Abstract
The commercially available monoterpene carvone has been efficiently converted into the tricyclo[3.2.1.02.7]octane and bicyclo[3.2.1]octane systems characteristic of some biologically active compounds. The sequence used for this transformation involves as key features an intramolecular Diels-Alder reaction of a 5-vinyl-1,3-cyclohexadiene and a cyclopropane ring opening.
Introduction
The bicyclo[3.2.1]octane ring system is the basic framework of many important biologically active natural compounds, particularly tri- and tetracyclic sesqui- and diterpenes [1]. The widespread occurrence of this common structural motif in so many biologically active natural products has stimulated the preparation of simple non-natural structures containing the carbo-bicyclic system with variable functional diversity, many of which have also shown relevant biological activity. A logical consequence of the interest in this type of compounds has been the development of a plethora of synthetic methods for making bicyclo[3.2.1]octanes [2], in many cases appropriately functionalised to be useful intermediates in the synthesis of the more complex natural products containing this bicyclic subunit. Some of the more efficient methodologies developed for the preparation of the bicyclo[3.2.1]octane system are based in the selective fragmentation of different types of functionalised tricyclo[3.2.1.02.7]octane derivatives, whose tricyclic cores have been constructed basically using two methods, an intramolecular cyclopropanation of a double bond [2,3], or a bicycloannulation of cyclic dienolates with various Michael acceptors [2,4].
In this report we describe the preparation of several enantiopure bicyclo[3.2.1]octane systems 3 using an alternative approach for the construction of the bicyclic skeleton, one based on an intramolecular Diels-Alder (IMDA) reaction of a 5-vinyl-1,3-cyclohexadiene 1 and the regioselective cleavage of the obtained tricyclo-[3.2.1.02.7]octan-3-one intermediate 2 (Scheme 1) [5].
Scheme 1.
Scheme 1.

It must be mentioned that although several intramolecular cycloadditions involving 5-vinyl-1,3- cyclo-hexanedienes have been described in the literature [6], these types of Diels-Alder reactions have not been previously evaluated for their synthetic utility. Only recently, and while this work was in progress, Trauner described the preparation of several substituted tricyclo[3.2.1.02.7]oct-3-enes via IMDA reactions of 5-vinyl-1,3-cyclohexadienes. He has also called attention to the synthetic potential of this reaction in the synthesis of several polycyclic natural products and suggested the possible implication of such a reaction in their biosynthesis [7].
Results and Discussion
carvone (4) was used as the starting chiral material with the objective of preparing the bicyclo[3.2.1]octane framework in enantiomerically pure form. This is a monoterpene, commercially available in both enantiomerically pure forms, (R)-(-)- and (S)-(+)-carvone, that has been widely used by us [8] and others [9] as a chiral starting material in the synthesis of numerous natural products.
The synthesis starts with the conversion of carvone (4) into the β-keto ester 5 using Mander´s methoxycarbonylation procedure [10]. Thus, reaction of methyl cyanoformate with the kinetic lithium enolate of 4, generated by treatment with LDA in THF at low temperature, afforded the β-keto ester 5 in very high yield (Scheme 2). Although irrelevant from the synthetic point of view, compound 5 seems to exist basically in only one tautomeric form in which the methoxycarbonyl groups occupies the equatorial position, as suggested by the coupling constant pattern observed in the 1H-NMR spectrum for H-1 (a singlet with J = 13 Hz).
It should be pointed out that the methoxycarbonyl group was introduced at the C-2 position of carvone with the dual purpose of installing a versatile functional group for further functionalization of the target bicyclic systems as well as to avoid diene isomerisation during the subsequent Diels-Alder step. In fact, attempts to directly elaborate the diene moiety from 4, e.g. compound 6, always afforded a mixture of isomeric cyclohexadienes under different experimental conditions. With the methoxycarbonyl group in place, the regioselective formation of the silyloxy diene moiety was readily accomplished by enolization of 5 by treatment with lithium bis(trimethyl)silylamide and capture of the enolate with tert-butyldimethylsilyl triflate. Conversion of (R)-carvone into the tert-butyldimethylsilyl enol ether 7 was thus accomplished in ca. 82% overall yield.
The 5-vinyl-1,3-cyclohexadiene moiety of 7 underwent an intramolecular Diels-Alder reaction smoothly and efficiently upon heating a degassed anhydrous toluene solution of this compound and a small amount of propylene oxide in a sealed ampoule at 190 °C for 48 h. Compound 8, containing the tricyclo[3.2.1.02.7]oct-3-ene system, was thus obtained in 80% of yield after purification by column chromatography. It must be mentioned that in the absence of propylene oxide as acid scavenger, both the starting tert-butyldimethylsilyl enol ether 7 and the Diels-Alder adduct 8 were partially hydrolyzed to the β-keto ester 5 and a mixture of epimeric tricyclo-ketones 9, respectively. The structure and stereochemistry of the adduct 8 were confirmed by its spectroscopic data, particularly the 1H- and 13C-NMR signals which were unambiguously assigned using HMQC and NOESY experiments [11].
Scheme 2.
Scheme 2.

Reagents and conditions: (a) LDA, THF, -78°C then CNCO2CH3-HMPA. (b) LiN[Si(CH3)2]2, THF, -78°C then TBDMSOTf. (c) Toluene, 190 °C, 48h.
It is interesting to note that the intramolecular Diels-Alder reaction of the 5-vinyl-1,3-cyclohexa- diene moiety is strongly preferred to other alternative intramolecular cycloadditions that were also attempted, in spite of the highly strained transition state presumably involved. Thus, when compound 13 (and also the corresponding dimethyl(vinyl)silyl analogue, 13 with R2 = OSiMe2CH=CH2), readily prepared from hydroxycarvone 10 as described in the Experimental section, was heated in toluene under the same conditions described above for 7, only the Diels-Alder adduct 14 was formed, without any appreciable amounts of the adduct resulting from the alternative intramolecular cycloaddition of the 1,3,10-undecatriene moiety being observed [12].
