Flavonoids and Saponins from Two Chenopodium Species (C. foliosum Asch. and C. bonus-henricus L.)—Preliminary Evaluation for hMAO-A/B, Neuroprotective Activity, and Validated UHPLC-HRMS Quantification of Ethanolic Extract from C. foliosum
Abstract
1. Introduction
2. Results and Discussion
2.1. Effects of the Compounds 1–15 on Human Recombinant MAO-A/MAO-B Enzyme
2.2. Neuroprotective Effects of the Compounds 11–15 on Isolated Rat Brain Synaptosomes, Mitochondria, and Microsomes
2.2.1. Effects of the Compounds 11–15 on Isolated Rat Brain Synaptosomes
2.2.2. Effects of the Compounds 11–15 on Isolated Rat Brain Mitochondria
2.2.3. Effects of the Compounds 11–15 on Isolated Rat Brain Microsomes
2.3. Validation of a UHPLC-HRMS Method for Simultaneously Quantifying Flavonoids and Saponins Content in the Aerial Parts of C. foliosum Asch.
2.3.1. Method Validation
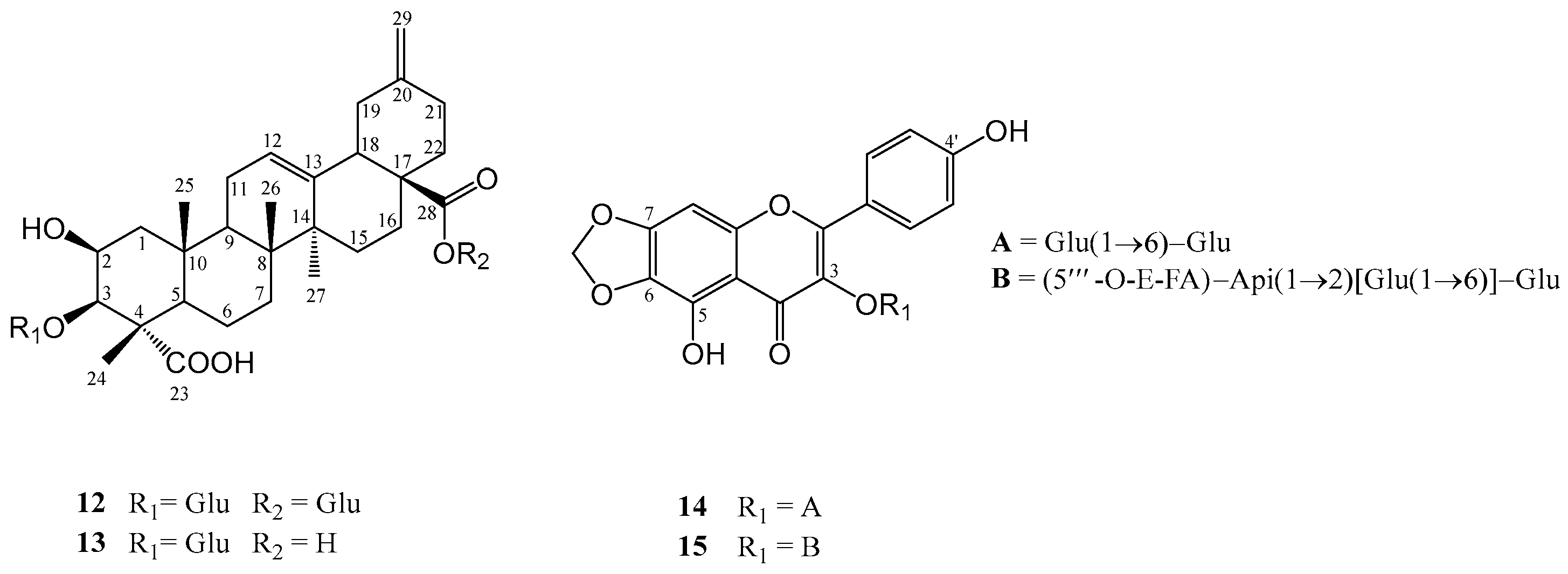
2.3.2. Detection, Identification, and Quantification of Flavonoids and Saponins in Chenopodium foliosum
3. Materials and Methods
3.1. Materials, Chemicals, and Reagents
3.2. Pharmacological Studies
3.2.1. Animals
3.2.2. Determination of Human Recombinant MAO-A/B Enzyme Activity
3.2.3. Preparation, Isolation, and Incubation of Rat Brain Synaptosomes and Mitochondria
3.2.4. In Vitro Dopamine Model of Neurotoxicity
3.2.5. MTT Assay to Assess Synaptosomal Viability
3.2.6. Determination of Reduced Glutathione (GSH) in Isolated Brain Synaptosomes
3.2.7. Tert-Butyl Hydroperoxide-Induced Oxidative Stress
3.2.8. Determination of Malondialdehyde (MDA) Production in Brain Mitochondria
3.2.9. Determination of GSH Level in Brain Mitochondria
3.2.10. Isolation of Brain Microsomes
3.2.11. Iron/Ascorbate-Induced Lipid Peroxidation (LPO)
3.2.12. Determination of MDA in Brain Microsomes
3.2.13. Statistical Methods
3.3. A UHPLC-HRMS Method for Identification and Simultaneous Quantification of Flavonoids and Saponins Present in the Aerial Parts of C. foliosum Asch.
3.3.1. Apparatus
3.3.2. Plant Material
3.3.3. Extraction and Sample Preparation
3.3.4. UHPLC Chromatographic Conditions
3.3.5. High-Resolution Electrospray Ionization Mass Spectrometry (HRESIMS) Conditions
3.3.6. Method Validation
4. Conclusions
Supplementary Materials
