Self-Thickening Materials Derived from Phenylpropanoid Ene Reactions
Abstract
1. Introduction
2. Results and Discussion
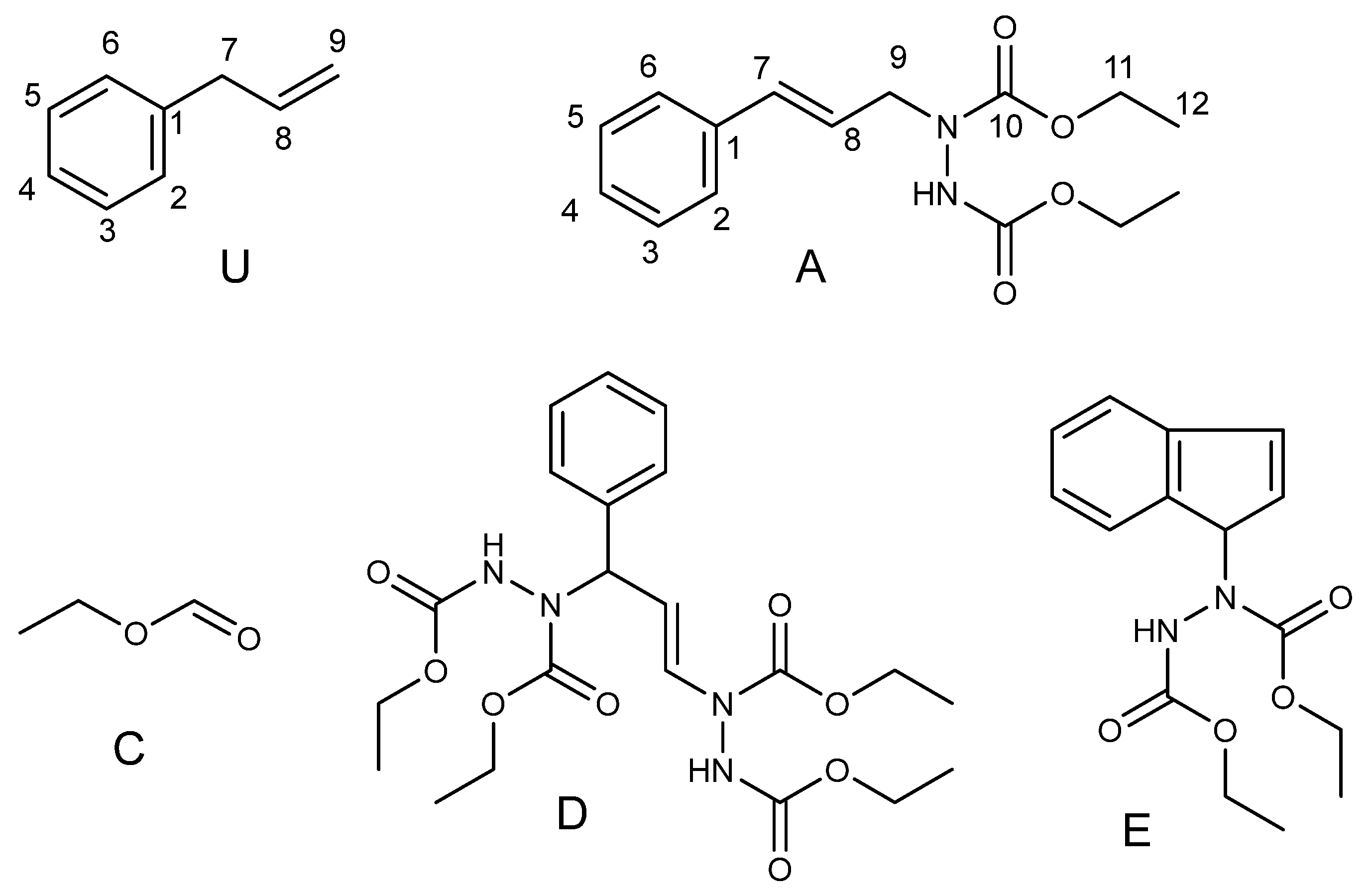
2.1. Allylbenzene Reaction and NMR Analysis
2.2. Methyl Eugenol and Eugenol Reactions and NMR Analysis
2.3. FTIR Analysis
2.4. Physical Observations and Viscosity
2.5. Comments
3. Materials and Methods
3.1. Materials
3.2. Preparative Procedures
3.3. Nuclear Magnetic Resonance Spectroscopy (NMR)
3.4. Fourier Transform Infrared Spectroscopy (FTIR)
3.5. Viscosity Measurements
3.6. Elemental Analyses
4. Conclusions
Supplementary Materials
Author Contributions
Funding
Institutional Review Board Statement
Informed Consent Statement
Data Availability Statement
Acknowledgments
Conflicts of Interest
References
- Liu, X.; Zheng, K.; Feng, X. Advancements in Catalytic Asymmetric Intermolecular Ene-Type Reactions. Synthesis 2014, 46, 2241–2257. [Google Scholar]
- Mikami, K.; Shimizu, M. Asymmetric ene reactions in organic synthesis. Chem. Rev. 1992, 92, 1021–1050. [Google Scholar] [CrossRef]
- Oppolzer, W.; Snieckus, V. Intramolecular Ene Reactions in Organic Synthesis. Angew. Chem. Int. Ed. Engl. 1978, 17, 476–486. [Google Scholar] [CrossRef]
- Nahm, S.H.; Cheng, H.N. Transition-state geometry and stereochemistry of the ene reaction between olefins and maleic anhydride. J. Org. Chem. 1986, 51, 5093–5100. [Google Scholar] [CrossRef]
- Biswas, A.; Sharma, B.K.; Willett, J.L.; Erhan, S.Z.; Cheng, H.N. Room-Temperature Self-Curing Ene Reactions Involving Soybean Oil. Green Chem. 2008, 10, 290–295. [Google Scholar] [CrossRef]
