Interaction of Ethanolamine with Magnetite Through Molecular Dynamic Simulations
Abstract
1. Introduction
2. Results and Discussion
2.1. Adsorption Energy
2.2. Ethanolamine Stability
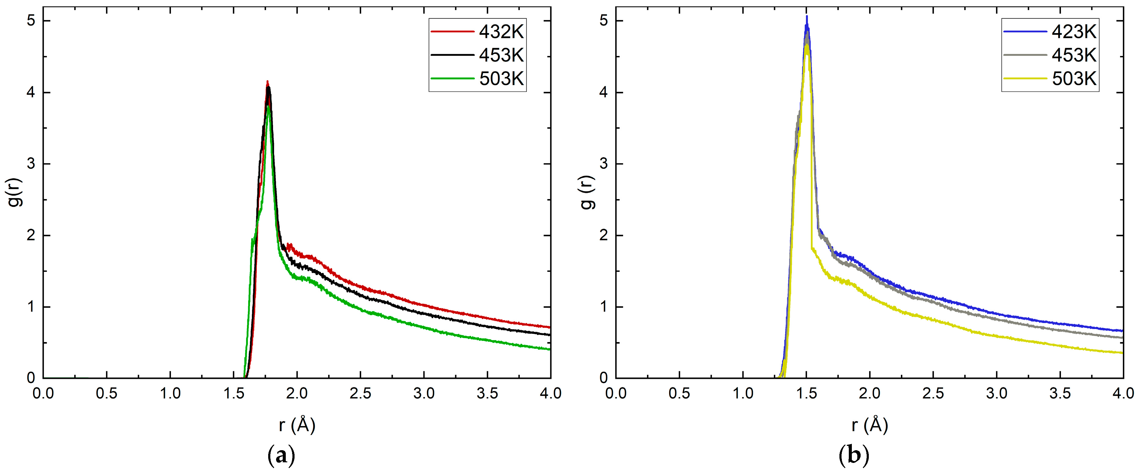
2.3. Kinetics of Ethanolamine Adsorption
2.4. Surface Interaction
2.5. Comparison with In Situ Electrochemical Data
3. Materials and Methods
3.1. Materials
3.2. Methods
4. Conclusions
Author Contributions
Funding
Institutional Review Board Statement
Informed Consent Statement
Data Availability Statement
Conflicts of Interest
References
- Kim, S.; Kim, G.; Song, S.-W.; Kim, J.H. Effects of Cr and Mo contents on the flow-accelerated corrosion behavior of low alloy steels in the secondary side of pressurized water reactors. J. Nucl. Mater. 2023, 585, 154652. [Google Scholar] [CrossRef]
- Vidojkovic, S.; Mijajlovic, M.; Lindeboom, R.; Jovicic, V. Thermal stability of film forming amines-based corrosion inhibitors in high temperature power plant water solutions. Energy Sci. Eng. 2024, 12, 304–328. [Google Scholar] [CrossRef]
- Ji, Y.; Hao, L.; Wang, J.; Li, Q.; Zheng, Y.; Yu, P.; Ke, W. Research Progress on Compatibility Between Alkalizing Agents and Materials in PWR Secondary Circuit. J. Chin. Soc. Corros. Prot. 2024, 44, 267–277. [Google Scholar] [CrossRef]
- Lee, Y.-B.; Lee, J.-M.; Hur, D.-H.; Lee, J.-H.; Jeon, S.-H. Effects of Advanced Amines on Magnetite Deposition of Steam Generator Tubes in Secondary System. Coatings 2021, 11, 514. [Google Scholar] [CrossRef]
- Gupta, S.; Kumar Gupta, K.; Andersson, M.; Yazdi, R.; Ambat, R. Electrochemical and molecular modelling studies of CO2 corrosion inhibition characteristics of alkanolamine molecules for the protection of 1Cr steel. Corros. Sci. 2022, 195, 109999. [Google Scholar] [CrossRef]
- Rayer, A.V.; Sumon, K.Z.; Jaffari, L.; Henni, A. Dissociation Constants (pKa) of Tertiary and Cyclic Amines: Structural and Temperature Dependences. J. Chem. Eng. Data 2014, 59, 3805–3813. [Google Scholar] [CrossRef]
- Rose, A.N.; Hettiarachchi, E.; Grassian, V.H. Monoethanolamine adsorption on oxide surfaces. J. Colloid Interface Sci. 2022, 614, 75–83. [Google Scholar] [CrossRef] [PubMed]
- Turner, C.W. Fouling of Nuclear Steam Generators: Fundamental Studies, Operating Experience and Remedial Measures Using Chemical Additives. AECL Rev. 2013, 2, 61–88. [Google Scholar] [CrossRef]
- Nene, A.G.; Takahashi, M.; Somani, P.R. Fe3O4 and Fe Nanoparticles by Chemical Reduction of Fe(acac)3 by Ascorbic Acid: Role of Water. World J. Nano Sci. Eng. 2016, 6, 20–28. [Google Scholar] [CrossRef]
