Structures and Chemical Equilibria of Some N-Heterocycles Containing Amide Linkages
Abstract
:Introduction
Results and Discussion
Effect of pH on the Electronic Absorption Spectra of the Studied N-Heterocycles
Methods Applied to Calculate the pK -values from the Absorbance – pH Relationship:
a) Half Height Method [22]
b) Modified Limiting Absorption Method [23]:
c) Colleter Method [24]:
| Compound | Half Height | Modified Limiting | Colleter | n |
|---|---|---|---|---|
| 5-Carboxy-2-thiouracil (1) | 4.7 7.7 | 4.7 7.9 | 4.8 8.0 | 1.0 1.0 |
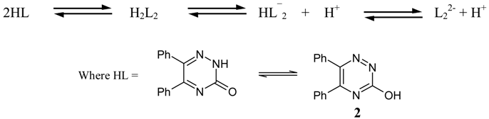
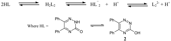
| 5,6-Diphenyl-3-hydroxy-1,2,4-triazine (2) | 4.3 7.6 | 4.4 7.5 | 4.1 7.5 | 0.5 1.0 |
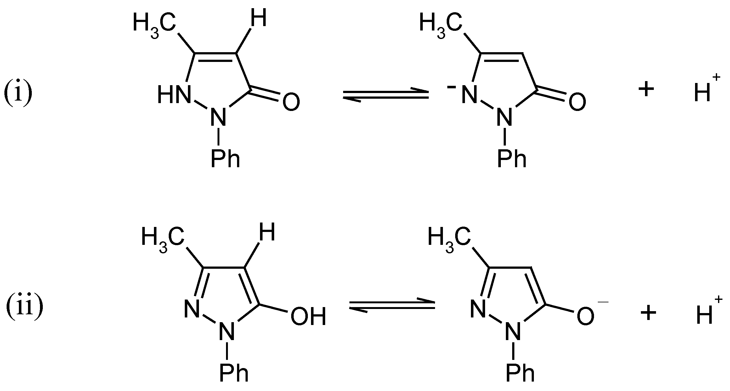
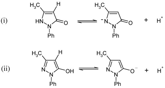
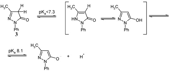
| 1-Phenyl-3-methyl-5-pyrazolone (3) | 8.1 | 7.9 | 8.1 | 1.0 |
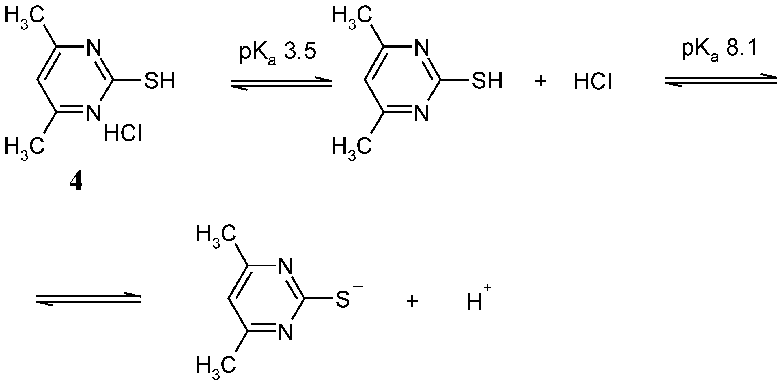
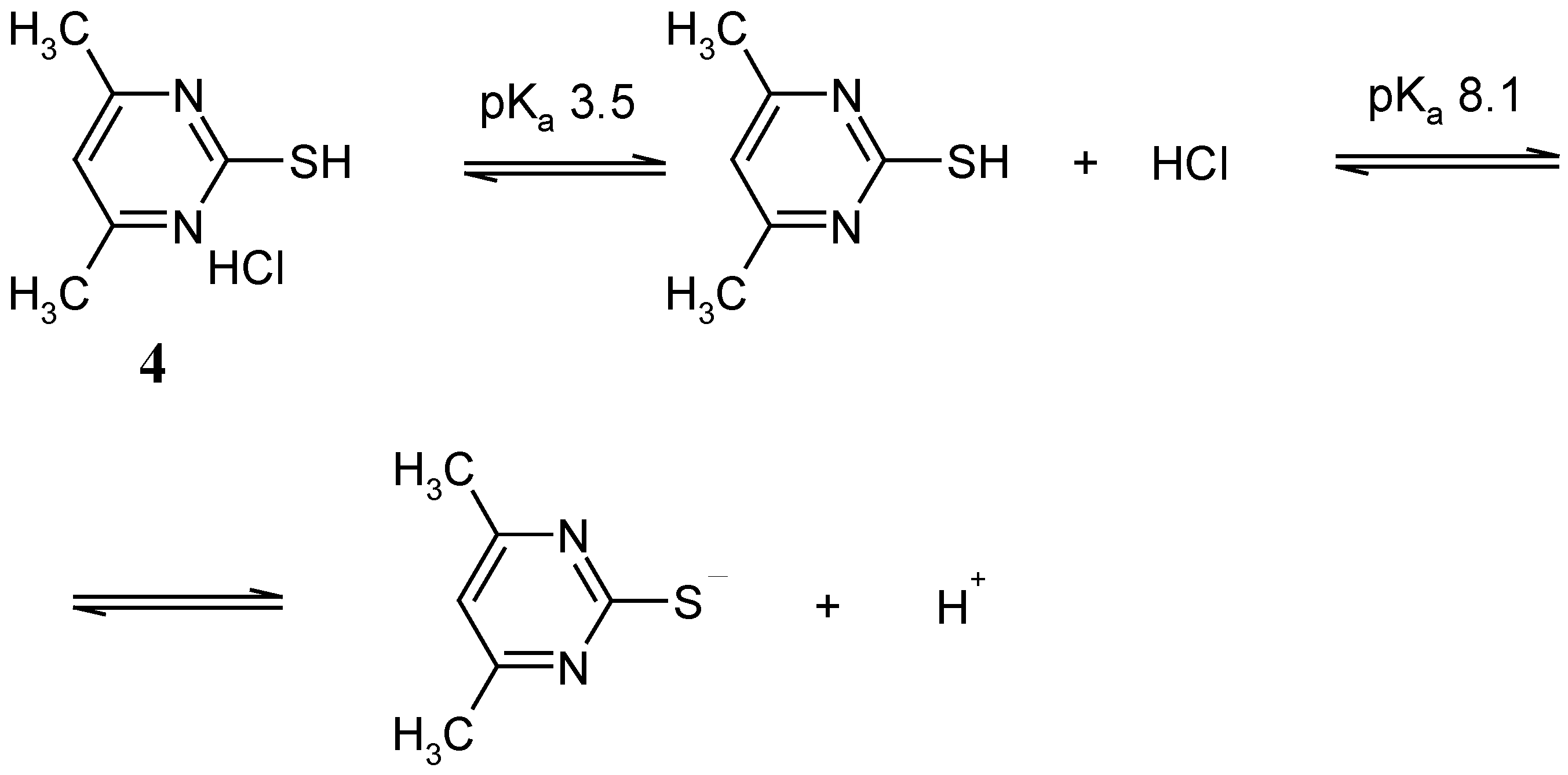
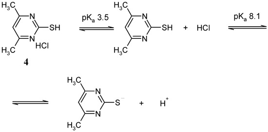
