Cissus verticillata Leaf Extract Decreases the Production of AGEs and ROS In Vitro
Abstract
1. Introduction
2. Results
2.1. In Vitro ROO• and O2•− Scavenging Assays
2.2. In Vitro Assays for the Antiglycation Activity
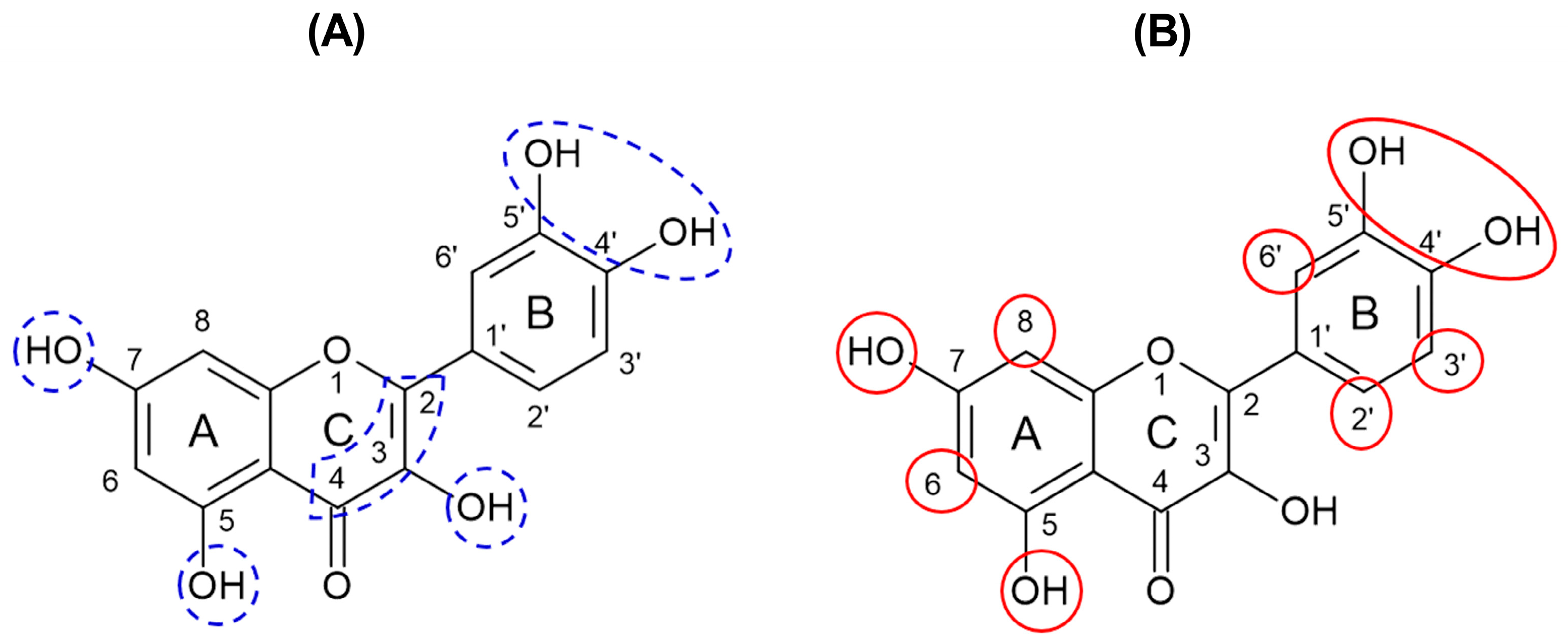
2.3. LC-MS/MS Chemical Profile of CvExt and Its Fractions
2.3.1. Correlation of Annotated Metabolites with Anti-AGE Activity
2.3.2. Correlation of Annotated Metabolites with Anti-PCO Activity
3. Discussion

4. Materials and Methods
4.1. Reagents and Chemicals
4.2. Plant Material, Extraction, and Fractionation
4.3. In Vitro Antioxidant Assays
4.3.1. ROO• Scavenging Assay
4.3.2. O2•− Scavenging Assay
4.4. In Vitro Model Systems of Protein Glycation
4.4.1. Fluorescent AGEs and Markers of Amino Acid Oxidation
4.4.2. Protein Carbonyl Groups
4.5. LC-MS/MS Chemical Profiling of CvExt
4.6. Statistical Analysis
5. Conclusions
Supplementary Materials
Author Contributions
Funding
Data Availability Statement
Conflicts of Interest
Abbreviations
| AAPH | 2,2′-azobis(2-amidinopropane) dihydrochloride |
| AG | Aminoguanidine |
| AGEs | Advanced glycation end products |
| BSA | Bovine serum albumin |
| ButFr | Butanolic fraction |
| CvExt | Cissus verticillata leaf hydroethanolic extract |
| DDA | Data-dependent acquisition |
| DM | Diabetes mellitus |
| DNPH | 2,4-dinitrophenylhydrazine |
| EC50 | 50% effective concentration |
| ESI | Electrospray ionization |
| EtAcFr | Ethyl acetate fraction |
| Glu | Glucose |
| GNPS Molecular Networking | Global Natural Products Social Molecular Networking |
| HEtFr | Hydroethanolic fraction |
| HexFr | Hexane fraction |
| HISA | Herbarium of Ilha Solteira |
| LC-MS/MS | Liquid chromatography with tandem mass spectrometry |
| MG | Methylglyoxal |
| NADH | Nicotinamide adenine dinucleotide |
| NBT | Nitrotetrazolium blue |
| NuBBEDB | NuBBE Database |
| O2•− | Superoxide anion radical |
| PCO | Protein carbonyl groups |
| PLS-DA | Partial least-squares discriminant analysis |
| PMS | Phenazine metasulfate |
| QTOF | Quadrupole time-of-flight |
| ROO• | Peroxyl radical |
| ROS | Reactive oxygen species |
| SEM | Standard error of the mean |
| SisGen | National System for the Management of Genetic Heritage and Associated Traditional Knowledge |
| UPLC | Ultra-performance liquid chromatographer |
References
- Forbes, J.M.; Cooper, M.E. Mechanisms of diabetic complications. Physiol. Rev. 2013, 93, 137–188. [Google Scholar] [CrossRef]
- Turk, Z. Glycotoxines, carbonyl stress and relevance to diabetes and its complications. Physiol. Res. 2010, 59, 147–156. [Google Scholar] [CrossRef]
