Refining Surface Copper Species on Cu/SiO2 Catalysts to Boost Furfural Hydrogenation to Furfuryl Alcohol
Abstract
1. Introduction
2. Result and Discussion
2.1. Textural Properties of Catalysts
2.2. Physicochemical Properties of the Catalysts
2.2.1. H2-TPR
2.2.2. XPS
2.2.3. FT-IR
2.3. Catalyst Performance for FAL Hydrogenation
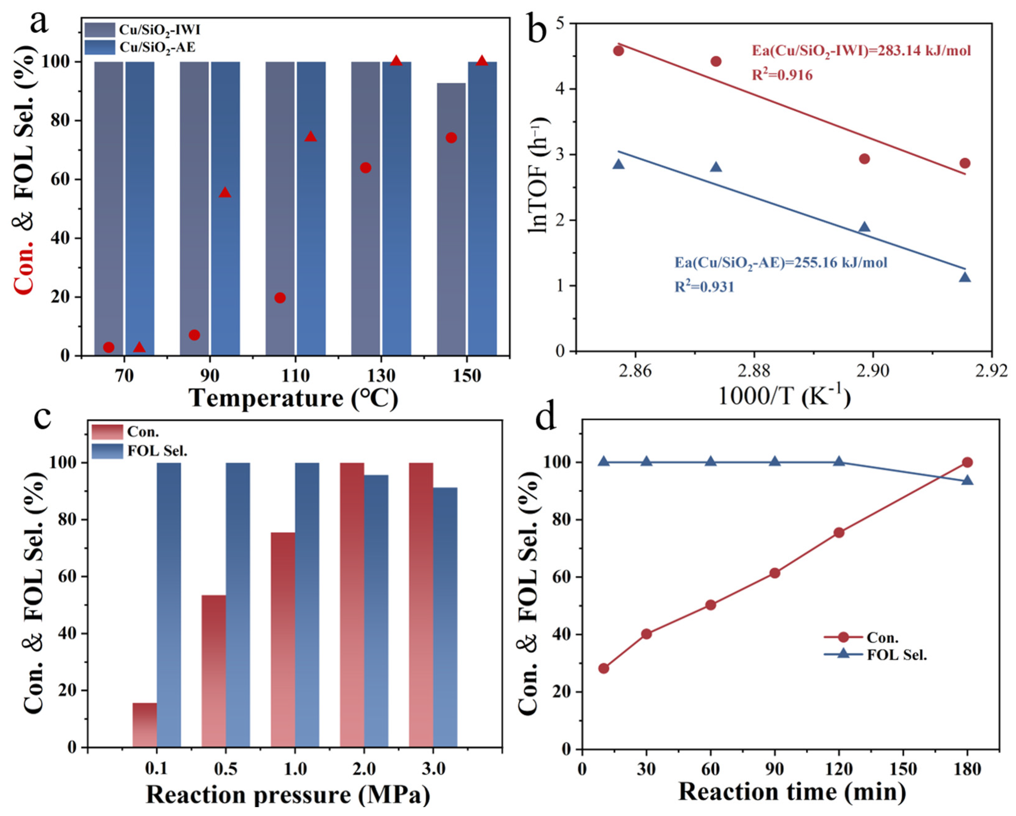
2.3.1. Effects of Reaction Conditions
2.3.2. Catalytic Stability
2.4. Mechanism of FAL Hydrogenation on Catalysts
3. Experimental Section
3.1. Catalyst Materials
3.2. Catalyst Preparation
3.3. Catalyst Characterization
3.4. Catalytic Performance Test
4. Conclusions
Supplementary Materials
Author Contributions
Funding
Institutional Review Board Statement
Informed Consent Statement
Data Availability Statement
Conflicts of Interest
References
- Fang, R.; Dhakshinamoorthy, A.; Li, Y.; Garcia, H. Metal organic frameworks for biomass conversion. Chem. Soc. Rev. 2020, 49, 3638–3687. [Google Scholar] [CrossRef] [PubMed]
- Zhang, Y.; Shen, Y. Electrochemical hydrogenation of levulinic acid, furfural and 5-hydroxymethylfurfural. Appl. Catal. B Environ. 2023, 343, 123576. [Google Scholar] [CrossRef]
- Wang, A.; Austin, D.; Qian, H.; Zeng, H.; Song, H. Catalytic valorization of furfural under methane environment. ACS Sustain. Chem. Eng. 2018, 6, 8891–8903. [Google Scholar] [CrossRef]
- Slak, J.; Pomeroy, B.; Kostyniuk, A.; Grilc, M.; Likozar, B. A review of bio-refining process intensification in catalytic conversion reactions, separations and purifications of hydroxymethylfurfural (HMF) and furfural. Chem. Eng. J. 2022, 429, 132325. [Google Scholar] [CrossRef]
- Cui, G.Q.; Zhang, X.; Wang, H.; Li, Z.Y.; Wang, W.L.; Yu, Q.; Zheng, L.R.; Wang, Y.D.; Zhu, J.H.; Wei, M. ZrO2-x modified Cu nanocatalysts with synergistic catalysis towards carbon-oxygen bond hydrogenation. Appl. Catal. B Environ. 2021, 280, 119406. [Google Scholar] [CrossRef]
- Seemala, B.; Cai, C.M.; Wyman, C.E.; Christopher, P. Support induced control of surface composition in Cu–Ni/TiO2 catalysts enables high yield co-conversion of HMF and furfural to methylated furans. ACS Catal. 2017, 7, 4070–4082. [Google Scholar] [CrossRef]
- Zhao, D.; Prinsen, P.; Wang, Y.; Ouyang, W.; Delbecq, F.; Len, C.; Luque, R. Continuous flow alcoholysis of furfuryl alcohol to alkyl levulinates using zeolites. ACS Sustain. Chem. Eng. 2018, 6, 6901–6909. [Google Scholar] [CrossRef]
