From Anatase TiO2 Nano-Cuboids to Nano-Bipyramids: Influence of Particle Shape on the TiO2 Photocatalytic Degradation of Emerging Contaminants in Contrasted Water Matrices
Abstract
1. Introduction
2. Results and Discussion
2.1. Structural Analysis
2.2. UV–Visible DRS Spectra
2.3. Photoactivity of Anatase Nano-Cuboids and Nano-Bipyramids
2.3.1. Photodegradation of Phenol
2.3.2. Photodegradation of Methomyl
2.3.3. Photodegradation of Sodium Diclofenac
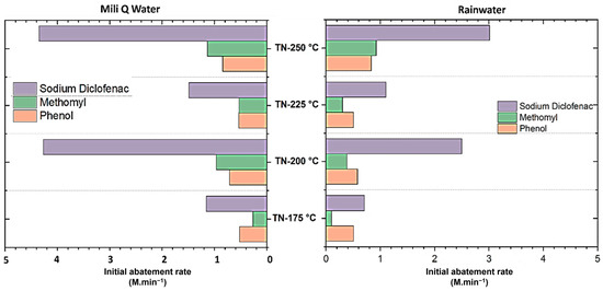
2.3.4. Comparative Analysis of the Photodegradation Efficiency
3. Materials and Methods
3.1. Materials
3.2. Synthesis of Titanium Dioxide Nano-Cuboids
3.3. Characterization
3.4. Photocatalytic Efficiency Assessment
4. Conclusions
Supplementary Materials
Author Contributions
Funding
Institutional Review Board Statement
Informed Consent Statement
Data Availability Statement
Conflicts of Interest
References
- Loeb, S.K.; Alvarez, P.J.; Brame, J.A.; Cates, E.L.; Choi, W.; Crittenden, J.; Dionysiou, D.D.; Li, Q.; Li-Puma, G.; Quan, X.; et al. The technology horizon for photocatalytic water treatment: Sunrise or sunset? Environ. Sci. Technol. 2018, 53, 2937–2947. [Google Scholar] [CrossRef]
- Shah, A.I.; Dar, M.U.D.; Bhat, R.A.; Singh, J.P.; Singh, K.; Bhat, S.A. Prospectives and challenges of wastewater treatment technologies to combat contaminants of emerging concerns. Ecol. Eng. 2020, 152, 105882. [Google Scholar] [CrossRef]
- Ahmed, S.F.; Mofijur, M.; Nuzhat, S.; Chowdhury, A.T.; Rafa, N.; Uddin, M.A.; Inayat, A.; Mahlia, T.M.I.; Ong, H.C.; Chia, W.Y.; et al. Recent developments in physical, biological, chemical, and hybrid treatment techniques for removing emerging contaminants from wastewater. J. Hazard. Mater. 2021, 416, 125912. [Google Scholar] [CrossRef] [PubMed]
- Christian, P.; Von der Kammer, F.; Baalousha, M.; Hofmann, T. Nanoparticles: Structure, properties, preparation and behaviour in environmental media. Ecotoxicology 2008, 17, 326–343. [Google Scholar] [CrossRef] [PubMed]
- Humayun, M.; Raziq, F.; Khan, A.; Luo, W. Modification strategies of TiO2 for potential applications in photocatalysis: A critical review. Green Chem. Lett. Rev. 2018, 11, 86–102. [Google Scholar] [CrossRef]
- He, D.; Lin, F. Preparation and photocatalytic activity of anatase TiO2 nanocrystallites with high thermal stability. Mater. Lett. 2007, 61, 3385–3387. [Google Scholar] [CrossRef]
- Tang, W.; Luo, L.; Chen, Y.; Li, J.; Dai, Y.; Xie, Y.; Zhang, Y. Noble-metal-free Bi-OZIS nanohybrids for sacrificial-agent-free photocatalytic water splitting: With long-lived photogenerated electrons. Sep. Purif. Technol. 2025, 357, 130047. [Google Scholar] [CrossRef]
- Pellegrino, F.; Isopescu, R.; Pellutiè, L.; Sordello, F.; Rossi, A.M.; Ortel, E.; Martra, G.; Hodoroaba, V.D.; Maurino, V. Machine learning approach for elucidating and predicting the role of synthesis parameters on the shape and size of TiO2 nanoparticles. Sci. Rep. 2020, 10, 18910. [Google Scholar] [CrossRef] [PubMed]
- Pellegrino, F.; Morra, E.; Mino, L.; Martra, G.; Chiesa, M.; Maurino, V. Surface and bulk distribution of fluorides and Ti3+ species in TiO2 nanosheets: Implications on charge carrier dynamics and photocatalysis. J. Phys. Chem. C 2020, 124, 3141–3149. [Google Scholar] [CrossRef]