Author Contributions
Funding
Institutional Review Board Statement
Informed Consent Statement
Data Availability Statement
Conflicts of Interest
References
- Nedialkov, P.T.; Kokanova-Nedialkova, Z. Bioactive Compounds of Goosefoot (Genus Chenopodium). In Bioactive Compounds in Underutilized Vegetables and Legumes; Murthy, H.N., Paek, K.Y., Eds.; Springer International Publishing: Cham, Switzerland, 2021; pp. 97–119. ISBN 978-3-030-57415-4. [Google Scholar]
- Kokanova-Nedialkova, Z.; Nedialkov, P.; Kondeva-Burdina, M.; Simeonova, R.; Tzankova, V.; Aluani, D. Chenopodium Bonus-Henricus L.—A Source of Hepatoprotective Flavonoids. Fitoterapia 2017, 118, 13–20. [Google Scholar] [CrossRef] [PubMed]
- Kokanova-Nedialkova, Z.; Nedialkov, P.T.; Momekov, G. Saponins from the Roots of Chenopodium Bonus-Henricus L. Nat. Prod. Res. 2019, 33, 2024–2031. [Google Scholar] [CrossRef] [PubMed]
- Kokanova-Nedialkova, Z.; Kondeva-Burdina, M.; Nedialkov, P. Saponins from the Roots of Chenopodium Bonus-Henricus L. with Neuroprotective and Anti-α-Glucosidase Activities. Pharmacia 2021, 68, 387–392. [Google Scholar] [CrossRef]
- Kokanova-Nedialkova, Z.; Aluani, D.; Tzankova, V.; Nedialkov, P. Simultaneous Quantification of the Major Flavonoids from Wild Spinach by UHPLC-HRMS and Their Neuroprotective Effects in a Model of H2O2-Induced Oxidative Stress on SH-SY5Y Cells. Pharmacia 2021, 68, 657–664. [Google Scholar] [CrossRef]
- Kokanova-Nedialkova, Z.; Nedialkov, P. UHPLC-HRMS Based Saponin and Flavonoid Profiling of Chenopodium Bonus-Henricus L. Roots and Prolipase Activity of the Main Saponins. C. R. Acad. Bulg. Sci. 2022, 75, 982–991. [Google Scholar] [CrossRef]
- Strid, A.; Tan, K. Flora Hellenica; Koeltz Scientific Books: Königstein, Germany, 1997; Volume 1, ISBN 978-3-87429-390-7. [Google Scholar]
- Kokanova-Nedialkova, Z.; Bücherl, D.; Nikolov, S.; Heilmann, J.; Nedialkov, P.T. Flavonol Glycosides from Chenopodium Foliosum Asch. Phytochem. Lett. 2011, 4, 367–371. [Google Scholar] [CrossRef]
- Kokanova-Nedialkova, Z.; Kondeva-Burdina, M.; Zheleva-Dimitrova, D.; Bücherl, D.; Nikolov, S.; Heilmann, J.; Nedialkov, P.T. A New Acylated Flavonol Glycoside from Chenopodium Foliosum. Rec. Nat. Prod. 2014, 8, 401–406. [Google Scholar]
