Synthesis of 4′,7-Diacetoxyapigenin and Its Apoptotic Induction in Human Hep G2 Cells
Abstract
:1. Introduction
2. Results and Discussion
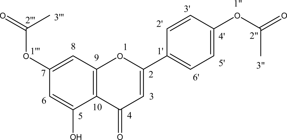
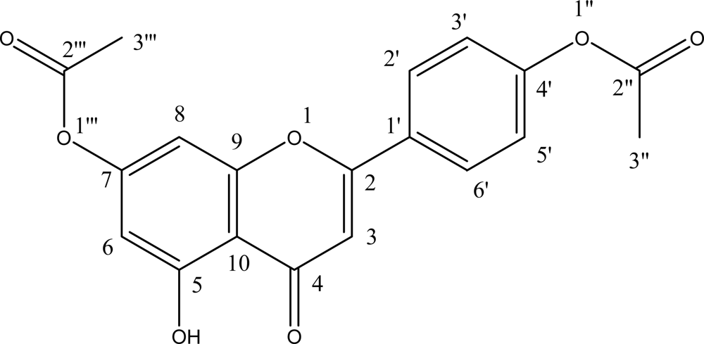
2.1. Identification of 4′,7-Diacetoxyapigenin
2.2. Anti-Proliferation Activity of 4′,7-Diacetoxyapigenin on Hep G2 Cells
2.3. Flow Cytometry Analysis of Cell Cycle and Cell Apoptosis
3. Experimental Section
3.1. Materials and Instrumentation
3.2. Synthesis of 4′,7-Diacetoxyapigenin
3.3. Cell Culture and Drug Treatment
3.4. MTT Assay
3.5. Flow Cytometry Analysis
4. Conclusions
Acknowledgments
References and Notes
- Jacobson, MD; Weil, M; Raff, MC. Programmed cell death in animal development. Cell 1997, 88, 347–354. [Google Scholar]
- Nagata, S. Apoptosis by death factor. Cell 1997, 88, 355–365. [Google Scholar]
- Kidd, VJ. Proteolytic activities that mediate apoptosis. Annu. Rev. Physiol 1998, 60, 533–573. [Google Scholar]
- Thompson, CB. Apoptosis in the pathogenesis and treatment of disease. Science 1995, 267, 1456–1462. [Google Scholar]
- Nayfield, SG; Karp, JE; Ford, LG; Dorr, FA; Kramer, BS. Potential role of tamoxifen in prevention of breast cancer. J. Natl. Cancer Inst 1991, 83, 1450–1459. [Google Scholar]
- Hanahan, D; Weinberg, RA. The hallmarks of cancer. Cell 2000, 100, 57–70. [Google Scholar]
- Kastan, MB; Canman, CE; Leonard, CJ. Cell cycle control and apoptosis: implications for cancer. Cancer Metastasis Rev 1995, 14, 3–15. [Google Scholar]
- Schulte-Hermann, R; Bursch, W; Low-Baselli, A; Wagner, A; Grasl-Kraupp, B. Apoptosis in the liver and its role in hepatocarcinogenesis. Cell Biol. Toxicol 1997, 13, 339–348. [Google Scholar]
- Smets, A. Programmed cell death (apoptosis) and response to anti-cancer drugs. Anticancer Drugs 1994, 5, 3–9. [Google Scholar]
- Kornblau, SM. The role of apoptosis in the pathogenesis, prognosis, and therapy of hematologic malignancies. Leukemia 1998, 12, S41–S46. [Google Scholar]
- Chiang, L; Ng, LT; Lin, I; Kuo, P; Lin, C. Anti-Proliferative effect of apigenin and its apoptotic induction in human Hep G2 cells. Cancer Lett 2006, 237, 207–214. [Google Scholar]
- Van Engeland, M; Nieland, LJW; Ramaekers, FCS; Schutte, B; Reutelingsperger, CPM. Annexin V-affinity assay: a review on an apoptosis detection system based on phosphatidylserine exposure. Cytometry 1998, 31, 1–9. [Google Scholar]
- Liu, B; Ning, Z; Gao, J; Xu, K. Preparing Apigenin from Leaves of Adinandra nitida. Food Technol. Biotech 2008, 46, 111–115. [Google Scholar]
- Mosmann, T. Rapid colorimetric assay for cellular growth and survival: Application to proliferation and cytoxicity assays. J. Immunol. Methods 1983, 65, 55–63. [Google Scholar]





© 2010 by the authors; licensee Molecular Diversity Preservation International, Basel, Switzerland. This article is an open-access article distributed under the terms and conditions of the Creative Commons Attribution license (http://creativecommons.org/licenses/by/3.0/).
Share and Cite
Xu, K.; Liu, F.; Liu, B.; Gao, H.; Ning, Z. Synthesis of 4′,7-Diacetoxyapigenin and Its Apoptotic Induction in Human Hep G2 Cells. Int. J. Mol. Sci. 2010, 11, 1991-1998. https://doi.org/10.3390/ijms11051991
Xu K, Liu F, Liu B, Gao H, Ning Z. Synthesis of 4′,7-Diacetoxyapigenin and Its Apoptotic Induction in Human Hep G2 Cells. International Journal of Molecular Sciences. 2010; 11(5):1991-1998. https://doi.org/10.3390/ijms11051991
Chicago/Turabian StyleXu, Keyong, Feng Liu, Benguo Liu, Han Gao, and Zhengxiang Ning. 2010. "Synthesis of 4′,7-Diacetoxyapigenin and Its Apoptotic Induction in Human Hep G2 Cells" International Journal of Molecular Sciences 11, no. 5: 1991-1998. https://doi.org/10.3390/ijms11051991
APA StyleXu, K., Liu, F., Liu, B., Gao, H., & Ning, Z. (2010). Synthesis of 4′,7-Diacetoxyapigenin and Its Apoptotic Induction in Human Hep G2 Cells. International Journal of Molecular Sciences, 11(5), 1991-1998. https://doi.org/10.3390/ijms11051991
