Lysis of Microcystis aeruginosa with Extracts from Chinese Medicinal Herbs
Abstract
:1. Introduction
2. Results and Discussion
2.1. Results
2.1.1. Anticyanobacterial Screening
2.1.2. Determination of M. aeruginosa-Inhibiting Abilities of 16 Selected Chinese Herbs Extracts
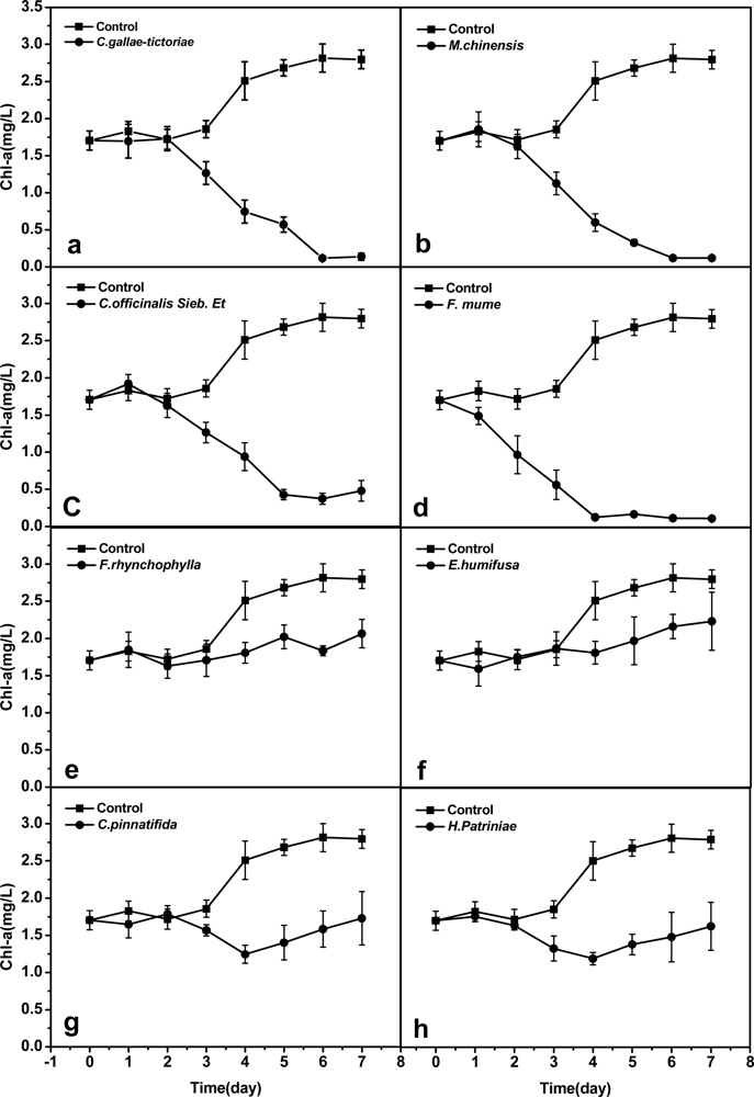
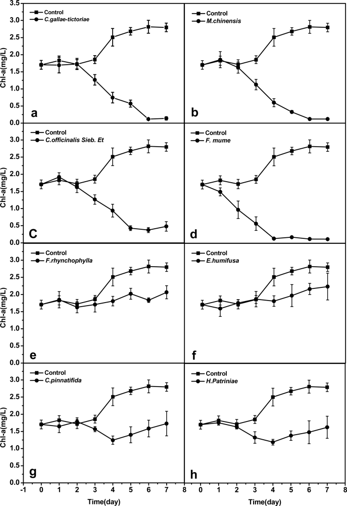
2.1.3. Dynamic Analysis of Chlorophyll-a in M. aeruginosa with Remained 8 Chinese Herbs Extracts
2.2. Discussion
3. Experimental Section
3.1. Cyanobacteria Culture and Chinese Medicinal Herbs
3.2. Preparation of the Extracts
3.3. Measurement of Anticyanobacterial Activity
3.4. Determination of Minimum Inhibitory Concentration (MIC)
3.5. Extraction and Measurement of Cyanobacterial Chlorophyll a
4. Conclusions
Acknowledgments
References and Notes
- Chow, CWK; House, J; Velzeboer, RMA; Drikas, M; Burch, MD; Steffensen, DA. The effect offerricc hloride flocculation on cyanobacterial cells. Water Res 1998, 32, 808–814. [Google Scholar]
- Codd, GA; Bell, SG; Kaya, K; Ward, CJ; Beattie, KA; Metcalf, JS. Cyanobacterial toxins, exposure routes and human health. Eur J Phycol 1999, 34, 405–415. [Google Scholar]
- Reynolds, CS; Walsby, AE. Water blooms. Biol Res 1975, 50, 437–481. [Google Scholar]
- Hrudey, S; Burch, S; Burch, M; Drikas, M; Greorgy, R. Toxic cyanobacteria in water, a guide to their public health consequences, monitoring and management. In Remedial Measures; Chorus, I, Bartram, J, Eds.; Routledge: London, UK, 1999; pp. 275–312. [Google Scholar]
- Choi, HJ; Kim, BH; Kim, JD; Han, MS. Streptomyces neyagawaensis as a control for the hazardous biomass of Microcystis aeruginosa (Cyanobacteria) in eutrophic freshwaters. Biol Control 2005, 33, 335–343. [Google Scholar]
- Schrader, KK; Nanayakkara, NPD; Tucker, CS; Rimando, AM; Ganzera, M; Schaneberg, BT. Novel derivatives of 9,10-anthraquinone are selective algicides against the musty-odor cyanobacterium Oscillatoria perornata. Appl. Environ. Microbiol 2003, 69, 5319–5327. [Google Scholar]
- Bensky, D; Gamble, A. Chinese herbal medicine. In Materia Medica; Rev edEastland Press, Inc: Seattle, WA, USA, 1993; pp. 13–17. [Google Scholar]
- Deans, SG; Ritchie, GA. Antimicrobial properties of plant essential oils. Int. J. Food Microbiol 1987, 5, 165–180. [Google Scholar]
- Ozaki, K; Ohta, A; Iwata, C; Horikawa, A; Tsuji, K; Ito, E; Ikai, Y; Harada, KI. Lysis of cyanobacteria with volatile organic compounds. Chemosphere 2008, 7, 1531–1538. [Google Scholar]
