Abstract
The reaction of 5-hydroxy-2-nitrobenzaldehyde with ethyl acetoacetate in ammonia gave the two expected isomeric 1,4- and 1,2-dihydropyridines resulting from the normal Hantzsch reaction. However, the combination of 2-nitrobenzaldehyde with ethyl acetoacetate under the same conditions yielded four products: the two normal isomeric dihydropyridines and two tricyclic compounds. When we attempted to independently synthesize the two tricyclic compounds by reductive cyclization of 4-(2-nitrophenyl)-2,6-dimethyl-3,5-dicarbetoxy-1,4-dihydropyridine and 2-(2-nitrophenyl)-4,6-dimethyl-3,5-dicarbetoxy-1,2-dihydropyridine with tin (II) chloride in hydrochloric acid media, we obtained instead an indole and a quinoline derivative, respectively.
Introduction
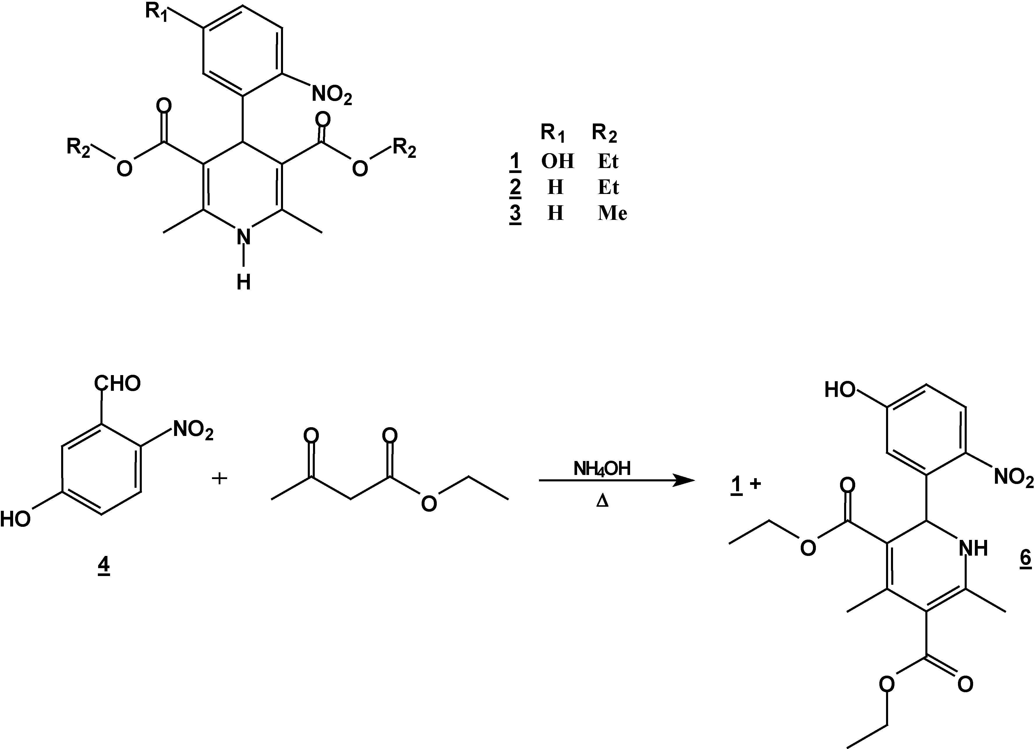
Dihydropyridine The dderivatives of dihydropyridine derivatives are compounds with adisplay a broad spectrum of drug medicinal activities, mainly as antihypertensive and antiarrhyithmic medicamentsdrugs. They are also used as starting materials foron cycloaddition and electrophilic reactions [1,2,3,4]. Recently we reported the preparation of 4-substituted-2-cyclo-hexenones by reductive cyclization of Hantszch esters using sodium and withand ethanol as the solvent [5]. As a part of our drug design program on drug design [6], we were interested to in the preparation ofprepare and evaluated the 1,4-dihydropyridines 1 and 2 [8] and evaluatethe evaluation of as their antihypertensive compounds properties, because since they are structurally similar to Nifedipine (3). In this paper we describe the results obtained when we tried attempted to get synthesisesynthesis of ze 1 and 2 from using the Hantzsch reaction of 5-hydroxy-2-nitrobenzaldehyde (4) and 2-nitrobenzaldehyde (5), respectively. We also described here the results of the reductive cyclization with tin (II) chloride in hydrochloric acid of the 1,4-dihydropyridines 1 and 2 and the 1,2-dihydropyridines 6 and 7 with tin (II) chloride in hydrochloric acid.