- Bellardita, M.; Garlisi, C.; Ozer, L.Y.; Venezia, A.M.; Sá, J.; Mamedov, F.; Palmisano, L.; Palmisano, G. Highly stable defective TiO2-x with tuned exposed facets induced by fluorine: Impact of surface and bulk properties on selective UV/visible alcohol photo-oxidation. Appl. Surf. Sci. 2020, 510, 145419. [Google Scholar] [CrossRef]
- Dozzi, M.V.; Montalbano, M.; Marra, G.; Mino, L.; Selli, E. Effects of anatase TiO2 morphology and surface fluorination on environmentally relevant photocatalytic reduction and oxidation reactions. Mater. Today Chem. 2021, 22, 100624. [Google Scholar] [CrossRef]
- Gordon, T.R.; Cargnello, M.; Paik, T.; Mangolini, F.; Weber, R.T.; Fornasiero, P.; Murray, C.B. Nonaqueous synthesis of TiO2 nanocrystals using TiF4 to engineer morphology, oxygen vacancy concentration, and photocatalytic activity. J. Am. Chem. Soc. 2012, 134, 6751–6761. [Google Scholar] [CrossRef]
- Wu, S.M.; Schmuki, P. Direct and Indirect Effects of Fluorine on the Photocatalytic Performance of Titania-Based Photocatalysts. Energy Technol. 2023, 11, 2300052. [Google Scholar] [CrossRef]
- Sajan, C.P.; Wageh, S.; Al-Ghamdi, A.A.; Yu, J.; Cao, S. TiO2 nanosheets with exposed {001} facets for photocatalytic applications. Nano Res. 2016, 9, 3–27. [Google Scholar] [CrossRef]
- Yin, H.; Ding, G.; Gao, B.; Huang, F.; Xie, X.; Jiang, M. Synthesis of ultrafine titanium dioxide nanowires using hydrothermal method. Mater. Res. Bull. 2012, 47, 3124–3128. [Google Scholar] [CrossRef]
- Linsebigler, A.L.; Lu, G.; Yates, J.T., Jr. Photocatalysis on TiO2 surfaces: Principles, mechanisms, and selected results. Chem. Rev. 1995, 3, 735–758. [Google Scholar] [CrossRef]
- Katal, R.; Masudy-Panah, S.; Tanhaei, M.; Farahani, M.H.D.A.; Hu, J. A review on the synthesis of the various types of anatase TiO2 facets and their applications for photocatalysis. J. Chem. Eng. 2020, 384, 123384. [Google Scholar] [CrossRef]
- Hu, P.; Du, G.; Zhou, W.; Cui, J.; Lin, J.; Liu, H.; Liu, D.; Wang, J.; Chen, S. Enhancement of ethanol vapor sensing of TiO2 nanobelts by surface engineering. ACS Appl. Mater. Interfaces 2010, 2, 3263–3269. [Google Scholar] [CrossRef] [PubMed]
- Sun, K.C.; Qadir, M.B.; Jeong, S.H. Hydrothermal synthesis of TiO2 nanotubes and their application as an over-layer for dye-sensitized solar cells. RSC Adv. 2014, 4, 23223–23230. [Google Scholar] [CrossRef]
- Tachikawa, T.; Fujitsuka, M.; Majima, T. Mechanistic insight into the TiO2 photocatalytic reactions: Design of new photocatalysts. J. Phys. Chem. C 2007, 14, 5259–5275. [Google Scholar] [CrossRef]
- Gupta, T.; Cho, J.; Prakash, J. Hydrothermal synthesis of TiO2 nanorods: Formation chemistry, growth mechanism, and tailoring of surface properties for photocatalytic activities. Materials Today Chemistry 2021, 20, 100428. [Google Scholar] [CrossRef]
- Santhi, K.; Navaneethan, M.; Harish, S.; Ponnusamy, S.; Muthamizhchelvan, C. Synthesis and characterization of TiO2 nanorods by hydrothermal method with different pH conditions and their photocatalytic activity. Appl. Surf. Sci. 2020, 500, 144058. [Google Scholar] [CrossRef]
- Nian, J.N.; Teng, H. Hydrothermal synthesis of single-crystalline anatase TiO2 nanorods with nanotubes as the precursor. J. Phys. Chem. B 2006, 110, 4193–4198. [Google Scholar] [CrossRef]