- Mariscal, R.; Maireles-Torres, P.; Ojeda, M.; Sádaba, I.; Granados, M.L. Furfural: A renewable and versatile platform molecule for the synthesis of chemicals and fuels. Energ. Environ. Sci. 2016, 9, 1144–1189. [Google Scholar] [CrossRef]
- Zhang, X.; Xu, S.Q.; Li, Q.F.; Zhou, G.L.; Xia, H.A. Recent advances in the conversion of furfural into bio-chemicals through chemo- and bio-catalysis. RSC Adv. 2021, 11, 27042–27058. [Google Scholar] [CrossRef]
- Lv, S.; Liu, H.F.; Zhang, J.; Wu, Q.; Wang, F. Water promoted photocatalytic transfer hydrogenation of furfural to furfural alcohol over ultralow loading metal supported on TiO2. J. Energy Chem. 2022, 73, 259–267. [Google Scholar] [CrossRef]
- Liang, Y.; Tang, Q.; Liu, L.; Wang, D.S.; Dong, J.X. Fabrication of highly oxidized Pt single-atom catalysts to suppress the deep hydrogenation of unsaturated aldehydes. Appl. Catal. B Environ. 2023, 333, 122783. [Google Scholar] [CrossRef]
- Jiang, Y.; Chang, Q.; Guan, L.F.; Teng, B.T.; Xu, C.C.; Zhang, Y.; Li, X.; Sheng, Q.; Yao, Y.; Lu, S.X.; et al. Efficient C=O bond hydrogenation of cinnamaldehyde over PtCu alloy frame: Insight into the morphology and Pt species state. Chem. Eng. J. 2023, 477, 146854. [Google Scholar] [CrossRef]
- Wu, Z.L.; Wang, J.; Wang, S.; Zhang, Y.X.; Bai, G.Y.; Ricardez-Sandoval, L.; Wang, G.C.; Zhao, B. Controllable chemoselective hydrogenation of furfural by PdAg/C bimetallic catalysts under ambient operating conditions: An interesting Ag switch. Green Chem. 2020, 22, 1432–1442. [Google Scholar] [CrossRef]
- Wang, X.Q.; Qiu, M.; Smith, R.L., Jr.; Yang, J.R.; Shen, F.; Qi, X.H. Ferromagnetic lignin-derived ordered mesoporous carbon for catalytic hydrogenation of furfural to furfuryl alcohol. ACS Sustain. Chem. Eng. 2020, 8, 18157–18166. [Google Scholar] [CrossRef]
- Yang, Z.H.; Chou, X.Y.; Kan, H.Y.; Xiao, Z.H.; Ding, Y. Nanoporous copper catalysts for the fluidized electrocatalytic hydrogenation of furfural to furfuryl alcohol. ACS Sustain. Chem. Eng. 2022, 10, 7418–7425. [Google Scholar] [CrossRef]
- Jiménez-Gómez, C.P.; Cecilia, J.A.; García-Sancho, C.; Moreno-Tost, R.; Maireles-Torres, P. Selective production of furan from gas-phase furfural decarbonylation on Ni-MgO catalysts. ACS Sustain. Chem. Eng. 2019, 7, 7676–7685. [Google Scholar] [CrossRef]
- Yan, K.; Wu, G.S.; Lafleur, T.; Jarvis, C. Production, properties and catalytic hydrogenation of furfural to fuel additives and value-added chemicals. Renew. Sust. Energy Rev. 2014, 38, 663–676. [Google Scholar] [CrossRef]
