Corrosion of Low-Alloy Steel in Ethanolamine Steam Generator Chemistry—The Effect of Temperature and Flow Rate
Abstract
1. Introduction
2. Results
2.1. Quantum Mechanical Calculations of Ethanolamine Structure
2.2. Evolution of Water Chemistry Parameters in Transition and Turbulent Regimes
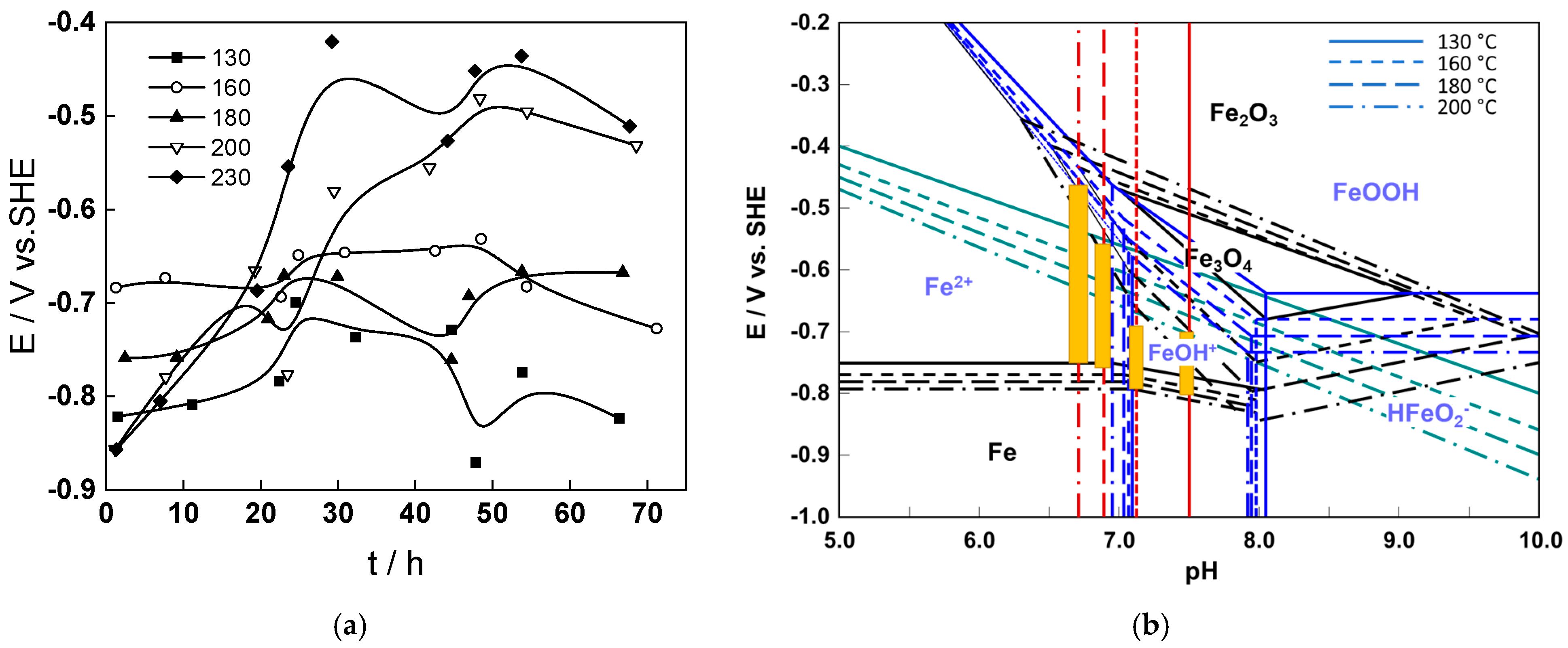
2.3. Electrochemical Measurements
2.4. Oxide Thickness and Composition
3. Discussion
3.1. The Kinetic Model
3.2. Parameterization
4. Materials and Methods
- (1)
- The loop is filled with electrolyte.
- (2)
- The flow-through cell is heated up to 80 °C, compressed to 90 bars, and purged with N2 (99.999%) for 16 h to reach a dissolved oxygen concentration <10 µg kg−1. Purging of the feedwater in the reservoir with N2 continued for all the experiment duration (typically 72 h).
- (3)
- After reaching this value, the temperature is increased to reach the highest measurement temperature (230 °C) for ca. 2 h.
