Abstract
A new method has been designed to prepare the known benzoxazinone derivative 2-(N-phthaloylmethyl)-4H-3,1-benzoxazin-4-one (4). The acyl chloride derivative N-phthaloylglycine reacts with anthranilic acid in chloroform, in the presence of triethylamine, to give an intermediate that is then reacted with cyanuric chloride, used as a cyclization agent, to produce the benzoxazinone derivative.
Introduction
Due to their interesting biological and other properties, 4H-3,1-benzoxazin-4-one derivatives are an important class of compounds [1,2,3,4]. Like other heterocyclic compounds, they are used directly or indirectly in many industrial, research and clinical applications. For example, they can be used as starting materials for different clinically used 4-quinazolone derivatives [5,6,7,8,9]. Benzoxazinone derivatives are also used as antiphlogistic drugs [2,10]. Anthalexine, another compound of this type, finds use as an antifungal and antibacterial agent [11,12,13,14]. If a vinyl or phosphate functional group is connected to an aromatic ring located at the position 2 of the heterocycle, as in benzoxazinones 1 and 2 (Scheme 1), the resulting compounds possess antimuscular contraction properties and can be used as a hypnotic drug [3,15].
Scheme 1.
Scheme 1.

Considering the special structure of benzoxazinone derivatives, two sites are available for nucleophilic attack, that is, two different sites with partial positive charges that can lead to the opening of heterocyclic part of benzoxazinone derivatives by different attacking nucleophiles. In most of cases, reclosure of the heterocyclic part of the molecule provides a new compound with interesting chemical properties [16]. Competition between the two mentioned sites towards nucleophilic attack depends on different parameters such as the size of the nucleophile, the nucleophilicity of the nucleophile and the nature of the substituted nucleophile with respect to the two rings of the benzoxazinone. In general, benzoxazinone derivatives offer good opportunities for substitution reactions at position number 2 of the heterocycle and positions 5, 6, 7 and 8 of the aromatic ring. This characteristic of the molecule enhances the flexibility of the methods which may be used for the synthesis of benzoxazinone derivatives. Reported methods for the synthesis of benzoxazinone derivatives can be divided into three classes: (1) methods in which the synthetic strategy leads to intermediates from which a benzoxazinone ring may be obtained under the influence of a cyclization agent [17]; (2) methods based on the selection of reactants with heteroatoms in a suitable location; these reactants have the required potential for assembling the heterocyclic part of the benzoxazinone molecule or they should be able to reform in order to achieve this capability [18] and (3), methods in which the formation of anthranyl(3,1-benzisoxazole) is a key step of the reaction [19]. The general structure of an intermediate that can be converted into a benzoxazinone ring with the aid of a cyclization agent can be represented by molecule 3.
Compound 3 is formally a derivative of anthranilic acid in which group A, i.e. the group ending up at the 2 position of the final benzoxazinone product, is a stable group, while OB group is a leaving group that can induce the heterocylization process. The cyclization agent causes a nucleophilic attack of the oxygen atom towards the carbon atom connected to the leaving group OB and thus forms the heterocyclic ring of the benzoxazinone molecule (Scheme 2).
Scheme 2.
Scheme 2.

Considering the structural features of these intermediates, we may expect that the three following classes of the compounds can cause the cyclization of the aforementioned intermediates:
- Different kinds of Lewis acids, even strong inorganic ones such as sulfuric acid.
- Bulky bases with decreasing activity but increasing selectivity.
- Compounds which can undergo substitution or condensation reactions replacing the OB group and making a better leaving group.
It is important to note that previous investigations of the stability of benzoxazinone derivatives with respect to nucleophilic attack showed that when the position 2 of the heterocycle part of benzoxazinone is occupied by a hydrogen or small alkyl group, then the ring will be opened easily by a nucleophilic attack [20].
Results and Discussion
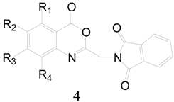
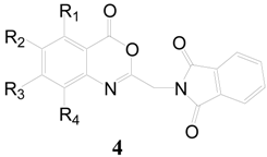
We have now prepared the known compound 2-(N-phthaloylmethyl)-4H-3,1-benzoxazin-4-one (4) by a new method. This compound has previously been prepared by reaction of 2-(chloromethyl)-4H-3,1-benzoxazin-4-one with with potassium phthalimide [21] or cyclocondensation of anthranilic acid with phthalimidoacetyl chloride [22]. Our aim in this investigation was to work with reactants which are widely used in the pharmaceutical and chemical industry and therefore, due to their abundance, are easy to obtain, so our synthetic strategy was based on the use of cyanuric chloride (2,4,6-trichloro-1,3,5-triazine) as a cyclization agent. This reagent is available as a white powder of high purity and due to its specific structure and electronic properties, it is used extensively in the dye and pharmaceutical industries [23].