- Cowan, MM. Plant products as antimicrobial agents. Clin. Microbiol. Rev 1999, 12, 564–582. [Google Scholar]
- Shen, HM; Qiao, CZ; Su, ZW. Quantitative dynamic analysis of the main component of organic acid in the Fructus mume. Chin. Pharmaceu. J 1995, 30, 133–135. [Google Scholar]
- Nikolaus, BE; Wayman, BE; Encinas, E. The bactericidal effect of citric acid and sodium hypochlorite on anaerobic bacteria. J. Endod 1988, 14, 31–34. [Google Scholar]
- Georgopoulou, M; Kontakiotis, E; Nakou, M. Evaluation of the antimicrobial effectiveness of citric acid and sodium hypochlorite on the anaerobic flora of the infected root canal. Int. Endod. J 1994, 27, 139–143. [Google Scholar]
- Greer, GG; Dilts, BG. Lactic acid inhibition of the growth of spoilage bacteria and cold tolerant pathogens on pork. Int. J. Food Microbiol 1995, 25, 141–151. [Google Scholar]
- Takamura, Y; Yamada, T; Kimoto, A; Kanehama, N; Tanaka, T; Nakadaira, S; Yagi, O. Growth inhibition of microcystis cyanobacteria by l-lysine and disappearance of natural microcystis blooms with spraying. Microb Environ 2004, 19, 31–39. [Google Scholar]
- Tian, F; Li, B; Ji, BP; Yang, JH; Zhang, GZ; Chen, Y; Luo, YC. Antioxidant and antimicrobial activities of consecutive extracts from Galla chinensis: The polarity affects the bioactivities. Food Chem 2009, 113, 173–179. [Google Scholar]
- Sun, DW. Chemistry of Vegetable Tannins (in Chinese); Chinese Forest Press: Beijing, China, 1992; Chapter 1pp. 257–260. [Google Scholar]
- Ahn, YJ; Lee, CO; Kweon, JH; Ahn, JW; Park, JH. Growth-inhibitory effects of Galla Rhois-derived tannins on intestinal bacteria. J. Appl. Microbiol 1998, 84, 439–443. [Google Scholar]
- Stanier, R; Kunisawa, R; Mandel, M; Cohen-Bazire, G. Purification and properties of unicellular blue-green algae (Order Chroococcales). Bacteriol Rev 1971, 35, 171–205. [Google Scholar]
- Uchida, H; Kouchiwa, T; Watanabe, K; Kawasaki, A; Hodoki, Y; Otani, I; Yamamoto, Y; Suzuki, M; Harada, KI. A coupled assay system for the lysis of cyanobacteria. Jpn J Water Treat Biol 1998, 34, 67–75. [Google Scholar]
- National Committee for Clinical Laboratory Standards (NCCLS). Performance Standards for Antimicrobial Susceptibility Test, Ninth International Supplement. M100-S9; NCCLS: Wayne, PA, USA, 1999. [Google Scholar]
