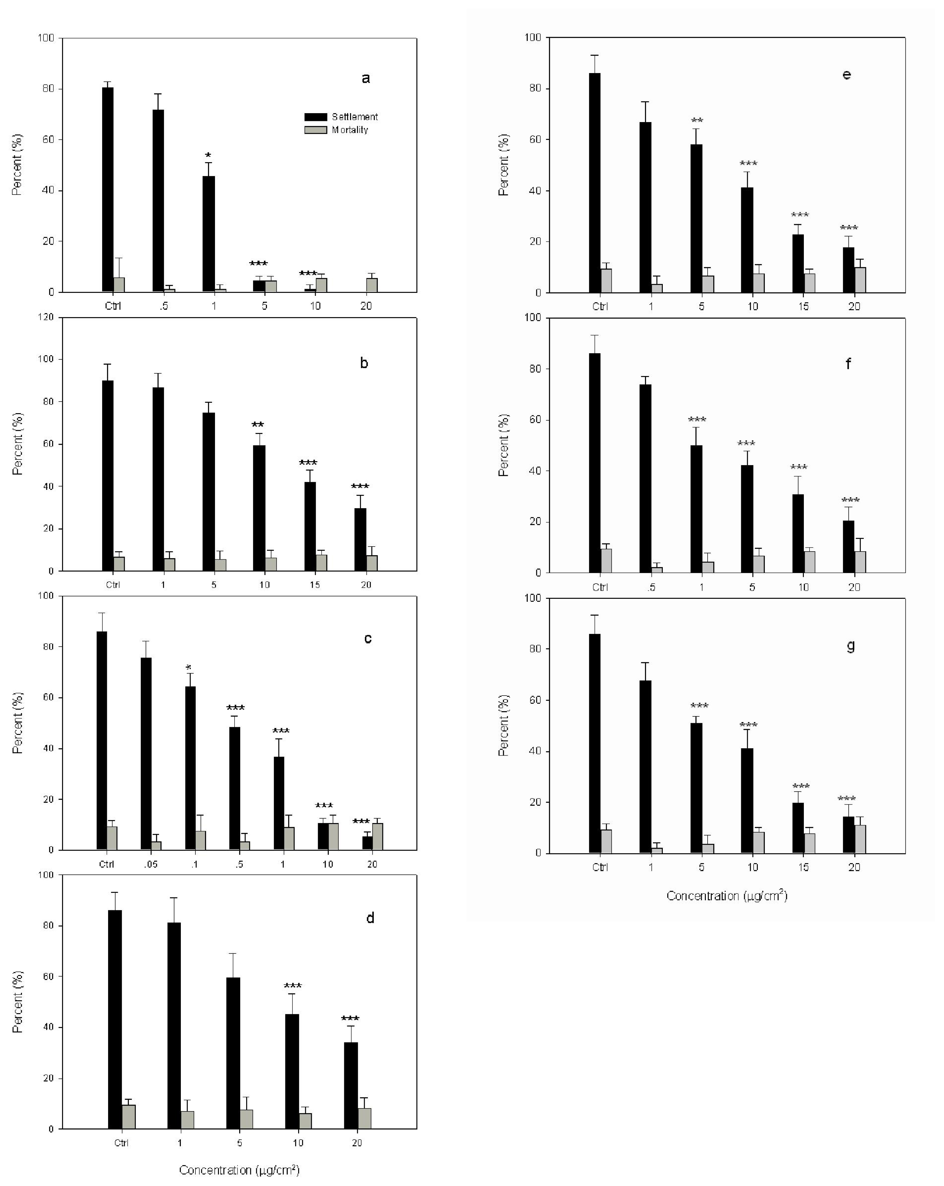
2.2. Antifouling Activity of Terpenoids
3. Experimental Section
3.1. General
3.2. Extraction and Isolation
3.3. Antifouling Assay
4. Conclusions
Acknowledgments
References
- Richmond, MD; Seed, R. A review of marine macrofouling communities with special reference to animal fouling. Biofouling 1991, 2, 151–168. [Google Scholar]
- Yebra, DM; Kiil, S; Dam-Johansen, K. Antifouling technology-past, present and future steps towards efficient and environmentally friendly antifouling coatings. Prog. Org. Coat 2004, 50, 75–104. [Google Scholar]
- Kwong, TFN; Miao, L; Li, X; Qian, PY. Novel antifouling and antimicrobial compound from a marine-derived fungus Ampelomyces sp. Mar. Biotechnol 2006, 8, 634–640. [Google Scholar]
- Thomas, KV. The environmental fate and behavior of antifouling paint booster biocides: A review. Biofouling 2001, 17, 73–86. [Google Scholar]
- Wahl, M; Kröger, K; Lenz, M. Non-toxic protection against epibiosis. Biofouling 1998, 12, 205–226. [Google Scholar]
- Wahl, M. Marine epibiosis. I. Fouling and antifouling: some basic aspects. Mar. Ecol. Prog. Ser 1989, 58, 175–189. [Google Scholar]
- Slattery, M; McClintock, JB; Heine, JN. Chemical defenses in Antarctic soft corals: evidence for antifouling compounds. J. Exp. Mar. Biol. Ecol 1995, 190, 61–77. [Google Scholar]
- Maréchal, JP; Hellio, C. Development of new non-toxic antifouling solutions. Int. J. Mol. Sci 2009, 10, 4623–4637. [Google Scholar]
- Chen, JD; Feng, DQ; Yang, ZW; Wang, ZC; Qiu, Y; Lin, YM. Antifouling metabolites from the mangrove plant Ceriops tagal. Molecules 2008, 13, 212–219. [Google Scholar]
- Qian, PY; Xu, Y; Fusetani, N. Natural products as antifouling compounds: recent progress and future perspectives. Biofouling 2010, 26, 223–234. [Google Scholar]
- Raveendran, TV; Limna Mol, VP. Natural product antifoulants. Curr. Sci. India 2009, 97, 508–520. [Google Scholar]
- Qiu, Y; Deng, ZW; Xu, MJ; Li, QS; Lin, WH. New A-nor steroids and their antifouling activity from the Chinese marine sponge Acanthella cavernosa. Steroids 2008, 73, 1500–1504. [Google Scholar]
- Wang, ZC; Lin, YM; Feng, DQ; Ke, CH; Lin, P; Yan, CL; Chen, JD. A new atisane-type diterpene from the bark of the mangrove. Molecules 2009, 14, 414–422. [Google Scholar]
- Blunt, JW; Copp, BR; Hu, WP; Munro, MHG; Northcote, PT; Prinsep, MR. Marine natural products. Nat. Prod. Rep 2009, 26, 170–244. [Google Scholar]