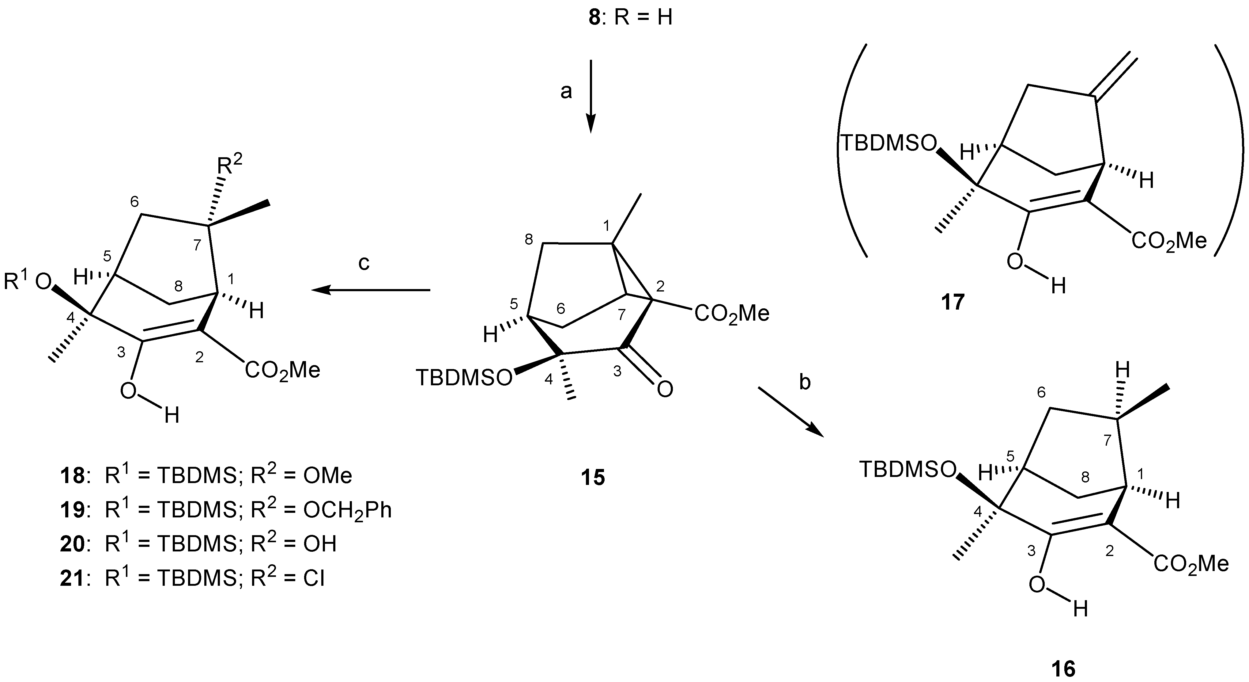
Having completed the construction of the tricyclo[3.2.1.02.7]octane framework, and prior to the opening of the cyclopropane ring, we decided to use the existing tert-butyldimethylsilyl enol ether moiety to incorporate an additional oxygenated function that could provide sites for further functionalization of the final bicyclo[3.2.1]octane system. In this regard, it was decided to transform the adduct 8 into the ketone 15 (Scheme 3).
Scheme 3.
Scheme 3.

Reagents and conditions: (a) m-CPBA, CH2Cl2, -30°C. (b) SmI2, THF-tBuOH, -40°C. (c) MeOH, HCl, rt for 18; PhCH2OH, PTSA, rt for 19; H2O-THF, HCl, rt for 20;.THF-HCl, rt for 21.
This transformation was accomplished in a single step by treatment of 8 with m-CPBA in methylene dichloride at -30 °C. Under these conditions, epoxidation of the double bond took place from the less hindered β-face initially giving the corresponding β-epoxide, which directly rearranged with concomitant migration of the tert-butyldimethylsilyl group to give the ketone 15. The structure and relative stereochemistry of this compound were established by a detailed analysis of its NMR data. In particular, protons H-8β and H-6α gave strong correlation signals with the tert-butyl protons and the methyl protons at C-4, respectively, unequivocally stabilising the spatial orientation of both groups at C-4.
With the tricyclic system 15 at hand, we investigated the opening of the cyclopropane ring in order to elaborate the bicyclo[3.2.1]octane framework. In the literature, dissolving metal reductions with metal-ammonia systems has been the most frequently used method for the cleavage of cyclopropyl ketones [2]. The electron transfer homogenous reagent samarium(II) iodide has been less often used for this purpose, although some examples of samarium(II)-mediated cyclopropane cleavage of rigid cyclopropyl ketones have been described [2,13]. When applied to the opening of 15, a regioselective cleavage of the C1-C2 bond of the cyclopropane ring took place to cleanly afford the bicyclo[3.2.1]octane ring system (Scheme 3). It was found that the best results were obtained by treatment of a cooled (-40 °C) solution of 15 in a 9:1 mixture of THF and tert-butanol with a stock solution of samarium(II) diiodide in THF. An 80% yield of the β-keto ester 16 was obtained under these conditions, which both as a solid and in solution, basically exists in the enol tautomeric form. It is noticeable that elimination of the 4-silyloxy moiety was never observed, even when an excess of the reducing reagent was used. It is also interesting to note that when the samarium(II)-mediated cyclopropane cleavage was effected in the absence of a protic solvent, the reaction was not so clean and the compound 17 was the major product obtained. The formation of this compound is easily explained by formation of a radical intermediate at C-7 and subsequent hydrogen abstraction from the adjacent methyl group. The stereochemistry of 16 was unambiguously assigned on the basis of coupling constant and NOESY data. Particularly relevant was the presence of a strong NOESY correlation of methyl protons at C-7 to methyl protons of the ester moiety at C-2, which provided evidence of the (R)-configuration at C-7.
The carbobicyclic ring system formed in the above cyclopropane cleavage reaction not only constitutes the characteristic substructural fragment of some natural compounds that have been found to display important biological activity [14], but is also the basic core structure of carbo-tropanes, a group of synthetic compounds that are potent inhibitors of the dopamine transporter [15]. Thus, the readily prepared enantiomerically pure compound 16 may be potentially used as an adequate scaffold from which to append "side chain" groups, thereby generating small libraries with functional and structural diversity that may be evaluated for biological activity.