- Giri, B.; Dey, S.; Das, T.; Sarkar, M.; Banerjee, J.; Dash, S.K. Chronic hyperglycemia mediated physiological alteration and metabolic distortion leads to organ dysfunction, infection, cancer progression and other pathophysiological consequences: An update on glucose toxicity. Biomed. Pharmacother. 2018, 107, 306–328. [Google Scholar] [CrossRef]
- Thornalley, P.J. Endogenous α-Oxoaldehydes Formation of Protein Nucleotide Advanced Glycation Endproducts in Tissue Damage. In Acetaldehyde-Related Pathology: Bridging the Trans-Disciplinary Divide: Novartis Foundation Symposium; Chadwick, D.J., Goode, J., Eds.; John Wiley & Sons, Ltd.: Chichester, UK, 2006; pp. 229–246. [Google Scholar]
- Schalkwijk, C.G.; Stehouwer, C.D.A. Methylglyoxal, a highly reactive dicarbonyl compound, in diabetes, its vascular complications, and other age-related diseases. Physiol. Rev. 2020, 100, 407–461. [Google Scholar] [CrossRef]
- Asmat, U.; Abad, K.; Ismail, K. Diabetes mellitus and oxidative stress—A concise review. Saudi Pharm. J. 2016, 24, 547–553. [Google Scholar] [CrossRef]
- Daffu, G.; Pozo, C.H.D.; O′Shea, K.M.; Ananthakrishnan, R.; Ramasamy, R.; Schmidt, A.M. Radical roles for RAGE in the pathogenesis of oxidative stress in cardiovascular diseases and beyond. Int. J. Mol. Sci. 2013, 14, 19891–19910. [Google Scholar] [CrossRef] [PubMed]
- Chaudhury, A.; Duvoor, C.; Dendi, V.S.R.; Kraleti, S.; Chada, A.; Ravilla, R.; Marco, A.; Shekhawat, N.S.; Montales, M.T.; Kuriakose, K.; et al. Clinical review of antidiabetic drugs: Implications for type 2 diabetes mellitus management. Front. Endocrinol. 2017, 8, 6. [Google Scholar] [CrossRef] [PubMed]
- Davies, M.J.; D′Alessio, D.A.; Fradkin, J.; Kernan, W.N.; Mathieu, C.; Mingrone, G.; Rossing, P.; Tsapas, A.; Wexler, D.J.; Buse, J.B. Management of hyperglycemia in type 2 diabetes, 2018. A consensus report by the American Diabetes Association (ADA) and the European Association for the Study of Diabetes (EASD). Diabetes Care 2018, 41, 2669. [Google Scholar] [CrossRef] [PubMed]
- Vijaykrishnaraj, M.; Wang, K. Dietary natural products as a potential inhibitor towards advanced glycation end products and hyperglycemic complications: A phytotherapy approaches. Biomed. Pharmacother. 2021, 144, 112336. [Google Scholar] [CrossRef]
- Liu, H.; Huo, X.; Wang, S.; Yin, Z. The inhibitory effects of natural antioxidants on protein glycation as well as aggregation induced by methylglyoxal and underlying mechanisms. Colloids Surf. B Biointerfaces 2022, 212, 112360. [Google Scholar] [CrossRef]
- Flora do Brasil, 2020. Cissus verticillata (L.) Nicolson & C.E. Jarvis Subsp. Verticillata. Available online: https://floradobrasil2020.jbrj.gov.br/reflora/floradobrasil/FB21572 (accessed on 20 October 2025).
