Novel Copper(II) Coordination Compounds Containing Pyridine Derivatives of N4-Methoxyphenyl-Thiosemicarbazones with Selective Anticancer Activity
Abstract
1. Introduction
2. Results and Discussion
2.1. Structure Description of HL2, HL3, HL5, and Complex C3a
2.2. Biological Activity
2.2.1. Anticancer Activity and Selectivity
2.2.2. Antioxidant Activity
2.2.3. In Vivo Toxicity
3. Materials and Methods
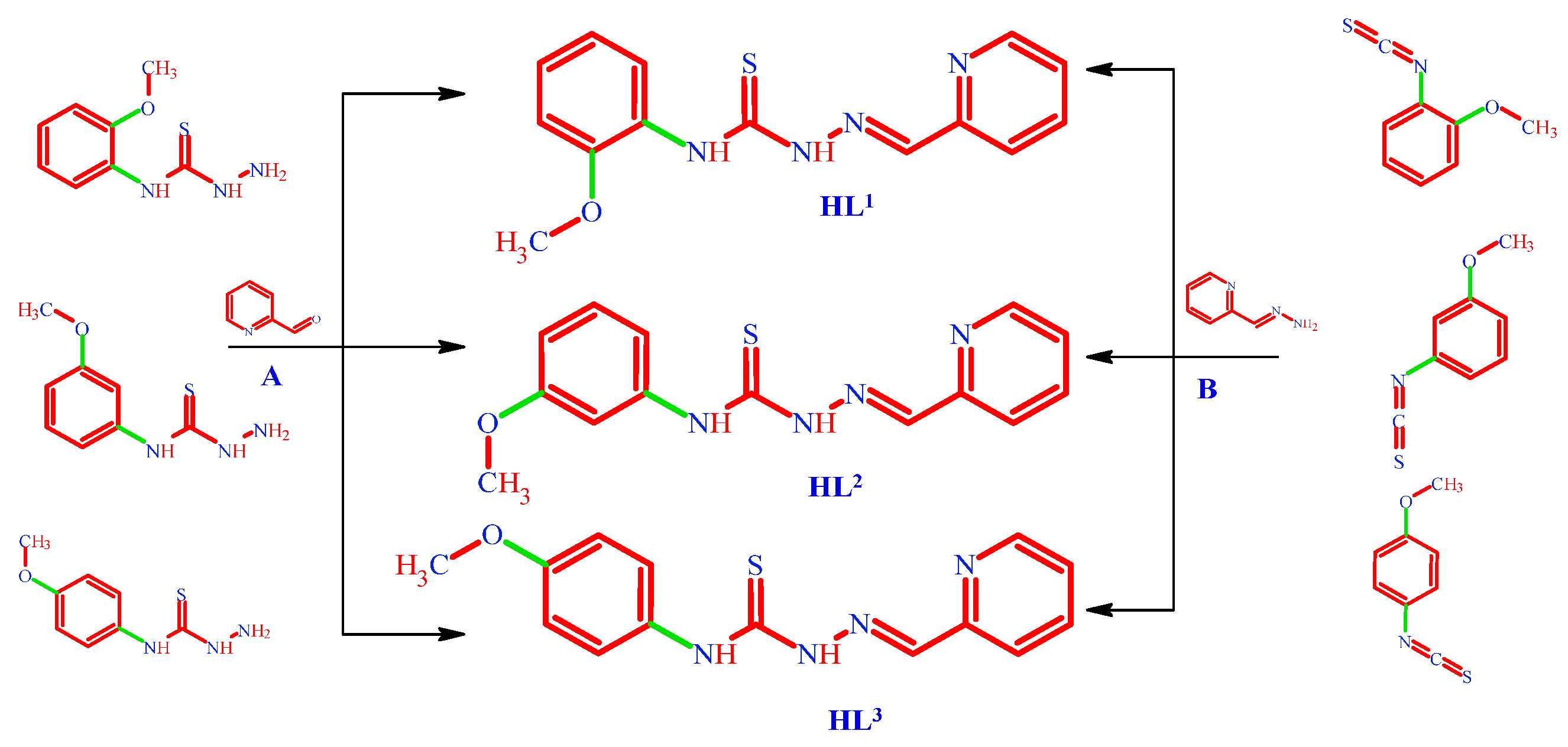
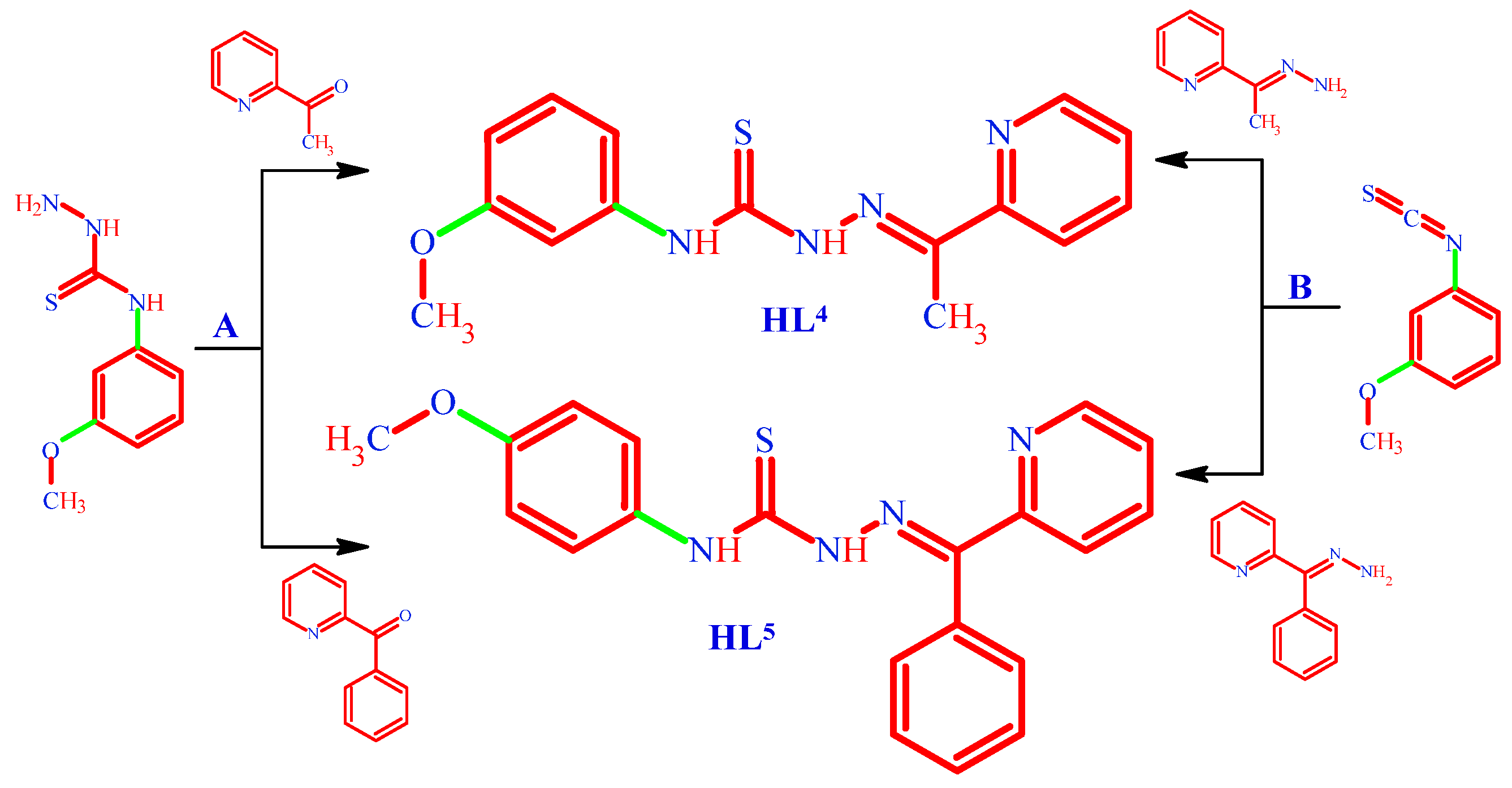
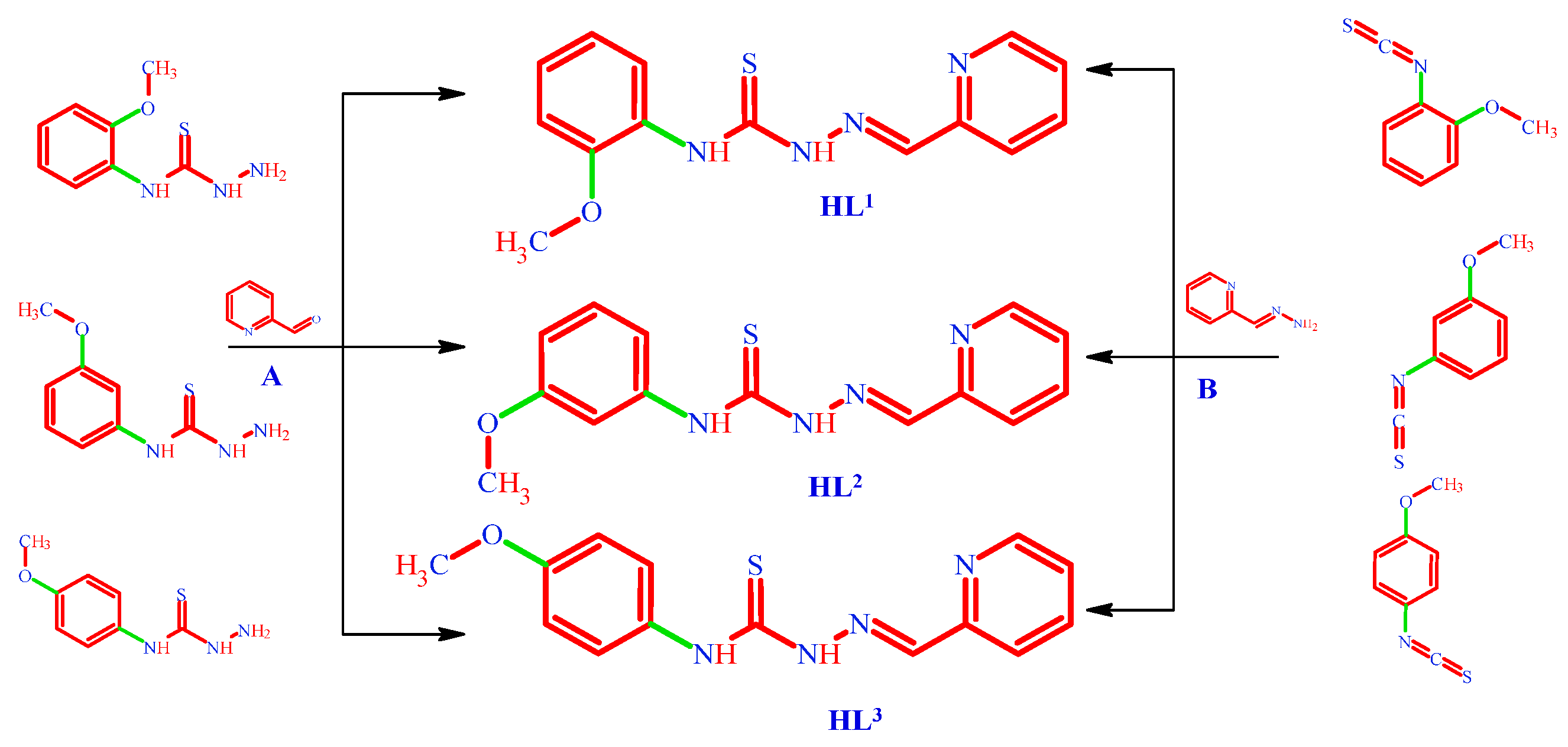
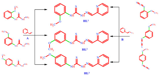
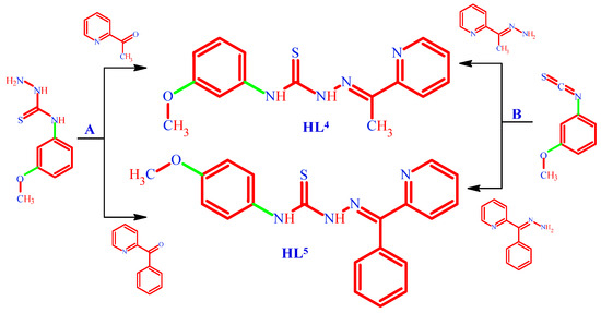
3.1. Synthesis
3.2. Synthesis and Characterization of the Complexes (C1–10)
3.3. FT-IR Spectroscopy
3.4. NMR Spectroscopy
3.5. Molar Conductivity
3.6. Melting Point
3.7. Thin Layer Chromatography
3.8. X-Ray Crystallography
3.9. Cell Proliferation Resazurin Assay
3.10. Cell Proliferation MTT Assay
3.11. ABTS•+ Radical Cation Scavenging Assay
3.12. Acute Toxicity Assay Against Daphnia magna
3.13. Statistical Analysis
4. Conclusions
Supplementary Materials
Author Contributions
Funding
Institutional Review Board Statement
Informed Consent Statement
Data Availability Statement
Conflicts of Interest
References
