Efficient Scavenging of TEMPOL Radical by Ascorbic Acid in Solution and Related Prolongation of 13C and 1H Nuclear Spin Relaxation Times of the Solute
Abstract
1. Introduction
2. Results
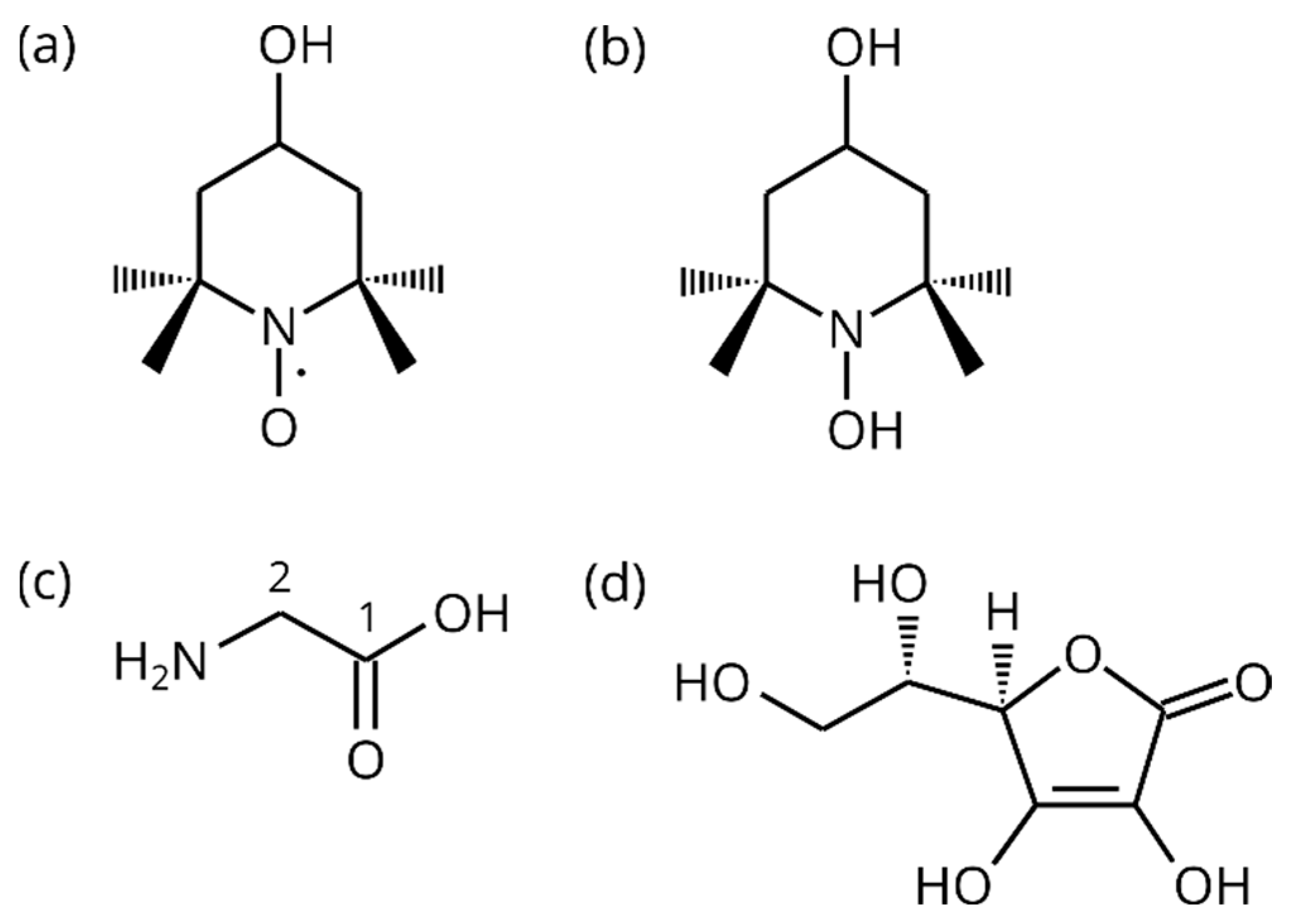
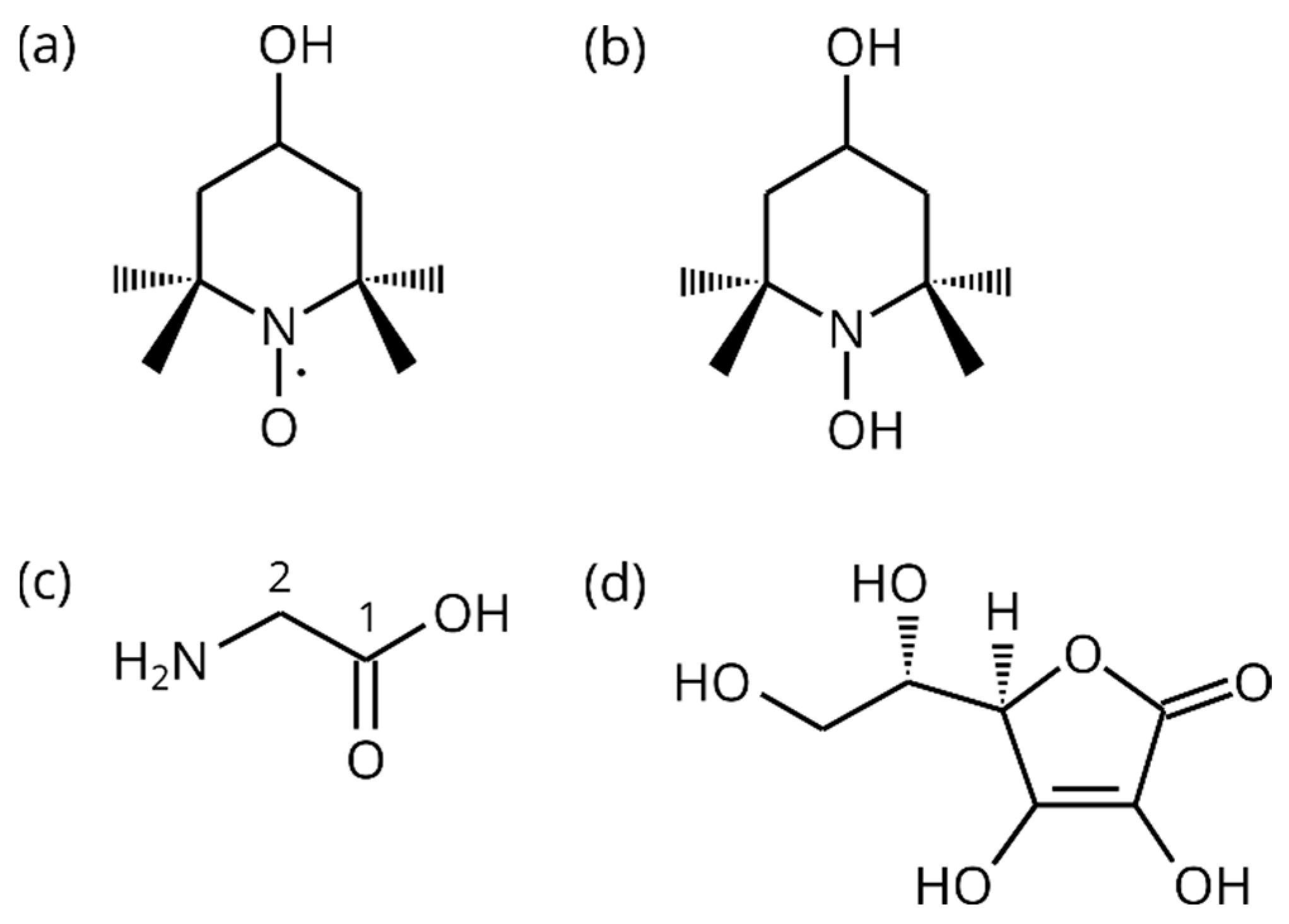
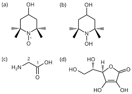
2.1. Reactions Observed
2.2. Nuclear Spin Relaxation Rates
3. Discussion
3.1. Scavenging Mechanism and Kinetics
3.2. Carbon Relaxations
3.3. Stability in Time
3.4. Influence of Viscosity on Relaxations
3.5. Influence of pH on the Scavenging Reaction
4. Materials and Methods
4.1. Samples
4.2. NMR Spectroscopy
4.3. Viscosities, Densities, and pD
4.4. Kinetic Modelling
5. Conclusions
Supplementary Materials
Author Contributions
Funding
Data Availability Statement
Conflicts of Interest
References
- Ardenkjaer-Larsen, J.-H.; Boebinger, G.S.; Comment, A.; Duckett, S.; Edison, A.S.; Engelke, F.; Griesinger, C.; Griffin, R.G.; Hilty, C.; Maeda, H.; et al. Facing and Overcoming Sensitivity Challenges in Biomolecular NMR Spectroscopy. Angew. Chem. Int. Ed. 2015, 54, 9162–9185. [Google Scholar] [CrossRef] [PubMed]
- Jannin, S.; Comment, A.; Kurdzesau, F.; Konter, J.A.; Hautle, P.; Van Den Brandt, B.; Van Der Klink, J.J. A 140 GHz Prepolarizer for Dissolution Dynamic Nuclear Polarization. J. Chem. Phys. 2008, 128, 241102. [Google Scholar] [CrossRef]
- Ardenkjær-Larsen, J.H.; Bowen, S.; Petersen, J.R.; Rybalko, O.; Vinding, M.S.; Ullisch, M.; Nielsen, N.C. Cryogen-free Dissolution Dynamic Nuclear Polarization Polarizer Operating at 3.35 T, 6.70 T, and 10.1 T. Magn. Reson. Med. 2019, 81, 2184–2194. [Google Scholar] [CrossRef] [PubMed]
- Jannin, S.; Bornet, A.; Melzi, R.; Bodenhausen, G. High Field Dynamic Nuclear Polarization at 6.7T: Carbon-13 Polarization above 70% within 20min. Chem. Phys. Lett. 2012, 549, 99–102. [Google Scholar] [CrossRef]
- Pinon, A.C.; Capozzi, A.; Ardenkjær-Larsen, J.H. Hyperpolarization via Dissolution Dynamic Nuclear Polarization: New Technological and Methodological Advances. Magn. Reson. Mater. Phys., Biol. Med. 2021, 34, 5–23. [Google Scholar] [CrossRef]
- Bornet, A.; Melzi, R.; Perez Linde, A.J.; Hautle, P.; Van Den Brandt, B.; Jannin, S.; Bodenhausen, G. Boosting Dissolution Dynamic Nuclear Polarization by Cross Polarization. J. Phys. Chem. Lett. 2013, 4, 111–114. [Google Scholar] [CrossRef]
- Tang, B.; Zhao, J.; Xu, J.-F.; Zhang, X. Tuning the Stability of Organic Radicals: From Covalent Approaches to Non-Covalent Approaches. Chem. Sci. 2020, 11, 1192–1204. [Google Scholar] [CrossRef] [PubMed]
- Cheng, T.; Capozzi, A.; Takado, Y.; Balzan, R.; Comment, A. Over 35% Liquid-State 13C Polarization Obtained via Dissolution Dynamic Nuclear Polarization at 7 T and 1 K Using Ubiquitous Nitroxyl Radicals. Phys. Chem. Chem. Phys. 2013, 15, 20819. [Google Scholar] [CrossRef]
- Ardenkjaer-Larsen, J.H.; Macholl, S.; Jóhannesson, H. Dynamic Nuclear Polarization with Trityls at 1.2 K. Appl. Magn. Reson. 2008, 34, 509–522. [Google Scholar] [CrossRef]