- (4)
- The inlet flow rate in the cell was 2 dm3 h−1 during the first 24 h, 10 dm3 h−1 from 24–48 h and again 2 dm3 h−1 from 48 to 72 h.
5. Conclusions
Author Contributions
Funding
Institutional Review Board Statement
Informed Consent Statement
Data Availability Statement
Conflicts of Interest
References
- Rayer, A.V.; Sumon, K.Z.; Jaffari, L.; Henni, A. Dissociation Constants (pKa) of Tertiary and Cyclic Amines: Structural and Temperature Dependences. J. Chem. Eng. Data 2014, 59, 3805–3813. [Google Scholar] [CrossRef]
- Ma’mun, S.; Kamariah, S.; Kurniawan, D.; Amelia, E.; Rahmat, V.; Alwani, D.R.; Iskandar, I.; Ismadji, S.; Agustina, T.E.; Yani, I.; et al. Experimental determination of monoethanolamine protonation constant and its temperature dependency. MATEC Web Conf. 2017, 101, 02001. [Google Scholar] [CrossRef]
- Rose, A.N.; Hettiarachchi, E.; Grassian, V.H. Monoethanolamine adsorption on oxide surfaces. J. Colloid Interface Sci. 2022, 614, 75–83. [Google Scholar] [CrossRef] [PubMed]
- Kim, S.; Kim, G.; Song, S.-W.; Kim, J.H. Effects of Cr and Mo contents on the flow-accelerated corrosion behavior of low alloy steels in the secondary side of pressurized water reactors. J. Nucl. Mater. 2023, 585, 154652. [Google Scholar] [CrossRef]
- Vidojkovic, S.; Mijajlovic, M.; Lindeboom, R.; Jovicic, V. Thermal stability of film forming amines-based corrosion inhibitors in high temperature power plant water solutions. Energy Sci Eng. 2024, 12, 304–328. [Google Scholar] [CrossRef]
- Ji, Y.; Hao, L.; Wang, J.; Li, Q.; Zheng, Y.; Yu, P.; Ke, W. Research Progress on Compatibility Between Alkalizing Agents and Materials in PWR Secondary Circuit. J. Chin. Soc. Corros. Prot. 2024, 44, 267–277. [Google Scholar]
- Lee, Y.-B.; Lee, J.-M.; Hur, D.-H.; Lee, J.-H.; Jeon, S.-H. Effects of Advanced Amines on Magnetite Deposition of Steam Generator Tubes in Secondary System. Coatings 2021, 11, 514. [Google Scholar] [CrossRef]
- Veltman, K.; Singh, B.; Hertwich, E.G. Human and Environmental Impact Assessment of Post combustion CO2 Capture Focusing on Emissions from Amine-Based Scrubbing Solvents to Air. Environ. Sci. Technol. 2010, 44, 1496–1502. [Google Scholar] [CrossRef]
- McCann, N.; Phan, D.; Wang, X.; Conway, W.; Burns, R.; Attalla, M.; Puxty, G.; Maeder, M. Kinetics and mechanism of carbamate formation from CO2(aq), carbonate species, and monoethanolamine in aqueous solution. J. Phys. Chem. 2009, 113, 5022–5029. [Google Scholar] [CrossRef] [PubMed]
- da Silva, E.F.; Lepaumier, H.; Grimstvedt, A.; Vevelstad, S.J.; Einbu, A.; Vernstad, K.; Svendsen, H.F.; Zahlsen, K. Understanding 2-Ethanolamine Degradation in Post combustion CO2 Capture. Ind. Eng. Chem. Res. 2012, 51, 13329–13338. [Google Scholar] [CrossRef]
- Sun, C.; Dutta, P.K. Infrared Spectroscopic Study of Reaction of Carbon Dioxide with Aqueous Monoethanolamine Solutions. Ind. Eng. Chem. Res. 2016, 55, 6276–6283. [Google Scholar] [CrossRef]
- Luis, P. Use of monoethanolamine (MEA) for CO2 capture in a global scenario: Consequences and alternatives. Desalination 2016, 380, 93–99. [Google Scholar] [CrossRef]
- Ma, C.; Pietrucci, F.; Andreoni, W. Capturing CO2 in Monoethanolamine (MEA) Aqueous Solutions: Fingerprints of Carbamate Formation Assessed with First-Principles Simulations. J. Phys. Chem. Lett. 2014, 5, 1672–1677. [Google Scholar] [CrossRef] [PubMed]
