Noncovalent Labeling of Biomolecules with Red and Near- Infrared Dyes
Abstract
:Introduction
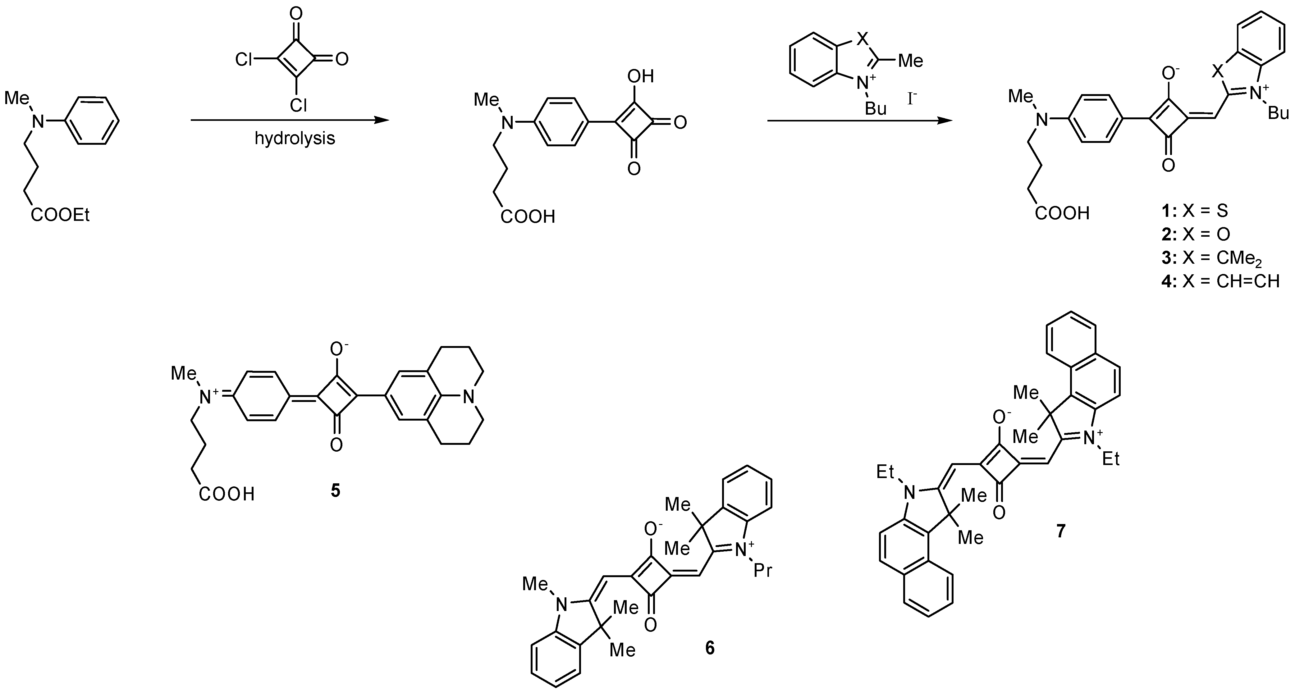
Squarylium Dyes

Cyanine Dyes





| Drug | Binding Constant [M-1] | Drug | Binding Constant [M-1] | ||
| CE Metdoda | Otder metdodsb | CE Metdoda | Otder metdodsb | ||
| Quinidine | 7.9x104 | 1.6x103 | Naproxen | 8x105 | 1.2x106 |
| Imipramine | 1.9x105 | 2.5x104 | Ibuprofen | 1x106 | 2.7x106 |
| Clofibrate | 7.6x105 | 7.6x105 | Ketoprofen | 3.8x106 | __ |
Conclusions
References
- Craig, D. B.; Dovichi, N. J. Multiple Labeling of Proteins. Anal. Chem. 1998, 70, 2493–2494. [Google Scholar]
- Williams, R. J.; Lipowska, M.; Patonay, G.; Strekowski, L. Comparison of covalent and noncovalent labeling with near-infrared dyes for the high-performance liquid chromatographic determination of human serum albumin. Anal. Chem. 1993, 65, 601–605. [Google Scholar]
- Yagi, S.; Hyodo, Y.; Matsumoto, S.; Takahashi, N.; Kono, H.; Nakazumi, H. Synthesis of novel unsymmetrical squarylium dyes absorbing in the near-infrared region. J. Chem. Soc., Perkin Trans. 1 2000, 599–603. [Google Scholar]
- Welder, F.; Beverly, P.; Nakazumi, H.; Yagi, S.; Colyer, Ch. L. Symmetric and asymmetric squarylium dyes as noncovalent protein labels: a study by fluorimetry and capillary electrophoresis. J. Chromatogr. B. 2003, 793, 93–105. [Google Scholar]
- Bello, K. A.; Ajayi, J. O. Near-Infrared absorbing squarylium dyes. Dyes and Pigments 1996, 31, 79–87. [Google Scholar]
- Tong, L.; Bixian, P. The influence of N-alkyl groups on the properties of squarylium cyanine dyes. Dyes and Pigments 1998, 391, 201–209. [Google Scholar]
- Terpetsching, E.; Szmacinski, H.; Lakowicz, J. R. Synthesis, spectral properties and photostabilities of symmetrical and unsymmetrical squarines; a new class of flourophores with long-wavelength exiciation and emmision. Anal. Chim. Acta 1993, 282, 633–641. [Google Scholar]
- Meadows, F.; Narayanan, N.; Patonay, G. Determination of protein–dye association by near infrared fluorescence-detected circular dichroism. Talanta 2000, 50, 1149–1155. [Google Scholar]
- Sophianopoulos, A. J.; Lipowski, J.; Narayanan, N.; Patonay, G. Association of near-infrared dyes with bovine serum albumin. Appl. Spectrosc. 1997, 51, 1511–1515. [Google Scholar]
- Nakazumi, H.; Colyer, Ch. L.; Kaihara, K.; Yagi, S.; Hyodo, Y. Red luminescent squarylium dyes for noncovalent HSA labeling. Chem. Lett. 2003, 32, 804–805. [Google Scholar]
- Swamy, A. R.; Mason, J. C.; Lee, H.; Meadows, F.; Baars, M.; Strekowski, L.; Patonay, G. Encyclopedia of Analytical Chemistry; Wiley: London, 2000; p. 11. [Google Scholar]