- Biswas, A.; Cheng, H.N.; Kim, S.; Liu, Z. Modified Triglyceride Oil through Reactions with Phenyltriazolinedione. J. Amer. Oil Chem. Soc. 2014, 91, 125–131. [Google Scholar] [CrossRef]
- Biswas, A.; Alves, C.R.; Trevisan, M.T.S.; Berfield, J.; Furtado, R.F.; Liu, Z.; Cheng, H.N. Derivatives of cardanol through ene reaction with diethyl azodicarboxylate. J. Braz. Chem. Soc. 2016, 27, 1078–1082. [Google Scholar] [CrossRef]
- Jensen, A.W.; Mohanty, D.K.; Dilling, W.L. The growing relevance of biological ene reactions. Bioorg. Med. Chem. 2019, 27, 686–691. [Google Scholar] [CrossRef] [PubMed]
- U.N. Department of Social Affairs. Sustainable Development—The 17 Goals. Available online: https://sdgs.un.org/goals (accessed on 9 September 2024).
- Cheng, H.N.; Gross, R.A. The Pursuit for Green Sustainable Chemistry in Polymer Research. ACS Symp. Ser. 2023, 1450, 1–14. Available online: https://pubs.acs.org/doi/pdf/10.1021/bk-2023-1450.ch001 (accessed on 9 September 2024).
- Cheng, H.N.; Gross, R.A. Sustainability and Green Polymer Chemistry—An Overview. ACS Symp. Ser. 2020, 1372, 1–11. Available online: https://pubs.acs.org/doi/pdf/10.1021/bk-2020-1372.ch001 (accessed on 9 September 2024).
- Liao, G.; Sun, E.; Kana, E.B.G.; Huang, H.; Sanusi, I.A.; Qu, P.; Jin, H.; Liu, J.; Shuai, L. Renewable hemicellulose-based materials for value-added applications. Carbohydr. Polym. 2024, 341, 122351. [Google Scholar] [CrossRef] [PubMed]
- Jia, R.; He, C.; Li, Q.; Liu, S.; Liao, G. Renewable plant-derived lignin for electrochemical energy systems. Trends Biotechnol. 2022, 40, 1425–1438. [Google Scholar] [CrossRef] [PubMed]
- Pubchem Database. Available online: https://pubchem.ncbi.nlm.nih.gov/compound/Allylbenzene (accessed on 16 February 2025).