In addition to the above radical opening of the cyclopropane ring of 15, we also evaluated the acid catalysed nucleophilic addition reaction to the cyclopropyl ketone moiety as an alternative procedure for the tricyclo[3.2.1.02.7]octane-to-bicyclo[3.2.1]octane interconversion. It was found that a rapid and efficient opening of the cyclopropane ring of 15 took place upon treatment with different nucleophilic reagents in the presence of an acid catalyst. Thus, treatment of 15 with methanol and catalytic p-toluenesulphonic acid (PTSA) or HCl at room temperature afforded a high yield of methyl ether 18, formed by acid initiated homoconjugate addition of methanol to the cyclopropyl ketone moiety. The addition of methanol takes place regio- and stereoselectively from the back of C-1, affording the bicyclo[3.2.1]oct-1-ene system stereoselectively functionalized at C-7. The stereochemistry of 18 was determined by comparison of its spectroscopic data with those of 16 and confirmed by a NOESY experiment. Thus, the H-8β proton gives a strong correlation signal with the protons of the methoxy group while the protons of the methyl group at C-7 give strong correlation signals with both the protons of the methoxycarbonyl group and the H-6β proton.
Similar results were obtained with other nucleophiles. Thus, benzyl ether 19, alcohol 20 and chloride 21 were readily formed by treatment of 15 with benzyl alcohol and catalytic PTSA in CH2Cl2 (80% yield), water and catalytic HCl in THF (80% yield), and concentrated HCl in THF (86% yield), respectively. It should be mentioned that in the latter two cases, ie., compounds 20 and 21, partial reversion to the starting tricyclic compound 15 occurs on attempted chromatographic purification on silica gel. It is likely that this particularly easy interconversion is facilitated by the homoaromatic character of the carbocationic intermediate generated.
Conclusions
In brief, the results obtained show the viability of the synthetic approach based on the combination of an intramolecular Diels-Alder reaction of a 5-vinyl-1,3-cyclohexadiene and a cyclopropane ring opening for the preparation of the bicyclo[3.2.1]octane framework. The application of this strategy, starting from carvone, has allowed us to prepare several enantiopure, highly functionalised, bicyclo[3.2.1]oct-1-ene derivatives.
Experimental
General
Melting points were determined using a Buchi hot-stage apparatus. Optical rotations were determined using a 5 cm path length cell. [α]D values are given in units of 10-1 deg cm2 g-1. All NMR spectra were recorded on a Bruker AVANCE 300 DRX spectrophotometer in CDCl3 solutions (at 300 MHz for 1H and 75 MHz for 13C). Complete assignment of the NMR data for most of the compounds described in the experimental section was done on the basis of a combination of HMQC, HMBC and NOESY 2D experiments. Mass spectra were obtained by electron impact (EI) at 70 eV. IR spectra were measured as KBr pellets or liquid films. All reactions were carried out under an inert atmosphere of dry argon, using oven-dried glassware and freshly distilled and dried solvents. Column chromatography refers to flash chromatography and was performed on Merck silica gel 60, 230-400 mesh.
(5R,6R)-2-(tert-Butyldimethylsilanyloxy)-6-isopropenyl-3-methylcyclohexa-1,3-dienecarboxylic acid methyl ester (7). A solution of commercial (R)-(-)-carvone (3.98 g, 25.9 mmol) in THF (20 mL) was added dropwise to a solution of LDA in THF (44.3 mL of a 0.7 M solution, 31.1 mmol) at -78 °C. The reaction mixture was allowed to warm to -10 °C and stirred at this temperature for 1 h, then cooled to - 78 °C and HMPA (4.5 mL) was added, followed by methyl cyanoformate (3.2 mL, 38.9 mmol). After 30 min the reaction mixture was poured into saturated NH4Cl solution and extracted with ether. The combined organic layers were washed with brine and dried over Na2SO4. The residue obtained after evaporation of the solvent was purified by column chromatography, using 9:1 hexane-ethyl acetate as eluent, to give β-keto ester 5 (5.4 g, 98%) as an oil, bp 103 °C (2 mmHg) [lit. 142 (15 mmHg)] [10]; -30 (c 2.8, CHCl3); IR (film) 3040-2800, 1743, 1672, 1360, 1260, 900 cm-1; 1H-NMR δ 6.72 (1H, m, H-4), 4.80 (2 H, m, H-2´), 3.69 (3 H, s, OMe), 3.46 (1 H, d, J 13 , H-1), 3.1 (1 H, ddd, J =13, 10.5 and 5 Hz, H-6), 2.5-2.2 (2 H, m, H-5), 1.76 (3 H, m, Me-3) and 1.72 ppm (3 H, s, Me-1´); 13C- NMR δ 15.71 (C3-Me), 19.66 (Me-C1´), 30.36 (C5), 45.65 (C6), 51.97 (CO2CH3), 58.23 (C1), 112.80 (C2´), 134.8 (C3), 144.48 (C4), 144.55 (C1´), 170.32 (CO2) and 194.74 ppm (C2); MS m/z (CI) 210 (M++2, 10), 209 (M++1, 100), 178 (10), 177 (90), 167 (75), 149 (46), 135 (15), 123 (15) and 51 (3).
A solution of β-ketoester 5 (500 mg, 2.4 mmol) in THF (6 mL) was added dropwise to a 1M solution of lithium bis(trimethyl)silylamide in hexane (3.2 mL, 3.2 mmol) cooled at –78 °C. After 30 min of stirring, tert-butyldimethylsilyloxy trifluoromethanesulfonate (0.65 mL, 2.88 mmol) was added and the mixture was stirred for an additional 1 h. Then, the mixture was poured into pentane, the combined organic layers washed with water and brine and finally dried over Na2SO4. The residue obtained after evaporating the solvent was purified by column chromatography, using 8:2 hexane-ethyl acetate containing a small amount of Et3N (2%), to afford 641 mg of the enol silyl ether 7 (83%) as a colourless oil. -0.61° (6.56, CHCl3); IR (film) 2949, 2859, 1704, 1580, 1249, 887 cm-1; 1H-NMRD (300 MHz) δ 5.72 (1H, ddq, J 5; 3; 1.5 Hz, H-4), 4.72 (2H, s, H-2’), 3.69 (3H, s, CO2Me), 3.41 (1H, d br, J 8.8 Hz H-6), 2.44 (1H, dddd, J 17.3, 9.2, 2.8, 2.8 Hz, H-5α), 2.28 (1H, ddd, J 17.3, 6.6, 0.7 Hz, H- 5β), 1.79 (3H, br s, Me-C3) 1.72 (3H, s, Me-C1’), 0.99 (9H, s, t-Bu), 0.10 (3H, s, MeSi) and 0.08 (3H, s, MeSi) ppm; 13C-NMR δ 168.5 (CO2Me), 157.2 (C1), 144.4 (C1’), 132.9 (C3), 127.6 (C4), 110.9 (C2), 110.9 (C2’), 51.0 (CO2Me), 40.2 (C6), 27.2 (C5), 25.6 (Me3C), 21.3 (Me-C3), 18.4 (Me3C), 17.5 (Me- C1’) -4.35 and -4.5 (Me2Si) ppm; MS (EI) m/z 322 (M+, 0.1), 307 (4), 281 (1), 265 (100), 235 (2), 223 (5), 233 (9). HRMS calculated for C18H30O3Si 322.1964, found 322.1967.