- Tyutyulkov, N.; Fabian, J.; Mehlhorn, A.; Dietz, F.; Tadjer, A. Polymethine Dyes: Structure and Properties; St. Kliment Ohridski University Press: Sofia, Bulgaria, 1991. [Google Scholar]
- Fabian, J.; Nakazumi, H.; Matsuoka, M. Near-infrared absorbing dyes. Chem. Rev. 1992, 92, 1197–1226. [Google Scholar]
- Hammer, F. M. The Cyanine Dyes and Related Compounds; Wiley: New York, 1964. [Google Scholar]
- Narayanan, N.; Strekowski, L.; Lipowska, M.; Patonay, G. A New method for the synthesis of heptamethine cyanine dyes: Synthesis of new near-infrared fluorescent labels. J. Org. Chem. 1997, 62, 9387. [Google Scholar]
- Strekowski, L.; Lipowska, M.; Patonay, G. Facile derivatizations of heptamethine cyanine dyes. Synth. Commun. 1992, 22, 2593–2598. [Google Scholar]
- Strekowski, L.; Lipowska, M.; Patonay, G. Substitution reactions of a nucleofugal group in heptamethine cyanine dyes. Synthesis of an isothiocyanato derivative for labeling of proteins with a near-infrared chromophore. J. Org. Chem. 1992, 57, 4578–4580. [Google Scholar]
- Mishra, A.; Behera, R. K.; Behera, P. K.; Mishra, B. K.; Behera, G. B. Cyanines during the 1990s: a review. Chem. Rev. 2000, 100, 1973–2011. [Google Scholar]
- Deligeorgiev, T. G.; Zaneva, D. A.; Kim, S. H.; Sabnis, R. W. Preparation of monomethine cyanine dyes for nucleic acid detection. Dyes and Pigments 1998, 37, 205–211. [Google Scholar]
- Gadjev, N. I.; Deligeorgiev, T. G.; Kim, S. H. Preparation of monomethine cyanine dyes as noncovalent labels for nucleic acids. Dyes and Pigments 1999, 40, 181–186. [Google Scholar]
- Deligeorgiev, T. G.; Gadjev, N. I.; Timtcheva, I. I.; Maximova, V. A.; Katerinopoulos, H. E.; Foukaraki, E. Synthesis of homodimeric monomethine cyanine dyes as noncovalent nucleic acid labels and their absorption and fluorescence spectral characteristics. Dyes and Pigments 1999, 44, 131–136. [Google Scholar]
- Gadjev, N. I.; Deligeorgiev, T. G.; Timcheva, I.; Maximova, V. Synthesis and properties of YOYO-1-type homodimeric monomethine cyanine dyes as noncovalent nucleic acid labels. Dyes and Pigments 2003, 57, 161–164. [Google Scholar]
- Rye, H.S.; Yue, S.; Wemmer, D.E.; Quesada, M.A.; Haugland, R.P.; Maties, R.A.; Glazer, A.N. Stable fluorescent complexes of double-stranded DNA with bis-intercalating asymmetric cyanine dyes: properties and applications. Nucleic Acids Res. 1992, 20, 2803–2812. [Google Scholar]
- Stark, D.; Hamed, A. A.; Pedersen, E. B.; Jacobsen, J. P. Bisintercalation of homodimeric thiazole orange dyes in DNA: effect of modifying the linker. Bioconjugate Chem. 1997, 8, 869–877. [Google Scholar]