- Jóhannesson, H.; Macholl, S.; Ardenkjaer-Larsen, J.H. Dynamic Nuclear Polarization of [1-13C]Pyruvic Acid at 4.6 Tesla. J. Magn. Reson. 2009, 197, 167–175. [Google Scholar] [CrossRef]
- Macholl, S.; Jóhannesson, H.; Ardenkjaer-Larsen, J.H. Trityl Biradicals and 13C Dynamic Nuclear Polarization. Phys. Chem. Chem. Phys. 2010, 12, 5804. [Google Scholar] [CrossRef] [PubMed]
- Lumata, L.; Merritt, M.E.; Malloy, C.R.; Sherry, A.D.; Kovacs, Z. Impact of Gd 3+ on DNP of [1- 13C]Pyruvate Doped with Trityl OX063, BDPA, or 4-Oxo-TEMPO. J. Phys. Chem. A 2012, 116, 5129–5138. [Google Scholar] [CrossRef]
- Ardenkjaer-Larsen, J.H.; Fridlund, B.; Gram, A.; Hansson, G.; Hansson, L.; Lerche, M.H.; Servin, R.; Thaning, M.; Golman, K. Increase in Signal-to-Noise Ratio of >10,000 Times in Liquid-State NMR. Proc. Natl. Acad. Sci. USA 2003, 100, 10158–10163. [Google Scholar] [CrossRef] [PubMed]
- Elliott, S.J.; Stern, Q.; Ceillier, M.; El Daraï, T.; Cousin, S.F.; Cala, O.; Jannin, S. Practical Dissolution Dynamic Nuclear Polarization. Prog. Nucl. Magn. Reson. Spectrosc. 2021, 126–127, 59–100. [Google Scholar] [CrossRef]
- Plainchont, B.; Berruyer, P.; Dumez, J.N.; Jannin, S.; Giraudeau, P. Dynamic Nuclear Polarization Opens New Perspectives for NMR Spectroscopy in Analytical Chemistry. Anal. Chem. 2018, 90, 3639–3650. [Google Scholar] [CrossRef] [PubMed]
- Wolber, J.; Ellner, F.; Fridlund, B.; Gram, A.; Jóhannesson, H.; Hansson, G.; Hansson, L.H.; Lerche, M.H.; Månsson, S.; Servin, R.; et al. Generating Highly Polarized Nuclear Spins in Solution Using Dynamic Nuclear Polarization. Nucl. Instrum. Methods Phys. Res. Sect. A Accel. Spectrometers Detect. Assoc. Equip. 2004, 526, 173–181. [Google Scholar] [CrossRef]
- Lipsø, K.W.; Bowen, S.; Rybalko, O.; Ardenkjær-Larsen, J.H. Large Dose Hyperpolarized Water with Dissolution-DNP at High Magnetic Field. J. Magn. Reson. 2017, 274, 65–72. [Google Scholar] [CrossRef]
- Pinon, A.C.; Capozzi, A.; Ardenkjær-Larsen, J.H. Hyperpolarized Water through Dissolution Dynamic Nuclear Polarization with UV-Generated Radicals. Commun. Chem. 2020, 3, 57. [Google Scholar] [CrossRef]
- Albannay, M.M.; Vinther, J.M.O.; Petersen, J.R.; Zhurbenko, V.; Ardenkjaer-Larsen, J.H. Compact, Low-Cost NMR Spectrometer and Probe for Dissolution DNP. J. Magn. Reson. 2019, 304, 7–15. [Google Scholar] [CrossRef]
- Comment, A.; van den Brandt, B.; Uffmann, K.; Kurdzesau, F.; Jannin, S.; Konter, J.A.; Hautle, P.; Wenckebach, W.T.; Gruetter, R.; van der Klink, J.J. Principles of Operation of a DNP Prepolarizer Coupled to a Rodent MRI Scanner. Appl. Magn. Reson. 2008, 34, 313–319. [Google Scholar] [CrossRef]
- Comment, A.; van den Brandt, B.; Uffmann, K.; Kurdzesau, F.; Jannin, S.; Konter, J.A.; Hautle, P.; Wenckebach, W.T.; Gruetter, R.; van der Klink, J.J. Design and Performance of a DNP Prepolarizer Coupled to a Rodent MRI Scanner. Concepts Magn. Reson. Part B Magn. Reson. Eng. 2007, 31B, 255–269. [Google Scholar] [CrossRef]