(1S,2S,5S,7S)-13-(tert-Butyldimethylsilanyloxy)-1,4-dimethyltricyclo[3.2.1.02,7]oct-3-ene-2-carboxylic acid methyl ester (8). A solution of diene 7 (641 mg, 1.99 mmol) in anhydrous toluene (10 mL) was transferred to a previously silylated ampoule and rigorously degassed by the freeze-thaw-cycle. The ampoule was cooled down under argon, a drop of propylene oxide was added and it was then sealed under vacuum. After heating at 190 °C for 48 h, the solvent was eliminated on a rotary evaporator and the residue was chromatographed, using 9:1 hexanes-ethyl acetate as eluent, to give 508 mg (80 %) of the Diels-Alder adduct 8 as a yellowish oil. +26.2° (0.305, CHCl3); IR (film) 2929, 2856, 1727, 1669 cm-1; 1H-NMR δ 3.73 (3H, s, CO2Me), 2.27 (1H, dd, J 3.6, 3.6 Hz, H-5), 1.94 (1H, s br, H-7), 1.68 (1H, ddd, J 8.7, 3.5, 1.9 Hz, H-6β), 1.65 (3H, s br, Me-C4), 1.41 (1H, dd, J 8.8, 3.6 Hz, H-8α), 1.24 (3H, s, Me-C1) 1.08 (1H, d, J 8.7 Hz, H-8β), 0.92 (1H, d br, J 8.7 Hz, H-6α), 0.98 (9H, s, t-Bu), 0.05 (3H, s, MeSi), 0.00 (3H, s, MeSi) ppm; 13C-NMR δ 170.5 (CO2Me), 136.6 (C4), 114.8 (C3), 51.8 (CO2Me), 37.3 (C2), 37.0 (C5), 35.5 (C6), 31.3 (C1), 30.1 (C8), 26.9 (C7), 25.7 (Me3C), 18.05 (Me3C), 15.5 (Me-C1), 14.55 (Me-C4), -4.05 y -4.28 (Me2Si) ppm; MS (EI) m/z 322 (M+, 0.4), 307 (3), 291 (3), 266 (25, 265 (100), 210 (2). HRMS calculated for C18H30O3Si 322.1964, found 322.1953.
(6S)-2-[(tert-Butyldimethylsilanyl)methoxy]-6-[1-(diphenylvinylsilanyloxymethyl)vinyl]-3-
methylcyclo- hexa-1,3-dienecarboxylic acid methyl ester (13). 10-Hydroxycarvone (10) was prepared
from carvone as described in reference [16]; -150° (c 3.4, CHCl3); IR (NaCl) 3424, 2922, 2887,
1668, 1451, 1414, 1143, 902, 903 cm-1; 1H-NMR δ 6.75 (1H, ddq, J 5.8, 2.6, 1.3, H-3), 5.15 (1H, s, H-
2’), 4.95 (1H, s, H´-2’), 4.15 (2H, s, CH2OH), 2.82 (1H, dddd, J 18.3, 5.8, 4.3, 1.4, H-5 ), 2.61 ( H, ddd, J 16.0, 3.7, 1.5, H-6α), 2.48 (1H, dddd, J 18.3, 5.8, 4.3, 1.4, H-4α), 2.39 (1H, dd, J 16.0, 13, H- 6β), 2.32 (1-H, dddd, J 18.1, 10.6, 2.5, 2.6, H-4β), 1.78 (3H, s, CH3-C2) ppm. MS (EI) m/z, 166 (M+, 13), 148 (67), 135 (17), 106 (63), 91 (42), 82 (100); HRMS calculated for C10H14O2166.0994, found 166.1075.
Et3N (0.72 mL, 5.16 mmol) and chloro(diphenyl)vinylsilane (0.7 mL, 3.17 mmol) were sequentially added to a solution of 10-hydroxycarvone (10, 360 mg, 2.16 mmol) in dry THF (8 mL) at -20 °C. After 1h the reaction mixture was treated with aqueous saturated solution of NH4Cl and extracted with hexane. The combined organic extracts were washed with dilute HCl, 10% aqueous NaHCO3 solution and brine and dried over Na2SO4. Evaporation of the solvent afforded an oily residue that was purified by column chromatography, using 8:2 hexane-ethyl acetate as eluent, to give 647 mg (80%) of silyl ether 11 as an oil; -25° (c 0.65, CHCl3); IR (NaCl) 3068, 2922, 1675, 1428, 1117, 711 cm-1; 1H-NMR δ 7.6 (5 H, m, H-Ar), 7.6 (5 H, m, H-Ar), 6.72 (1H, dddq, J 5.7, 2.6, 1.32 H-3), 6.60 (1H, dd, J 14.9, 20.16 H-1’’), 6.28 (1H, dd, J 14.9, 3.9 H-2’’), 5.91 (1H, dd, J 20.16, 3.9 H-2’’), 5.2 (1H, s, H-2’), 4.90 (1H, s, H´-2’), 4.27 (2H, br s, H-3’), 2.76 ( 1H, dddd, J 17.71, 14.34, 3.5, 3.5 H-5), 2.60 (1H, ddd, J 16.2, 3.84, 1.51 H-6α ), 2.36 ( 1H, dd, J 16.2, 13.68 H-6β), 2.43 (1H, m, H-4), 2.25 (1H, m, H-4’), 1.78 (3H, s, CH3-C2) ppm; 13C-NMR δ 199.53 (C1), 149.22 (C1’), 144.49 (C3), 135.41 (C2), 134.94 (CAr), 137.30 (C2’’), 133.78 (CAr), 133.09 (C1’’), 130.13 (CAr), 127.90 (CAr), 110.12 (C2’), 65.30 (C3’), 43.62 (C6), 37.96 (C5), 32.00 (C4), 15.68 (Me-C2); MS (EI) m/z, 374 (M+, 6), 347 (15), 297 (43), 283 (30), 209 (100); HRMS calculated for C24H26O2Si 374.1702, found 374.1708.