- Lameira, O.A.; Medeiros, A.P.R.; Ferreira, M.C. Cissus verticillata—Insulina-vegetal. In Espécies Nativas da Flora Brasileira de Valor Econômico Atual ou Potencial: Plantas Para o Futuro: Região Norte; EMBRAPA: Brasília, Brazil, 2022; pp. 1020–1027. Available online: http://www.infoteca.cnptia.embrapa.br/infoteca/handle/doc/1144644 (accessed on 20 October 2025).
- Coelho-Ferreira, M. Medicinal knowledge and plant utilization in an Amazonian coastal community of Marudá, Pará State (Brazil). J. Ethnopharmacol. 2009, 126, 159–175. [Google Scholar] [CrossRef]
- Drobnik, J.; De Oliveira, A.B. Cissus verticillata (L.) Nicolson and CE Jarvis (Vitaceae): Its identification and usage in the sources from 16th to 19th century. J. Ethnopharmacol. 2015, 171, 317–329. [Google Scholar] [CrossRef]
- Pepato, M.T.; Baviera, A.M.; Vendramini, R.C.; Da Silva Perez, M.D.P.M.; Kettelhut, I.D.C.; Brunetti, I.L. Cissus sicyoides (princess vine) in the long-term treatment of streptozotocin-diabetic rats. Biotechnol. Appl. Biochem. 2003, 37, 15–20. [Google Scholar] [CrossRef]
- Newsholme, P.; Haber, E.P.; Hirabara, S.M.; Rebelato, E.L.O.; Procopio, J.; Morgan, D.; Oliveira-Emilio, H.C.; Carpinelli, A.R.; Curi, R. Diabetes associated cell stress and dysfunction: Role of mitochondrial and non-mitochondrial ROS production and activity. J. Physiol. 2007, 583, 9–24. [Google Scholar] [CrossRef]
- Lage, M.Á.P.; García, M.A.M.; Álvarez, J.A.V.; Anders, Y.; Curran, T.P. A new microplate procedure for simultaneous assessment of lipophilic and hydrophilic antioxidants and pro-oxidants, using crocin and β-carotene bleaching methods in a single combined assay: Tea extracts as a case study. Food Res. Int. 2013, 53, 836–846. [Google Scholar] [CrossRef]
- Khalil, N.M.; Pepato, M.T.; Brunetti, I.L. Free radical scavenging profile and myeloperoxidase inhibition of extracts from antidiabetic plants: Bauhinia forficata and Cissus sicyoides. Biol. Res. 2008, 41, 165–171. [Google Scholar] [CrossRef]
- Leopoldini, M.; Russo, N.; Toscano, M. The molecular basis of working mechanism of natural polyphenolic antioxidants. Food Chem. 2011, 125, 288–306. [Google Scholar] [CrossRef]
- Crascì, L.; Lauro, M.R.; Puglisi, G.; Panico, A. Natural antioxidant polyphenols on inflammation management: Anti-glycation activity vs metalloproteinases inhibition. Crit. Rev. Food Sci. Nutr. 2018, 58, 893–904. [Google Scholar] [CrossRef] [PubMed]
- Joyner, P.M. Protein adducts and protein oxidation as molecular mechanisms of flavonoid bioactivity. Molecules 2021, 26, 5102. [Google Scholar] [CrossRef]
- Anwar, S.; Khan, S.; Almatroudi, A.; Khan, A.A.; Alsahli, M.A.; Almatroodi, S.A.; Rahmani, A.H. A review on mechanism of inhibition of advanced glycation end products formation by plant derived polyphenolic compounds. Mol. Biol. Rep. 2021, 48, 787–805. [Google Scholar] [CrossRef] [PubMed]
- Wu, C.H.; Yen, G.C. Inhibitory effect of naturally occurring flavonoids on the formation of advanced glycation endproducts. J. Agric. Food Chem. 2005, 53, 3167–3173. [Google Scholar] [CrossRef]
- Yang, B.N.; Choi, E.H.; Shim, S.M. Inhibitory activities of kaempferol against methylglyoxal formation, intermediate of advanced glycation end products. Appl. Biol. Chem. 2017, 60, 57–62. [Google Scholar] [CrossRef]