- Mishkovsky, M.; Anderson, B.; Karlsson, M.; Lerche, M.H.; Sherry, A.D.; Gruetter, R.; Kovacs, Z.; Comment, A. Measuring Glucose Cerebral Metabolism in the Healthy Mouse Using Hyperpolarized 13C Magnetic Resonance. Sci. Rep. 2017, 7, 11719. [Google Scholar] [CrossRef]
- Mishkovsky, M.; Comment, A. Hyperpolarized MRS: New Tool to Study Real-Time Brain Function and Metabolism. Anal. Biochem. 2017, 529, 270–277. [Google Scholar] [CrossRef] [PubMed]
- Chavarria, L.; Romero-Giménez, J.; Monteagudo, E.; Lope-Piedrafita, S.; Cordoba, J. Real-Time Assessment of 13C Metabolism Reveals an Early Lactate Increase in the Brain of Rats with Acute Liver Failure. NMR Biomed. 2015, 28, 17–23. [Google Scholar] [CrossRef]
- Nelson, S.J.; Kurhanewicz, J.; Vigneron, D.B.; Larson, P.E.Z.; Harzstark, A.L.; Ferrone, M.; Van Criekinge, M.; Chang, J.W.; Bok, R.; Park, I.; et al. Metabolic Imaging of Patients with Prostate Cancer Using Hyperpolarized [1-13C]Pyruvate. Sci. Transl. Med. 2013, 5, 198ra108. [Google Scholar] [CrossRef] [PubMed]
- Peeters, T.H.; Kobus, T.; Breukels, V.; Lenting, K.; Veltien, A.; Heerschap, A.; Scheenen, T.W.J. Imaging Hyperpolarized Pyruvate and Lactate after Blood–Brain Barrier Disruption with Focused Ultrasound. ACS Chem. Neurosci. 2019, 10, 2591–2601. [Google Scholar] [CrossRef]
- Bastiaansen, J.A.M.; Cheng, T.; Lei, H.; Gruetter, R.; Comment, A. Direct Noninvasive Estimation of Myocardial Tricarboxylic Acid Cycle Flux in Vivo Using Hyperpolarized 13C Magnetic Resonance. J. Mol. Cell. Cardiol. 2015, 87, 129–137. [Google Scholar] [CrossRef]
- Flori, A.; Liserani, M.; Frijia, F.; Giovannetti, G.; Lionetti, V.; Casieri, V.; Positano, V.; Aquaro, G.D.; Recchia, F.A.; Santarelli, M.F.; et al. Real-Time Cardiac Metabolism Assessed with Hyperpolarized [1-13C]Acetate in a Large-Animal Model. Contrast Media Mol. Imaging 2015, 10, 194–202. [Google Scholar] [CrossRef]
- Jensen, P.R.; Peitersen, T.; Karlsson, M.; in ’t Zandt, R.; Gisselsson, A.; Hansson, G.; Meier, S.; Lerche, M.H. Tissue-Specific Short Chain Fatty Acid Metabolism and Slow Metabolic Recovery after Ischemia from Hyperpolarized NMR in Vivo. J. Biol. Chem. 2009, 284, 36077–36082. [Google Scholar] [CrossRef]
- Hesketh, R.L.; Brindle, K.M. Magnetic Resonance Imaging of Cancer Metabolism with Hyperpolarized 13C-Labeled Cell Metabolites. Curr. Opin. Chem. Biol. 2018, 45, 187–194. [Google Scholar] [CrossRef]
- Karlsson, M.; Jensen, P.R.; Duus, J.Ø.; Meier, S.; Lerche, M.H. Development of Dissolution DNP-MR Substrates for Metabolic Research. Appl. Magn. Reson. 2012, 43, 223–236. [Google Scholar] [CrossRef]
- Park, J.M.; Wu, M.; Datta, K.; Liu, S.-C.; Castillo, A.; Lough, H.; Spielman, D.M.; Billingsley, K.L. Hyperpolarized Sodium [1-13C]-Glycerate as a Probe for Assessing Glycolysis In Vivo. J. Am. Chem. Soc. 2017, 139, 6629–6634. [Google Scholar] [CrossRef] [PubMed]