- Martin, G.J.; Cutting, R.S.; Vaughan, D.J.; Warren, M.C. Bulk and key surface structures of hematite, magnetite, and goethite: A density functional theory study. Amer. Min. 2009, 94, 1341–1350. [Google Scholar] [CrossRef]
- Berdunov, N.; Murphy, S.; Mariotto, G.; Shvets, I.V. Atomically Resolved Spin-Dependent Tunneling on Oxygen-Terminated Fe3O4(111). Phys. Rev. Lett. 2004, 93, 057201. [Google Scholar] [CrossRef] [PubMed]
- Carballal, D.S.; Roldan, A.; Grau-Crespo, R.; de Leeuw, N.H. A DFT study of the structures, stabilities and redox behaviour of the major surfaces of magnetite Fe3O4. Phys. Chem. Chem. Phys. 2014, 16, 21082. [Google Scholar] [CrossRef] [PubMed]
- Naveas, N.; Pulido, R.; Marini, C.; Gargiani, P.; Hernandez-Montelongo, J.; Brito, I.; Manso-Silván, M. First-Principles Calculations of Magnetite (Fe3O4) above the Verwey Temperature by Using Self-Consistent DFT + U + V. J. Chem. Theory Comput. 2023, 19, 8610–8623. [Google Scholar] [CrossRef] [PubMed]
- Siani, P.; Bianchetti, E.; Liu, H.; Di Valentin, C. Parametrization of the Fe-Owater cross-interaction for a more accurate Fe3O4/water interface model and its application to a spherical Fe3O4 nanoparticle of realistic size. J. Chem. Phys. 2021, 154, 034702. [Google Scholar] [CrossRef]
- Zaki, E.; Jakub, Z.; Mirabella, F.; Parkinson, G.S.; Shaikhutdinov, S.; Freund, H.J. Water Ordering on the Magnetite Fe3O4 Surfaces. J. Phys. Chem. Lett. 2019, 10, 2487–2492. [Google Scholar] [CrossRef]
- Patitsa, M.; Karathanou, K.; Kanaki, Z.; Tzioga, L.; Pippa, N.; Demetzos, C.; Verganelakis, D.A.; Cournia, Z.; Klinakis, A. Magnetic Nanoparticles Coated with Polyarabic Acid Demonstrate Enhanced Drug Delivery and Imaging Properties for Cancer Theranostic Applications. Sci. Rep. 2017, 7, 775. [Google Scholar] [CrossRef]
- Sarcletti, M.; Vivod, D.; Luchs, T.; Rejek, T.; Portilla, L.; Müller, L.; Dietrich, H.; Hirsch, A.; Zahn, D.; Halik, M. Superoleophilic Magnetic Iron Oxide Nanoparticles for Effective Hydrocarbon Removal from Water. Adv. Funct. Mater. 2019, 29, 1805742. [Google Scholar] [CrossRef]
- Cygan, R.T.; Greathouse, J.A.; Kalinichev, A.G. Advances in Clayff Molecular Simulation of Layered and Nanoporous Materials and Their Aqueous Interfaces. J. Phys. Chem. C 2021, 125, 17573–17589. [Google Scholar] [CrossRef]
- Kerisit, S. Water Structure at Hematite–Water Interfaces. Geochim. Cosmochim. Acta 2011, 75, 2043–2061. [Google Scholar] [CrossRef]
- Konuk, M.; Sellschopp, K.; Vonbun-Feldbauer, G.B.; Meißner, R.H. Modeling Charge Redistribution at Magnetite Interfaces in Empirical Force Fields. J. Phys. Chem. C 2021, 125, 4794–4805. [Google Scholar] [CrossRef]