Results Aand Discussion
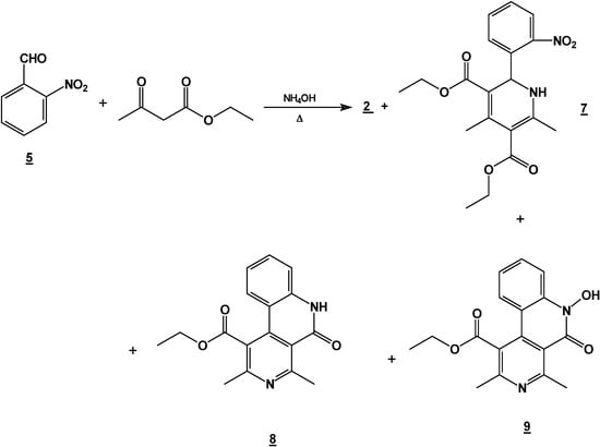
Our approach to the synthesis of compounds 1 and 2 was based on the Hantzsch method. To this end a study was undertaken of the reaction of 5-hydroxy-2-nitrobenzaldehyde 4 with ethyl acetoacetate in ammoniaammoniuma was undertaken. The reaction gave the isomeric 1,4- and 1,2-dihydropyridine products 1 (48%) and 6 (20%) resulting from the normal Hantzsch reaction (Scheme 1).
Scheme 1.
Scheme 1.

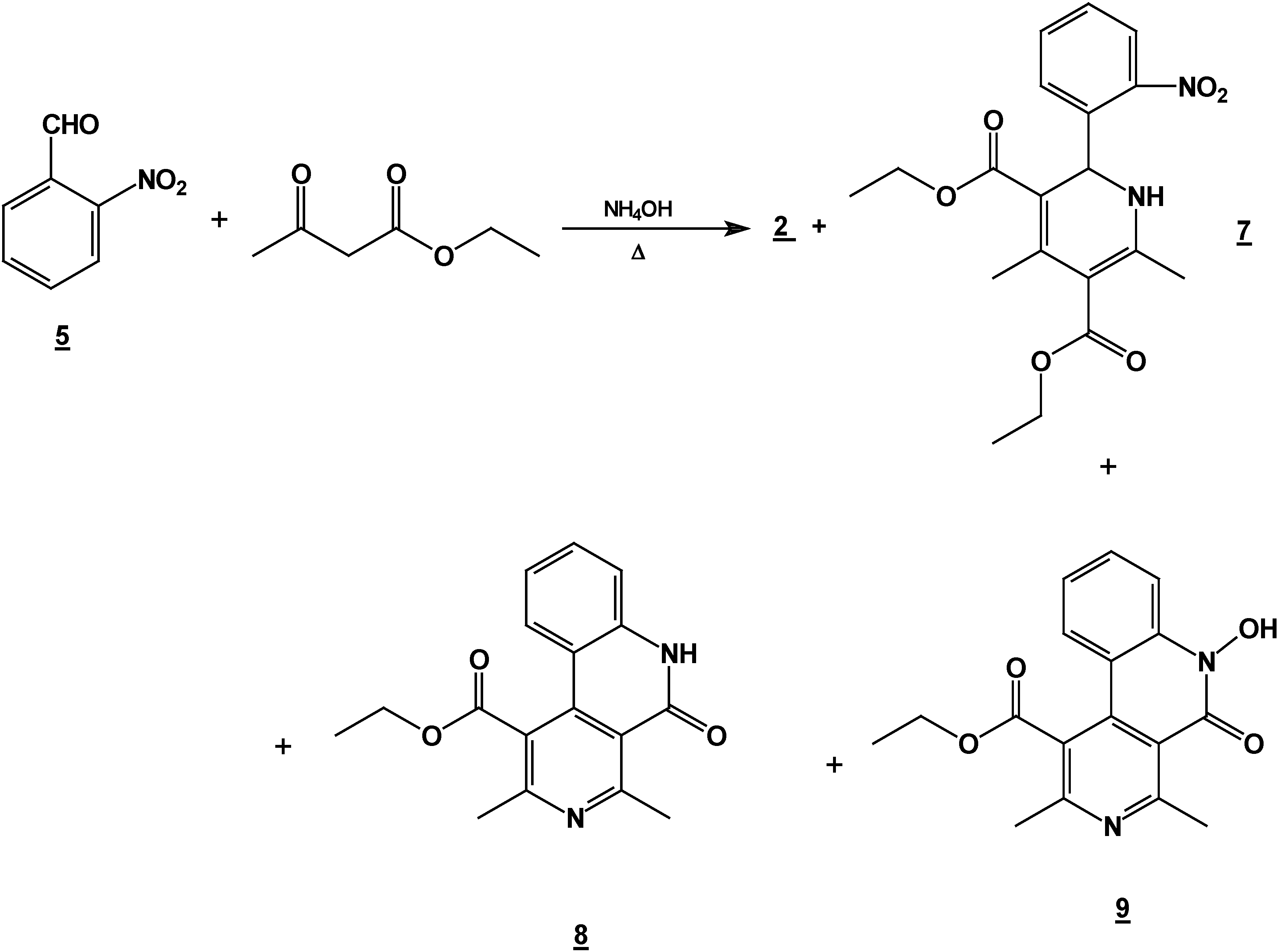
The proposed structures of all products were confirmed by analytical and spectral data and by the spectralmelting points data spectra reported in previous works [7,8]. The analytical and spectral data of 6 were also consistent with the 1,2-dihydro isomeric system in which was evident from the resonance of the hydrogen joined attached to esters groups which they havecauses produces different shifts in the 1H-nmr spectrum. The combination of 2-nitrobenzaldehyde 5 with ethyl acetoacetate however yielded interesting results. By sSeparation of the products with using column chromatography we obtainyielded as products the normal isomeric dihydropyridines 2[8] and 7, as crystalline solids in 35% and 20 % yields, and the compounds 8 and 9 in yields of 15% and 20%, respectively (Scheme 2).
Scheme 2.
Scheme 2.

Careful examination of the spectral and analytical data of compounds 8 and 9 indicated that they are the ethyl esters of 5,6-dihydro-2,4-dimethyl-5-oxobenzo[c][2,7]naphthyridine-1-carboxylic acid ethyl ester and 