- Vogt, T. Phenylpropanoid biosynthesis. Mol. Plant 2010, 3, 2–20. [Google Scholar] [CrossRef]
- Neelam, A.K.; Sharma, K.K. Phenylpropanoids and its derivatives: Biological activities and its role in food, pharmaceutical and cosmetic industries. Crit. Rev. Food Sci. Nutrit. 2020, 60, 2655–2675. [Google Scholar] [CrossRef] [PubMed]
- Ulanowska, M.; Olas, B. Biological Properties and Prospects for the Application of Eugenol—A Review. Int. J. Mol. Sci. 2021, 22, 3671. [Google Scholar] [CrossRef]
- Marchese, A.; Barbieri, R.; Coppo, E.; Orhan, I.E.; Daglia, M.; Nabavi, S.F.; Izadi, M.; Abdollahi, M.; Nabavi, S.M.; Ajami, M. Antimicrobial activity of eugenol and essential oils containing eugenol: A mechanistic viewpoint. Crit. Rev. Microbiol. 2017, 43, 668–689. [Google Scholar] [CrossRef] [PubMed]
- Abdou, A.; Elmakssoudi, A.; El Amrani, A.; JamalEddine, J.; Dakir, M. Recent advances in chemical reactivity and biological activities of eugenol derivatives. Med. Chem. Res. 2021, 30, 1011–1030. [Google Scholar] [CrossRef]
- Kfoury, M.; Auezova, L.; Ruellan, S.; Greige-Gerges, H.; Fourmentin, S. Complexation of estragole as pure compound and as main component of basil and tarragon essential oils with cyclodextrins. Carbohydr. Polym. 2015, 118, 156–164. [Google Scholar] [CrossRef] [PubMed]
- Smith, R.; Adams, T.B.; Doull, J.; Feron, V.J.; Goodman, J.I.; Marnett, L.J.; Portoghese, P.S.; Waddell, W.J.; Wagner, B.M.; Rogers, A.E.; et al. Safety assessment of allylalkoxybenzene derivatives used as flavouring substances—methyl eugenol and estragole. Food Chem. Toxicol. 2002, 40, 851–870. [Google Scholar] [CrossRef]
- Torghabeh, F.D.; Javadi, B.; Sahebkar, A. Dietary anethole: A systematic review of its protective effects against metabolic syndrome. J. Diabetes Metab. Disord. 2024, 23, 619–631. [Google Scholar] [CrossRef]
- Kubo, I.; Fujita, K.; Nihei, K. Antimicrobial activity of anethole and related compounds from aniseed. J. Sci. Food Agric. 2008, 88, 242–247. [Google Scholar] [CrossRef]
- Kemprai, P.; Mahanta, B.P.; Sut, D.; Barman, R.; Banik, D.; Lal, M.; Saikia, S.P.; Haldar, S. Review on safrole: Identity shift of the ‘candy shop’ aroma to a carcinogen and deforester. Flavor Pragrance J. 2020, 35, 5–23. [Google Scholar] [CrossRef]
- Pubchem Database. Available online: https://pubchem.ncbi.nlm.nih.gov/compound/1-Allyl-2_4-dimethoxybenzene (accessed on 16 February 2025).