- Oliveira, E.S.C.; Pontes, F.L.D.; Acho, L.D.R.; Rosário, A.S.D.; Da Silva, B.J.P.; Bezerra, J.D.A.; Campos, F.R.; Lima, E.S.; Machado, M.B. qNMR quantification of phenolic compounds in dry extract of Myrcia multiflora leaves and its antioxidant, anti-AGE, and enzymatic inhibition activities. J. Pharm. Biomed. Anal. 2021, 201, 114109. [Google Scholar] [CrossRef] [PubMed]
- Zhang, Q.; Huang, Z.; Wang, Y.; Wang, Y.; Fu, L.; Su, L. Chinese bayberry (Myrica rubra) phenolics mitigated protein glycoxidation and formation of advanced glycation end-products: A mechanistic investigation. Food Chem. 2021, 361, 130102. [Google Scholar] [CrossRef] [PubMed]
- Li, L.F.; Wang, M.D.; Zhang, C.Y.; Jin, M.Y.; Chen, H.L.; Luo, H.; Hou, T.Y.; Zhang, Z.J.; Li, H. Influence of hydroxyl substitution on the inhibition of flavonoids in advanced glycation end-products formation in glucose-lysine-arginine Maillard reaction models. Food Res. Int. 2025, 207, 116068. [Google Scholar] [CrossRef]
- Dias, D.T.M.; Palermo, K.R.; Motta, B.P.; Kaga, A.K.; Lima, T.F.O.; Brunetti, I.L.; Baviera, A.M. Rutin inhibits the in vitro formation of advanced glycation products and protein oxidation more efficiently than quercetin. Rev. Ciências Farm. Básica E Apl. 2021, 42, e718. [Google Scholar] [CrossRef]
- Islam, M.N.; Ishita, I.J.; Jung, H.A.; Choi, J.S. Vicenin 2 isolated from Artemisia capillaris exhibited potent anti-glycation properties. Food Chem. Toxicol. 2014, 69, 55–62. [Google Scholar] [CrossRef]
- Adisakwattana, S.; Sompong, W.; Meeprom, A.; Ngamukote, S.; Yibchok-Anun, S. Cinnamic acid and its derivatives inhibit fructose-mediated protein glycation. Int. J. Mol. Sci. 2012, 13, 1778–1789. [Google Scholar] [CrossRef]
- Qais, F.A.; Alam, M.M.; Naseem, I.; Ahmad, I. Understanding the mechanism of non-enzymatic glycation inhibition by cinnamic acid: An in vitro interaction and molecular modelling study. RSC Adv. 2016, 6, 65322–65337. [Google Scholar] [CrossRef]
- Qais, F.A.; Ahmad, I. Mechanism of non-enzymatic antiglycation action by coumarin: A biophysical study. New J. Chem. 2019, 43, 12823–12835. [Google Scholar] [CrossRef]
- Awasthi, S.; Saraswathi, N.T. Carbonyl scavenging and chemical chaperon like function of essential amino acids attenuates non-enzymatic glycation of albumin. RSC Adv. 2016, 6, 24557–24564. [Google Scholar] [CrossRef]
- Chilukuri, H.; Kulkarni, M.J.; Fernandes, M. Revisiting amino acids and peptides as anti-glycation agents. MedChemComm 2018, 9, 614–624. [Google Scholar] [CrossRef]
- Sulochana, K.N.; Indra, C.; Rajesh, M.; Srinivasan, V.; Ramakrishnan, S. Beneficial role of amino acids in mitigating cytoskeletal actin glycation and improving F-actin content: In vitro. Glycoconj. J. 2001, 18, 277–282. [Google Scholar] [CrossRef]
- Abdnim, R.; Lafdil, F.Z.; Elrherabi, A.; Fadili, M.E.; Kandsi, F.; Benayad, O.; Legssyer, A.; Ziyyat, A.; Mekhfi, H.; Bnouham, M. Fatty acids characterization by GC-MS, antiglycation effect at multiple stages and protection of erythrocytes cells from oxidative damage induced by glycation of albumin of Opuntia ficus-indica (L.) Mill seed oil cultivated in Eastern Morocco: Experimental and computational approaches. J. Ethnopharmacol. 2024, 329, 118106. [Google Scholar] [CrossRef]