5,6-dihydro-6-hydroxy-2,4-dimethyl-5-oxobenzo[c][2,7]naphthyridine-1-carboxylic acid ethyl ester., respectively. Kim [9] has been reported that refluxing of 4-(2-aminophenyl)-1,4-dihydro-2,6-dimethyl-3,5-pyridine dicarboxylic acid diethyl ester 10 in toluene gave four compounds: 8, 11, 12 and 13 (Scheme 3). He also reported that catalytic hydrogenation in the presence of palladium-charcoal of 2,6-dimethyl-4-(2-nitrophenyl)-3,5-pyridinedicarboxylic acid diethyl ester 14, in the presence of palladium-charcoal followed by the treatment of the crude product with boiling pyridine, afforded a mixture of 8 and 9 in a relation ratio of approximately 1:1. To the best of our knowledge isolation of compounds as 8 and 9 from a Hantzsch reaction is not yethas not been described in the literature.
Scheme 3.
Scheme 3.

The formation of compounds 8 and 9 can be rationalized asexplained by an in situ intramolecular oxidation-reduction reaction of compound 2 (Scheme 4), since because it is well known that the dihydropyridine moiety comport oneselfbehaves as a reductive system [10,11,12] and the nitrophenyl framework could acts as an oxiddizingant agent [13]. We presume that one of the first steps could be the formation of the N-OH intermediates you 15 and subsequent cyclization gives compound 8. The total reduction of the nitro group to amine 16, and its posterior subsequent cyclization with one of the ethyl ester groups, gives compound 9. With the aim to supportof testing the above statement compound 2 was treated with tin (II) chloride in hydrochloric acid [14,15,16].
Scheme 4.
Scheme 4.