- Nedialkov, P.T.; Kokanova-Nedialkova, Z.; Bücherl, D.; Momekov, G.; Heilmann, J.; Nikolov, S. 30-Normedicagenic Acid Glycosides from Chenopodium Foliosum. Nat. Prod. Commun. 2012, 7, 1411–1422. [Google Scholar] [CrossRef]
- Duarte, P.; Cuadrado, A.; León, R. Monoamine Oxidase Inhibitors: From Classic to New Clinical Approaches. In Reactive Oxygen Species: Network Pharmacology and Therapeutic Applications; Schmidt, H.H.H.W., Ghezzi, P., Cuadrado, A., Eds.; Springer International Publishing: Cham, Switzerland, 2021; pp. 229–259. ISBN 978-3-030-68510-2. [Google Scholar]
- Tan, Y.-Y.; Jenner, P.; Chen, S.-D. Monoamine Oxidase-B Inhibitors for the Treatment of Parkinson’s Disease: Past, Present, and Future. J. Park. Dis. 2022, 12, 477–493. [Google Scholar] [CrossRef] [PubMed]
- Finberg, J.P.M.; Rabey, J.M. Inhibitors of MAO-A and MAO-B in Psychiatry and Neurology. Front. Pharmacol. 2016, 7, 340. [Google Scholar] [CrossRef] [PubMed]
- Carradori, S.; Secci, D.; Petzer, J.P. MAO Inhibitors and Their Wider Applications: A Patent Review. Expert Opin. Ther. Pat. 2018, 28, 211–226. [Google Scholar] [CrossRef]
- Dorsey, E.R.; Sherer, T.; Okun, M.S.; Bloem, B.R.; Brundin, P.; Langston, J.W.; Bloem, B.R. The Emerging Evidence of the Parkinson Pandemic. J. Park. Dis. 2018, 8, S3–S8. [Google Scholar] [CrossRef]
- Dorsey, E.R.; Bloem, B.R. The Parkinson Pandemic—A Call to Action. JAMA Neurol. 2018, 75, 9–10. [Google Scholar] [CrossRef] [PubMed]
- Hayes, M.T. Parkinson’s Disease and Parkinsonism. Am. J. Med. 2019, 132, 802–807. [Google Scholar] [CrossRef] [PubMed]
- Dickson, D.W. Neuropathology of Parkinson Disease. Park. Relat. Disord. 2018, 46, S30–S33. [Google Scholar] [CrossRef]
- Raza, C.; Anjum, R.; ul Ain Shakeel, N. Parkinson’s Disease: Mechanisms, Translational Models and Management Strategies. Life Sci. 2019, 226, 77–90. [Google Scholar] [CrossRef] [PubMed]
- Kalia, L.V.; Lang, A.E. Parkinson’s Disease. Lancet 2015, 386, 896–912. [Google Scholar] [CrossRef]
- Teleanu, D.M.; Niculescu, A.-G.; Lungu, I.I.; Radu, C.I.; Vladâcenco, O.; Roza, E.; Costăchescu, B.; Grumezescu, A.M.; Teleanu, R.I. An Overview of Oxidative Stress, Neuroinflammation, and Neurodegenerative Diseases. Int. J. Mol. Sci. 2022, 23, 5938. [Google Scholar] [CrossRef] [PubMed]