- Islam, B.; Islam, I.; Nath, N.; Emran, T.B.; Rahman, R.; Sharma, R.; Matin, M.M. Recent Advances in Pyridine Scaffold: Focus on Chemistry, Synthesis, and Antibacterial Activities. BioMed Res. Int. 2023, 2023, 9967591. [Google Scholar] [CrossRef] [PubMed]
- Fuior, A.; Cebotari, D.; Haouas, M.; Marrot, J.; Espallargas, G.M.; Guérineau, V.; Touboul, D.; Rusnac, R.V.; Gulea, A.; Floquet, S. Synthesis, Structures, and Solution Studies of a New Class of [Mo2O2S2]-Based Thiosemicarbazone Coordination Complexes. ACS Omega 2022, 7, 16547–16560. [Google Scholar] [CrossRef] [PubMed]
- Soares, M.A.; Lessa, J.A.; Mendes, I.C.; Da Silva, J.G.; Dos Santos, R.G.; Salum, L.B.; Daghestani, H.; Andricopulo, A.D.; Day, B.W.; Vogt, A.; et al. N4-Phenyl-Substituted 2-Acetylpyridine Thiosemicarbazones: Cytotoxicity against Human Tumor Cells, Structure-Activity Relationship Studies and Investigation on the Mechanism of Action. Bioorg. Med. Chem. 2012, 20, 3396–3409. [Google Scholar] [CrossRef] [PubMed]
- Biot, C.; Pradines, B.; Sergeant, M.H.; Gut, J.; Rosenthal, P.J.; Chibale, K. Design, Synthesis, and Antimalarial Activity of Structural Chimeras of Thiosemicarbazone and Ferroquine Analogues. Bioorg. Med. Chem. Lett. 2007, 17, 6434–6438. [Google Scholar] [CrossRef] [PubMed]