- Yuan, E.X.; Wang, C.L.; Wu, C.; Shi, G.J.; Jian, P.M.; Hou, X. Constructing hierarchical structures of Pd catalysts to realize reaction pathway regulation of furfural hydroconversion. J. Catal. 2023, 421, 30–44. [Google Scholar] [CrossRef]
- Yang, Q.P.; Gao, D.W.; Li, C.S.; Wang, S.; Hu, X.; Zheng, G.X.; Chen, G.Z. Highly dispersed Pt on partial deligandation of Ce-MOFs for furfural selective hydrogenation. Appl. Catal. B Environ. 2023, 328, 122458. [Google Scholar] [CrossRef]
- Pei, G.X.; Liu, X.Y.; Yang, X.; Zhang, L.L.; Wang, A.Q.; Li, L.; Wang, H.; Wang, X.D.; Zhang, T. Performance of Cu-alloyed Pd single-atom catalyst for semihydrogenation of acetylene under simulated front-end conditions. ACS Catal. 2017, 7, 1491–1500. [Google Scholar] [CrossRef]
- Wang, Z.Q.; Wang, X.C.; Zhang, C.; Arai, M.; Zhou, L.L.; Zhao, F.Y. Selective hydrogenation of furfural to furfuryl alcohol over Pd/TiH2 catalyst. Mol. Catal. 2021, 508, 111599. [Google Scholar] [CrossRef]
- Huš, M.; Likozar, B.; Grilc, M. Furfural hydrogenation over Cu, Ni, Pd, Pt, Re, Rh and Ru catalysts: Ab initio modelling of adsorption, desorption and reaction micro-kinetics. Chem. Eng. J. 2022, 436, 135070. [Google Scholar]
- Yang, J.; Ma, J.J.; Yuan, Q.Q.; Zhang, P.; Guan, Y.J. Selective hydrogenation of furfural on Ru/Al-MIL-53: A comparative study on the effect of aromatic and aliphatic organic linkers. RSC Adv. 2016, 6, 92299–92304. [Google Scholar] [CrossRef]
- Li, Z.; Li, Y.H.; Wang, X.P.; Tan, Y.; Yang, W.S.; Zhu, H.J.; Chen, X.K.; Lu, W.; Ding, Y.J. Hydrogenation of dimethyl oxalate to ethanol over Mo-doped Cu/SiO2 catalyst. Chem. Eng. J. 2023, 454, 140001. [Google Scholar] [CrossRef]
- Du, H.; Ma, X.Y.; Yan, P.F.; Jiang, M.A.; Zhao, Z.A.; Zhang, Z.C. Catalytic furfural hydrogenation to furfuryl alcohol over Cu/SiO2 catalysts: A comparative study of the preparation methods. Fuel Process. Technol. 2019, 193, 221–231. [Google Scholar] [CrossRef]
- Fang, W.T.; Liu, S.H.; Steffensen, A.K.; Schill, L.; Kastlunger, G.; Riisager, A. On the role of Cu+ and CuNi alloy phases in mesoporous CuNi catalyst for furfural hydrogenation. ACS Catal. 2023, 13, 8437–8444. [Google Scholar] [CrossRef]
- He, Z.; Lin, H.Q.; He, P.; Yuan, Y.Z. Effect of boric oxide doping on the stability and activity of a Cu-SiO2 catalyst for vapor-phase hydrogenation of dimethyl oxalate to ethylene glycol. J. Catal. 2011, 277, 54–63. [Google Scholar] [CrossRef]
- Liu, H.W.; Hu, Q.; Fan, G.L.; Yang, L.; Li, F. Surface synergistic effect in well-dispersed Cu/MgO catalysts for highly efficient vapor-phase hydrogenation of carbonyl compounds. Catal. Sci. Technol. 2015, 5, 3960–3969. [Google Scholar] [CrossRef]