- Dexter, D.T.; Carter, C.J.; Wells, F.R.; Javoy-Agid, F.; Agid, Y.; Lees, A.; Jenner, P.; Marsden, C.D. Basal Lipid Peroxidation in Substantia Nigra Is Increased in Parkinson’s Disease. J. Neurochem. 1989, 52, 381–389. [Google Scholar] [CrossRef] [PubMed]
- Bautista-Aguilera, O.M.; Esteban, G.; Bolea, I.; Nikolic, K.; Agbaba, D.; Moraleda, I.; Iriepa, I.; Samadi, A.; Soriano, E.; Unzeta, M.; et al. Design, Synthesis, Pharmacological Evaluation, QSAR Analysis, Molecular Modeling and ADMET of Novel Donepezil–Indolyl Hybrids as Multipotent Cholinesterase/Monoamine Oxidase Inhibitors for the Potential Treatment of Alzheimer’s Disease. Eur. J. Med. Chem. 2014, 75, 82–95. [Google Scholar] [CrossRef]
- Stokes, A.H.; Freeman, W.M.; Mitchell, S.G.; Burnette, T.A.; Hellmann, G.M.; Vrana, K.E. Induction of GADD45 and GADD153 in Neuroblastoma Cells by Dopamine-Induced Toxicity. NeuroToxicology 2002, 23, 675–684. [Google Scholar] [CrossRef]
- Drahota, Z.; Kriváková, P.; Cervinková, Z.; Kmonícková, E.; Lotková, H.; Kucera, O.; Houstek, J. Tert-Butyl Hydroperoxide Selectively Inhibits Mitochondrial Respiratory-Chain Enzymes in Isolated Rat Hepatocytes. Physiol. Res. 2005, 54, 67–72. [Google Scholar] [CrossRef] [PubMed]
- Karlsson, J.; Emgard, M.; Brundin, P.; Burkitt, M.J. Trans-Resveratrol Protects Embryonic Mesencephalic Cells from Tert-Butyl Hydroperoxide. J. Neurochem. 2000, 75, 141–150. [Google Scholar] [CrossRef]
- Kondeva-Burdina, M.; Voynova, M.; Shkondrov, A.; Aluani, D.; Tzankova, V.; Krasteva, I. Effects of Amanita Muscaria Extract on Different in Vitro Neurotoxicity Models at Sub-Cellular and Cellular Levels. Food Chem. Toxicol. 2019, 132, 110687. [Google Scholar] [CrossRef]
- Kokanova-Nedialkova, Z.; Nedialkov, P. Validated UHPLC-HRMS Method for Simultaneous Quantification of Flavonoid Contents in the Aerial Parts of Chenopodium Bonus-Henricus L. (Wild Spinach). PHAR 2021, 68, 597–601. [Google Scholar] [CrossRef]
- ICH ICH Harmonised Guideline. Validation Of Analytical Procedures Q2(R2). 2023. Available online: https://database.ich.org/sites/default/files/ICH_Q2%28R2%29_Guideline_2023_1130.pdf (accessed on 16 February 2025).