- Hong, C.O.; Nam, M.H.; Oh, J.S.; Lee, J.W.; Kim, C.T.; Park, K.W.; Lee, D.H.; Lee, K.W. Pheophorbide a from Capsosiphon fulvescens inhibits advanced glycation end products mediated endothelial dysfunction. Planta Medica 2016, 82, 46–57. [Google Scholar] [CrossRef] [PubMed]
- Rao, A.R.; Veeresham, C.; Asres, K. In vitro and in vivo inhibitory activities of four Indian medicinal plant extracts and their major components on rat aldose reductase and generation of advanced glycation endproducts. Phytother. Res. 2013, 27, 753–760. [Google Scholar] [CrossRef] [PubMed]
- Utrera, M.; Estévez, M. Impact of trolox, quercetin, genistein and gallic acid on the oxidative damage to myofibrillar proteins: The carbonylation pathway. Food Chem. 2013, 141, 4000–4009. [Google Scholar] [CrossRef]
- Assis, R.P.; Castro, J.F.A.; Gutierres, V.O.; Arcaro, C.A.; Brotto, R.S.; Oliveira, O.M.M.F.; Baviera, A.M.; Brunetti, I.L. Effects of uremic solutes on reactive oxygen species in vitro model systems as a possibility of support the renal function management. BMC Nephrol. 2015, 16, 50. [Google Scholar] [CrossRef]
- Tubaro, F.; Ghiselli, A.; Rapuzzi, P.; Maiorino, M.; Ursini, F. Analysis of plasma antioxidant capacity by competition kinetics. Free. Radic. Biol. Med. 1998, 24, 1228–1234. [Google Scholar] [CrossRef]
- Kakkar, P.; Das, B.; Viswanathan, P.N. A modified spectrophotometric assay of superoxide dismutase. Indian J. Biochem. Biophys 1984, 21, 130–132. [Google Scholar] [PubMed]
- Hazra, B.; Biswas, S.; Mandal, N. Antioxidant and free radical scavenging activity of Spondias pinnata. BMC Complement. Altern. Med. 2008, 8, 63. [Google Scholar] [CrossRef]
- Dos Santos, C.H.C.; Talpo, T.C.; Motta, B.P.; Kaga, A.K.; Baviera, A.M.; Castro, R.N.; Da Silva, V.C.; De Sousa-Junior, P.T.; Wessjohann, L.; Carvalho, M.G.D. New compounds of Siolmatra brasiliensis and inhibition of in vitro protein glycation damage. Fitoterapia 2019, 133, 109–119. [Google Scholar] [CrossRef] [PubMed]
- Rodrigues, W.D.; Cardoso, F.N.; Baviera, A.M.; Dos Santos, A.G. In vitro antiglycation potential of erva-baleeira (Varronia curassavica Jacq.). Antioxidants 2023, 12, 522. [Google Scholar] [CrossRef] [PubMed]
- Séro, L.; Sanguinet, L.; Blanchard, P.; Dang, B.T.; Morel, S.; Richomme, P.; Séraphin, D.; Derbré, S. Tuning a 96-well microtiter plate fluorescence-based assay to identify AGE inhibitors in crude plant extracts. Molecules 2013, 18, 14320–14339. [Google Scholar] [CrossRef]
- Meeprom, A.; Sompong, W.; Chan, C.B.; Adisakwattana, S. Isoferulic acid, a new anti-glycation agent, inhibits fructose-and glucose-mediated protein glycation in vitro. Molecules 2013, 18, 6439–6454. [Google Scholar] [CrossRef]
- Jia, W.; Ma, R.; Zhang, R.; Fan, Z.; Shi, L. Synthetic-free compounds as the potential glycation inhibitors performed in in vitro chemical models: Molecular mechanisms and structure requirements. Trends Food Sci. Technol. 2022, 128, 147–159. [Google Scholar] [CrossRef]
- Levine, R.L. Carbonyl assay for determination of oxidatively modified proteins. Methods Enzymol. 1994, 233, 246–257. [Google Scholar] [CrossRef]