- Yoshihara, H.A.I.; Bastiaansen, J.A.M.; Karlsson, M.; Lerche, M.H.; Comment, A.; Schwitter, J. Detection of Myocardial Medium-chain Fatty Acid Oxidation and Tricarboxylic Acid Cycle Activity with Hyperpolarized [1–13C]Octanoate. NMR Biomed. 2020, 33, e4243. [Google Scholar] [CrossRef]
- Bornet, A.; Jannin, S. Optimizing Dissolution Dynamic Nuclear Polarization. J. Magn. Reson. 2016, 264, 13–21. [Google Scholar] [CrossRef]
- Jähnig, F.; Kwiatkowski, G.; Ernst, M. Conceptual and Instrumental Progress in Dissolution DNP. J. Magn. Reson. 2016, 264, 22–29. [Google Scholar] [CrossRef] [PubMed]
- Kouřil, K.; Kouřilová, H.; Bartram, S.; Levitt, M.H.; Meier, B. Scalable Dissolution-Dynamic Nuclear Polarization with Rapid Transfer of a Polarized Solid. Nat. Commun. 2019, 10, 1733. [Google Scholar] [CrossRef]
- Kurdzesau, F.; van den Brandt, B.; Comment, A.; Hautle, P.; Jannin, S.; van der Klink, J.J.; Konter, J.A. Dynamic Nuclear Polarization of Small Labelled Molecules in Frozen Water–Alcohol Solutions. J. Phys. D Appl. Phys. 2008, 41, 155506. [Google Scholar] [CrossRef]
- Belorizky, E.; Fries, P.H.; Helm, L.; Kowalewski, J.; Kruk, D.; Sharp, R.R.; Westlund, P.-O. Comparison of Different Methods for Calculating the Paramagnetic Relaxation Enhancement of Nuclear Spins as a Function of the Magnetic Field. J. Chem. Phys. 2008, 128, 052315. [Google Scholar] [CrossRef] [PubMed]
- Štěpánková, H.; Englich, J.; Štěpánek, J.; Kohout, J.; Pfeffer, M.; Černá, J.; Chlan, V.; Procházka, V.; Bunyatova, E.I. Nuclear Spin-Lattice Relaxations in Ethanol with Dissolved TEMPO Radicals. Acta Phys. Slovaca 2006, 56, 141–144. [Google Scholar]
- Ji, X.; Bornet, A.; Vuichoud, B.; Milani, J.; Gajan, D.; Rossini, A.J.; Emsley, L.; Bodenhausen, G.; Jannin, S. Transportable Hyperpolarized Metabolites. Nat. Commun. 2017, 8, 13975. [Google Scholar] [CrossRef] [PubMed]
- Razanahoera, A.; Sonnefeld, A.; Bodenhausen, G.; Sheberstov, K. Paramagnetic Relaxivity of Delocalized Long-Lived States of Protons in Chains of CH2 Groups. Magn. Reson. 2023, 4, 47–56. [Google Scholar] [CrossRef]
- Vasos, P.R.; Comment, A.; Sarkar, R.; Ahuja, P.; Jannin, S.; Ansermet, J.-P.; Konter, J.A.; Hautle, P.; van den Brandt, B.; Bodenhausen, G. Long-Lived States to Sustain Hyperpolarized Magnetization. Proc. Natl. Acad. Sci. USA 2009, 106, 18469–18473. [Google Scholar] [CrossRef] [PubMed]
- Warren, J.J.; Mayer, J.M. Surprisingly Long-Lived Ascorbyl Radicals in Acetonitrile: Concerted Proton-Electron Transfer Reactions and Thermochemistry. J. Am. Chem. Soc. 2008, 130, 7546–7547. [Google Scholar] [CrossRef]
- Capozzi, A.; Kilund, J.; Karlsson, M.; Patel, S.; Pinon, A.C.; Vibert, F.; Ouari, O.; Lerche, M.H.; Ardenkjær-Larsen, J.H. Metabolic Contrast Agents Produced from Transported Solid 13C-Glucose Hyperpolarized via Dynamic Nuclear Polarization. Commun. Chem. 2021, 4, 95. [Google Scholar] [CrossRef] [PubMed]