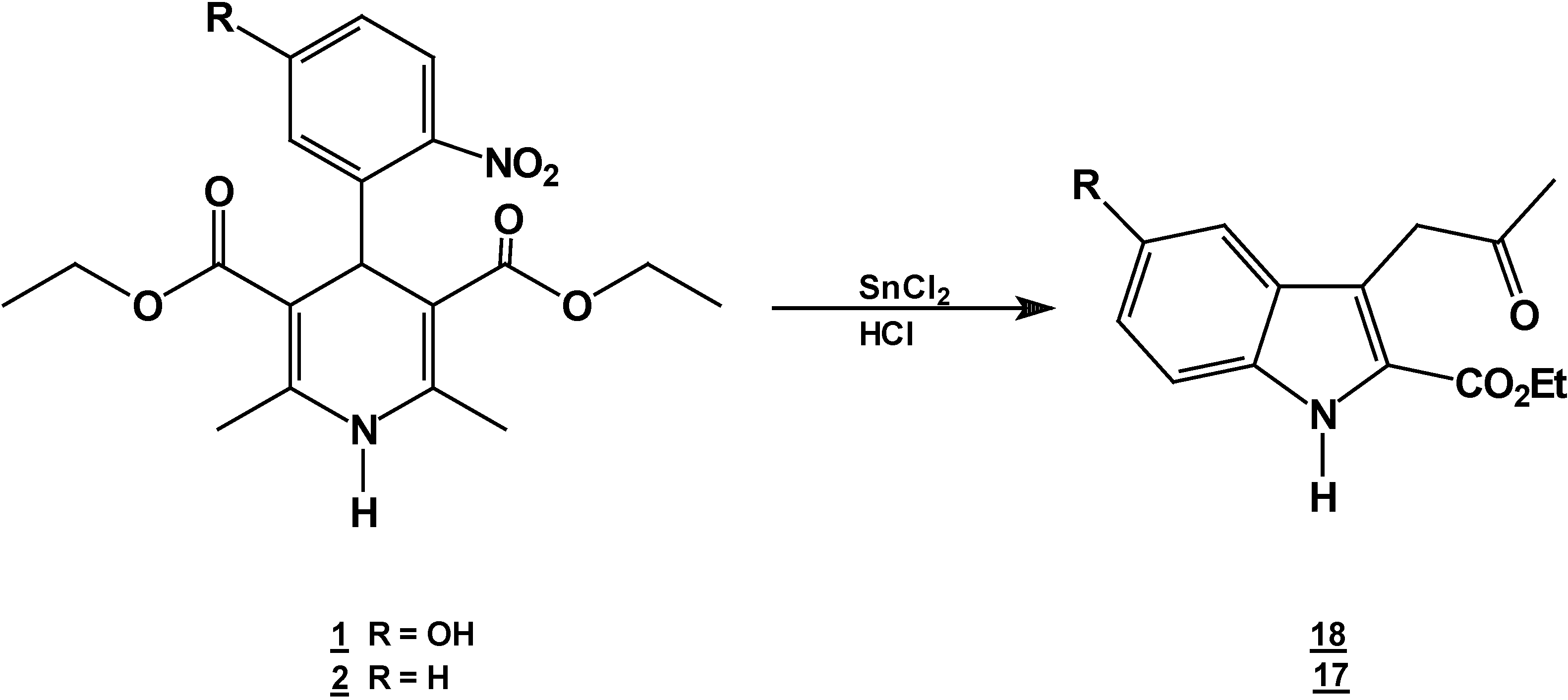
To our surpriseUnexpectedly the compound that was obtained in 40 % yield was proven to be 17 (Scheme 5). The structure of 17 was confirmed by comparing its melting point and spectral data with literature data [17,18].
Scheme 5.
Scheme 5.

This prompted us to also investigate the behavior of 4-(5-hydroxy-2-nitrophenyl)-1,4-dihydro-pyridine 1 under towards stannoustin (II) chloride in acid media conditions, and again thethis time the corresponding indole derivative 18 was obtained in 56% yield. On the basis of derivativesStarting from 1 and 2 the following mechanistic pathway leading to the indole compounds 17 and 18 can be formulated (Scheme 6). It starts with the reduction of the 2-nitro group to the nitroso functionality. This suffers a nucleophilic attack of at C-3 of on the dihydropyridine moiety mediated by a Michael type addition of one water molecule to C-2 of the same moiety. The pyridine unit undergoes a ring opening reaction facilitated by the loss of a water molecule from the nitrogen of the incipient indole group. Subsequent decarboxylation and isomerization processes furnish lead to the indole compounds.
Scheme 6.
Scheme 6.

In order to provide evidence for this possible proposed mechanism the reduction reaction was studied with using the 1,2-dihydropyridines 6 and 7 (Scheme 7). The treatment of 7 with stannoustin (II) chloride in acid media afforded a mixture of quinoline compounds 12 and 19 instead of the expected indole. The major product from this reaction exhibited spectral data consonant consistent with structure 12 [9].
Scheme 7.
Scheme 7.