- Kazusaki, M.; Ueda, S.; Takeuchi, N.; Ohgami, Y. Validation of Analytical Procedures by High−performance Liquid Chromatography for Pharmaceutical Analysis. Chromatography 2012, 33, 65–73. [Google Scholar] [CrossRef]
- Borman, P.; Elder, D. Q2(R1) Validation of Analytical Procedures. In ICH Quality Guidelines; Wiley: Hoboken, NJ, USA, 2017; pp. 127–166. ISBN 978-1-118-97114-7. [Google Scholar]
- Kokanova-Nedialkova, Z.; Nedialkov, P.T. UHPLC-HRMS Based Flavonoid Profiling of the Aerial Parts of Chenopodium Foliosum Asch. (Amaranthaceae). Nat. Prod. Res. 2021, 35, 3336–3340. [Google Scholar] [CrossRef] [PubMed]
- Taupin, P.; Zini, S.; Cesselin, F.; Ben-Ari, Y.; Roisin, M.-P. Subcellular Fractionation on Percoll Gradient of Mossy Fiber Synaptosomes: Morphological and Biochemical Characterization in Control and Degranulated Rat Hippocampus. J. Neurochem. 1994, 62, 1586–1595. [Google Scholar] [CrossRef] [PubMed]
- Mungarro-Menchaca, X.; Ferrera, P.; Morán, J.; Arias, C. β-Amyloid Peptide Induces Ultrastructural Changes in Synaptosomes and Potentiates Mitochondrial Dysfunction in the Presence of Ryanodine. J. Neurosci. Res. 2002, 68, 89–96. [Google Scholar] [CrossRef] [PubMed]
- Robyt, J.F.; Ackerman, R.J.; Chittenden, C.G. Reaction of Protein Disulfide Groups with Ellman’s Reagent: A Case Study of the Number of Sulfhydryl and Disulfide Groups in Aspergillus oryzae α-Amylase, Papain, and Lysozyme. Arch. Biochem. Biophys. 1971, 147, 262–269. [Google Scholar] [CrossRef] [PubMed]
- Shirani, M.; Alizadeh, S.; Mahdavinia, M.; Dehghani, M.A. The Ameliorative Effect of Quercetin on Bisphenol A-Induced Toxicity in Mitochondria Isolated from Rats. Environ. Sci. Pollut. Res. 2019, 26, 7688–7696. [Google Scholar] [CrossRef] [PubMed]
- Ravindranath, V.; Anandatheerthavarada, H.K. Preparation of Brain Microsomes with Cytochrome P450 Activity Using Calcium Aggregation Method. Anal. Biochem. 1990, 187, 310–313. [Google Scholar] [CrossRef] [PubMed]
- Mansuy, D.; Sassi, A.; Dansette, P.M.; Plat, M. A New Potent Inhibitor of Lipid Peroxidation in Vitro and in Vivo, the Hepatoprotective Drug Anisyldithiolthione. Biochem. Biophys. Res. Commun. 1986, 135, 1015–1021. [Google Scholar] [CrossRef] [PubMed]















| External Standard | Linear Range (ng/mL) | Regression Equation | R2 | LOD (ng/mL) | LOQ (ng/mL) |
|---|---|---|---|---|---|
| Hyperoside | 16.41–525.00 | Y = 83,212*X − 503,210 | 0.9993 | 0.28 | 0.86 |
| Saponin Chfs01 | 17.97–575.00 | Y = 31,732*X − 3951.1 | 0.9994 | 0.48 | 1.44 |
| External Standard | Added (ng/mL) | Found * (ng/mL) | Recovery * (%) | RSD (%) |
|---|---|---|---|---|
| Hyperoside | 50.2 | 49.43 ± 0.19 | 98.46 ± 0.37 | 0.38 |
| 100.4 | 99.46 ± 1.22 | 99.06 ± 1.21 | 1.22 | |
| 150.6 | 150.71 ± 1.00 | 100.07 ± 0.66 | 0.66 | |