- Jacobsen, J. P.; Pedersen, J. B.; Hansen, L. F.; Wemmer, D. E. Site selective bis-intercalation of a homodimeric thiazole orange dye in DNA oligonucleotides. Nucleic Acids Res. 1995, 23, 753–760. [Google Scholar]
- Moody, E. D.; Viskari, P. J.; Colyer, Ch. L. Non-covalent labeling of human serum albumin with indocyanine green: a study by capillary electrophoresis with diode laser-induced fluorescence detection. J. Chromatogr. B. 1999, 729, 55–64. [Google Scholar]
- McCorquodale, E. M.; Colyer, Ch. L. Indocyanine green as a noncovalent, pseudofluorogenic label for protein determination by capillary electrophoresis. Electrophoresis 2001, 22, 2403–2408. [Google Scholar]
- Sowell, J. D. The use of covalent and noncovalent labeling schemes for the study of bioaffinity interactions via capillary electrophoresis with near-infrared laser induced fluorescence detection. PhD Dissertation, Georgia State University, Atlanta, 2003. [Google Scholar]
- Andrews-Wilberforce, D.; Patonay, G. Investigation of near-infrared laser dye albumin complexes. Spectrochim. Acta 1990, 46A, 1153–62. [Google Scholar]
- Legendre, B. L., Jr.; Soper, S. A. Binding properties of near-IR dyes to proteins and separation of the dye/protein complexes using capillary electrophoresis with laser-induced fluorescence detection. Appl. Spectrosc. 1996, 50, 1196–1202. [Google Scholar]
- Peters, T. All About Albumin: Biochemistry, Genetics, and Medical Applications; Academic Press: San Diego, 1996. [Google Scholar]
- Borga, O.; Borga, B. Serum protein binding of nonsteroidal antiinflammatory drugs: a comparative study. J. Pharmacokinet. Biopharm. 1997, 25, 63–77. [Google Scholar]
© 2004 by MDPI (http:www.mdpi.org). Reproduction is permitted for noncommercial purposes.
Share and Cite
Patonay, G.; Salon, J.; Sowell, J.; Strekowski, L. Noncovalent Labeling of Biomolecules with Red and Near- Infrared Dyes. Molecules 2004, 9, 40-49. https://doi.org/10.3390/90300040
Patonay G, Salon J, Sowell J, Strekowski L. Noncovalent Labeling of Biomolecules with Red and Near- Infrared Dyes. Molecules. 2004; 9(3):40-49. https://doi.org/10.3390/90300040
Chicago/Turabian StylePatonay, Gabor, Jozef Salon, John Sowell, and Lucjan Strekowski. 2004. "Noncovalent Labeling of Biomolecules with Red and Near- Infrared Dyes" Molecules 9, no. 3: 40-49. https://doi.org/10.3390/90300040
APA StylePatonay, G., Salon, J., Sowell, J., & Strekowski, L. (2004). Noncovalent Labeling of Biomolecules with Red and Near- Infrared Dyes. Molecules, 9(3), 40-49. https://doi.org/10.3390/90300040