A solution of compound 11 (200 mg, 0.56 mmol) in THF (2 mL) was added dropwise to a solution of LDA in THF (1.2 mL of a 0.5M solution, 0.60 mmol) at -78 °C. The reaction mixture was allowed to warm to 0 °C (ca. 2 h) and stirred at this temperature for 30 min, cooled to -78 °C, and treated with methyl cyanoformate (57 µL, 0.71 mmol). After 30 min the reaction mixture was allowed to warm to room temperature, poured into saturated NH4Cl solution and extracted with ether. The combined organic layers were washed with brine and dried over Na2SO4. The residue obtained after evaporation of the solvent was purified by column chromatography, using 9:1 hexane-ethyl acetate as eluent, to give 200 mg (82%) of β-keto ester 12 as an oil; -47° (c 0.3, CHCl3); IR (NaCl) 3180, 2923, 1745, 1674, 1155, 1117, 711cm-1; 1H-NMR δ 7.6 (5 H, m, H-Ar), 7.6 (5 H, m, H-Ar), 6.73 (1H, m, H-4), 6.45 (1H, dd, J 14.9, 19.2 H-1’’), 6.30 (1H, dd, J 14.9, 4.0 H-2’’), 5.91 (1H, dd, J 19.2, 4.0 H-2’’), 5.29 (1H, s, H-2’), 5.05 (1H, s, H´-2’), 4.27 (1H, s, H3’), 3.67 (3H, s, CO2Me), 3.55 (1H, d, J 6.97 Hz, H-1), 3.10 ( 1H, ddd, J 10.74, 12.81, 4.71 H-6), 2.50 ( 1H, dddd, J 18.9, 10.74, 4.71, 1.32 H-5α), 2.30 (1H, dddd, J 18.9, 10.7, 2,5, 2,5 H-5β), 1.79 (3H, s, CH3-C3) ppm; 13C-NMR δ 194.73 (C2), 170.08 (CO2Me), 147.90 (C1’), 144.43 (C4), 135.68 (C3), 134.92 (CAr), 137.28 (C2’’), 133.72 (CAr), 133.01 (C1’’), 130.12 (CAr), 127.90 (CAr), 111.52 (C2’), 65.51 (C3’), 58.82 (C1), 51.98 (CO2Me), 40.97 (C6), 32.14 (C5), 15.71 (Me-C3); MS (EI) m/z, 432 (M+, 6), 405 (23), 355 (100), 323 (15), 208 (79), 183 (71); HRMS calculated for C26H28O4Si 432,1756, found 432,1729.
A solution of enone 12 (70 mg, 0.18 mmol) in dry CH2Cl2 (0.7 mL) was cooled to -78 °C and treated sequentially with 0.5M solution of lithium bis(trimethyl)silylamide in hexane (0.5 mL, 0.25 mmol) and tert-butyldimethylsilyl triflate (0.07 mL, 0.23 mmol). After 1 h at -78 °C, the reaction mixture was poured into pentane and washed with cool water and brine, before being dried over Na2SO4. Evaporation of the solvent under vacuum furnished an oily residue which was purified by column chromatography on silica gel, using hexane-ethyl acetate 8:2 with a 1% of Et3N as eluent, to give 75 mg of the enol silyl ether 13 as a colourless oil (83%); -46.6° (0.3, CHCl3); IR (NaCl) 3120, 2949, 1704, 1578, 1430, 1360, 1173, 1118, 886, 841 cm-1; 1H-NMR (C6D6) δ 7.6 (5 H, m, H- Ar), 7.6 (5 H, m, H-Ar), 6.42 (1H, dd, J =15.0, 20.16, H-1’’), 6.15 (1H, dd, J= 15.0, 3.9, H-2’’), 5.85 (1H, dd, J =20.16, 3.9, H-2’’), 5.28 (1H, br s, H-4), 5.28 (1H, br s, H-2’), 5.10 (1H, br s, H-2’), 4.2 (2H, br s, -CH2O-), 3.62 (1H, br d, J= 8.0 Hz, H-6), 3.32 (3H, s, CO2Me), 2.20 (1H, dddd, J 17.3, 9.2, 2.8, 2.8 Hz, H-5α), 1.19 (1H, ddd, J =17.3, 6.6, 0.7 Hz, H-5β), 1.65 (3H, br s, Me-C3) 1.04 (9H, s, t-Bu), 0.15 (3H, s, MeSi) and -0.03 (3H, s, MeSi) ppm; 13C-NMR δ 167.23 (CO2Me), 157.7 (C1), 147.1 (C1’), 136.9 (C2’’), 135.5 (CAr), 134.0 (CAr), 133.26 (C3), 130.2 (C1’’), 128.4 (CAr), 128.2 (CAr), 127.9 (C4), 110.9 (C2), 110.6 (C2’), 65.7 (CH2O), 50.1 (CO2Me), 36.6 (C6), 27.9 (C5), 25.9 (Me3C), 18.7 (Me- C3), 17.8 (Me3C), -3.4 and –3.1 (Me2Si) ppm; MS (EI) m/z 546 (M+, 3), 531 (10), 489 (83), 461 (14), 231 (100); HRMS calculated for C32H42O4Si2 546.2622, found 546.2636.