- Milani, J.; Vuichoud, B.; Bornet, A.; Miéville, P.; Mottier, R.; Jannin, S.; Bodenhausen, G. A Magnetic Tunnel to Shelter Hyperpolarized Fluids. Rev. Sci. Instrum. 2015, 86, 024101. [Google Scholar] [CrossRef] [PubMed]
- Capozzi, A.; Hyacinthe, J.N.; Cheng, T.; Eichhorn, T.R.; Boero, G.; Roussel, C.; Van Der Klink, J.J.; Comment, A. Photoinduced Nonpersistent Radicals as Polarizing Agents for X-Nuclei Dissolution Dynamic Nuclear Polarization. J. Phys. Chem. C 2015, 119, 22632–22639. [Google Scholar] [CrossRef]
- Capozzi, A.; Patel, S.; Gunnarsson, C.P.; Marco-Rius, I.; Comment, A.; Karlsson, M.; Lerche, M.H.; Ouari, O.; Ardenkjaer-Larsen, J.H. Efficient Hyperpolarization of U- 13 C-Glucose Using Narrow-Line UV-Generated Labile Free Radicals. Angew. Chem. Int. Ed. 2019, 58, 1334–1339. [Google Scholar] [CrossRef] [PubMed]
- Eichhorn, T.R.; Takado, Y.; Salameh, N.; Capozzi, A.; Cheng, T.; Hyacinthe, J.-N.; Mishkovsky, M.; Roussel, C.; Comment, A. Hyperpolarization without Persistent Radicals for in Vivo Real-Time Metabolic Imaging. Proc. Natl. Acad. Sci. USA 2013, 110, 18064–18069. [Google Scholar] [CrossRef]
- Baudouin, D.; van Kalkeren, H.A.; Bornet, A.; Vuichoud, B.; Veyre, L.; Cavaillès, M.; Schwarzwälder, M.; Liao, W.-C.; Gajan, D.; Bodenhausen, G.; et al. Cubic Three-Dimensional Hybrid Silica Solids for Nuclear Hyperpolarization. Chem. Sci. 2016, 7, 6846–6850. [Google Scholar] [CrossRef]
- Gajan, D.; Bornet, A.; Vuichoud, B.; Milani, J.; Melzi, R.; van Kalkeren, H.A.; Veyre, L.; Thieuleux, C.; Conley, M.P.; Gruning, W.R.; et al. Hybrid Polarizing Solids for Pure Hyperpolarized Liquids through Dissolution Dynamic Nuclear Polarization. Proc. Natl. Acad. Sci. USA 2014, 111, 14693–14697. [Google Scholar] [CrossRef]
- Cavaillès, M.; Bornet, A.; Jaurand, X.; Vuichoud, B.; Baudouin, D.; Baudin, M.; Veyre, L.; Bodenhausen, G.; Dumez, J.-N.; Jannin, S.; et al. Tailored Microstructured Hyperpolarizing Matrices for Optimal Magnetic Resonance Imaging. Angew. Chemie Int. Ed. 2018, 57, 7453–7457. [Google Scholar] [CrossRef]
- Cheng, T.; Mishkovsky, M.; Junk, M.J.N.; Münnemann, K.; Comment, A. Producing Radical-Free Hyperpolarized Perfusion Agents for In Vivo Magnetic Resonance Using Spin-Labeled Thermoresponsive Hydrogel. Macromol. Rapid Commun. 2016, 37, 1074–1078. [Google Scholar] [CrossRef]
- Harris, T.; Bretschneider, C.; Frydman, L. Dissolution DNP NMR with Solvent Mixtures: Substrate Concentration and Radical Extraction. J. Magn. Reson. 2011, 211, 96–100. [Google Scholar] [CrossRef]
- Miéville, P.; Ahuja, P.; Sarkar, R.; Jannin, S.; Vasos, P.R.; Gerber-Lemaire, S.; Mishkovsky, M.; Comment, A.; Gruetter, R.; Ouari, O.; et al. Scavenging Free Radicals to Preserve Enhancement and Extend Relaxation Times in NMR Using Dynamic Nuclear Polarization. Angew. Chem. Int. Ed. Engl. 2010, 49, 6182–6185. [Google Scholar] [CrossRef]