- Gershenzon, J; Dudareva, N. The function of terpene natural products in the natural world. Nat. Chem. Biol 2007, 3, 408–414. [Google Scholar]
- De Carvalho, CCCR; Fernandes, P. Production of metabolites as bacterial responses to the marine environment. Mar. Drugs 2010, 8, 705–727. [Google Scholar]
- Chen, JD; Yi, RZ; Sun, CL; Feng, DQ; Lin, YM. Antifouling activity of simple synthetic diterpenoids against larvae of the barnacle Balanus albicostatus Pilsbry. Molecules 2010, 15, 8072–8081. [Google Scholar]
- Lal, AR; Cambie, RC; Rutledge, PS; Woodgate, PD. Ent-Pimarane and ent-abietane diterpenes from Euphorbia fidjiana. Phytochemistry 1990, 29, 2239–2246. [Google Scholar]
- Ma, GX; Wang, TS; Yin, L; Pan, Y. Two pimarane diterpenoids from Ephemerantha ionchophylla and their evaluation as modulators of the multidrug resistance phenotype. J. Nat. Prod 1998, 61, 112–115. [Google Scholar]
- Luo, XD; Wu, SH; Ma, YB; Wu, DG. Ent-pimarane derivatives from Dysoxylum hainanense. Phytochemistry 2001, 57, 131–134. [Google Scholar]
- Xiang, Y; Zhang, H; Fan, CQ; Yue, JM. Novel diterpenoids and diterpenoid glycosides from Siegesbeckia orientalis. J. Nat. Prod 2004, 67, 1517–1521. [Google Scholar]
- Koike, K; Cordell, GA; Farnsworth, NR. New cytotoxic diterpenes from Rondeletia panamensis (Rubiaceae). Tetrahedron 1980, 36, 1167–1172. [Google Scholar]
- Zhang, Y; Deng, Z; Gao, T; Proksch, P; Lin, W. Tagalsins A-H, dolabranes-type diterpenes from the mangrove plant, Ceriops tagal. Phytochemistry 2005, 66, 1465–1471. [Google Scholar]
- Nagashima, F; Tori, M; Asakawa, Y. Diterpenoids from the east Malaysian liverwort Schistochila aligera. Phytochemistry 1991, 30, 849–851. [Google Scholar]
- Ouyang, XW; Wang, XC; Yue, QX; Hu, LH. A new dolabrane-type diterpene from Ceriops tagal. Nat. Prod. Commun 2010, 5, 9–12. [Google Scholar]
- Chen, JD; Qiu, Y; Yang, ZW; Lin, P; Lin, YM. Dimeric diterpenes from the roots of the mangrove plant Ceriops tagal. Helv. Chim Acta 2008, 91, 2292–2298. [Google Scholar]
- Zhang, Y; Lu, Y; Mao, L; Proksch, P; Lin, WH. Tagalsins I and J, two novel tetraterpenoids from the mangrove plant, Ceriops tagal. Org. Lett 2005, 7, 3037–3040. [Google Scholar]
- Wang, XC; Ouyang, XW; Hu, LH. Three new lupane-type triterpenes from Ceriops tagal. J. Asian Nat. Prod. Res 2010, 12, 576–581. [Google Scholar]
- Diqui, S; Hafeez, F; Begum, S; Siddiqui, BS. Oleanderol, a new pentacyclic triterpene from the leaves of Nerium oleander. J. Nat. Prod 1988, 51, 229–233. [Google Scholar]