- Maisano, M.; Dozzi, M.V.; Selli, E. Searching for facet-dependent photoactivity of shape-controlled anatase TiO2. J. Photochem. Photobiol. C Photochem. Rev. 2016, 28, 29–43. [Google Scholar] [CrossRef]
- Ding, D.; Zhou, B.; Feng, S.; Liu, L.; Feng, F.; Runa, A.; Su, P.; Wang, J.; Fu, W.; Yang, H. Controlled synthesis of nanotubes and nanowires decorated with TiO2 nanocuboids with exposed highly reactive (111) facets to produce enhanced photoelectrochemical properties. RSC Adv. 2016, 6, 91370–91376. [Google Scholar] [CrossRef]
- Zhang, C.; Cao, A.; Chen, L.; Lv, K.; Wu, T.; Deng, K. One-step topological preparation of carbon doped and coated TiO2 hollow nanocubes for synergistically enhanced visible photodegradation activity. RSC Adv. 2018, 8, 21431–21443. [Google Scholar] [CrossRef]
- Praveen, P.; Viruthagiri, G.; Mugundan, S.; Shanmugam, N. Structural, optical and morphological analyses of pristine titanium di-oxide nanoparticles–Synthesized via sol–gel route. Spectrochim. Acta Part A Mol. Biomol. Spectrosc. 2014, 117, 622–629. [Google Scholar] [CrossRef] [PubMed]
- Miao, Y.; Gao, J. Preparation of {0 1 0}-faceted anatase TiO2 nanocuboids from peroxotitanium complex solution. J. Solid State Chem. 2012, 196, 372–378. [Google Scholar] [CrossRef]
- Martínez, C.; Fernández, M.I.; Santaballa, J.A.; Faria, J. Aqueous degradation of diclofenac by heterogeneous photocatalysis using nanostructured materials. Appl. Catal. B 2011, 107, 110–118. [Google Scholar] [CrossRef]
- Boreen, A.L.; Arnold, W.A.; McNeill, K. Photodegradation of pharmaceuticals in the aquatic environment: A review. Aquat. Sci. 2003, 65, 320–341. [Google Scholar] [CrossRef]
- Lin, Z.; Zhang, W.; Pang, S.; Huang, Y.; Mishra, S.; Bhatt, P.; Chen, S. Current approaches to and future perspectives on methomyl degradation in contaminated soil/water environments. Molecules 2020, 25, 738. [Google Scholar] [CrossRef]
- Van Scoy, A.R.; Yue, M.; Deng, X.; Tjeerdema, R.S. Environmental fate and toxicology of methomyl. In Reviews of Environmental Contamination and Toxicology; Springer: New York, NY, USA, 2013; pp. 93–109. [Google Scholar]
- Ahmed, S.; Rasul, M.G.; Martens, W.N.; Brown, R.; Hashib, M.A. Heterogeneous photocatalytic degradation of phenols in wastewater: A review on current status and developments. Desalination 2010, 261, 3–18. [Google Scholar] [CrossRef]
- Pantaleone, S.; Pellegrino, F.; Maurino, V.; Corno, M.; Ugliengo, P.; Mino, L. Disclosing the true atomic structure of {001} facets in shape-engineered TiO2 anatase nanoparticles. J. Mater. Chem. A 2024, 12, 4325–4332. [Google Scholar] [CrossRef]
- Hu, T.; Sun, X.; Sun, H.; Xin, G.; Shao, D.; Liu, C.; Lian, J. Rapid synthesis of nitrogen-doped graphene for a lithium ion battery anode with excellent rate performance and super-long cyclic stability. J. Chem. Phys. 2014, 16, 1060–1066. [Google Scholar] [CrossRef] [PubMed]
- Dong, Y.; Pang, H.; Yang, H.B.; Guo, C.; Shao, J.; Chi, Y.; Li, C.M.; Yu, T. Carbon-based dots co-doped with nitrogen and sulfur for high quantum yield and excitation-independent emission. Angew. Chem 2013, 52, 30. [Google Scholar] [CrossRef] [PubMed]