- Adusumilli, R.; Mallick, P. Data conversion with ProteoWizard msConvert. In Proteomics: Methods and Protocols; Comai, L., Katz, J., Mallick, P., Eds.; Humana Press: New York, NY, USA, 2017; pp. 339–368. [Google Scholar] [CrossRef]
- Schmid, R.; Heuckeroth, S.; Korf, A.; Smirnov, A.; Myers, O.; Dyrlund, T.S.; Bushuiev, R.; Murray, K.J.; Hoffmann, N.; Lu, M.; et al. Integrative analysis of multimodal mass spectrometry data in MZmine 3. Nat. Biotechnol. 2023, 41, 447–449. [Google Scholar] [CrossRef]
- Dührkop, K.; Fleischauer, M.; Ludwig, M.; Aksenov, A.A.; Melnik, A.V.; Meusel, M.; Dorrestein, P.C.; Rousu, J.; Böcker, S. SIRIUS 4: A rapid tool for turning tandem mass spectra into metabolite structure information. Nat. Methods 2019, 16, 299–302. [Google Scholar] [CrossRef]
- Dührkop, K.; Shen, H.; Meusel, M.; Rousu, J.; Böcker, S. Searching molecular structure databases with tandem mass spectra using CSI: FingerID. Proc. Natl. Acad. Sci. USA 2015, 112, 12580–12585. [Google Scholar] [CrossRef]
- Dührkop, K.; Nothias, L.F.; Fleischauer, M.; Reher, R.; Ludwig, M.; Hoffmann, M.A.; Petras, D.; Gerwick, W.H.; Rousu, J.; Dorrestein, P.C.; et al. Systematic classification of unknown metabolites using high-resolution fragmentation mass spectra. Nat. Biotechnol. 2021, 39, 462–471. [Google Scholar] [CrossRef] [PubMed]
- Feunang, Y.D.; Eisner, R.; Knox, C.; Chepelev, L.; Hastings, J.; Owen, G.; Fahy, E.; Steinbeck, C.; Subramanian, S.; Bolton, E.; et al. ClassyFire: Automated chemical classification with a comprehensive, computable taxonomy. J. Cheminform. 2016, 8, 61. [Google Scholar] [CrossRef]
- Kim, H.W.; Wang, M.; Leber, C.A.; Nothias, L.F.; Reher, R.; Kang, K.B.; Van Der Hooft, J.J.J.; Dorrestein, P.C.; Gerwick, W.H.; Cottrell, G.W. NPClassifier: A deep neural network-based structural classification tool for natural products. J. Nat. Prod. 2021, 84, 2795–2807. [Google Scholar] [CrossRef]
- Pilon, A.C.; Valli, M.; Dametto, A.C.; Pinto, M.E.F.; Freire, R.T.; Castro-Gamboa, I.; Andricopulo, A.D.; Bolzani, V.S. NuBBEDB: An updated database to uncover chemical and biological information from Brazilian biodiversity. Sci. Rep. 2017, 7, 7215. [Google Scholar] [CrossRef] [PubMed]
- Rutz, A.; Sorokina, M.; Galgonek, J.; Mietchen, D.; Willighagen, E.; Gaudry, A.; Graham, J.G.; Stephan, R.; Page, R.; Vondrášek, J.; et al. The LOTUS initiative for open knowledge management in natural products research. eLife 2022, 11, e70780. [Google Scholar] [CrossRef] [PubMed]






| Standards/Sample | O2•− (*) | ROO• (*) | Linear Regression Slope (**) |
|---|---|---|---|
| Quercetin | 25.93 ± 1.48 a | 1.11 ± 0.04 a | 24.796 ± 1.063 a |
| Trolox | 572.70 ± 99.95 b | 1.76 ± 0.12 a | 15.592 ± 1.294 b |
| CvExt | 346.08 ± 11.38 b | 29.98 ± 1.27 b | 0.972 ± 0.073 c |
| Compound (Class) | Ion Mode | HexFr | EtAcFr | ButFr |
|---|---|---|---|---|
| AMINO ACIDS | ||||
| L-phenylalanine (176) | POS | −0.48 | −0.47 | 0.74 |
| Val-Leu (227) | POS | −0.48 | −0.47 | 0.95 |
| Tryptophan (79) | NEG | −0.48 | 0.95 | 0.95 |
| (*) Amino acid-related (1346) | POS | 0.96 | 0.17 | 0.00 |
| ALKALOIDS | ||||
| 1H-pyrrolo[3,2-b]pyridine-5-carboxylic acid (241) | POS | −0.48 | −0.16 | 0.95 |
| (*) Alkaloid (258) | POS | −0.48 | 0.47 | 0.95 |
| FLAVONOIDS | ||||
| Corymboside (282) | POS | −0.48 | −0.05 | 0.95 |
| Isoshaftoside (305) | POS | −0.48 | −0.26 | 0.95 |