(1S,2S,5R,7S)-3-(tert-Butyldimethylsilanyloxy)-1-(diphenylvinylsilanyloxymethyl)-4-methyltricyclo-[3.2.1.02,7]oct-3-ene-2-Carboxylic acid methyl ester (14). A solution of diene 13 (20 mg, 0.04 mmol) in anhydrous toluene (2 mL) was transferred to a previously silylated ampoule and degassed by the freeze-thaw-cycle. The ampoule was cooled down under argon, a drop of propylene oxide was added and it was then sealed. After heating at 190 °C for 48 h, the solvent was eliminated under vacuum and the residue was chromatographed, using 9:1 hexane-ethyl acetate as eluent, to give 18.5 mg (92 %) of the Diels-Alder adduct 14 as an oil; 1H-NMR δ 7.6 (5 H, m, H-Ar), 7.6 (5 H, m, H-Ar), 6.45 (1H, dd, J 15.0, 20.16 H-1’’), 6.25 (1H, dd, J 15.0, 3.9 H-2’’), 5.84 (1H, dd, J 20.16, 3.9 H-2’’), 3.58 (3H, s, CO2Me), 2.30 (1H, dd, J 4.5, 4.5 Hz, H-5), 2.4 (1H, br s, H-7), 1.68 (1H, ddd, J 12, 4.5, 2.4 Hz, H-8β), 1.65 (3H, br s, Me-C4), 1.72 (1H, dd, J 11, 6 Hz, H-6α), 1.05 (1H, d, J 11 Hz, H-6β), 0.91 (1H, H-8α), 0.93 (9H, s, t-Bu), -0.05 (3H, s, MeSi), -0.06 (3H, s, MeSi) ppm. 13C-NMR δ 170.1 (CO2Me), 137.9 (C2’), 136.8 (C4), 135.8 (CAr), 134.1 (C1’), 134.0 (CAr), 130.6 (CAr), 128.7 (CAr), 115.4 (C3), 63.8 (CH2O), 52.6 (OMe), 37.5 (C5), 37.2 (C2), 36.4 (C1), 32.0 (C6), 30.5 (C8), 26.6 (Me3C), 26.2 (C7), 18.1 (Me3C), 16.5 (Me-C3), -4.0 and 4.1 (Me2Si).
(1S,2R,4S,5R)-4-(tert-Butyldimethylsilanyloxy)-1,4-dimethyl-3-oxo-tricyclo[3.2.1.02,7]octane-2- carboxylic acid methyl ester (15). m-Chloroperbenzoic acid (1.71 g, 9.92 mmol) was added to a solution of silyl enol ether 8 (800 mg, 2.48 mmol) in dichloromethane (30 mL) at –30 °C. The reaction mixture was stirred for 2 ½ h and then poured into ethyl acetate, washed with water and brine and dried over Na2SO4. The residue left after vacuum evaporation of the solvent was purified by chromatography, using 9:1 hexanes-ethyl acetate as eluent, to afford the silyl ether-ketone 15 (770 mg, 92 %) as a solid; mp 118.5-120.0 °C (from methanol); +31.06° (0.515, CHCl3); IR (KBr) 2953, 1734, 1704, 1252, 833 cm-1; 1H-NMR (300 MHz) δ 3.75 (3H, s, CO2Me), 2.34 (1H, d br, J 2.8 Hz, H- 7), 2.39 (1H, d, J 12.6 Hz, H-8β), 2.05 (1H, dd, J 4.9, 4.7 Hz, H-5), 1.98 (1H, ddd, J 13,5.5, 3.2 Hz, H- 6β), 1.85 (1H, d, J 12.8 Hz, H-6α), 1.66 (1H, dd, J 12.8, 5.1 Hz, H-8α), 1.29 (3H, s, Me-C1) 1.19 (3H, s br, Me-C4), 0.85 (9H, s, t-Bu), 0.19 (3H, s, MeSi), 0.04 (3H, s, MeSi) ppm; 13C-NMR δ 203.3 (C3), 168.2 (CO2Me), 75.2 (C4), 52.3 (CO2Me), 47.0 (C2), 42.5 (C5), 38.45 (C1), 35.8 (C7), 33.2 (C8), 29.1 (C6), 25.7 (Me3C), 22.6 (Me-C4),18.3 (Me3C), 16.4 (Me-C1), -2.8 y -3.7 (Me2Si) ppm; MS (EI) m/z 338 (M+, 0.1), 281 (67), 249 (36), 175 (10), 155 (95), 138 (100); HRMS calculated for C18H30O4Si 338.1913, found 338.1926.
(1S,4S,5S,7R)-4-(tert-Butyldimethylsilanyloxy)-3-hydroxy-4,7-dimethylbicyclo[3.2.1]oct-2-ene-2- carboxylic acid methyl ester (16). Silyl ether 15 (100 mg, 0.29 mmol) was dissolved under argon in a 9:1 mixture of THF/tert-butanol (1.2 mL). The mixture was cooled to –40 °C and a 0.5 M solution of SmI2 in THF was added dropwise until persistence of the blue colour. The reaction mixture was poured into hexane and the organic layer was washed with water, 5% aqueous Na2S2O4 solution and brine and dried over Na2SO4. The residue obtained after evaporation of the solvent was chromatographed, using 9:1 hexane-ethyl acetate as eluent, to give the cyclopropane cleavage product 16 (80 mg, 80 %) as an oil; IR (film) 2954, 2828, 1726, 1650, 1608, 1262, 836 cm-1; 1H-NMR (400 MHz) δ 3.74 (3H, s, CO2Me), 2.75 (1H, dd, J 4.8, 4.4 Hz, H-1), 2.11 (1H, dd, J 6.8, 5.6 Hz, H-5), 1.78 (1H, dd, J 14, 10.4, 7.6 Hz, H-6α), 1.73 (1H, d, J 9.2 Hz, H-8α), 1.62-1.55 (2H, m, H-8β and H-6β), 1.46 (3H, br s, Me- C4), 0.84 (3H, d, J 6.8 Hz, Me-C7), 0.86 (9H, s, t-Bu), 0.16 (3H, s, MeSi), 0.08 (3H, s, MeSi) ppm;13C- NMR (75 MHz) δ 173.3 (CO2Me), 173.1 (C3), 100.1 (C2), 78.4 (C4), 51.4 (CO2Me), 48.3 (C5), 39.2 (C7), 38.2 (C1), 36.7 (C6), 31.3 (C8), 27.05 (Me-C4), 25.9 (Me3C), 18.6 (Me3C),16.7 (Me-C7), -2.54 y - 2.88 (Me2Si) ppm; MS (EI) m/z 340 (M+, 0.0), 339 (0.1), 281 (45), 251 (100), 175 (3), 75 (22); HRMS calculated for C18H32O4Si 340.2070, found 340.2071.