- Wang, Q.; Feng, J.T.; Zheng, L.R.; Wang, B.; Bi, R.X.; He, Y.F.; Liu, H.C.; Li, D.Q. Interfacial structure-determined reaction pathway and selectivity for 5-(hydroxymethyl) furfural hydrogenation over Cu-based catalysts. ACS Catal. 2019, 10, 1353–1365. [Google Scholar] [CrossRef]
- Ding, T.M.; Tian, H.S.; Liu, J.C.; Wu, W.B.; Yu, J.T. Highly active Cu/SiO2 catalysts for hydrogenation of diethyl malonate to 1,3-propanediol. Chin. J. Catal. 2016, 37, 484–493. [Google Scholar] [CrossRef]
- Gong, J.L.; Yue, H.R.; Zhao, Y.J.; Zhao, S.; Zhao, L.; Lv, J.; Wang, S.P.; Ma, X.B. Synthesis of ethanol via syngas on Cu/SiO2 catalysts with balanced Cu0-Cu+ sites. J. Am. Chem. Soc. 2012, 134, 13922–13925. [Google Scholar] [CrossRef] [PubMed]
- Paris, C.; Karelovic, A.; Manrique, R.; Le Bras, S.; Devred, F.; Vykoukal, V.; Styskalik, A.; Eloy, P.; Debecker, D.P. CO2 hydrogenation to methanol with Ga-and Zn-doped mesoporous Cu/SiO2 catalysts prepared by the aerosol-assisted sol-gel process. ChemSusChem 2020, 13, 6409–6417. [Google Scholar] [CrossRef]
- Lee, J.; Seo, J.H.; Nguyen-Huy, C.; Yang, E.; Lee, J.G.; Lee, H.; Jang, E.J.; Kwak, J.H.; Lee, J.H.; Lee, H.; et al. Cu2O (100) surface as an active site for catalytic furfural hydrogenation. Appl. Catal. B Environ. 2021, 282, 119576. [Google Scholar] [CrossRef]
- Rao, R.S.; Baker, R.T.; Vannice, M.A. Furfural hydrogenation over carbon-supported copper. Catal. Lett. 1999, 60, 51–57. [Google Scholar] [CrossRef]
- Ghashghaee, M.; Ghambarian, M.; Azizi, Z. Molecular-level insights into furfural hydrogenation intermediates over single-atomic Cu catalysts on magnesia and silica nanoclusters. Mol. Simulat. 2019, 45, 154–163. [Google Scholar] [CrossRef]
- Zhu, Y.F.; Kong, X.; Cao, D.B.; Cui, J.L.; Zhu, Y.; Li, Y.W. The rise of calcination temperature enhances the performance of Cu catalysts: Contributions of support. ACS Catal. 2014, 4, 3675–3681. [Google Scholar] [CrossRef]
- Zheng, J.W.; Zhou, J.F.; Lin, H.Q.; Duan, X.P.; Williams, C.T.; Yuan, Y.Z. CO-mediated deactivation mechanism of SiO2-supported copper catalysts during dimethyl oxalate hydrogenation to ethylene glycol. J. Phys. Chem. C 2015, 119, 13758–13766. [Google Scholar] [CrossRef]
- Di, W.; Cheng, J.H.; Tian, S.X.; Li, J.; Chen, J.Y.; Sun, Q. Synthesis and characterization of supported copper phyllosilicate catalysts for acetic ester hydrogenation to ethanol. Appl. Catal. A-Gen. 2016, 510, 244–259. [Google Scholar] [CrossRef]