- Negroni, M.; Turhan, E.; Kress, T.; Ceillier, M.; Jannin, S.; Kurzbach, D. Frémy’s Salt as a Low-Persistence Hyperpolarization Agent: Efficient Dynamic Nuclear Polarization Plus Rapid Radical Scavenging. J. Am. Chem. Soc. 2022, 144, 20680–20686. [Google Scholar] [CrossRef] [PubMed]
- Liu, Y.-C.; Liu, Z.-L.; Han, Z.-X. Radical Intermediates and Antioxidant Activity of Ascorbic Acid. Rev. Chem. Intermed. 1988, 10, 269–289. [Google Scholar] [CrossRef]
- Cheng, T.; Mishkovsky, M.; Bastiaansen, J.A.M.; Ouari, O.; Hautle, P.; Tordo, P.; van den Brandt, B.; Comment, A. Automated Transfer and Injection of Hyperpolarized Molecules with Polarization Measurement Prior to in Vivo NMR. NMR Biomed. 2013, 26, 1582–1588. [Google Scholar] [CrossRef] [PubMed]
- Njus, D.; Kelley, P.M. Vitamins C and E Donate Single Hydrogen Atoms in Vivo. FEBS Lett. 1991, 284, 147–151. [Google Scholar] [CrossRef]
- Weinberg, D.R.; Gagliardi, C.J.; Hull, J.F.; Murphy, C.F.; Kent, C.A.; Westlake, B.C.; Paul, A.; Ess, D.H.; McCafferty, D.G.; Meyer, T.J. Proton-Coupled Electron Transfer. Chem. Rev. 2012, 112, 4016–4093. [Google Scholar] [CrossRef]
- Sajenko, I.; Pilepić, V.; Brala, C.J.; Ursić, S. Solvent Dependence of the Kinetic Isotope Effect in the Reaction of Ascorbate with the 2,2,6,6-Tetramethylpiperidine-1-Oxyl Radical: Tunnelling in a Small Molecule Reaction. J. Phys. Chem. A 2010, 114, 3423–3430. [Google Scholar] [CrossRef]
- Lin, Y.; Liu, W.; Ohno, H.; Ogata, T. Determination of Ascorbate Concentration in a Raw Leaf with Electron Spin Resonance Spectroscopy. Anal. Sci. 1999, 15, 973–977. [Google Scholar] [CrossRef]
- Okazaki, M.; Kuwata, K. A Stopped-Flow ESR Study on the Reactivity of Some Nitroxide Radicals with Ascorbic Acid in the Presence of B-Cyclodextrin. J. Phys. Chem. 1985, 89, 4437–4440. [Google Scholar] [CrossRef]
- Bielski, B.H.J.; Allen, A.O.; Schwarz, H.A. Mechanism of the Disproportionation of Ascorbate Radicals. J. Am. Chem. Soc. 1981, 103, 3516–3518. [Google Scholar] [CrossRef]
- Njus, D.; Kelley, P.M. The Secretory-Vesicle Ascorbate-Regenerating System: A Chain of Concerted H+/e(-)-Transfer Reactions. Biochim. Biophys. Acta 1993, 1144, 235–248. [Google Scholar] [CrossRef]
- Kerber, R.C. “As Simple as Possible, but Not Simpler”—The Case of Dehydroascorbic Acid. J. Chem. Educ. 2008, 85, 1237. [Google Scholar] [CrossRef]
- Kimoto, E.; Tanaka, H.; Ohmoto, T.; Choami, M. Analysis of the Transformation Products of Dehydro-L-Ascorbic Acid by Ion-Pairing High-Performance Liquid Chromatography. Anal. Biochem. 1993, 214, 38–44. [Google Scholar] [CrossRef]
- Creutz, C. The Complexities of Ascorbate as a Reducing Agent. Inorg. Chem. 1981, 20, 4449–4452. [Google Scholar] [CrossRef]
- Bobko, A.A.; Kirilyuk, I.A.; Grigor’ev, I.A.; Zweier, J.L.; Khramtsov, V.V. Reversible Reduction of Nitroxides to Hydroxylamines: Roles for Ascorbate and Glutathione. Free Radic. Biol. Med. 2007, 42, 404–412. [Google Scholar] [CrossRef]