- Mores, P.; Scenna, N.; Mussati, S. CO2 capture using monoethanolamine (MEA) aqueous solution: Modeling and optimization of the solvent regeneration and CO2 desorption process. Energy 2012, 45, 1042–1058. [Google Scholar] [CrossRef]
- Buvik, V.; Vevelstad, S.J.; Brakstad, O.G.; Knuutila, H.K. Stability of Structurally Varied Aqueous Amines for CO2 Capture. Ind. Eng. Chem. Res. 2021, 60, 5627–5638. [Google Scholar] [CrossRef]
- Buvik, V.; Vevelstad, S.J.; Moser, P.; Wiechers, G.; Wanderley, R.R.; Moretz-Sohn Monteiro, J.G.; Knuutila, H.K. Degradation behaviour of fresh and pre-used ethanolamine. Carbon Capture Sci. Technol. 2023, 7, 100110. [Google Scholar] [CrossRef]
- Gupta, S.; Kumar Gupta, K.; Andersson, M.; Yazdi, R.; Ambat, R. Electrochemical and molecular modelling studies of CO2 corrosion inhibition characteristics of alkanolamine molecules for the protection of 1Cr steel. Corros. Sci. 2022, 195, 109999. [Google Scholar] [CrossRef]
- Poulson, B. Predicting and Preventing Flow Accelerated Corrosion in Nuclear Power Plant. Int. J. Nucl. Energy 2014, 2014, 423295. [Google Scholar] [CrossRef]
- Dooley, R.B. Flow-Accelerated Corrosion in Fossil and Combined Cycle/HRSG Plants. Power Plant Chem. 2008, 10, 68–89. [Google Scholar]
- Trevin, S. Flow accelerated corrosion (FAC) in nuclear power plant components. In Nuclear Corrosion Science and Engineering; Feron, D., Ed.; Woodhead Publishing Limited: Sawston, UK, 2012; pp. 186–229. [Google Scholar]
- Tomarov, G.V.; Shipkov, A.A. Flow-Accelerated Corrosion Wear of Power-Generating Equipment: Investigations, Prediction, and Prevention. Therm. Eng. 2018, 65, 493–503. [Google Scholar] [CrossRef]
- Dooley, R.B.; Lister, D. Flow-Accelerated Corrosion in Steam-Generating Plants. Power Plant Chem. 2018, 20, 194–244. [Google Scholar]
- Gipon, E.; Trevin, S. Flow-accelerated corrosion in nuclear power plants. In Nuclear Corrosion—Research. Progress and Challenges; European Federation of Corrosion (EFC) Series; Elsevier: Amsterdam, The Netherlands, 2020; pp. 213–250. [Google Scholar]
- Moed, D.H.; Weerakul, S.; Lister, D.H.; Leaukosol, N.; Rietveld, L.C.; Verliefde, A.R.D. Effect of Ethanolamine, Ammonia, Acetic Acid, and Formic Acid on Two-Phase Flow Accelerated Corrosion in Steam–Water Cycles. Ind. Eng. Chem. Res. 2015, 54, 8963–8970. [Google Scholar] [CrossRef]
- Olmedo, A.M.; Bordoni, R. Studies of Oxide Layers Grown at 260 °C on A106 B Carbon Steel in Aqueous Medium with Ethanolamine or Morpholine. Mater. Sci. Appl. 2015, 6, 783–791. [Google Scholar] [CrossRef]
- Kim, S.; Kim, T.; Lee, Y.; Kim, J.H. Soft X-ray study on electronic structure of passive oxide layer of carbon steel and low alloy steel in flow-accelerated corrosion environments of pressurized water reactors. Corros. Sci. 2019, 159, 108143. [Google Scholar] [CrossRef]
- Zhang, T.; Li, T.; Lu, J.; Guo, Q.; Xu, J. Microstructural Characterization of the Corrosion Product Deposit in the Flow-Accelerated Region in High-Temperature Water. Crystals 2022, 12, 749. [Google Scholar] [CrossRef]
- Hu, Y.; Xin, L.; Hong, C.; Han, Y.; Lu, Y. Microstructural Understanding of Flow Accelerated Corrosion of SA106B Carbon Steel in High-Temperature Water with Different Flow Velocities. Materials 2023, 16, 3981. [Google Scholar] [CrossRef] [PubMed]