- Yang, Q.P.; Gao, D.W.; Li, C.S.; Cao, S.Y.; Li, S.; Zhao, H.Q.; Li, C.C.; Zheng, G.X.; Chen, G.Z. Deposition of Pt clusters onto MOFs-derived CeO2 by ALD for selective hydrogenation of furfural. Fuel 2022, 311, 122584. [Google Scholar] [CrossRef]
- Ding, J.; Popa, T.; Tang, J.K.; Gasem, K.A.; Fan, M.H.; Zhong, Q. Highly selective and stable Cu/SiO2 catalysts prepared with a green method for hydrogenation of diethyl oxalate into ethylene glycol. Appl. Catal. B Environ. 2017, 209, 530–542. [Google Scholar] [CrossRef]
- Yu, J.F.; Yang, M.; Zhang, J.X.; Ge, Q.J.; Zimina, A.; Pruessmann, T.; Zheng, L.; Grunwaldt, J.D.; Sun, J. Stabilizing Cu+ in Cu/SiO2 catalysts with a shattuckite-like structure boosts CO2 hydrogenation into methanol. ACS Catal. 2020, 10, 14694–14706. [Google Scholar] [CrossRef]
- Sun, J.; Yu, J.F.; Ma, Q.X.; Meng, F.Q.; Wei, X.X.; Sun, Y.N.; Tsubaki, N. Freezing copper as a noble metal-like catalyst for preliminary hydrogenation. Sci. Adv. 2018, 4, eaau3275. [Google Scholar] [CrossRef] [PubMed]
- Jiao, L.; Regalbuto, J.R. The synthesis of highly dispersed noble and base metals on silica via strong electrostatic adsorption: II. Mesoporous silica SBA-15. J. Catal. 2008, 260, 342–350. [Google Scholar] [CrossRef]
- Wong, A.; Liu, Q.; Griffin, S.; Nicholls, A.; Regalbuto, J.R. Synthesis of ultrasmall, homogeneously alloyed, bimetallic nanoparticles on silica supports. Science 2017, 358, 1427–1430. [Google Scholar] [CrossRef]
- Wang, Z.; Brouri, D.; Casale, S.; Delannoy, L.; Louis, C. Exploration of the preparation of Cu/TiO2 catalysts by deposition–precipitation with urea for selective hydrogenation of unsaturated hydrocarbons. J. Catal. 2016, 340, 95–106. [Google Scholar] [CrossRef]
- Yang, J.Y.; Gao, Y.Z.; Fan, J.; Wang, J.Q.; Yang, T.; Bing, Z.Z.; Zhang, M.; Liu, Z.Y. Boosting the selective hydrogenation of biphenyl to cyclohexylbenzene over bimetallic Ni-Ru/SiO2 catalyst via enhancing strong metal-support interaction. Appl. Surf. Sci. 2024, 660, 160012. [Google Scholar] [CrossRef]
- Du, H.; Ma, X.Y.; Jiang, M.; Zhang, Z.C. Boosted activity of Cu/SiO2 catalyst for furfural hydrogenation by freeze drying. Chin. Chem. Lett. 2022, 33, 912–915. [Google Scholar] [CrossRef]
- Tang, F.Y.; Wang, L.Q.; Walle, M.D.; Mustapha, A.; Liu, Y.N. An alloy chemistry strategy to tailoring the d-band center of Ni by Cu for efficient and selective catalytic hydrogenation of furfural. J. Catal. 2020, 383, 172–180. [Google Scholar] [CrossRef]