- Warkhade, S.K.; Gaikwad, G.S.; Zodape, S.P.; Pratap, U.; Maldhure, A.V.; Wankhade, A.V. Low temperature synthesis of pure anatase carbon doped titanium dioxide: An efficient visible light active photocatalyst. Mater. Sci. Semicond. Process 2017, 63, 18–24. [Google Scholar] [CrossRef]
- Ren, W.; Ai, Z.; Jia, F.; Zhang, L.; Fan, X.; Zou, Z. Low temperature preparation and visible light photocatalytic activity of mesoporous carbon-doped crystalline TiO2. Appl. Catal. 2007, 69, 138–144. [Google Scholar] [CrossRef]
- Qian, R.; Zong, H.; Schneider, J.; Zhou, G.; Zhao, T.; Li, Y.; Yang, J.; Bahnemann, D.W.; Pan, J.H. Charge carrier trapping, recombination and transfer during TiO2 photocatalysis: An overview. Catal. Today 2019, 335, 78–90. [Google Scholar] [CrossRef]
- Dang, T.T.T.; Le, S.T.T.; Channei, D.; Khanitchaidecha, W.; Nakaruk, A. Photodegradation mechanisms of phenol in the photocatalytic process. Res. Chem. Intermed. 2016, 42, 5961–5974. [Google Scholar] [CrossRef]
- Lettieri, S.; Pavone, M.; Fioravanti, A.; Santamaria Amato, L.; Maddalena, P. Charge carrier processes and optical properties in TiO2 and TiO2-based heterojunction photocatalysts: A review. J. Mater. 2021, 14, 1645. [Google Scholar] [CrossRef]
- Juang, R.S.; Chen, C.H. Comparative study on photocatalytic degradation of methomyl and parathion over UV-irradiated TiO2 particles in aqueous solutions. J. Taiwan Inst. Chem. Eng. 2014, 45, 989–995. [Google Scholar] [CrossRef]
- Tomašević, A.; Mijin, D.; Gašic, S.; Kiss, E. The influence of polychromatic light on methomyl degradation in TiO2 and ZnO aqueous suspension. Desalination Water Treat. 2014, 52, 4342–4349. [Google Scholar] [CrossRef]
- Tony, M.A.; Mansour, S.A. Synthesis of nanosized amorphous and nanocrystalline TiO2 for photochemical oxidation of methomyl insecticide in aqueous media. Water Environ. J. 2020, 34, 239–249. [Google Scholar] [CrossRef]
- Bi, L.; Chen, Z.; Li, L.; Kang, J.; Zhao, S.; Wang, B.; Yan, P.; Li, Y.; Zhang, X.; Shen, J. Selective adsorption and enhanced photodegradation of diclofenac in water by molecularly imprinted TiO2. J. Hazard. Mater. 2021, 407, 124759. [Google Scholar] [CrossRef]
- Moctezuma, E.; Leyva, E.; Lara-Pérez, C.; Noriega, S.; Martínez-Richa, A. TiO2 photocatalytic degradation of diclofenac: Intermediates and total reaction mechanism. Top. Catal. 2020, 63, 601–615. [Google Scholar] [CrossRef]
- Di Credico, B.; Bellobono, I.R.; D’Arienzo, M.; Fumagalli, D.; Redaelli, M.; Scotti, R.; Morazzoni, F. Efficacy of the reactive oxygen species generated by immobilized TiO2 in the photocatalytic degradation of diclofenac. Int. J. Photoenergy 2015, 1, 919217. [Google Scholar]
- Tomašević, A.; Mijin, D.; Kiss, E. Photochemical behavior of the insecticide methomyl under different conditions. Sep. Sci. Technol. 2010, 45, 1617–1627. [Google Scholar] [CrossRef]
- D’Arienzo, M.; Scotti, R.; Di Credico, B.; Redaelli, M. Synthesis and characterization of morphology-controlled TiO2 nanocrystals: Opportunities and challenges for their application in photocatalytic materials. Surf. Sci. 2017, 177, 477–540. [Google Scholar]
- D’Arienzo, M.; Carbajo, J.; Bahamonde, A.; Crippa, M.; Polizzi, S.; Scotti, R.; Wahba, L.; Morazzoni, F. Photogenerated defects in shape-controlled TiO2 anatase nanocrystals: A probe to evaluate the role of crystal facets in photocatalytic processes. JACS 2011, 133, 17652–17661. [Google Scholar] [CrossRef]