- Ivanova, N.; Karastoyanov, V.; Betova, I.; Bojinov, M. Study of ammonia adsorption on magnetite surfaces with molecular dynamics simulations. Molecules 2024, 299, 3276. [Google Scholar] [CrossRef]
- Da Silva, E.F.; Kuznetsova, T.; Kvamme, B.; Merz, K.M., Jr. Molecular dynamics study of ethanolamine as a pure liquid and in aqueous solution. J. Phys. Chem. B 2007, 111, 3695–3703. [Google Scholar] [CrossRef]
- Betova, I.; Bojinov, M.; Karastoyanov, V. Corrosion of Low-Alloy Steel in Ethanolamine Steam Generator Chemistry—The Effect of Temperature and Flow Rate. Molecules 2025, 30, 418. [Google Scholar] [CrossRef]
- Liu, P.; Liu, J.; Wang, M. Adsorption of ethanol molecules on the Al (111) surface. R. Soc. Open Sci. 2019, 6, 181189. [Google Scholar] [CrossRef]
- Saha, S.K.; Dutta, A.; Ghosh, P.; Sukul, D.; Banerjee, P. Novel Schiff-base molecules as efficient corrosion inhibitors for mild steel surface in 1 M HCl medium: Experi mental and theoretical approach. Phys. Chem. Chem. Phys. 2016, 18, 17898–17911. [Google Scholar] [CrossRef]
- Liu, H.; Bianchetti, E.; Siani, P.; Di Valentin, C. Insight into the interface between Fe3O4 (001) surface and water overlayers through multiscale molecular dynamics simulations. J. Chem. Phys. 2020, 152, 124711. [Google Scholar] [CrossRef]
- Kuntail, J.; Jain, Y.M.; Shukla, M.; Sinha, I. Adsorption mechanism of phenol, p-chlorophenol, and p-nitrophenol on magnetite surface: A molecular dynamics study. J. Mol. Liq. 2019, 288, 111053. [Google Scholar] [CrossRef]
- Huang, W.; Wang, L.; Dong, L.; Hu, H.; Ren, D. Density functional study on adsorption of NH3 and NOx on the γ-Fe2O3 (111) surface. Molecules 2023, 28, 2371. [Google Scholar] [CrossRef]
- Gouron, A.; Kitte, J.; De Bruin, T.; Diawara, B. Density Functional Theory Study of Monoethanolamine Adsorption on Hydroxylated Cr2O3 Surfaces. J. Phys. Chem. C 2015, 119, 22889–22898. [Google Scholar] [CrossRef]
- Liu, P.; Sui, P.; Feng, Z.; Gao, S.; Song, N.; Sum, R. Molecular dynamic investigations of aluminum nanoparticles coated by the mixtures of ethanol and diethyl ether with different molecular proportions. J. Nanopart. Res 2020, 22, 240. [Google Scholar] [CrossRef]
- Haavik, C.; Stølen, S.; Fjellvåg, H.; Hanfland, M.; Häusermann, D. Equation of State of Magnetite and Its High-Pressure Modification: Thermodynamics of the Fe-O System at High Pressure. Am. Mineral. 2000, 85, 514–523. [Google Scholar] [CrossRef]
- Gürsoy, E.; Vonbun-Feldbauer, G.B.; Meißner, R.H. Oxidation-State Dynamics and Emerging Patterns in Magnetite. J. Phys. Chem. Lett. 2023, 14, 6800–6807. [Google Scholar] [CrossRef]
- Afify, N.D.; Sweatman, M.B. Molecular dynamics simulation of microwave heating of liquid monoethanolamine (MEA): An evaluation of existing force fields. J. Chem. Phys. 2018, 148, 204513. [Google Scholar] [CrossRef]