- Yu, X.B.; Vest, T.A.; Gleason-Boure, N.; Karakalos, S.G.; Tate, G.L.; Burkholder, M.; Monnier, J.R.; Williams, C.T. Enhanced hydrogenation of dimethyl oxalate to ethylene glycol over indium promoted Cu/SiO2. J. Catal. 2019, 380, 289–296. [Google Scholar] [CrossRef]
- Shawabkeh, R.A.; Faqir, N.M.; Rawajfeh, K.M.; Hussein, I.A.; Hamza, A. Adsorption of CO2 on Cu/SiO2 nano-catalyst: Experimental and theoretical study. Appl. Surf. Sci. 2022, 586, 152726. [Google Scholar] [CrossRef]
- Zhang, J.Y.; Jia, Z.; Yu, S.T.; Liu, S.W.; Li, L.; Xie, C.X.; Wu, Q.; Zhang, Y.Z.; Yu, H.L.; Liu, Y.; et al. Regulating the Cu0-Cu+ ratio to enhance metal-support interaction for selective hydrogenation of furfural under mild conditions. Chem. Eng. J. 2023, 468, 143755. [Google Scholar] [CrossRef]
- Zhao, H.B.; Yu, R.F.; Ma, S.C.; Xu, K.Z.; Chen, Y.; Jiang, K.; Fang, Y.; Zhu, C.X.; Liu, X.; Tang, Y.; et al. The role of Cu1-O3 species in single-atom Cu/ZrO2 catalyst for CO2 hydrogenation. Nat. Catal. 2022, 5, 818–831. [Google Scholar] [CrossRef]
- Zhang, B.; Hui, S.G.; Zhang, S.H.; Ji, Y.; Li, W.; Fang, D.Y. Effect of copper loading on texture, structure and catalytic performance of Cu/SiO2 catalyst for hydrogenation of dimethyl oxalate to ethylene glycol. J. Nat. Gas Chem. 2012, 21, 563–570. [Google Scholar] [CrossRef]
- Nguyen-Huy, C.; Lee, H.; Lee, J.; Kwak, J.H.; An, K. Mesoporous mixed CuCo oxides as robust catalysts for liquid-phase furfural hydrogenation. Appl. Catal. A-Gen. 2019, 571, 118–126. [Google Scholar] [CrossRef]
- Jiménez-Gómez, C.P.; Cecilia, J.A.; Márquez-Rodríguez, I.; Moreno-Tost, R.; Santamaría-González, J.; Mérida-Robles, J.; Maireles-Torres, P. Gas-phase hydrogenation of furfural over Cu/CeO2 catalysts. Catal. Today 2017, 279, 327–338. [Google Scholar] [CrossRef]
- Benito, N.; Flores, M. Evidence of Mixed Oxide Formation on the Cu/SiO2 Interface. J. Phys. Chem. C 2017, 121, 18771–18778. [Google Scholar] [CrossRef]
- Dong, F.; Zhu, Y.L.; Zheng, H.Y.; Zhu, Y.F.; Li, X.Q.; Li, Y.W. Cr-free Cu-catalysts for the selective hydrogenation of biomass-derived furfural to 2-methylfuran: The synergistic effect of metal and acid sites. J. Mol. Catal. A Chem. 2015, 398, 140–148. [Google Scholar] [CrossRef]
- Wang, Y.X.; Gao, T.Y.; Lu, Y.W.; Wang, Y.H.; Cao, Q.; Fang, W.H. Efficient hydrogenation of furfural to furfuryl alcohol by magnetically recoverable RuCo bimetallic catalyst. Green Energy Environ. 2022, 7, 275–287. [Google Scholar] [CrossRef]