- Pellegrino, F.; Sordello, F.; Minella, M.; Minero, C.; Maurino, V. The role of surface texture on the photocatalytic H2 production on TiO2. Catalysts 2019, 9, 32. [Google Scholar] [CrossRef]
- Zhang, N.; Liu, G.; Liu, H.; Wang, Y.; He, Z.; Wang, G. Diclofenac photodegradation under simulated sunlight: Effect of different forms of nitrogen and kinetics. J. Hazard. Mater 2011, 19, 2411–2418. [Google Scholar] [CrossRef]
- Tomašević, A.; Kiss, E.; Petrović, S.; Mijin, D. Study on the photocatalytic degradation of insecticide methomyl in water. Desalination 2010, 262, 228–234. [Google Scholar] [CrossRef]
- Lin, S.H.; Chiou, C.H.; Chang, C.K.; Juang, R.S. Photocatalytic degradation of phenol on different phases of TiO2 particles in aqueous suspensions under UV irradiation. J. Environ. Manag. 2011, 92, 3098–3104. [Google Scholar] [CrossRef]
- Araña, J.; Doña-Rodríguez, J.M.; Portillo-Carrizo, D.; Fernández-Rodríguez, C.; Pérez-Peña, J.; Díaz, O.G.; Macías, M. Photocatalytic degradation of phenolic compounds with new TiO2 catalysts. Appl. Catal. B Environ. 2010, 100, 346–354. [Google Scholar] [CrossRef]









Disclaimer/Publisher’s Note: The statements, opinions and data contained in all publications are solely those of the individual author(s) and contributor(s) and not of MDPI and/or the editor(s). MDPI and/or the editor(s) disclaim responsibility for any injury to people or property resulting from any ideas, methods, instructions or products referred to in the content. |
© 2025 by the authors. Licensee MDPI, Basel, Switzerland. This article is an open access article distributed under the terms and conditions of the Creative Commons Attribution (CC BY) license (https://creativecommons.org/licenses/by/4.0/).
Share and Cite
Asghar, H.; Hermosilla, D.; Pellegrino, F.; Muelas-Ramos, V.; de los Ríos, C.; Gascó, A.; Maurino, V.; Iqbal, M.A. From Anatase TiO2 Nano-Cuboids to Nano-Bipyramids: Influence of Particle Shape on the TiO2 Photocatalytic Degradation of Emerging Contaminants in Contrasted Water Matrices. Molecules 2025, 30, 424. https://doi.org/10.3390/molecules30020424
Asghar H, Hermosilla D, Pellegrino F, Muelas-Ramos V, de los Ríos C, Gascó A, Maurino V, Iqbal MA. From Anatase TiO2 Nano-Cuboids to Nano-Bipyramids: Influence of Particle Shape on the TiO2 Photocatalytic Degradation of Emerging Contaminants in Contrasted Water Matrices. Molecules. 2025; 30(2):424. https://doi.org/10.3390/molecules30020424
Chicago/Turabian StyleAsghar, Humaira, Daphne Hermosilla, Francesco Pellegrino, Virginia Muelas-Ramos, Christian de los Ríos, Antonio Gascó, Valter Maurino, and Muhammad Ahsan Iqbal. 2025. "From Anatase TiO2 Nano-Cuboids to Nano-Bipyramids: Influence of Particle Shape on the TiO2 Photocatalytic Degradation of Emerging Contaminants in Contrasted Water Matrices" Molecules 30, no. 2: 424. https://doi.org/10.3390/molecules30020424
APA StyleAsghar, H., Hermosilla, D., Pellegrino, F., Muelas-Ramos, V., de los Ríos, C., Gascó, A., Maurino, V., & Iqbal, M. A. (2025). From Anatase TiO2 Nano-Cuboids to Nano-Bipyramids: Influence of Particle Shape on the TiO2 Photocatalytic Degradation of Emerging Contaminants in Contrasted Water Matrices. Molecules, 30(2), 424. https://doi.org/10.3390/molecules30020424