- Jorgensen, W.L.; Jenson, C. Temperature Dependence of TIP3P, SPC, and TIP4P Water from NPT Monte Carlo Simulations: Seeking Temperatures of Maximum Density. J. Comput. Chem. 1998, 19, 1179–1186. [Google Scholar] [CrossRef]
- Nosé, S. A Molecular Dynamics Method for Simulations in the Canonical Ensemble. Mol. Phys. 1984, 52, 255–268. [Google Scholar] [CrossRef]
- Hoover, W.G. Canonical Dynamics: Equilibrium Phase-Space Distributions. Phys. Rev. A 1985, 31, 1695–1697. [Google Scholar] [CrossRef]
- Humphrey, W.; Dalke, A.; Schulten, K. VMD: Visual Molecular Dynamics. J. Mol. Graph. 1996, 14, 33–38. [Google Scholar] [CrossRef] [PubMed]









| Temperature, K | Ethanolamine, kJ·mol−1 | Ethanol–Ammonium Cation, kJ·mol−1 |
|---|---|---|
| 423 | −179.506 | −184.078 |
| 453 | −153.686 | −156.824 |
| 503 | −139.217 | −141.483 |
| Temperature, K | Ethanolamine, Å | Ethanol–Ammonium Cation, Å | ||
|---|---|---|---|---|
| OH | NH2 | OH | NH3+ | |
| 423 | 1.96 | 1.63 | 2.11 | 1.46 |
| 453 | 1.94 | 1.62 | 2.15 | 1.48 |
| 503 | 1.97 | 1.69 | 2.14 | 1.47 |
Disclaimer/Publisher’s Note: The statements, opinions and data contained in all publications are solely those of the individual author(s) and contributor(s) and not of MDPI and/or the editor(s). MDPI and/or the editor(s) disclaim responsibility for any injury to people or property resulting from any ideas, methods, instructions or products referred to in the content. |
© 2025 by the authors. Licensee MDPI, Basel, Switzerland. This article is an open access article distributed under the terms and conditions of the Creative Commons Attribution (CC BY) license (https://creativecommons.org/licenses/by/4.0/).
Share and Cite
Ivanova, N.; Karastoyanov, V.; Betova, I.; Bojinov, M. Interaction of Ethanolamine with Magnetite Through Molecular Dynamic Simulations. Molecules 2025, 30, 3197. https://doi.org/10.3390/molecules30153197
Ivanova N, Karastoyanov V, Betova I, Bojinov M. Interaction of Ethanolamine with Magnetite Through Molecular Dynamic Simulations. Molecules. 2025; 30(15):3197. https://doi.org/10.3390/molecules30153197
Chicago/Turabian StyleIvanova, Nikoleta, Vasil Karastoyanov, Iva Betova, and Martin Bojinov. 2025. "Interaction of Ethanolamine with Magnetite Through Molecular Dynamic Simulations" Molecules 30, no. 15: 3197. https://doi.org/10.3390/molecules30153197
APA StyleIvanova, N., Karastoyanov, V., Betova, I., & Bojinov, M. (2025). Interaction of Ethanolamine with Magnetite Through Molecular Dynamic Simulations. Molecules, 30(15), 3197. https://doi.org/10.3390/molecules30153197