- Sitthisa, S.; Sooknoi, T.; Ma, Y.; Balbuena, P.B.; Resasco, D.E. Kinetics and mechanism of hydrogenation of furfural on Cu/SiO2 catalysts. J. Catal. 2011, 277, 1–13. [Google Scholar] [CrossRef]
- Gao, G.; Remón, J.; Jiang, Z.C.; Yao, L.; Hu, C.W. Selective hydrogenation of furfural to furfuryl alcohol in water under mild conditions over a hydrotalcite-derived Pt-based catalyst. Appl. Catal. B Environ. 2022, 309, 121260. [Google Scholar] [CrossRef]
- Yu, J.; Yang, Y.S.; Chen, L.; Li, Z.H.; Liu, W.; Xu, E.Z.; Zhang, Y.J.; Hong, S.; Zhang, X.; Wei, M. NiBi intermetallic compounds catalyst toward selective hydrogenation of unsaturated aldehydes. Appl. Catal. B Environ. 2020, 277, 119273. [Google Scholar] [CrossRef]
- Jiang, L.; Zhou, G.B. Promoting the performances of Ru on hierarchical TiO2 nanospheres exposed {001} facets in benzene semi-hydrogenation by manipulating the metal-support interfaces. J. Catal. 2020, 382, 97–108. [Google Scholar] [CrossRef]
- Zhou, G.B.; Jiang, L.; He, D.P. Nanoparticulate Ru on TiO2 exposed the {100} facets: Support facet effect on selective hydrogenation of benzene to cyclohexene. J. Catal. 2019, 369, 352–362. [Google Scholar] [CrossRef]
- Daly, H.; Manyar, H.G.; Morgan, R.; Thompson, J.M.; Delgado, J.J.; Burch, R.; Hardacre, C. Use of Short Time-on-Stream Attenuated Total Internal Reflection Infrared Spectroscopy to Probe Changes in Adsorption Geometry for Determination of Selectivity in the Hydrogenation of Citral. ACS Catal. 2014, 4, 2470–2478. [Google Scholar] [CrossRef]
- Cai, W.Q.; Li, Y.F.; Zheng, Q.X.; Song, M.X.; Ma, P.F.; Fang, W.P.; Song, W.J.; Lai, W.K. Hydrogenative rearrangement of bioderived furfurals to cyclopentanones over Ni/Nb2O5 catalysts: Promotion effect of reducible NbOx and water. Fuel 2023, 338, 127345. [Google Scholar] [CrossRef]
- Zhang, Z.; Wang, Z.Q.; Li, Z.R.; Zheng, W.B.; Fan, L.P.; Zhang, J.; Hu, Y.M.; Luo, M.F.; Wu, X.P.; Gong, X.Q.; et al. Metal-Free Ceria Catalysis for Selective Hydrogenation of Crotonaldehyde. ACS Catal. 2020, 10, 14560–14566. [Google Scholar] [CrossRef]
- Ruan, L.N.; Zhu, L.H.; Zhang, X.W.; Guo, G.R.; Shang, C.X.; Chen, B.H.; Guo, Z.X. Porous SiO2 nanosphere-supported PtCuCo trimetallic nanoparticles for highly efficient and selective furfural hydrogenation. Fuel 2023, 335, 126935. [Google Scholar] [CrossRef]








| Sample | SBET a (m2/g) | Vtotal (cm3/g) | dp b (nm) | Cu Loading c (wt%) | DCu d (%) | SCu e (m2Cu/gcat) |
|---|---|---|---|---|---|---|
| SiO2 | 474 | 0.75 | 5.2 | - | - | - |