- Jenner, G.; Salem, R.B.; El’yanov, B.; Gonikberg, E.M. Piezochemical Interpretation of (C.H.X) Hydrogen Transfer in Ene Reactions. J. Chem. Soc. Perkin Trans. 1989, 2, 1671–1675. [Google Scholar] [CrossRef]
- Banfi, D.; Patiny, L. www.nmrdb.org: Resurrecting and processing NMR spectra on-line. Chimia 2008, 62, 280–281. [Google Scholar] [CrossRef]
- Cheng, H.N.; Kasehagen, L.J. Integrated Approach for 13C NMR Shift Prediction, Spectral Simulation, and Library Search. Anal. Chim. Acta 1994, 285, 223–235. [Google Scholar] [CrossRef]
- Abo, T.; Sawaguchi, M.; Senboku, H.; Hara, S. Stereoselective Synthesis of 5–7 membered Cyclic Ethers by Deiodonative Ring-Enlargement Using Hypervalent Iodine Reagents. Molecules 2005, 10, 183–189. [Google Scholar] [CrossRef] [PubMed]
- Abraham, R.J.; Warne, M.A.; Griffiths, L. Proton chemical shifts in NMR. Part 12. 1 Steric, electric field and conformational effects in acyclic and cyclic ethers. J. Chem. Soc. Perkin Trans. 1998, 2, 1751–1757. [Google Scholar] [CrossRef]
- Shi, Q.; An, B.; Li, Y. Azodicarboxylate as a comonomer for radical polymerization to incorporate nitrogen-nitrogen single bonds into the polymer chain. J. Polym. Sci. 2024, 62, 1028–1033. [Google Scholar] [CrossRef]
- Schroeter, S.H. The Reaction of Phenols with Ethyl Azodicarboxylate. J. Org. Chem. 1969, 34, 4012–4015. [Google Scholar] [CrossRef]
- Sutariya, S.; Shah, A.A.; Bajpai, A.B.; Sharma, R.J.; Pandhurnekar, C.P.; Gupta, A. Fourier transform infrared spectroscopy (FTIR) analysis, antioxidant and anti-inflammatory activities of leaf and fruit extracts of Gymnosporia montana. Mater. Today Proc. 2023, 73, 134–141. [Google Scholar] [CrossRef]
- Yadav, R.K.; Yadav, B.; Yadav, R.A.; Kostova, I. Experimental IR, Raman, and UV-Vis Spectra DFT Structural and Conformational Studies: Bioactivity and Solvent Effect on Molecular Properties of Methyl-Eugenol. Molecules 2023, 28, 5409. [Google Scholar] [CrossRef]
- Kaufman, T. The Multiple Faces of Eugenol. A Versatile Starting Material and Building Block for Organic and Bio-Organic Synthesis and a Convenient Precursor Toward Bio-Based Fine Chemicals. J. Braz. Chem. Soc. 2015, 26, 1055–1086. [Google Scholar] [CrossRef]
- Morales-Cerrada, R.; Molina-Gutierrez, S.; Lacroix-Desmazes, P.; Caillol, S. Eugenol, a Promising Building Block for Biobased Polymers with Cutting-Edge Properties. Biomacromolecules 2021, 22, 3625–3648. [Google Scholar] [CrossRef] [PubMed]















| Sample Code | Alkene | Wt. of Alkene (mg) | Wt. of DEAD (mg) | Molar Ratio Alkane:DEAD |
|---|---|---|---|---|
| A-1 | AB | 100 | 160 | 1:1.09 |
| A-2 | AB | 100 | 320 | 1:2.17 |
| A-3 | AB | 100 | 360 | 1:2.44 |
| A-4 | AB | 100 | 440 | 1:2.98 |
| A-5 | AB | 100 | 480 | 1:3.25 |
| A-6 | AB | 100 | 640 | 1:4.34 |
| M-1 | ME | 100 | 112 | 1:1.15 |
| M-2 | ME | 100 | 225 | 1:2.30 |
| E-1 | eugenol | 100 | 106 | 1:1 |
| E-2 | eugenol | 100 | 212 | 1:2 |
| Peak No. | U | A | V | G | I | H (est’d) |
|---|---|---|---|---|---|---|
| 1 | 140.2 | 136.6 | 132.6 | 129.6 | 132.0 | 126.8 |
| 2 | 128.8 | 126.1 | 120.5 | 119.7 | 114.4 | 113.0 |
| 3 | 128.6 | 128.3 | 147.4 | 149.0 | 146.6 | 149.7 |