| 2-Mercapto-4,6-dimethylpyrimidine hydrochloride (4) | 3.6 8.1 | 3.6 8.3 | 3.5 8.3 | 1.0 1.0 |




Conclusions
Experimental
General
Syntheses of the Compounds Studied
References:
- Berliner, L. J.; Wong, S. S. Biochem. 1975, 14, 4977. [CrossRef]
- Lungquist, S.; Lindahl, T. J. Biol. Chem. 1974, 249, 1530.
- Chang, C. H.; Marzilli, L. G. J. Am. Chem. Soc. 1967, 96, 3656.
- Gould, I.R.I.; Hillier, I. H. J. Chem. Soc. Perkin Trans. II 1990, 329.
- Brown, C. N. J. Mol. Biol. 1971, 59, 1.
- Brown, C. N.; Wisseman, L. C. Nature. 1972, 237, 72. [CrossRef]
- Urena, F. H.; Carretero, M.N.M.; Peregrin, J.M.S.; Lopez, G.A.C. Trans. Met. Chem. 1995, 20, 262.
- Masoud, M.S.; Zaki, Z. M.; Ismail, F. M.; Mohamed, A.K. Z. Für Phys. Chem. (N.F.) 1994, 185, 223.
- Masoud, M.S.; Abd El-Hamid, O. H.; Zaki, Z. M. Trans. Met. Chem. 1994, 19, 21. [CrossRef]
- Masoud, M.S.; Haggag, S. S.; Zaki, Z. M.; El-Shabasy, M. Spectroscopy Letter. 1994, 27, 775.
- Masoud, M.S.; El-Nahas, H. M.; Haggag, S.S. Pak. J. Sci. Ind. Res. 1995, 38, 108.
- Masoud, M.S.; Haggag, S.S.; Abd El Hamid, O. H. Rev. Roum. Chim. 1996, 41, 21.