| 5Cu/SiO2-IWI | 401 | 0.49 | 6.4 | 4.57 | 5.49 | 0.63 |
| 5Cu/SiO2-AE | 231 | 0.81 | 9.9 | 4.98 | 27.94 | 4.74 |
| 5Cu/SiO2-AE-C300 | 229 | 0.56 | 8.7 | 4.89 | 26.35 | 3.15 |
| 5Cu/SiO2-AE-C500 | 221 | 0.54 | 8.5 | 4.91 | 21.34 | 3.22 |
| 5Cu/SiO2-AE-R200 | 227 | 0.63 | 9.2 | 4.97 | - | - |
| 5Cu/SiO2-AE-R300 | 213 | 0.61 | 10.1 | 4.95 | 15.47 | 2.37 |
| 5Cu/SiO2-AE-R350 | 215 | 0.60 | 9.6 | 4.93 | 12.06 | 1.67 |
| Entry | Catalysts | FAL Conversion (%) | FOL Selectivity (%) | TOF (h−1) |
|---|---|---|---|---|
| 1 a | 5Cu/SiO2-AE | 1.7 | >99.9 | - |
| 2 | 5Cu/SiO2-AE-C300 | 19.7 | 98.3 | 15.9 |
| 3 | 5Cu/SiO2-AE | 55.2 | >99.9 | 36.0 |
| 4 | 5Cu/SiO2-AE-C500 | 23.1 | >99.9 | 26.7 |
| 5 | 5Cu/SiO2-AE-R200 | 6.1 | >99.9 | - |
| 6 | 5Cu/SiO2-AE-R300 | 24.6 | >99.9 | 30.5 |
| 7 | 5Cu/SiO2-AE-R350 | 22.8 | >99.9 | 31.4 |
Disclaimer/Publisher’s Note: The statements, opinions and data contained in all publications are solely those of the individual author(s) and contributor(s) and not of MDPI and/or the editor(s). MDPI and/or the editor(s) disclaim responsibility for any injury to people or property resulting from any ideas, methods, instructions or products referred to in the content. |
© 2025 by the authors. Licensee MDPI, Basel, Switzerland. This article is an open access article distributed under the terms and conditions of the Creative Commons Attribution (CC BY) license (https://creativecommons.org/licenses/by/4.0/).
Share and Cite
Wang, J.; Yang, J.; Bing, Z.; Gao, Y.; Yang, T.; Liu, Q.; Zhang, M.; Liu, Z. Refining Surface Copper Species on Cu/SiO2 Catalysts to Boost Furfural Hydrogenation to Furfuryl Alcohol. Molecules 2025, 30, 225. https://doi.org/10.3390/molecules30020225
Wang J, Yang J, Bing Z, Gao Y, Yang T, Liu Q, Zhang M, Liu Z. Refining Surface Copper Species on Cu/SiO2 Catalysts to Boost Furfural Hydrogenation to Furfuryl Alcohol. Molecules. 2025; 30(2):225. https://doi.org/10.3390/molecules30020225
Chicago/Turabian StyleWang, Jieqiong, Jingyi Yang, Zezheng Bing, Yuanyuan Gao, Tao Yang, Qiaoyun Liu, Meng Zhang, and Zhongyi Liu. 2025. "Refining Surface Copper Species on Cu/SiO2 Catalysts to Boost Furfural Hydrogenation to Furfuryl Alcohol" Molecules 30, no. 2: 225. https://doi.org/10.3390/molecules30020225
APA StyleWang, J., Yang, J., Bing, Z., Gao, Y., Yang, T., Liu, Q., Zhang, M., & Liu, Z. (2025). Refining Surface Copper Species on Cu/SiO2 Catalysts to Boost Furfural Hydrogenation to Furfuryl Alcohol. Molecules, 30(2), 225. https://doi.org/10.3390/molecules30020225