(1R,4S,5R,7S)-4-(tert-Butyldimethylsilanyloxy)-3-hydroxy-7-methoxy-4,7-dimethyl-bicyclo[3.2.1]oct- 2-ene-2-carboxylic acid methyl ester (18). Concentrated HCl (0.15 mL) was added to a solution of compound 15 (50 mg, 0.15 mmol) in CH3OH (4 mL). After stirring for 6 h, the mixture was diluted with water and extracted with ethyl acetate. The combined organic layers were successively washed with a saturated aqueous solution of NaHCO3, water and brine and dried over Na2SO4. The solvent was evaporated under vacuum and the residue was chromatographed on silica gel, using 9:1 hexane- ethyl acetate as eluent, to give 42 mg of methyl ether 17 (76%) as an oil; +18.96° (1.16, CHCl3); IR (film) 3429, 2924, 1649, 1600, 1219, 829 cm-1; 1H-NMR (300 MHz) δ 3.77 (3H, s, CO2Me), 3.19 (3H, s, OMe), 2.88 (1H, d J 4.1 Hz, H-1), 2.18 (1H, dd, J 6.2, 6.6 Hz, H-5), 2.11-2.04 (2H, m, H-8β and H-6β), 1.76 (1H, dd, J 14.9, 7.5 Hz, H-6α), 1.59 (1H, d, J 11.01 Hz, H-8α), 1.47 (3H, br. s, Me- C4), 1.16 (3H, s, Me-C7), 0.86 (9H, s, t-Bu), 0.19 (3H, s, MeSi), 0.07 (3H, s, MeSi) ppm; 13C-NMR δ 173.1 (CO2Me), 172.8 (C3), 101.3 (C2), 87.4 (C7), 77.00 (C4), 51.65 (CO2Me), 49.8 (OMe), 47.7 (C5), 40.9 (C1), 37.6 (C6), 33.65 (C8), 26.7 (Me-C4), 25.9 (Me3C), 18.9 (Me-C7), 18.6 (Me3C), -2.5 and -3.3 (Me2Si) ppm.
(1R,4S,5R,7S)-7-Benzyloxy-4-(tert-butyldimethylsilanyloxy)-3-hydroxy-4,7-dimethylbicyclo [3.2.1]- oct- 2-ene-2-carboxylic acid methyl ester (19). A mixture of 15 (60 mg, 0.18 mmol), benzyl alcohol (0.092 mL, 0.88 mmol) and PTSA (3 mg, 5%) in CH2Cl2 (1 mL) was stirred at room temperature for 6h. The reaction mixture was poured into an aqueous saturated solution of NaHCO3 and extracted with CH2Cl2. The combined organic layers were washed with brine and dried over Na2SO4. Evaporation of the solvent and purification by column chromatography, using 8:2 hexane-ethyl acetate, afforded 61.0 mg (80%) of compound 19 as an oil; +20° (1.3, CHCl3); 1H-NMR (300 MHz) δ 12.18 (1H, s, HO), 7.36-7.29 (5H, m, Ph), 3.79 (3H, s, CO2Me), 4.46 (1H, d AB system, J 11.7 Hz, CH2O), 4.42 (1H, d AB system, J 11.5 Hz, CH2O), 3.00 (1H, dd J 2.5, 2.5 Hz, H-1), 2.24-2.16 (3H, m, H-5, H-6β and H-8β), 1.90 (1H, dd, J 14.8, 7.2 Hz, H-6α), 1.64 (1H, d, J 11.6 Hz, H-8α), 1.48 (3H, br s, Me-C4), 1.30 (3H, s, Me-C7), 0.86 (9H, s, t-Bu), 0.165 (3H, s, MeSi), 0.08 (3H, s, MeSi) ppm; 13C-NMR (75 MHz) δ 173.2 (CO2Me), 172.85 (C3), 139.7 (C1’), 128.3 and 127.2 (C2’-C6’ and C3’-C5’), 127.1 (C4’)101.2 (C2), 87.9 (C7), 77.2 (C4), 64.6 (CH2O) 51.7 (CO2Me), 47.8 (C5), 41.4 (C1), 38.2 (C6), 33.8 (C8), 26.7 (Me-C4), 25.7 (Me3C), 19.8 (Me-C1), 18.6 (Me3C), -2.5 and -2.8 (Me2Si) ppm; MS (EI) m/z 432 (M+, 0.2), 389 (60), 357 (100), 223 (47), 191 (39); HRMS C25H38O5Si requires 446.2488, found 446.2485.
(1R,4S,5R,7S)-4-(tert-utyldimethylsilanyloxy)-3,7-dihydroxy-4,7-dimethyl-bicyclo[3.2.1]oct-2-ene-2- carboxylic acid methyl ester (20). Concentrated HCl (0.1 mL) was added to a solution of 15 (35 mg, 0.1036 mmol) in a 1:1 mixture of THF-H2O (2 mL). The mixture was stirred at room temperature overnight, then diluted with ethyl acetate and washed successively with 10% aqueous solution of NaHCO3, water and brine. Drying over Na2SO4 and evaporation of the solvent afforded 29 mg (80%) of crude alcohol 20, which by 1H-NMR appeared to be quite pure. The alcohol 20 was an amorphous solid that could not be induced to crystallize, nor could it be purified by column chromatography due to its propensity to give 15. 1H-NMR δ 3.72 (3H, s, CO2Me), 3.05 (1H, dd J 3.7, 3.7 Hz, H-1), 1.53 (3H, s, Me-C7), 1.41 (3H, br s, Me-C4) 0.82 (9H, s, t-Bu), 0.10 (3H, s, MeSi), 0.02 (3H, s, MeSi) ppm; 13C-NMR δ 173.42 (CO2Me), 171.24 (C3), 101.45 (C2), 84.50 (C7), 77.52 (C4), 51.82 (CO2Me), 48.07 (C5), 47.55 (C1), 42.95 (C6), 33.93 (C8), 28.05 (Me-C4), 26.84 (Me-C7) 25.83 (Me3C), 18.43 (Me3C), - 2.55 and -2.39 (Me2Si) ppm.