- Kuroyanagi, M; Shiotsu, M; Ebihara, T; Kawai, H; Ueno, A; Fukushima, S. Chemical studies on Vibumum awabuki K. Koch. Chem. Pharm. Bull 1986, 34, 4012–4017. [Google Scholar]
- Tinto, WF; Blair, LC; Allj, A. Lupane triterpenoids of Salacia cordata. J. Nat. Prod 1992, 55, 395–398. [Google Scholar]
- Feng, DQ; Ke, CH; Li, SJ; Lu, CY; Guo, F. Pyrethroids as promising marine antifoulants: laboratory and field studies. Mar. Biotechnol 2009, 11, 153–160. [Google Scholar]
- Hellio, C; Tsoukatou, M; Maréchal, JP; Aldred, N; Beaupoil, C; Clare, AS; Vagias, C; Roussis, V. Inhibitory effects of Mediterranean sponge extracts and metabolites on larval settlement of the barnacle Balanus amphitrite. Mar. Biotechnol 2005, 7, 297–305. [Google Scholar]
- Rittschof, D; Clare, AS; Gerhart, DJ; Mary, SA; Bonaventura, J. Barnacle in vitro assays for biologically active substance: toxicity and settlement inhibition assays using mass cultured Balanus amphitrite amphitrite Darwin. Biofouling 1992, 6, 115–122. [Google Scholar]
- Rittschof, D; Lai, CH; Kok, LM; Teo, SLM. Pharmaceuticals as antifoulants: concept and principles. Biofouling 2003, 19s, 207–212. [Google Scholar]
- Hamilton, MA; Russo, RC; Thurston, RV. Trimmed Spearman-Karber method for estimating median lethal concentrations in toxicity bioassays. Environ. Sci. Technol 1977, 11, 714–719. [Google Scholar]
- Hamilton, MA; Russo, RC; Thurston, RV. Correction to: Hamilton, M.A., Russo, R.C., Thurston, R.V. Trimmed Spearman-Karber method for estimating median lethal concentrations in toxicity bioassays. Environ. Sci. Technol 1978, 12, 417. [Google Scholar]




| No. | δC | δH | No. | δC | δH |
|---|---|---|---|---|---|
| 1 | 39.2 t | 0.95 (m) | 1′ | 22.2 t | 2.28 (m) |
| 1.71 (m) | 2.56 (dd, J = 7.8, 14.4 Hz) | ||||
| 2 | 19.0 t | 1.53 (m) | 2′ | 113.6 s | |
| 3 | 42.1 t | 1.40 (m) | 3′ | 148.6 s | |
| 1.19 (m) | 4′ | 139.5 s | |||
| 4 | 33.3 s | 5′ | 39.1 s | ||
| 5 | 55.0 d | 1.06 (m) | 6′ | 36.8 t | 2.17 (m) |
| 6 | 22.7 t | 1.58 (m) | 1.54 (m) | ||
| 1.34 (m) | 7′ | 25.6 t | 1.19 (m) | ||
| 7 | 36.23 t | 2.05 (m) | 8′ | 43.0 d | 1.47 (m) |
| 2.36 (d, J = 15 Hz) | 9′ | 38.1 s | |||
| 8 | 137.7 s | 10′ | 53.3 d | 1.38 (m) | |
| 9 | 49.8 d | 1.74 (m) | 11′ | 35.2 t | 1.60 (m) |
| 10 | 38.87 s | 1.34 (m) | |||
| 11 | 18.6 t | 1.60 (m) | 12′ | 32.0 t | 1.54 (m) |
| 1.10 (m) | 1.31 (m) | ||||
| 12 | 32.4 t | 1.68 (m) | 13′ | 36.18 s | |