The spectral and melting point data of the minor product (72-74 °C) indicated it to be 19, a product did not described in the literature. However, when the 1,2-dihydropyridine 6 reacted in under similar conditions it gaives the substituted 6-hydroxyquinoline 20 as the only product. Kim [9] has been reported that treatment of 4-(2-aminophenyl)-1,4-dihydro-2,6-dimethyl-3,5-pyridinedicarboxylic acid diethyl ester 10 with ethanol pretreated with hydrogen chloride gas gave the quinoline 12 and proposed a plausible mechanism for this conversion that involves the intermediate 21 (Scheme 8). Considering these observations we propose a similar mechanism that to explain the conversion of 1,2-dihydropyridines 6 and 7 into quinoline derivatives (Scheme 8). In addition, Hazard has been also reported the electrochemical transformation of Nifedipine into a mixture of indole and quinoline compounds [17].
Scheme 8.
Scheme 8.

Conclusions
In summary, tThe Hantszch reaction of 5-hydroxy-2-nitrobenzaldehyde gave the expected 1,4- and 1,2 -dihydropyridines. However, the same reaction with 2-nitrobenzaldehyde gave four compounds: the two isomeric dihydropyridines and two tricyclic compounds that we proposed to comes arise from an in situ oxidation-reduction reaction. Likewise, the reaction of 1,4- and 1,2-dihydropiridines with stannoustin (II) chloride in hydrochloric acid gave derivatives of indole and quinoline, respectively.
Acknowledgments
We are grateful to C. Contreras, B. Quiróz, H. Rios, L. Velasco and F.J. Peréz for their help in obtaining the IR, NMR and mass spectral data and to C. Pérez and D. Jiménez for their technical assistance. We thank also to DGAPA, UNAM and CONACyT for financial support.
Experimental
General
All melting points are uncorrected. The IR spectra were recorded on a Nicolet FT-55X spectrophotometer. The 1H- NMR spectra were determined on a Varian FT-200 and Varian FT-300S instruments. All NMR spectra were obtained with the pulse sequence as partincluded with of the spectrometer's software and, unless specified otherwise, wasere determined in deuterochloroform solutions containing tetramethylsilane as the internal standard. with cChemical shifts (δ) are expressed in ppm downfield from tetramethylsilanethe reference peak. Mass spectra were recorded usingon a Jeol SX-102 mass spectrometer using the direct inlet system with an ionization energy of 70 eV, an emission current of 100 μA and and ion source temperature of 150 °C.
Synthesis of 4-(5-hydroxy-2-nitrophenyl)-1,4-dihydropyridine (1) + 2-(5-hydroxy-2-nitro-phenyl)-4,6-dimethyl-1, 2-dihydropyridine-3,5-dicarboxylic acid diethyl ester (6).
A mixture of 5 g (0.30 mole) of 5-hydroxy-2-nitrobenzaldehyde (5g, 0.30 mole), 7.8 g (0.60 mole) of ethyl acetoacetate (7.8g ,0.60 mole) and 30% 25 ml of ammoniaammonium hydroxide (25 mL)30%) in ethanol ( 250 mLl) was stirred under reflux for 2 hours. The solution was concentrated (rotatory evaporator) to afford a solid mixtureresidue. This mixture was then separated by column chromatography (silica gel, hexane/ ethyl acetate , gradient) into compounds 1 (5.57 g, 48 %) and 6 (2.32 g, 20 %); m.p. 206-208°C (hexane/ethyl acetate); IR (CHCl3 film) νmax/cm−1: 3346, 3240, 1701, 1656; 1H-NMR: 10.3 (s, 1H, OH), 7.96 (d, J=6.0Hz, 1H, H3*), 6.97 (d, J=6.0Hz 1H, H6*), 6.80 (dd, J=6.0, J=1.8 Hz, 1H, H4*), 6.52 (d, J=2.5 Hz, 1H, NH), 6.18 (d, J=2.5 Hz, 1H, H2), 4.20 (q, J=9.4 Hz, 2H, H10), 4.0 (q, J=9.4 Hz, 2H, H13), 2.51 (s, 3H, H7), 2.14 (s, 3H, H8), 1.28 (t, J=9.4 Hz, 3H, H14), 1.06 t, J=9.4 Hz, 3H, H11); 13C-NMR: 167.2 (C=O, C9), 165.0 (C=O,C12), 163 (C5*), 154.5 (C6), 148.3 (C4), 139.8 (C2*), 138.5 (C3), 127.0 (C3*), 116.4 (C6*), 114.7 (C4*), 107.0 (C1*), 102.2 (C5), 59.0 (C13), 58.8 (C10), 50.2 (C2), 20,8 (C7), 18.6 (C8), 13.8 (C14), 13.4 (C11); M.S. IE m/z (%)= 390 (15, M+), 373 (18), 345 (30), 299 (100).