- Klenc, J.; Raux, E.; Barnes, S.; Sullivan, S.; Duszynska, B.; Bojarski, A.J.; Strekowski, L. Synthesis of 4-Substituted 2-(4-Methylpiperazino)Pyrimidines and Quinazoline Analogs as Serotonin 5-HT2A Receptor Ligands. J. Heterocycl. Chem. 2009, 46, 1259–1265. [Google Scholar] [CrossRef]
- Cunha, S.; Silva, T.L.d. One-Pot and Catalyst-Free Synthesis of Thiosemicarbazones via Multicomponent Coupling Reactions. Tetrahedron Lett. 2009, 50, 2090–2093. [Google Scholar] [CrossRef]
- Zhang, X.-H.; Bo-Wang; Tao, Y.-Y.; Ma, Q.; Wang, H.-J.; He, Z.-X.; Wu, H.-P.; Li, Y.-H.; Zhao, B.; Ma, L.-Y.; et al. Thiosemicarbazone-Based Lead Optimization to Discover High-Efficiency and Low-Toxicity Anti-Gastric Cancer Agents. Eur. J. Med. Chem. 2020, 199, 112349. [Google Scholar] [CrossRef]
- Ilies, D.C.; Pahontu, E.; Shova, S.; Georgescu, R.; Stanica, N.; Olar, R.; Gulea, A.; Rosu, T. Synthesis, Characterization, Crystal Structure and Antimicrobial Activity of Copper(II) Complexes with a Thiosemicarbazone Derived from 3-Formyl-6-Methylchromone. Polyhedron 2014, 81, 123–131. [Google Scholar] [CrossRef]
- Gulea, A.; Poirier, D.; Roy, J.; Stavila, V.; Bulimestru, I.; Tapcov, V.; Birca, M.; Popovschi, L. In Vitro Antileukemia, Antibacterial and Antifungal Activities of Some 3d Metal Complexes: Chemical Synthesis and Structure—Activity Relationships. J. Enzym. Inhib. Med. Chem. 2008, 23, 806–818. [Google Scholar] [CrossRef]