- Bassole, IHN; Quattara, AS; Nebie, R; Quattara, CAT; Kabore, ZI; Traore, SA. Chemical composition and antibacterial activities of the essential oils of Lippia chevalieri and Lippia multiflora from Burkina Faso. Phytochemistry 2003, 62, 209–212. [Google Scholar]
- Parsons, TR; Strickland, JDH. Discussion of spectrophotometric determination of marine-plant pigments, with revised equations for ascertaining chlorolphylls and carotenoids. J. Mar. Res 1963, 21, 155–163. [Google Scholar]

| Botanical name | English name | Part tested | M.aeruginosa |
|---|---|---|---|
| Control | N | − | |
| P | ++ | ||
| Cornus officinalis Sieb. et Zucc | Medical Dogwood | Fruit | +++ |
| Malaphis chinensis | Gallnut | Gallae | +++ |
| Fructus mume | Smoked Plum | Fruit | +++ |
| Cynips gallae-tinctoriae Olivier | Nutgall | Gallae | +++ |
| Euphorbia humifusa Willd | Humifuse Spurge | Whole plant | ++ |
| Fraxinus rhynchophylla Hance | Ash Bark | Peel | ++ |
| Crataegus pinnatifida | Hawthorn | Fruit | ++ |
| Rubia cordifolia Linn. | India Madder Root | Whole plant | + |
| Polygala tenuifolia Willd | Thinleaf Milkwort Root | Whole plant | + |
| Acorus tatarinowii Schott | Rhizoma Acori Tatarinowii | Whole plant | + |
| Sophora flavescens Alt | Lightyellow Sophora Root | Rhizome | + |
| Rhizoma Chuanxiong | Ligusticum Chuanxiong Hort | Rhizome | + |
| Rhizoma Corydalis | Yanhusuo | Whole plant | + |
| Forsythia suspensa (Thunb.) Vahl | Weeping Forsythia | Whole plant | + |
| Herba Patriniae | White flower Patrinia Herb | Whole plant | + |
| Ranunculus ternatus Thunb | Radix Ranunculi Ternati | Whole plant | + |
| Eichhornia crassipes (Mart.) Solms | Weter Hyacinth | Branch | − |
| Suaeda glauca Bge | Common Seepweed Herb | Whole plant | − |
| Houttuynia cordata Thuhb | Herba Houttuyniae | Whole plant | − |
| Isatis tinctoria L | Isatis Root | Rhizome | − |
| Herba Taraxaci | Dandelion | Whole plant | − |
| Pulsatilla chinensis (Bunge) Regel | Anemone | Whole plant | − |
| CoptischinensisFranch | Coptis Chinensis | Whole plant | − |
| Folium Isatidis | Folium Isatidis | Leaf | − |
| Prunella vulgaris | Spica Prunellae | Whole plant | − |
| Punica granatum | Pomegranate | Peel | − |
| Terminalia chebula Retz | Medicine Terminalia Fruit | Fruit | − |
| Gardenia: jasminoides Ellis | Cape Jasmine | Fruit | − |
| Viola philippica ssp.munda W. Beck | Purple flower Violet | Leaf | − |
| Anemarrhena asphodeloides Bunge | Common Rhizoma Anemarrhenae | Fruit | − |