Synthesis of 2,6-Dimethyl 4-(2-nitro-phenyl)-1,4-dihydro-pyridine-3,5-dicarboxylic acid diethyl ester (2) + 4,6-Ddimethyl 2-(2-nitro-phenyl)-1,2-dihydro-pyridine-3,5-dicarboxylic acid diethyl ester (7) + 5,6-Ddihydro-2,4-dimethyl-5-oxobenzo[c][2,7]naphthyridine-1-carboxylic acid ethyl ester (8) and 5,6-dDihydro-6-hydroxy-2,4-dimethyl-5-oxobenzo[c][2,7]naphthyridine-1-carboxylic acid ethyl ester (9).
A mixture of 10 g (0.066 mole) of 2-nitrobenzaldehyde (10g, 0.066 mole), 17.2 g (0.122 mole) of ethyl acetoacetate (17.2g, 0.122 mole) and 30 ml of 30% ammoniaammonium hydroxide (30%) mL) in ethanol ( 60 mLl) was stirred under reflux for 2 hours. The solution was concentrated (rotatory evaporator) to afford a solid mixture. This mixture was then separated by column chromatography (silica gel, hexane/ ethyl acetate gradient) into 2 [8] (8.6 g, 35 %), 8 [9] (2.94 g, 15 %), 9 [9] (4.1 g, 20 %) and 7 (4.90 g, 20%), m.p. 158-160 °C; IR (CHCl3 film) νmax/cm−1: 3450 (NH), 1710 (C=O), 1650 (C=O); 1H-NMR: 8.29-7.35 (m, Ar-HPh, 4H), 4.35 (q, J=7.4 Hz, 2H, H10), 4.09 (q, J=7.4 Hz, 2H, H9), 2.51 (s, 3H, H13), 2.21 (s, 3H, H14), 1.65 (s, 1H, NH), 1.35 (t, J=7.4 Hz, 3H, H11), 0.95 (t, J=7.4 Hz, 3H, H12); 13C-NMR: 166.3 (C=O, C7), 164.0 (C=O, C8), 122-140 (C-ArPh), 62.0, (C2), 61.0 (C9, C10), 31 (C13), 27.2 (C14), 14.2 (C11), 13.4 (C12).
Reaction of 2,6-Dimethyl 4-(2-nitro-phenyl)-1,4-dihydro-pyridine-3,5-dicarboxylic acid diethyl ester (2) with Tin (II) Chloride in Hydrochloric Acid.
A solution of 1,4-dihydropyridine 2 (1.0 g, 0.0026 mol) in 25 ml of ethanol (25 mL) was added to a solution of stannoustin (II) chloride (5.4 g, 0.018 mole) in 30% 7 ml of hydrochloric acid (7 mL30%) at 5 °C. The reaction was allowed to warm to room temperature, and then heated to reflux for 5 hoursh.. The solution was neutralized with a 10% sodium bicarbonate solution and extracted with ethyl acetate (10 mLl × 3). The organic layer was dried (anhydrous sodium sulphatesulfate), filtered, and concentrated to afford crude product, which was purified by re crystallization from ethyl acetate/hexane to give 3-(2-oxopropilpropyl)-1H-indole-2-carboxilatecarboxylic acid ethyl ester (17) (0.21 g, 40%); m.p. 114-116 °C; IR (KBr pellet) νmax/cm−1: 3337 (N-H), 1724 (C=O), 1674 (C=O); 1H-NMR: 8.92 (sbr, 1H, N-H), 7.6 (ddd, J= 1.0 Hz, J= 8.0 Hz, 1H, H7), 7.38-7.10 (m, 3H, H4,H5, H6), 4.40 (q, J= 14.2 Hz, 2H, H9), 4.21 (s, 2H, H11), 2.18 (s, 3H, CH3), 1.41 (t, J= 14.2 Hz 3H, H10); 13C-NMR: 206.1 (C12), 161.8 (C8), 135.8 (Ca), 127.9 (Cb), 125.9 (C6), 124.2 (C2), 120.7 (C4), 120.5 (C5), 116.5 (C3), 111 (C7), 61.0 (C9), 40.3 (C11), 29.1 (C13), 14.2 (C10); MS m/z (%), 245 (50, M+), 202 (100 ) [ M-C2H3O], 156 ( 90) [M-C4H9O2]
Reaction of [2,6-Diethyl 4-(5-hydroxy-2-nitro-phenyl)-1,4-dihydro-pyridine-3,5-dicarboxylic acid diethyl ester (1) with Tin (II) Chloride in Hydrochloric Acid.