- Masoud, M.S.; Hasanien, A. A.; Ghonaim, A. K.; Khalil, E. A.; Mahmoud, A. A. Z. Für Phys. Chemie, Bd. 1999, 209. S, 223.
- Masoud, M.S.; Hindawy, A. M.; Ahmed, R. H. Pak. J. Sci. Ind. Res. 1999, 42, 11.
- Masoud, M.S.; Khalil, E. A.; Ibrahim, A. A.; Marghany, A. A. Z. Für Phys.Chemie. 1999, 211, 13.
- Masoud, M.S.; Hammud, H. H. Ultra Sci. Phys. Sci. 2000, 12, 12.
- Masoud, M.S.; Ghonaim, A. K.; Ahmed, R. H.; Abou El-Enein, S. A.; Mahmoud, A. A. J. Coord. Chem. 2002, 55, 79.
- Ahmed, Z.A. Delta, J. Sci. 1994, 18, 55, [Chem. Abst. 1997, 127, 99652 q].
- Arora, C.B.; Rastogi, R.; Awasthi, U.; Krishna. Asian J. Phys. 1996, 5, 231, [Chem. Abst. 1997, 126, 258042 p].
- Gupta, J.K.; Kumar, S.; Kumar, S.; Kaushik, S.D. Asian J. Phys. 1996, 5, 245, [Chem. Abst. 1997, 126, 271398 d].
- Khan, B.T.; Khan, S.R.A.; Annapoorna, K. Indian J. Chem. Sect. A; Inorg. Bioinorg., Phys., Theor. Anal. Chem. 1995, 34A, 878, [Chem. Abst. 1995, 123, 357535 w].
- Issa, R. M. J. Chem. U. A. R. 1971, 14, 113.
- Muck, A. A.; Pravico, M. B. Anal. Chim. Acta. 1969, 45, 534.
- Colleter, J. C. Ann. Chim. 1960, 5, 415.
- Bachstetz, M. Ber. 1930, 63B, 1000, [Chem. Abst. 1930, 24, 3760].
- Shugar, D.; Jack, J. F. Biochem. Biophys. Acta. 1952, 9, 199. [CrossRef]
- Chargaff, E.; Davidson, J. N. The Nucleic Acids 1; Academic Press, Inc.: New York, N.Y, 1955; p. 113. [Google Scholar]
- Woodward, R. B. J. Amer. Chem. Soc. 1942, 64, 72. [CrossRef]
- Petel, D. R.; Choxi, C. S.; Petel, S. P. Can. J. Chem. 1969, 47, 105.
- Cohen, M. D.; Fisher, E. J. Chem. Soc. 1962, 3044. [CrossRef]
- Masoud, M.S.; El Dessoukey, M.A.; Haggag, S.S. Spectroscopy Lett. 1985, 18, 251.
- Katritzky, A. R.; Maine, F. W. Tetrahedron 1964, 20, 299.
- Bitz, H. Berichte 1905, 38, 1418.
- Krouth, W. Bericht über Patente. 1896, 77.
- Hunt, R. R.; McOmie, J. F. W.; Sayer, E. R. J. Chem. Soc. 1959, 527.
- Britton, T. S. Hydrogen Ions; Chapman and Hall Ltd: London, 1955. [Google Scholar]
- Sample Availability: Samples are available from the authors.
© 2003 by MDPI ( http://www.mdpi.org). Reproduction is permitted for noncommercial purposes
Share and Cite
Masoud, M.S.; Abd El Zaher Mostafa, M.; Ahmed, R.H.; Abd El Moneim, N.H. Structures and Chemical Equilibria of Some N-Heterocycles Containing Amide Linkages. Molecules 2003, 8, 430-438. https://doi.org/10.3390/80500430
Masoud MS, Abd El Zaher Mostafa M, Ahmed RH, Abd El Moneim NH. Structures and Chemical Equilibria of Some N-Heterocycles Containing Amide Linkages. Molecules. 2003; 8(5):430-438. https://doi.org/10.3390/80500430
Chicago/Turabian StyleMasoud, M. S., M. Abd El Zaher Mostafa, R. H. Ahmed, and N. H. Abd El Moneim. 2003. "Structures and Chemical Equilibria of Some N-Heterocycles Containing Amide Linkages" Molecules 8, no. 5: 430-438. https://doi.org/10.3390/80500430
APA StyleMasoud, M. S., Abd El Zaher Mostafa, M., Ahmed, R. H., & Abd El Moneim, N. H. (2003). Structures and Chemical Equilibria of Some N-Heterocycles Containing Amide Linkages. Molecules, 8(5), 430-438. https://doi.org/10.3390/80500430