- Pahontu, E.; Julea, F.; Rosu, T.; Purcarea, V.; Chumakov, Y.; Petrenco, P.; Gulea, A. Antibacterial, Antifungal and in Vitro Antileukaemia Activity of Metal Complexes with Thiosemicarbazones. J. Cell. Mol. Med. 2015, 19, 865–878. [Google Scholar] [CrossRef]
- Bacher, F.; Dömötör, O.; Enyedy, É.A.; Filipović, L.; Radulović, S.; Smith, G.S.; Arion, V.B. Complex Formation Reactions of Gallium(III) and Iron(III/II) with L-Proline-Thiosemicarbazone Hybrids: A Comparative Study. Inorg. Chim. Acta 2017, 455, 505–513. [Google Scholar] [CrossRef][Green Version]
- Dobrov, A.; Fesenko, A.; Yankov, A.; Stepanenko, I.; Darvasiová, D.; Breza, M.; Rapta, P.; Martins, L.M.D.R.S.; Pombeiro, A.J.L.; Shutalev, A.; et al. Nickel(II), Copper(II) and Palladium(II) Complexes with Bis-Semicarbazide Hexaazamacrocycles: Redox-Noninnocent Behavior and Catalytic Activity in Oxidation and C–C Coupling Reactions. Inorg. Chem. 2020, 59, 10650–10664. [Google Scholar] [CrossRef] [PubMed]
- Kowol, C.R.; Berger, R.; Eichinger, R.; Roller, A.; Jakupec, M.A.; Schmidt, P.P.; Arion, V.B.; Keppler, B.K. Gallium(III) and Iron(III) Complexes of α-N-Heterocyclic Thiosemicarbazones: Synthesis, Characterization, Cytotoxicity, and Interaction with Ribonucleotide Reductase. J. Med. Chem. 2007, 50, 1254–1265. [Google Scholar] [CrossRef] [PubMed]