A solution of 1,4-dihydropyridine 1 (1.0 g, 0.0025 mol) in 25 ml of ethanol (25 mL) was added to a solution of stannoustin (II) chloride (5.4 g, 0.018 mole) in 30% 7 ml of hydrochloric acid (7mL) 30%) at 5 °C. The reaction was allowed to warm to room temperature, and then heated to reflux for 5 h. The solution was neutralized with a 10% sodium bicarbonate solution and extracted with ethyl acetate (10 mLl × 3). The organic layer was dried (anhydrous sodium sulfaphate), filtered, and concentrated to afford crude product, which was purified by recrystallization from ethyl acetate/hexane to afford 3-(2-oxopropyl)-5-hydroxy-1H-indole-2-carboxylic acid ethyl ester (18), m.p.Mp 154-156 °C, ; yield 0.313 g (56 %). IR (KBr pellet) νmax/cm−1: 3550 (OH), 3337 (N-H), 1720 (C=O), 1680 (C=O); 1H-NMR: 8.92 (sbr, 1H, N-H), 7.6 (ddd, J= 1.0 Hz, J= 8.0 Hz, 1H, H7), 7.38-7.10 (m, 3H, H4, H5, H6), 4.40 (q, J= 14.2 Hz, 2H, H9), 4.21 (s, 2H, H11), 2.18 (s, 3H, CH3), 1.41 (t, J= 14.2 Hz 3H, H10); 13C-NMR: 206.1 (C12), 161.8 (C8), 135.8 (Ca), 127.9 (Cb), 125.9 (C6), 124.2 (C2), 120.7 (C4), 120.5 (C5), 116.5 (C3), 111 (C7), 61.0 (C9), 40.3 (C11), 29.1 (C13), 14.2 (C10).
Reaction of [4,6-Dimethyl 2-(2-nitro-phenyl)-1,2-dihydro-pyridine-3,5-dicarboxylic acid diethyl ester (7) with Tin (II) Chloride in Hydrochloric Acid.
A solution of 1,2-dihydropyridine 7 (1.0 g, 0.0026 mol) in 25 ml of ethanol (25 mL) was added to a solution of stannoustin (II) chloride (5.4 g, 0.018 mole) in 30% hydrochloric acid (7 mL) at 5 °C. The reaction was allowed to w arm to room temperature, and then heated to reflux for 5 h. The solution was neutralized with a 10% sodium bicarbonate solution and extracted with ethyl acetate (10 ml × 3). The organic layer was dried (anhydrous sodium sulphate), filtered, and concentrated to afford crude product, which was purified by column chromatography and then rethey were recrystallized from ethyl acetate/hexane to obtain give 2-methyl- quinoline-3-carboxylic acid ethyl ester (12), m.p. 74-76 °C (lit [18,19] 70-72 °C) and 6-hydroxy-2-methyl-oxyquinoline-3-carboxylic acid ethyl ester (19, 0.3 g (54%); m.p. 98-100 °C; IR (KBr pellet ) νmax/cm−1): 1716 (C=O) .-;); 1H-NMR: 8.8 (d, J= 1.2 Hz, 1H, H8), 8.26 (s, 1H, H4), 7.9-7.6 (m, 3H, H5, H6, H7 ), 4.45 (q, J= 14.1 Hz, 2H, H11), 2.96 (s, 3H, H9), 1.46 (t, J= 14.1 Hz, 3H, H12); 13C-NMR: 165.3 (C=O, C10), 146.3 (C2), 142.3 (Ca), 132.3 (C4), 129.0 (C6), 128.4 (C7), 127.6 (C5), 127.0 (C3), 126.0 (Cb), 119.9 (C8), 62 (C11), 15.8 (C9), 14.2 (C12); MS m/z (%), 231 (75, M+), 214 (15) [M-OH], 186 (100) [M-45].