One of the main properties of cyanuric chloride is its dehydrogenation ability. As we know, the dehydrogenation of organic compounds often occurs under difficult conditions, therefore, in this regard, the availability of mild agents for carrying out such dehydrogenation reactions is particularly important. Cyanuric chloride is a good dehydrogenation agent for amides, and under mild conditions, it converts amides to nitrile compounds. For example, p-nitrobenzyl amide in the presence of cyanuric chloride is converted to p-nitrobenzonitrile [24]. Its use in the presence of triethylamine as an activation/cyclization agent for macrolactonization has also been reported [25].
For our synthesis we have prepared an intermediate 3 that gives the desired benzoxazinone derivative directly under the influence of the cyclization agent. In order to prepare this intermediate we used the reaction in chloroform between anthranilic acid and an acyl chloride derivative in the presence of triethylamine (Scheme 3).
Scheme 3.
Scheme 3.

The anthranilic acid (2-aminobenzoic acid) component has two different functional groups (‑COOH and ‑NH2) and therefore, it is often used in the synthesis of heterocyclic compounds as it can readily undergo condensation and nucleophilic reactions. In addition, purification and separation of products using anthranilic acid as a reactant can be carried out easily since anthranilic acid is soluble in water.
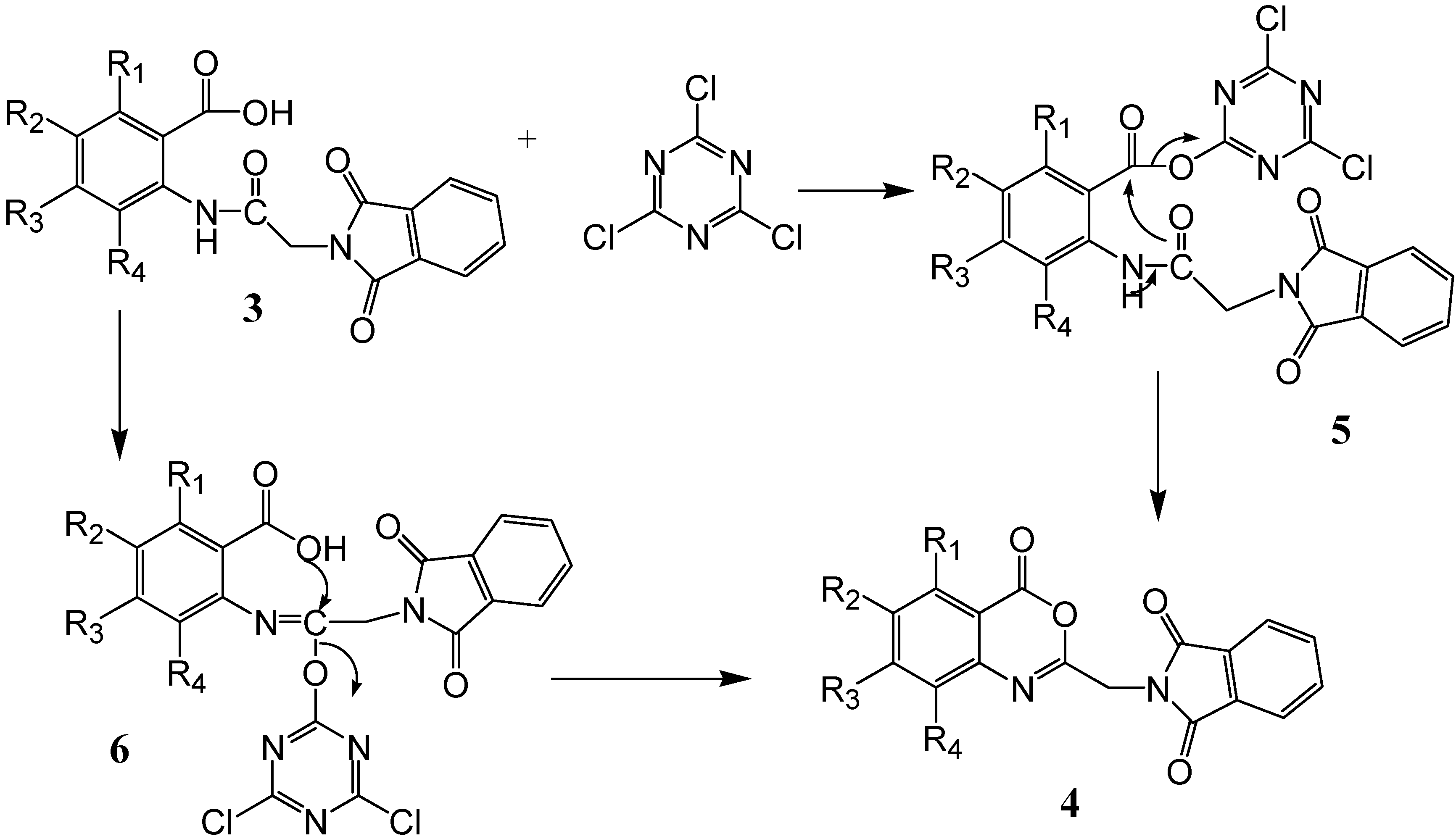
The resulting acid amide, compound 3 (with R1= R2 = R3 = R4 = B = H and R=N-phthaloylmethyl), undergoes a condensation reaction with cyanuric chloride and by elimination of a hydrochloric acid molecule, the next intermediate is produced. This new intermediate now undergoes a cyclization process and as a result affords the target benzoxazinone (Scheme 4).