- Sen’, V.D.; Golubev, V.A. Kinetics and Mechanism for Acid-Catalyzed Disproportionation of 2,2,6,6-Tetramethylpiperidine-1-Oxyl. J. Phys. Org. Chem. 2009, 22, 138–143. [Google Scholar] [CrossRef]
- Malatesta, V.; Ingold, K.U. Protonated Nitroxide Radicals. J. Am. Chem. Soc. 1973, 95, 6404–6407. [Google Scholar] [CrossRef]
- Hundshammer, C.; Grashei, M.; Greiner, A.; Glaser, S.J.; Schilling, F. PH Dependence of T 1 for 13 C-Labelled Small Molecules Commonly Used for Hyperpolarized Magnetic Resonance Imaging. ChemPhysChem 2019, 20, 798–802. [Google Scholar] [CrossRef]
- Hvoslef, J.; Pedersen, B. The Structure of Dehydroascorbic Acid in Solution. Acta Chem. Scand. B 1979, 33, 503–511. [Google Scholar] [CrossRef]
- Golubitskii, G.B.; Budko, E.V.; Basova, E.M.; Kostarnoi, A.V.; Ivanov, V.M. Stability of Ascorbic Acid in Aqueous and Aqueous--Organic Solutions for Quantitative Determination. J. Anal. Chem. 2007, 62, 742–747. [Google Scholar] [CrossRef]
- Ballereau, P.; Truong, D.; Matias, A. Absolute Falling Ball Viscometer, Adapted to the Low Viscosities of Liquids. Int. J. Metrol. Qual. Eng. 2016, 7, 305. [Google Scholar] [CrossRef][Green Version]
- Valtz, A.; de Meyer, F.; Coquelet, C. Density, Viscosity, and Excess Properties of Aqueous Solution of 1,3-Dimethyl-2-Imidazolidinone (DMI). J. Chem. Eng. Data 2023, 68, 781–792. [Google Scholar] [CrossRef]
- Glasoe, P.K.; Long, F.A. Use of Glass Electrodes to Measure Acidities in Deuterium Oxide. J. Phys. Chem. 1960, 64, 188–190. [Google Scholar] [CrossRef]
- Ball, E.G. Studies on Oxidation-Reduction XXIII. Ascorbic Acid. J. Biol. Chem. 1937, 118, 219–239. [Google Scholar] [CrossRef]
- Haynes, W.M.; Lide, D.R.; Bruno, T.J. (Eds.) Thermochemistry, Electrochemistry, and Solution Chemistry. In CRC Handbook of Chemistry and Physics; CRC Press: Boca Raton, FL, USA, 2012; Chapter 5; pp. (5-1)–(5-206). [Google Scholar]
- Israeli, A.; Patt, M.; Oron, M.; Samuni, A.; Kohen, R.; Goldstein, S. Kinetics and Mechanism of the Comproportionation Reaction between Oxoammonium Cation and Hydroxylamine Derived from Cyclic Nitroxides. Free Radic. Biol. Med. 2005, 38, 317–324. [Google Scholar] [CrossRef] [PubMed]
- Niwa, K.; Toda, S.; Fuwa, K.; Haraguchi, H. A Study of Dissociations of Glycinepeptides in D2O Solution by Nuclear Magnetic Resonance Spectroscopy. Agric. Biol. Chem. 1977, 41, 1287–1294. [Google Scholar] [CrossRef]








| c/mM | |||||||||||
|---|---|---|---|---|---|---|---|---|---|---|---|
| Nominal | Measured by 1H NMR | pD | η/mPa·s | ||||||||
| Gly | AA | TEMPOL | Gly | AA | TEMPOL-H | H2O | exp | calc | 25 °C | 37 °C | |
| unlabelled glycine | 200 | 0 | 0 | 191 | 240 | 7.62 | 7.14 | 1.141 | 0.875 | ||
| 200 | 200 | 0 | 203 | 200 | 520 | 3.85 | 3.78 | 1.218 | 0.929 | ||
| 200 | 0 | 2 | 192 | 1.7 | 470 | 7.68 | 7.14 | 1.141 | 0.876 | ||
| 200 | 200 | 2 | 203 | 195 | 1.8 | 580 | 3.84 | 3.81 | 1.222 | 0.934 | |
| 200 | 0 | 4 | 194 | 3.5 | 520 | 7.44 | 7.14 | 1.138 | 0.874 | ||
| 200 | 200 | 4 | 204 | 195 | 3.6 | 550 | 3.93 | 3.82 | 1.223 | 0.933 | |