Reaction of 2-(5-Hydroxy-2-nitro-phenyl)-4,6-dimethyl-1,2-dihydro-pyridine-3,5-dicarboxylic acid diethyl ester (6) with Tin (II) Chloride in Hydrochloric Acid
A solution of 1,2-dihydropyridine 6 (1.0 g, 0.0025 mol) in ethanol (25 mL) was added to a solution of stannoustin (II) chloride (5.4 g, 0.018 mole) in 30% hydrochloric acid (7 mL) at 5 °C. The reaction was allowed to warm to room temperature, and then heated to reflux for 5 h. The solution was neutralized with a 10% sodium bicarbonate solution and extracted with ethyl acetate (10 mlL × 3). The organic layer was dried (anhydrous sodium sulphate), filtered, and concentrated to afford crude product, which was purified by column chromatography and then by rerecrystallization from hexane/ethyl acetate to give 6-hydroxy-2-methylquinoline-3-carboxylic acid ethyl ester (20), yield 0.35 g (60 %); m.p. 153-155 °C; IR, (KBr pellet) νmax/cm−1)= 3431, (OH), 1725 (C=O); 1H-NMR (CDCl3 +DMSO): 9.56 (s,1 1H, OH), 9.56 (s, 1H, H4), 7.8 (d, J=9 Hz, 1H, H8), 7.4 (dd, J=2.7 Hz, J=9 Hz, 1H, H7), 7.15 (d, J=2.7Hz, 1H, H5), 4.42, (q, J=14.3Hz, 2H, ester CH2 ester), 2.9 (s, 3H, CH3- 2), 1.45 (t, J=14.3Hz, 3H, CH3 ester CH3); 13C-NMR- (CDCl3 +DMSO): 166.1 (C=O, C10), 155 (C6), 154 (C2), 143 (Ca), 137.5 (C4), 128.9 (C8), 126.4 (C3), 123.7 (C7), 123.4 ( Cb), 108.5 (C5), 60.6 (C10), 24.6 (C12), 13.7 ( C11); MS m/z (%), 231 (100, M+), 216 [M-15] (4), 202 [M-C2H5] (20), 186 [M-OEt] (45).
References
- Phillips, A.P. J. Am. Chem. Soc. 1949, 71, 4003–4007. [CrossRef]
- Norcross, B.E.; Clement, G.; Weistein, M. J. Chem. Educ. 1969, 46, 694–695. [CrossRef]
- Stout, D.M.; Meyers, A.I. Chem. Rev. 1982, 82, 223–243.
- Katritzky, A.R.; Ostercamp, D.L.; Yousaf, T.I. Tetrahedron 1987, 43, 5171–5186, and references therein. [CrossRef]
- Martinez, R.; Mendoza, H.M.; Angeles, E. Synth. Commun. 1998, 28, 2813–2820.
- Angeles, E.; Martínez, P.; Keller, J.; Martínez, R.; Rubio, M.; Ramírez, G.; Castillo, R.; López-Castañares, R.; Jiménez, E. J. Mol. Struct. (Theochem) 2000, 504, 141–170. [CrossRef]
- Lepetit, D. Ber. Dtsch. Chem. Ges. 1887, 20, 789–791.
- Hinkel, L.E.; Ayling, E.E.; Morgan, W.H. J. Chem. Soc. 1931, 133, 1835–1857. [CrossRef]
- Kim, D.H. J. Heterocycl. Chem. 1986, 23, 1471–1474. [CrossRef]
- Dolle, F.; Hinnen, F.; Valette, H.; Fuseau, C.; Duval, R.; Peglion, J.; Crouzel, C. Bioorg. Med. Chem. 1997, 5, 749–764. [CrossRef]
- Hernández-Gallegos, Z.; Lehmann, P.A.F.; Hong, E.; Posadas, F.; Hernández-Gallegos, E. Eur. J. Med. Chem. Chim. Ther. 1995, 30, 355–364. [CrossRef]
- Patrick, G.L.; Kinsman, O.S. Eur. J. Med. Chem. Chim. Ther. 1996, 31, 615–624. [CrossRef]
- Menconi, I.; Angeles, E.; Martínez, L.; Posada, M.E.; Toscano, R.A.; Martínez, R. J. Heterocycl. Chem. 1995, 32, 831–833. [CrossRef]
- Buck, J.S.; Ide, W.S. Org. Synth., Coll. Vol II. 1943, 130–133.
- Ferry, C.W.; Buck, J.S.; Baltzly, R. Org. Synth., Coll. Vol III 1955, 239–241.
- Woodward, R.B. Org. Synth., Coll. Vol III 1955, 453–455.
- Hazard, R.; Hurvois, J.P.; Moinet, C.; Tallec, A.; Burgot, J.L.; Eon-Burgot, G. Electrochim. Acta 1991, 46, 1135–1141.
- Friedlander, P.; Gohring, C.F. Ber. Dtsch. Chem. Ges. 1883, 16, 1883–1839.
- Bassett, A.; Luheshi, N.; Salem, S.M.; Smalley, R.K. Tetrahedron Lett. 1990, 31, 6561–6564.
- Sample availability: Available from the authors.
© 2001 by MDPI (http://www.mdpi.org). Reproduction is permitted for non commercial purposes.