(1R,4S,5R,7S)-4-(tert-Butyldimethylsilanyloxy)-7-chloro-3-hydroxy-4,7-dimethylbicyclo[3.2.1]oct-2- ene- 2-carboxylic acid methyl ester (21). Concentrated HCl (0.7 mL) was added to a solution of compound 15 (20 mg, 0.06 mmol) in THF (2 mL). The reaction mixture was stirred at room temperature for 2h, diluted with ethyl acetate and successively washed with 10% aqueous solution of NaHCO3, water and brine. Drying over Na2SO4 and evaporation of the solvent afforded 19 mg (86%) of crude chloride 21 as an oil; 1H-NMR (300 MHz) δ 12.06 (1H, s, OH), 3.77 (3H, s, CO2Me), 2.67 (1H, dd J 3.8, 3.8 Hz, H-1), 1.47 (3H, br s, Me-C4), 1.27 (3H, s, Me-C7), 0.86 (9H, s, t-Bu), 0.15 (3H, s, MeSi), 0.06 (3H, s, MeSi) ppm; 13C-NMR (75 MHz) δ 172.81 (CO2Me), 171.24 (C3), 101.39 (C2), 53.3 (C7), 77.52 (C4), 51.64 (CO2Me), 47.96 (C5), 45.57 (C1), 42.95 (C8), 34.6 (C6), 26.77 (Me-C4), 25.22 (Me-C7) 25.83 (Me3C), 18.56 (Me3C), -2.52 y -2.87 (Me2Si) ppm.
Acknowledgments
Financial support from the Ministerio de Ciencia y Tecnología (BQU2002-00272) is gratefully acknowledged. We are also grateful to the Generalitat Valenciana and the MCYT for providing research fellowships to I. N and I. de A., respectively.
References and Notes
- Connolly, J.D.; Hill, R. Dictionary of Terpenoids, 1st Ed; Chapman and Hall: London, 1991; Vol. 2, pp. 906–970. [Google Scholar] Hanson, J. R. Nat. Prod. Rep. 2002, 19, 650. Fraga, B.M. Nat. Prod. Rep. 2002, 19, 125, and previous reviews in this series.
- Filippini, M. H.; Rodriguez, J. Chem. Rev. 1999, 99, 27–76.
- For recent examples, see: Magnus, P.; Rainey, T.; Lynch, V. Tetrahedron Lett. 2003, 44, 2459–2461.
- For recent examples, see: Meijere, A.; Hadjirapoglou, L.; Noltemeyer, M.; Gutke, H.-J.; Klein, I.; Spitzner, D. Eur. J. Org. Chem 1998, 441–451. and references cited therein.
- This work forms part of our research program directed towards the synthesis of trachylobanebeyerane- and atisane-type terpenoids, see: Abad, A.; Agulló, C.; Cuñat, A.C.; Navarro, I. M. Carmen Ramírez de Arellano. Synlett 2001, 3, 349–352. [Google Scholar]
- Ciganek, E. The intramolecular Diels-Alder reaction. In Organic Reactions; John Wiley: New York, 1984; Vol 32, p. 165. [Google Scholar]
- Stephanie, M.Ng.; Beaudry, C.M.; Trauner, D. Org. Lett. 5 2003, 1701–1704.
- Abad, A.; Agulló, C.; Cuñat, A.C.; García, A.B. Tetrahedron 2003, 59, 9523–9536.
- Ho, T.L. (Ed.) Enantioselective Synthesis: Natural Products from Chiral Terpenes; John Wiley & Sons: New York, 1992.
- Llera, J.M.; Fraser-Reid, B. J. Org. Chem. 1989, 54, 5544–5548.
- The carbobicyclic ring system formed in this Diels-Alder reaction constitutes the characteristic substructural fragment of some natural compounds endowed with significant biological activity. See, for example: Fraga, B.M. Phytochem. Analysis 1994, 5, 49–56. Block, S.; Stevigny, C.; De Pauw-Gillet, M.C.; de Hoffmann, E.; Llabres, G.; Adjakidje, V.; Quetin-Leclercq, J. Planta Med. 2002, 68, 647–964.
- For examples of Diels-Alder reactions of 1,3,10-undecatrienes, see: Brocksom, T.J.; Maria, J.; Ferreira, L.; Brocksom, U. Braz. J. Braz. Chem. Soc. 2001, 12, 597–622. [Google Scholar]
- Molander, G.; Alonso-Alija, C. Tetrahedron 1997, 53, 8067–8084. [CrossRef]
- Miller, J.A.; Ullah, G.M.; Welsh, G.M.; Mallon, P. Tetrahedron Lett 2001, 42, 2729–2731. Snider, B.; Buckman, B.O. J. Org. Chem. 1992, 57, 4883–4888. and referenced cited therein.
- Meltzer, P.C.; Zhengming, P.B.; Yong, C.Y.F.; Madras, B.K. Bioorg. Med. Chem. Lett. 1999, 9, 857–862. Meltzer, P.C.; Blundell, P.; Huang, H.; Liu, S.; Yong, Y.F.; Madras, B.K. Bioorg. Med. Chem. 2000, 8, 581–590. Meltzer, P.C.; Blundell, P.; Yong, Y.F.; Chen, Z.; George, C.; Gonzalez, M.D.; Madras, B.K. J. Med. Chem. 2000, 43, 2982–2991. Madras, B.K.; Meltzer, P.C. Brit. UK Pat. Application: GB 2002-4596 (2003).
- Weinges, K.; Schwarz, G. Liebigs Ann. Chem. 1993, 7, 811–814.
- Sample Availability: The following compounds and amounts are available from the authors: compound 4, 15 mg; compound 8, 20 mg; compound 15, 15 mg; compound 16, 10 mg; compound 17, 10 mg; compound 18, 30 mg.
© 2004 by MDPI (http://www.mdpi.org). Reproduction is permitted for noncommercial purposes.