| Saponin Chfs01 | 50.8 | 50.16 ± 0.39 | 98.73 ± 0.76 | 0.77 |
| 101.6 | 103.68 ± 0.61 | 102.05 ± 0.60 | 0.58 | |
| 152.4 | 154.97 ± 0.60 | 101.69 ± 0.39 | 0.38 |
| Precision Type | RT ± SD (min) | RSD (%) | Recovery ± SD (%) | RSD (%) |
|---|---|---|---|---|
| Hyperoside | ||||
| Intra-day | 7.78 ± 0.01 | 0.07 | 98.94 ± 0.49 | 0.50 |
| Inter-day | 7.78 ± 0.001 | 0.01 | 98.21 ± 0.17 | 0.18 |
| Saponin Chfs01 | ||||
| Intra-day | 19.71 ± 0.01 | 0.06 | 97.67 ± 0.62 | 0.64 |
| Inter-day | 19.71 ± 0.001 | 0.003 | 97.11 ± 0.42 | 0.44 |
| № | Compound | RT (min) | Quantifier Ion | Ion Mode | µg/g D.W. ± SD | Calc. 1 |
|---|---|---|---|---|---|---|
| 1f | 6-methoxykaempferol-Glu-Glu-Rham | 5.12 | 785.2167 | [M−H]− | 24.02 ± 0.91 | H |
| 2f | Patuletin-3-O-β-Glu(1→6)-β-Glu | 6.00 | 655.1530 | [M−H]− | 66.70 ± 0.50 | H |
| 3+4f | 6-methoxykaempferol-3-O-[β-Api (1→2)]-β-Glu (1→6)-β-Glu | 6.61 | 771.2004 | [M−H]− | 150.17 ± 2.00 | H |
| 5f | Spinacetin-3-O-[β-Api (1→2)]-β-Glu (1→6)-β-Glu | 7.18 | 801.2115 | [M−H]− | 36.54 ± 1.26 | H |
| 6f | 6-methoxykaempferol-3-O-β-Glu(1→6)-β-Glu | 8.31 | 639.1576 | [M−H]− | 326.65 ± 0.36 | H |
| 7f | Spinacetin-3-O-β-Glu (1→6)-β-Glu | 9.08 | 669.1828 | [M−H]− | in traces | H |
| 8f | Gomphrenol-3-O-α-L-Rham (1→2)[β-D-Glu(1→6)]-β-D-Glu | 9.18 | 783.2003 | [M−H]− | 345.09 ± 0.82 | H |
| 9f | FLB-Glu-Glu-Rham | 9.40 | 813.2116 | [M−H]− | 40.04 ± 0.32 | H |
| 10f | FLA-Glu-Glu | 9.55 | 653.1374 | [M−H]− | 16.66 ± 0.30 | H |
| 11f | Gomphrenol-Glu-Glu-Api | 10.29 | 769.1839 | [M−H]− | 722.80 ± 1.59 | H |
| 12f | FLB-Glu-Glu-Api | 10.73 | 799.1957 | [M−H]− | 91.55 ± 0.27 | H |
| 13f | Patuletin-3-O-(5‴-O-E-FA)-β-D-Api (1→2) [β-D-Glu (1→6)]-β-D-Glu | 11.44 | 963.2435 | [M−H]− | 40.82 ± 0.89 | H |
| 14f * | Gomphrenol-3-O-β-Glu(1→6)-β-Glu (Compound 14) | 11.95 | 637.1414 | [M−H]− | 574.16 ± 5.06 | H |
| 15f | FLB-Glu-Glu | 12.54 | 667.1531 | [M−H]− | 94.41 ± 0.14 | H |
| 16f | Spinacetin-3-O-(5‴-O-E-FA)-β-D-Api(1→2)[β-D-Glu (1→6)]-β-D-Glu | 12.67 | 977.2589 | [M−H]− | 74.83 ± 1.14 | H |
| 17f | 6-methoxykaempferol-3-O-(5‴-O-E-FA)-β-D-Api(1→2)[β-D-Glu (1→6)]-β-D-Glu | 13.08 | 947.2476 | [M−H]− | 305.41 ± 0.84 | H |
| 18f | FLA-Glu-Glu-Api-FA | 14.20 | 961.2275 | [M−H]− | 51.02 ± 0.16 | H |
| 19f | FLB-Glu-Glu-Api-FA | 15.65 | 975.2431 | [M−H]− | 127.45 ± 2.96 | H |
| 20f * | Gomphrenol-3-O-(5‴-O-E-FA)-β-D-Api(1→2)[β-D-Glu (1→6)]-β-D-Glu (Compound 15) | 15.98 | 945.2311 | [M−H]− | 909.03 ± 10.68 | H |
| 21f | 3-O-β-GluA-30-normedicagenic acid-28-O-β-Glu | 19.29 | 823.3766 | [M−H]− | 1408.06 ± 2.37 | Chfs01 |
| 22f | 30-normedicagenic acid-HexA-Hex-TA | 19.56 | 955.3828 | [M−H]− | 496.98 ± 1.13 | Chfs01 |
| 23f * | 3-O-β-Glu-30-normedicagenic acid-28-O-β-Glu (Compound 12) | 19.82 | 809.3972 | [M−H]− | 1735.11 ± 11.75 | Chfs01 |