| [1-13C]-glycine | 200 | 0 | 0 | 196 | 680 | 7.60 | 7.14 | 1.155 | 0.887 | ||
| 200 | 200 | 0 | 207 | 199 | 910 | 3.89 | 3.78 | 1.233 | 0.942 | ||
| 200 | 0 | 5 | 210 | 5.1 | 660 | 7.76 | 7.14 | 1.153 | 0.885 | ||
| 200 | 200 | 5 | 202 | 193 | 4.5 | 660 | 4.01 | 3.86 | 1.241 | 0.946 | |
| 200 | 0 | 10 | 204 | 9.4 | 1180 | 7.60 | 7.14 | 1.144 | 0.875 | ||
| 200 | 200 | 10 | 209 | 199 | 9.5 | 940 | 3.95 | 3.94 | 1.240 | 0.946 | |
| [2-13C]-glycine | 200 | 0 | 0 | 200 | 710 | 7.54 | 7.14 | 1.139 | 0.873 | ||
| 200 | 200 | 0 | 210 | 200 | 930 | 3.85 | 3.78 | 1.230 | 0.937 | ||
| 200 | 0 | 25 | 199 | 22.4 | 990 | 7.41 | 7.14 | 1.167 | 0.897 | ||
| 200 | 200 | 25 | 197 | 186 | 22.9 | 630 | 4.08 | 4.16 | 1.251 | 0.953 | |
| 200 | 0 | 50 | 202 | 44.9 | 940 | 7.51 | 7.14 | 1.181 | 0.902 | ||
| 200 | 200 | 50 | 210 | 180 | 47 | 1070 | 4.21 | 4.48 | 1.276 | 0.970 | |
| r1/s–1 M–1 | r2/s–1 M–1 | |||
|---|---|---|---|---|
| 25 °C | 37 °C | 25 °C | 37 °C | |
| Glycine-1-13C | 7.7 ± 0.4 | 5.8 ± 0.3 | 12 ± 2 | 9 ± 2 |
| Glycine-2-13C | 9.7 ± 0.7 | 7.1 ± 0.6 | 19 ± 1 | 14 ± 1 |
| Glycine-2-1H | 121 ± 3 | 95 ± 2 | 179 ± 4 | 137 ± 2 |
| TMSP-1H | 209 ± 5 | 195 ± 4 | 290 ± 6 | 221 ± 5 |
Disclaimer/Publisher’s Note: The statements, opinions and data contained in all publications are solely those of the individual author(s) and contributor(s) and not of MDPI and/or the editor(s). MDPI and/or the editor(s) disclaim responsibility for any injury to people or property resulting from any ideas, methods, instructions or products referred to in the content. |
© 2024 by the authors. Licensee MDPI, Basel, Switzerland. This article is an open access article distributed under the terms and conditions of the Creative Commons Attribution (CC BY) license (https://creativecommons.org/licenses/by/4.0/).
Share and Cite
Římal, V.; Bunyatova, E.I.; Štěpánková, H. Efficient Scavenging of TEMPOL Radical by Ascorbic Acid in Solution and Related Prolongation of 13C and 1H Nuclear Spin Relaxation Times of the Solute. Molecules 2024, 29, 738. https://doi.org/10.3390/molecules29030738
Římal V, Bunyatova EI, Štěpánková H. Efficient Scavenging of TEMPOL Radical by Ascorbic Acid in Solution and Related Prolongation of 13C and 1H Nuclear Spin Relaxation Times of the Solute. Molecules. 2024; 29(3):738. https://doi.org/10.3390/molecules29030738
Chicago/Turabian StyleŘímal, Václav, Eleonora I. Bunyatova, and Helena Štěpánková. 2024. "Efficient Scavenging of TEMPOL Radical by Ascorbic Acid in Solution and Related Prolongation of 13C and 1H Nuclear Spin Relaxation Times of the Solute" Molecules 29, no. 3: 738. https://doi.org/10.3390/molecules29030738
APA StyleŘímal, V., Bunyatova, E. I., & Štěpánková, H. (2024). Efficient Scavenging of TEMPOL Radical by Ascorbic Acid in Solution and Related Prolongation of 13C and 1H Nuclear Spin Relaxation Times of the Solute. Molecules, 29(3), 738. https://doi.org/10.3390/molecules29030738