| Vicenin 2 (262) | POS | −0.48 | −0.47 | 0.95 |
| Kaempferol O-rhamnoside (430) | POS | −0.48 | 0.95 | 0.74 |
| Quercitrin (385) | POS | −0.47 | 0.95 | 0.95 |
| Rutin (335) | POS | −0.33 | 0.95 | 0.95 |
| Dihydrokaempferol (271) | NEG | 0.00 | 0.96 | 0.48 |
| Taxifolin (219) | NEG | 0.00 | 0.91 | 0.85 |
| CINNAMIC ACIDS | ||||
| 3-p-coumaroylquinic acid (287) | POS | −0.48 | 0.53 | 0.95 |
| p-coumaric acid (323) | POS | −0.48 | 0.58 | 0.95 |
| 2-({6-O-[(2E)-3-(4-Hydroxyphenyl)-2-propenoyl]-beta-D-glucopyranosyl}oxy)-3-phenylacrylic acid (277) | NEG | 0.00 | 0.96 | 0.96 |
| CHLOROPHYLL-LIKE | ||||
| 10S-Hydroxypheophorbide A (1697) | POS | 0.95 | 0.48 | 0.48 |
| (*) Pheophorbide A related (1666) | POS | 0.96 | 0.59 | 0.48 |
| FATTY COMPOUNDS | ||||
| 12-hydroxyjasmonic acid-related (730) | POS | 0.96 | 0.48 | 0.00 |
| 4-acetylbutyric-acid_1-octacosanol (1744) | POS | 0.47 | 0.47 | 0.84 |
| 9-HOTrE (696) | POS | 0.95 | 0.48 | 0.48 |
| Tetradecanoic acid (496) | POS | −0.47 | −0.47 | 0.95 |
| (*) Fatty amide (1328) | POS | 0.33 | 0.54 | 0.96 |
| 4-oxododecanedioic acid (252) | NEG | 0.44 | 0.96 | 0.96 |
| FA 18:2 + 3O (360) | NEG | 0.47 | 0.95 | 0.95 |
| (*) Unsaturated fatty acid (557) | POS | −0.47 | −0.47 | 0.95 |
| Oleic acid (1254) | POS | 0.95 | 0.47 | 0.95 |
| GLYCEROLIPIDS | ||||
| (*) 1-Monolinoleoyl-rac-glycerol-related (2051) | POS | 0.91 | 0.00 | 0.00 |
| 1-Oleoyl-sn-glycero-3-phosphoethanolamine related (734) | POS | 0.17 | 0.48 | 0.96 |
| Glc-Glc-octadecatrienoyl-sn-glycerol (441) | NEG | 0.48 | 0.96 | 0.96 |
| PI(18:1/0:0) (444) | NEG | 0.00 | 0.48 | 0.96 |
| (*) Endocannabinoid (1372) | POS | 0.96 | 0.48 | 0.00 |
| CAROTENOIDS | ||||
| (2R)-beta,beta-Caroten-2-ol (699) | POS | 0.87 | 0.29 | 0.00 |
| COUMARINS | ||||
| 6,7-Dihydroxycoumarin (139) | NEG | −0.48 | 0.95 | 0.95 |
| 7-(geranyloxy)coumarin (450) | NEG | 0.00 | 0.17 | 0.96 |
| TERPENES | ||||
| Kaji-ichigoside F1 (352) | NEG | 0.00 | 0.96 | 0.96 |
| Echinocystic acid (561) | NEG | 0.96 | 0.96 | 0.00 |
| Oleanolic acid (1323) | POS | 0.96 | 0.33 | 0.00 |
| TERPENES | ||||
| (*) Triterpenoid (1860) | POS | 0.96 | 0.64 | 0.48 |
| PHENOLIC ACIDS | ||||
| Gentisate (114) | NEG | −0.48 | 0.95 | 0.95 |
| Kinic acid (97) | NEG | −0.48 | 0.95 | 0.95 |
| Compound (Class) | Ion Mode | EtAcFr | ButFr | HEtFr |
|---|---|---|---|---|
| FLAVONOIDS | ||||
| Cyanidin-3-O-rutinoside (366) | POS | 0.85 | 0.48 | 0.85 |
| Kaempferol-O-rhamnoside (429) | POS | 0.96 | 0.64 | 0.96 |
| FLAVONOIDS | ||||
| Myricetin-3-Xyloside (344) | POS | 0.96 | 0.48 | 0.96 |
| Quercitrin (386) | POS | 0.96 | 0.48 | 0.96 |
| Dihydrokaempferol (271) | NEG | 0.48 | 0.96 | 0.85 |
| Myricetin-3-O-galactoside (164) | NEG | 0.48 | 0.48 | 0.85 |
| Apigenin-Hex-Hex (121) | NEG | 0.54 | 0.48 | 0.96 |
| Apigenin-Pen-Hex (148) | NEG | 0.48 | 0.48 | 0.96 |
| AMINO ACIDS | ||||
| L-arginine (55) | POS | 0.48 | 0.96 | 0.48 |
| L-histidine (52) | POS | 0.48 | 0.96 | 0.48 |
| L-phenylalanine (176) | POS | 0.96 | 0.70 | 0.96 |
| Val-Leu (227) | POS | 0.96 | 0.48 | 0.96 |
| Homoarginin (9) | NEG | 0.96 | 0.96 | 0.48 |
| Tryptophan (79) | NEG | 0.48 | 0.48 | 0.96 |
| Pantothenic acid-B5 (64) | NEG | 0.48 | 0.48 | 0.96 |
| ALKALOIDS | ||||