| 24f | Medicagenic acid-HexA-Hex | 21.92 | 839.4079 | [M−H]− | 366.67 ± 1.56 | Chfs01 |
| 25f | Medicagenic acid-HexA-Hex-TA | 22.14 | 971.4143 | [M−H]− | 171.53 ± 2.84 | Chfs01 |
| 26f | Medicagenic acid-Hex-Hex | 22.39 | 825.4295 | [M−H]− | 105.46 ± 0.31 | Chfs01 |
| 27f | 30-normedicagenic acid-HexA | 25.74 | 661.3237 | [M−H]− | 396.61 ± 1.48 | Chfs01 |
| 28f * | 3-O-β-Glu-30-normedicagenic acid (Compound 13) | 26.00 | 647.3442 | [M−H]− | 551.17 ± 5.83 | Chfs01 |
Disclaimer/Publisher’s Note: The statements, opinions and data contained in all publications are solely those of the individual author(s) and contributor(s) and not of MDPI and/or the editor(s). MDPI and/or the editor(s) disclaim responsibility for any injury to people or property resulting from any ideas, methods, instructions or products referred to in the content. |
© 2025 by the authors. Licensee MDPI, Basel, Switzerland. This article is an open access article distributed under the terms and conditions of the Creative Commons Attribution (CC BY) license (https://creativecommons.org/licenses/by/4.0/).
Share and Cite
Kondeva-Burdina, M.; Panayotova, D.; Nedialkov, P.T.; Kokanova-Nedialkova, Z. Flavonoids and Saponins from Two Chenopodium Species (C. foliosum Asch. and C. bonus-henricus L.)—Preliminary Evaluation for hMAO-A/B, Neuroprotective Activity, and Validated UHPLC-HRMS Quantification of Ethanolic Extract from C. foliosum. Molecules 2025, 30, 1061. https://doi.org/10.3390/molecules30051061
Kondeva-Burdina M, Panayotova D, Nedialkov PT, Kokanova-Nedialkova Z. Flavonoids and Saponins from Two Chenopodium Species (C. foliosum Asch. and C. bonus-henricus L.)—Preliminary Evaluation for hMAO-A/B, Neuroprotective Activity, and Validated UHPLC-HRMS Quantification of Ethanolic Extract from C. foliosum. Molecules. 2025; 30(5):1061. https://doi.org/10.3390/molecules30051061
Chicago/Turabian StyleKondeva-Burdina, Magdalena, Dona Panayotova, Paraskev T. Nedialkov, and Zlatina Kokanova-Nedialkova. 2025. "Flavonoids and Saponins from Two Chenopodium Species (C. foliosum Asch. and C. bonus-henricus L.)—Preliminary Evaluation for hMAO-A/B, Neuroprotective Activity, and Validated UHPLC-HRMS Quantification of Ethanolic Extract from C. foliosum" Molecules 30, no. 5: 1061. https://doi.org/10.3390/molecules30051061
APA StyleKondeva-Burdina, M., Panayotova, D., Nedialkov, P. T., & Kokanova-Nedialkova, Z. (2025). Flavonoids and Saponins from Two Chenopodium Species (C. foliosum Asch. and C. bonus-henricus L.)—Preliminary Evaluation for hMAO-A/B, Neuroprotective Activity, and Validated UHPLC-HRMS Quantification of Ethanolic Extract from C. foliosum. Molecules, 30(5), 1061. https://doi.org/10.3390/molecules30051061