| 1.22 (m) | 14′ | 38.93 t | 1.36 (m) | ||
| 13 | 38.0 s | 1.04 (m) | |||
| 14 | 128.5 d | 5.55 (s) | 15′ | 151.0 d | 5.81 (dd, J = 12.6, 21 Hz) |
| 15 | 56.2 d | 3.20 (s) | 16′ | 109.0 t | 4.82 (d, J = 13.2 Hz) |
| 4.92 (d, J = 21 Hz) | |||||
| 16 | 177.0 s | 17′ | 23.0 q | 1.01 (s) | |
| 17 | 24.7 q | 0.99 (s) | 18′ | 105.9 t | 5.26 (s) |
| 18 | 33.7 q | 0.89 (s) | 5.08 (s) | ||
| 19 | 22.1 q | 0.85 (s) | 19′ | 33.1 q | 1.14 (s) |
| 20 | 15.4 q | 0.82 (s) | 20′ | 11.8 q | 0.57 (s) |
| Compound | Skeleton structure | EC50 (μg/cm2) | LC50 (μg/cm2) |
|---|---|---|---|
| Capsaicin (positive control) | - | 1.32 ± 0.02 b | > 250 |
| 8(14)-enyl-pimar-2′(3′)-en-4′(18′)-en-15′(16′)-en-dolabr-16,15,2′,3′-oxoan-16-one (1) | Dimeric diterpenoid | 13.94 ± 0.81 f | > 250 |
| Tagalsin C (2) | Diterpenoid | 0.65 ± 0.02 a | > 250 |
| Tagalsin I (3) | Dimeric diterpenoid | 11.67 ± 0.47 e | > 250 |
| lup-20(29)-ene-3β,28-diol (4) | Triterpenoid | 9.27 ± 0.30 d | > 250 |
| 3-oxolup-20(29)-en-28-oic acid (5) | Triterpenoid | 3.50 ± 0.24 c | > 250 |
| 28-hydroxylup-20(29)-en-3-one (6) | Triterpenoid | 8.73 ± 0.43 d | > 250 |
© 2011 by the authors; licensee MDPI, Basel, Switzerland. This article is an open-access article distributed under the terms and conditions of the Creative Commons Attribution license (http://creativecommons.org/licenses/by/3.0/).
Share and Cite
Chen, J.-D.; Yi, R.-Z.; Lin, Y.-M.; Feng, D.-Q.; Zhou, H.-C.; Wang, Z.-C. Characterization of Terpenoids from the Root of Ceriops tagal with Antifouling Activity. Int. J. Mol. Sci. 2011, 12, 6517-6528. https://doi.org/10.3390/ijms12106517
Chen J-D, Yi R-Z, Lin Y-M, Feng D-Q, Zhou H-C, Wang Z-C. Characterization of Terpenoids from the Root of Ceriops tagal with Antifouling Activity. International Journal of Molecular Sciences. 2011; 12(10):6517-6528. https://doi.org/10.3390/ijms12106517
Chicago/Turabian StyleChen, Jun-De, Rui-Zao Yi, Yi-Ming Lin, Dan-Qing Feng, Hai-Chao Zhou, and Zhan-Chang Wang. 2011. "Characterization of Terpenoids from the Root of Ceriops tagal with Antifouling Activity" International Journal of Molecular Sciences 12, no. 10: 6517-6528. https://doi.org/10.3390/ijms12106517
APA StyleChen, J.-D., Yi, R.-Z., Lin, Y.-M., Feng, D.-Q., Zhou, H.-C., & Wang, Z.-C. (2011). Characterization of Terpenoids from the Root of Ceriops tagal with Antifouling Activity. International Journal of Molecular Sciences, 12(10), 6517-6528. https://doi.org/10.3390/ijms12106517