| Rhizoma Cyperi | Nutgrass Galingale Rhizom | Fruit | − |
| Lithospermum erythrorhizon Sieb.et Zucc | Gromwell Root | Whole plant | − |
| Herba Artemisiae Annuae | Sweet Wormwood Herb | Whole plant | − |
| Zanthoxylum bungeanum | Pricklyash Peel | Fruit | − |
| Aucklandia lappa Decne. | Radix Aucklandiae | Rhizome | − |
| Glycyrrhiza uralensis Fisch | Licorice Roots Northwest Origin | Whole plant | − |
| Rhizoma Smilacis Glabrae | Glabrous Greenbrier Rhizome | Rhizome | − |
| Sanguisorba officinalis Linn | Garden Burnet | Rhizome | − |
| Pericarpium Citri Reticulatae | Dried Tangerine peel | peel | − |
| Herba Senecionis Scandentis | Climbing Groundsel Herb | Whole plant | − |
| Schisandra chinensis (Turcz.) Baill | Chinese Magnolivine Fruit | Fruit | − |
| Clematis chinensis Osbeck | Radix Clematidis | Whole plant | − |
| Drynaria fortunei (Kunze) J. SM | -- | Rhizome | − |
| Benincasa hispide Thunb | White gourd | Peel | − |
| Astragalus membranaceus (Fisch.) Bunge | Astragali | Rhizome | − |
| Bupleurum chinense DC | Bupleuri | Rhizome | − |
| Geranium wilfordii Maxim | Herba erodii | Whole plant | − |
| Subgen. Tsutsusi (G. Don) Pojarkova | Loquat | Leaf | − |
| Cortex Cinnamomi Cassiae | Cinnamon | Rhizome | − |
| Andrographis paniculata(Burm.f.) Nees | Common Andrographis Herb | Whole plant | − |
| Lonicera japonica Thunb | Flos Lonicerae | Flower | − |
| Tradescantia albiflora | -- | Whole plant | − |
| Portulaca oleracea Linn | Purslane | Whole plant | − |
| Plantago asiatica L | plantain | Whole plant | − |
| Trachelospermum jasminoides (Lindl.)Lem | Caulis Trachelospermi | Whole plant | − |
| Semen Cassiae | Cassia Seed | Seed | − |
| Pogostemon cablin (Blanco) Benth | Agastache rugosa | Whole plant | − |
| Folium llicis Latifoliae | Broadleaf Holly leaf | Leaf | − |
| Cyrtomium fortunei J. Sm | Cyrtomii Rhizoma | Rhizome | − |
| Herba Menthae Heplocalycis | Wild Mint Herb | Leaf | − |
| Syzygium aromaticum (L.) Merr. Et Perry | Flos Caryophyllata | Leaf | − |
| Platycladus orientalis (Linn.)Franco | Arborvitae | Leaf | − |
| Magnolia liliiflora Desr | Flos Magnoliae | Fruit | − |
| Areca catechu Linn | Betel nut | Peel | − |
| Dryobalanops aromatica Gaertn. f. | Borneol | Resin | − |
| Sterculia lychnophera Hance | Boat-fruited Sterculia Seed | Fruit | − |
| Gynostemma pentaphyllum Thunb. Makino | Fiveleaf Gynostemma Herb | Leaf | − |
| Reynoutria japonica Houtt | Rhizoma Polygoni Cuspidati | Leaf | − |