Scheme 4.
Scheme 4.

The intermediate mentioned above may conceivably be obtained by one of two paths: the first is the condensation reaction of the carboxylate group of the acid amide with cyanuric chloride which produces intermediate 5. This intermediate, in the presence of excess triethylamine, can undergo a cyclization leading to the benzoxazinone target 4. The second possibility is the condensation reaction between the enolic form of the amide functional group in the acid amide 3 and cyanuric chloride whereby intermediate 6 is produced. This intermediate, as shown, can also undergo a cyclization process giving the final benzoxazinone derivative 4. Excess triethylamine is used in order to neutralize HCl, and at the same time increase the rate of the reaction. This chemistry is obviously related to the cyclization of acylated amino acids by cyanuric chloride/triethylamine to give 2-substituted 5(4H)oxazolones as reported by Huang et al. [26].
Conclusions
A new method for the preparation of a previously synthesized benzoxazinone derivative is reported. Its main advantage is the use of cyanuric chloride, a well known reagent and easy to obtain in high purity, as the cylization agent. The method is very convenient and should be applicable to the synthesis of other benzoxazinone derivatives if other different acyl chloride derivatives and anthranilic acid are used. Previous syntheses of these types of benzoxazinone derivatives give yields that range from 27-60% with regards to the starting materials [17,18,19,26,27,28,19,26]. In this paper, using the new method, the overall yield of the final product 4 from the starting materials is 45%, comparable to the previous methods. However, the availability and simplicity of the starting materials and the experimental procedure itself make this new path more flexible. Further research is underway to use this new procedure to synthesize other derivatives and will be reported in the near future.
Experimental
General
1H-NMR spectra were obtained on a Bruker DRX 500 Avance and were recorded at 500 MHz. The resonances are reported in δ units downfield from TMS. All IR spectra (KBr disks) were obtained on a Perkin Elmer 237 spectrophotometer. The chemicals and reagents were obtained from Aldrich and used as received unless specifically stated otherwise.
Preparation of 2-(N-phthaloylmethyl)-4H-3,1-benzoxazin-4-one (4)
This compound is prepared in three steps:
Step 1. Conversion of N-phthaloylglycine to the corresponding acyl chloride:
Phthaloyl glycine (2.79 g) was placed in a 100 mL round-bottom flask and then thionyl chloride (9.8 mL) was added. After adding one drop of dry triethylamine, the mixture was refluxed for 8 hours. Toluene (50 mL) was added to the flask, and after distillation of toluene, the excess thionyl chloride was removed. The resulting acyl chloride was used directly for the next step.
Step 2. Reaction of the acyl chloride produced in Step1 with anthranilic acid:
Chloroform (40 mL) was placed in a 100 mL two-neck round-bottom flask and anthranilic acid (1.87 g) was added. After the addition of triethylamine (1.8 mL) to the mixture, the acyl chloride from step 1 (0.0136 mole, dissolved in a small amount of toluene and 10 mL of chloroform) was introduced dropwise. The solution was stirred for 8 hours at room temperature and then washed three times with distilled water. After vacuum evaporation, the resulting acid amide product 3 (systematic name: 2-[2-(1,3-dioxo-1,3-dihydroisoindol-2-yl)-acetylamino]benzoic acid) was recrystallized from ether. Yield = 80 %; melting point = 278-279 °C (lit. [29]: 256-258 °C); IR: 1771, 1713, 1660 and 2365-3280 cm-1.