| 1H-pyrrolo[3,2-b]pyridine-5-carboxylic acid (241) | POS | 0.96 | 0.48 | 0.96 |
| (*) Alkaloid (258) | POS | 0.96 | 0.48 | 0.96 |
| CINNAMIC ACIDS | ||||
| 3-p-coumaroylquinic acid (287) | POS | 0.96 | 0.48 | 0.96 |
| Neochlorogenic acid (239) | POS | 0.96 | 0.59 | 0.96 |
| p-coumaric acid (124) | POS | 0.70 | 0.91 | 0.70 |
| 1-O-(4-Coumaroyl)-beta-D-glucose (104) | NEG | 0.48 | 0.48 | 0.96 |
| 2-({6-O-[(2E)-3-(4-Hydroxyphenyl)-2-propenoyl]-beta-D-glucopyranosyl}oxy)-3-phenylacrylic acid (277) | NEG | 0.48 | 0.48 | 0.85 |
| 3-Hydroxycinnamic acid (197) | NEG | 0.48 | 0.48 | 0.87 |
| Chlorogenic acid (133) | NEG | 0.48 | 0.48 | 0.96 |
| Coumaric acid (103) | NEG | 0.48 | 0.48 | 0.96 |
| Coumaroyl + C6H9O8 (90) | NEG | 0.96 | 0.96 | 0.48 |
| Coumaroyl + C6H9O8 (116) | NEG | 0.96 | 0.96 | 0.59 |
| CINNAMIC ACIDS | ||||
| Isochlorogenic acid B-related (94) | NEG | 0.48 | 0.48 | 0.96 |
| COUMARINS | ||||
| 6,7-Dihydroxycoumarin (139) | NEG | 0.48 | 0.48 | 0.96 |
| 7-(geranyloxy)coumarin (450) | NEG | 0.87 | 0.48 | 0.85 |
| PHENOLIC ACIDS | ||||
| Kinic acid (146) | NEG | 0.48 | 0.48 | 0.96 |
| Benzoic acid + 2O_O-Hex (63) | NEG | 0.96 | 0.96 | 0.48 |
| Gentisate (114) | NEG | 0.48 | 0.48 | 0.96 |
| TRITERPENES | ||||
| Kaji-ichigoside F1 (352) | NEG | 0.48 | 0.48 | 0.85 |
Disclaimer/Publisher’s Note: The statements, opinions and data contained in all publications are solely those of the individual author(s) and contributor(s) and not of MDPI and/or the editor(s). MDPI and/or the editor(s) disclaim responsibility for any injury to people or property resulting from any ideas, methods, instructions or products referred to in the content. |
© 2026 by the authors. Licensee MDPI, Basel, Switzerland. This article is an open access article distributed under the terms and conditions of the Creative Commons Attribution (CC BY) license.
Share and Cite
Cardoso, F.N.; dos Santos Nunes, E.V.; Figueiredo, I.D.; Rodrigues, W.D.; Assis, R.P.; dos Santos, A.G.; Sacramento, L.V.S.d.; Brunetti, I.L.; Pilon, A.C.; Baviera, A.M. Cissus verticillata Leaf Extract Decreases the Production of AGEs and ROS In Vitro. Molecules 2026, 31, 697. https://doi.org/10.3390/molecules31040697
Cardoso FN, dos Santos Nunes EV, Figueiredo ID, Rodrigues WD, Assis RP, dos Santos AG, Sacramento LVSd, Brunetti IL, Pilon AC, Baviera AM. Cissus verticillata Leaf Extract Decreases the Production of AGEs and ROS In Vitro. Molecules. 2026; 31(4):697. https://doi.org/10.3390/molecules31040697
Chicago/Turabian StyleCardoso, Felipe Nunes, Emanuel Victor dos Santos Nunes, Ingrid Delbone Figueiredo, Winner Duque Rodrigues, Renata Pires Assis, André Gonzaga dos Santos, Luis Vitor Silva do Sacramento, Iguatemy Lourenço Brunetti, Alan Cesar Pilon, and Amanda Martins Baviera. 2026. "Cissus verticillata Leaf Extract Decreases the Production of AGEs and ROS In Vitro" Molecules 31, no. 4: 697. https://doi.org/10.3390/molecules31040697
APA StyleCardoso, F. N., dos Santos Nunes, E. V., Figueiredo, I. D., Rodrigues, W. D., Assis, R. P., dos Santos, A. G., Sacramento, L. V. S. d., Brunetti, I. L., Pilon, A. C., & Baviera, A. M. (2026). Cissus verticillata Leaf Extract Decreases the Production of AGEs and ROS In Vitro. Molecules, 31(4), 697. https://doi.org/10.3390/molecules31040697