- Huo, Y.; Tan, M.Y.-T.; Forsyth, M. Visualising dynamic passivation and localised corrosion processes occurring on buried steel surfaces under the effect of anodic transients. Electrochem. Commun. 2016, 66, 21–24. [Google Scholar] [CrossRef]
- Xu, Y.; Tan, M.Y.J. Probing the initiation and propagation processes of flow accelerated corrosion and erosion corrosion under simulated turbulent flow conditions. Corros. Sci. 2019, 151, 163–174. [Google Scholar] [CrossRef]
- Betova, I.; Bojinov, M.; Karastoyanov, V. Flow-Assisted Corrosion of Carbon Steel in Simulated Nuclear Plant Steam Generator Conditions. Crystals 2023, 13, 1115. [Google Scholar] [CrossRef]
- Wesolowski, D.J.; Machesky, M.L.; Palmer, D.A.; Anovitz, L.M. Magnetite surface charge studies to 290 °C from in situ pH titrations. Chem. Geol. 2000, 167, 193–229. [Google Scholar] [CrossRef]
- Järvimäki, S.; Saario, T.; Sipilä, K.; Bojinov, M. Effect of hydrazine on general corrosion of carbon and low-alloyed steels in pressurized water reactor secondary side water. Nucl. Eng. Des. 2015, 295, 106–115. [Google Scholar] [CrossRef]
- Jäppinen, E.; Ikäläinen, T.; Järvimäki, S.; Saario, T.; Sipilä, K.; Bojinov, M. Corrosion behavior of carbon steel coated with octadecylamine in the secondary circuit of a pressurized water reactor. J. Mater. Eng. Perform. 2017, 26, 6037–6046. [Google Scholar] [CrossRef]
- Fromhold, A., Jr. Single Carrier Steady-State Theory for Formation of Anodic Films under Conditions of High Space Charge in Very Large Electric Fields. J. Electrochem. Soc. 1977, 124, 538–549. [Google Scholar] [CrossRef]














| Element, wt.% | C | Cr | Mn | Ni | P | S | Si |
|---|---|---|---|---|---|---|---|
| nominal | 0.17–0.24 | 0.5–0.7 | 0.1–0.3 | ≤0.12 | ≤0.035 | ≤0.035 | 0.17–0.37 |
| Analyzed by GDOES | 0.20 ± 0.02 | 0.60 ± 0.06 | 0.09 ± 0.01 | 0.10 ± 0.01 | 0.012 | 0.02 | 0.24 ± 0.024 |
Disclaimer/Publisher’s Note: The statements, opinions and data contained in all publications are solely those of the individual author(s) and contributor(s) and not of MDPI and/or the editor(s). MDPI and/or the editor(s) disclaim responsibility for any injury to people or property resulting from any ideas, methods, instructions or products referred to in the content. |
© 2025 by the authors. Licensee MDPI, Basel, Switzerland. This article is an open access article distributed under the terms and conditions of the Creative Commons Attribution (CC BY) license (https://creativecommons.org/licenses/by/4.0/).
Share and Cite
Betova, I.; Bojinov, M.; Karastoyanov, V. Corrosion of Low-Alloy Steel in Ethanolamine Steam Generator Chemistry—The Effect of Temperature and Flow Rate. Molecules 2025, 30, 418. https://doi.org/10.3390/molecules30020418
Betova I, Bojinov M, Karastoyanov V. Corrosion of Low-Alloy Steel in Ethanolamine Steam Generator Chemistry—The Effect of Temperature and Flow Rate. Molecules. 2025; 30(2):418. https://doi.org/10.3390/molecules30020418
Chicago/Turabian StyleBetova, Iva, Martin Bojinov, and Vasil Karastoyanov. 2025. "Corrosion of Low-Alloy Steel in Ethanolamine Steam Generator Chemistry—The Effect of Temperature and Flow Rate" Molecules 30, no. 2: 418. https://doi.org/10.3390/molecules30020418
APA StyleBetova, I., Bojinov, M., & Karastoyanov, V. (2025). Corrosion of Low-Alloy Steel in Ethanolamine Steam Generator Chemistry—The Effect of Temperature and Flow Rate. Molecules, 30(2), 418. https://doi.org/10.3390/molecules30020418