| 4 | 126.3 | 127.9 | 148.9 | 149.1 | 144.0 | 144.2 |
| 5 | 111.4 | 108.9 | 115.5 | 110.5 | ||
| 6 | 111.9 | 111.1 | 121.3 | 119.7 | ||
| 7 | 40.5 | 133.6 | 39.8 | 133.5 | 39.9 | 133.5 |
| 8 | 137.7 | 123.8 | 137.7 | 121.6 | 137.9 | 120.1 |
| 9 | 116.0 | 52.6 | 115.6 | 52.4 | 111.2 | 53 |
| 10 | 156.4 | 160.0 | 157.0 | |||
| 11 | 63.8 | 62.4 | 63.6 | |||
| 12 | 14.1 | 14.4 | 14.3 |
| Sample Code | Alkene | Alkene wt. Ratio | DEAD wt. Ratio | Alkene:DEAD Molar Ratio | Observation at Room Temperature |
|---|---|---|---|---|---|
| A-R1 | AB | 100 | 48 | 1:0.33 | Liquid |
| A-R2 | AB | 100 | 97 | 1:0.66 | Viscous liquid |
| A-R3 | AB | 100 | 147 | 1:1.00 | Sticky solid |
| A-R4 | AB | 100 | 196 | 1:1.33 | Hard sticky solid |
| M-R1 | ME | 100 | 48 | 1:0.49 | Viscous liquid |
| M-R2 | ME | 100 | 97 | 1:0.99 | Soft solid |
| M-R3 | ME | 100 | 147 | 1:1.50 | Hard sticky solid |
| M-R4 | ME | 100 | 196 | 1:2.01 | Hard solid |
| E-R1 | Eugenol | 100 | 48 | 1:0.45 | Viscous liquid |
| E-R2 | Eugenol | 100 | 97 | 1:0.92 | Sticky solid |
| E-R3 | Eugenol | 100 | 147 | 1:1.39 | Hard solid |
| Product wt. % | Toluene wt. % | Viscosity (mPa-s) | ||
|---|---|---|---|---|
| AB-DEAD | ME-DEAD | Eugenol/DEAD | ||
| 100 | 0 | (solid) | (solid) | (solid) |
| 75 | 25 | 1004.8 | 590.7 | 3702.3 |
| 50 | 50 | 35.0 | 15.8 | 31.0 |
| 25 | 75 | 1.1 | 1.1 | 1.4 |
| 10 | 90 | 0.6 | 0.5 | 1.3 |
Disclaimer/Publisher’s Note: The statements, opinions and data contained in all publications are solely those of the individual author(s) and contributor(s) and not of MDPI and/or the editor(s). MDPI and/or the editor(s) disclaim responsibility for any injury to people or property resulting from any ideas, methods, instructions or products referred to in the content. |
© 2025 by the authors. Licensee MDPI, Basel, Switzerland. This article is an open access article distributed under the terms and conditions of the Creative Commons Attribution (CC BY) license (https://creativecommons.org/licenses/by/4.0/).
Share and Cite
Biswas, A.; Cheng, H.N.; Chisholm, B.; Beni, R.; Liu, Z.; Vermillion, K.; Appell, M.; Forson, K.; El Seoud, O.; Alves, C.R.; et al. Self-Thickening Materials Derived from Phenylpropanoid Ene Reactions. Molecules 2025, 30, 977. https://doi.org/10.3390/molecules30050977
Biswas A, Cheng HN, Chisholm B, Beni R, Liu Z, Vermillion K, Appell M, Forson K, El Seoud O, Alves CR, et al. Self-Thickening Materials Derived from Phenylpropanoid Ene Reactions. Molecules. 2025; 30(5):977. https://doi.org/10.3390/molecules30050977
Chicago/Turabian StyleBiswas, Atanu, Huai N. Cheng, Bret Chisholm, Ryan Beni, Zengshe Liu, Karl Vermillion, Michael Appell, Kelton Forson, Omar El Seoud, Carlucio R. Alves, and et al. 2025. "Self-Thickening Materials Derived from Phenylpropanoid Ene Reactions" Molecules 30, no. 5: 977. https://doi.org/10.3390/molecules30050977
APA StyleBiswas, A., Cheng, H. N., Chisholm, B., Beni, R., Liu, Z., Vermillion, K., Appell, M., Forson, K., El Seoud, O., Alves, C. R., & Furtado, R. F. (2025). Self-Thickening Materials Derived from Phenylpropanoid Ene Reactions. Molecules, 30(5), 977. https://doi.org/10.3390/molecules30050977