| Botanical name | English name | Part tested | MIC (mg/mL) |
|---|---|---|---|
| Cynips gallae-tinctoriae Olivier | Nutgall | Gallae | 0.39 |
| Malaphis chinensis | gallnu | Gallae | 0.39 |
| Herba Patriniae | White flower Patrinia Herb | Whole plant | 0.78 |
| Fructus mume | Smoked Plum | Fruit | 0.78 |
| Crataegus pinnatifida | Nippon Hawthorn Fruit | Fruit | 3.125 |
| Cornus officinalis Sieb. et Zucc | Medical Dogwood | Fruit | 3.125 |
| Fraxinus rhynchophylla Hance | Ash Bark | Peel | 3.125 |
| Euphorbia humifusa Willd | Humifuse Spurge | Whole plant | 3.125 |
| Forsythia suspensa (Thunb.) Vahl | Weeping Forsythia | Whole plant | 6.25 |
| Polygala tenuifolia Willd | Thinleaf Milkwort Root | Whole plant | 6.25 |
| Rubia cordifolia Linn. | India Madder Root | Whole plant | 6.25 |
| Ranunculus ternatus Thunb | Radix Ranunculi Ternati | Whole plant | 12.5 |
| Acorus tatarinowii Schott | Rhizoma Acori Tatarinowii | Whole plant | 12.5 |
| Rhizoma Chuanxiong | Ligusticum Chuanxiong Hort | Rhizome | 12.5 |
| Sophora flavescens Alt | Lightyellow Sophora Root | Rhizome | 25 |
| Rhizoma Corydalis | Yanhusuo | Whole plant | 25 |
© 2009 by the authors; licensee Molecular Diversity Preservation International, Basel, Switzerland. This article is an open-access article distributed under the terms and conditions of the Creative Commons Attribution license (http://creativecommons.org/licenses/by/3.0/).
Share and Cite
Yang, J.-D.; Hu, L.-B.; Zhou, W.; Yin, Y.-F.; Chen, J.; Shi, Z.-Q. Lysis of Microcystis aeruginosa with Extracts from Chinese Medicinal Herbs. Int. J. Mol. Sci. 2009, 10, 4157-4167. https://doi.org/10.3390/ijms10094157
Yang J-D, Hu L-B, Zhou W, Yin Y-F, Chen J, Shi Z-Q. Lysis of Microcystis aeruginosa with Extracts from Chinese Medicinal Herbs. International Journal of Molecular Sciences. 2009; 10(9):4157-4167. https://doi.org/10.3390/ijms10094157
Chicago/Turabian StyleYang, Jing-Dong, Liang-Bin Hu, Wei Zhou, Yu-Fen Yin, Jian Chen, and Zhi-Qi Shi. 2009. "Lysis of Microcystis aeruginosa with Extracts from Chinese Medicinal Herbs" International Journal of Molecular Sciences 10, no. 9: 4157-4167. https://doi.org/10.3390/ijms10094157
APA StyleYang, J.-D., Hu, L.-B., Zhou, W., Yin, Y.-F., Chen, J., & Shi, Z.-Q. (2009). Lysis of Microcystis aeruginosa with Extracts from Chinese Medicinal Herbs. International Journal of Molecular Sciences, 10(9), 4157-4167. https://doi.org/10.3390/ijms10094157