Step 3. Reaction of the acid amide prepared in Step 2 with cyanuric chloride:
Toluene (50 mL) was placed in a 100 mL round-bottom flask. Then, the acid amide (1 g) and triethylamine (0.457 mL) were added to the flask. While stirring the solution with a magnetic stirrer, cyanuric chloride (0.553 g) was introduced over ten minutes and then the solution was refluxed for one week. The solution was cooled to room temperature, washed three times with a saturated solution of bicarbonate (50 mL) and then with distilled water (50 mL). Finally the organic phase was dried over magnesium sulfate and after filtration, the toluene evaporated under vacuum. The resulting crystals of 2-(N-phthaloylmethyl)-4H-3,1-benzoxazin-4-one (4) (systematic name: 2-(4-oxo-4H-benzo[d][1,3]-oxazin-2-ylmethyl)-isoindole-1,3-dione) were collected and recrystalized from ether. Yield = 60 % (45% overall); melting point = 261-263 °C (lit. [22]: 235-240 °C); IR: 1766, 1711 and 1647 cm-1; 1H‑NMR (CDCl3): 4.90 (s, CH2,), 7.38 - 8.82 (m, Ar-H); Anal. Calcd for C17H10N2O4(306.29): C, 66.67; H, 3.26; N, 9.15; O, 20.91. Found: C, 66.61; H, 3.29; N, 9.10; O, 20.99%.
Acknowledgements
This work was supported by the University of Shahid Beheshti and Dr. M.S. Khajavi. We are deeply indebted to Dr. Mohammad R. Pyrooz and Mr. A. Akbarian for their kind editing and correction of the English for this paper.
References
- Peet, N. P.; Sunder, S. U.S. Patent 4, 419, 357, 1983.
- Wiker, P., Jr.; Wilson, A. J. Am. Chem. Soc. 1955, 77, 5598.
- Drummond, G. I.; Severson, D. L. Circ. Res. 1979, 44, 1945.
- Belluci, C.; Gualtieri, F.; Chiarine, A. Eur. J. Med. Chem. 1987, 22, 473.
- Armarego, W. L. F. Adv. Hetrocyclic Chem. 1979, 24, 17.
- Amin, A. H.; Mehta, D. R.; Samart, S. S. Arzneimit-Telforsch 1970, 14, 218.
- Ager, I. R.; Harrison, D. R.; Kennewell, P. D.; Taylor, J. B. J. Med Chem. 1977, 20, 379.
- Armarego, W. L. F. Advan. Hetrocyclic Chem. 1963, 1, 304.
- Gupta, B. M.; Agraval, U.; Khan, S. K. Indian J. Exp. Biol. 1963, 7, 61.
- Wikder, P.; Wilson, A. J. Am. Chem. Soc. 1955, 77, 5598.
- Bouillant, M. L.; Farre-Bonvin, J.; Ricci, P. Tetrahedron Lett. 1983, 24, 51.
- Donchet, M.; Martin-Tuguy, J.; Marais, A.; Pupet, A. Phytochem. 1981, 23, 1901.
- Mayama, S.; Tani, T.; Uneo, T.; Hirabayasjo, K. Tetrahedron Lett. 1981, 22, 2103.
- Mayama, S.; Tani, T.; Matsura, Y. J. Am. Oil Chem. Soc. 1981, 5, 697.
- Bulluci, C.; Gualtieri, F.; Chiarini, A. Eur. J. Med Chem. 1987, 22, 473.
- Le Count, D. J. J. Chem. Soc. Perkin Trans. 1983, 1, 813.
- Zenzymer, O.; Wagner, E. C. J. Org. Chem. 1949, 14, 967.
- Minami, T.; Matsumato, M.; Suganuma, H.; Agwa, T. J. Org. Chem. 1978, 43, 2149.
- Wunsche, K. H.; Button, A. J. Adv. Heterocycl. Chem. 1967, 8, 277.
- Archer, J. G. J. Chem. Soc. Perkin Trans 1 1973, 1169.
- El-Helby, A-G.A. Al-Azhar J. Pharm. Sci. 1996, 17, 81.
- Kulkarni, Y.D.; Bishnoi, A.; Dua, P. R. J. Indian Chem. Soc. 1990, 67, 852.
- Smolin, E.M.; Rapoport, L. s-Triazines and Derivatives. In The Chemistry of Heterocyclic Compounds; Weissberger, A., Ed.; Wiley Interscience: New York, 1959; p. 186. [Google Scholar]
- Olah, G. A.; Narang, C. Synthesis 1980, 657.
- Venkataraman, K.; Wagle, D.R. Tetrahedron Lett. 1980, 21, 1893.
- Huang, H.; Zhang, J.; Wang, J. Gaodeng Xuexiao Huaxue Xuebao 1990, 11, 958, [Chem. Abstr. 1991, 115, 49475].
- Bernier, J.; Henichart, J. J. Heterocyclic Chem. 1978, 15, 997.
- Kim, D. H. J. Heterocyclic Chem. 1976, 13, 1165.
- Arief, M.M.H. Egyptian J. Chem. 1990, 31, 151.
- Sample availability: The title product 4 and the intermediate 3 are available from the authors.
© 2004 by MDPI (http:www.mdpi.org). Reproduction is permitted for noncommercial purposes.