- Patel, E.N.; Lin, L.; Park, H.; Sneller, M.M.; Eubanks, L.M.; Tepp, W.H.; Pellet, S.; Janda, K.D. Investigations of Thiosemicarbazides as Botulinum Toxin Active-Site Inhibitors: Enzyme, Cellular, and Rodent Intoxication Studies. ACS Infect. Dis. 2024, 10, 3744–3750. [Google Scholar] [CrossRef]
- Köhler, S.C.; Wiese, M. HM30181 Derivatives as Novel Potent and Selective Inhibitors of the Breast Cancer Resistance Protein (BCRP/ABCG2). J. Med. Chem. 2015, 58, 3910–3921. [Google Scholar] [CrossRef]
- Andreu, J.M.; Perez-Ramirez, B.; Gorbunoff, M.J.; Ayala, D.; Timasheff, S.N. Role of the Colchicine Ring A and Its Methoxy Groups in the Binding to Tubulin and Microtubule Inhibition. Biochemistry 1998, 37, 8356–8368. [Google Scholar] [CrossRef]
- Dong, X.; Sun, Q.; Shi, X.; Yin, Z.; Zeng, B.; Huang, Z.; Li, X. Co-Modification of Engineered Cellulose Surfaces Using Antibacterial Copper-Thiosemicarbazone Complexes and Flame Retardants. Surf. Interfaces 2024, 51, 104688. [Google Scholar] [CrossRef]
- Alam, M.; Abser, M.N.; Kumer, A.; Bhuiyan, M.M.H.; Akter, P.; Hossain, M.E.; Chakma, U. Synthesis, Characterization, Antibacterial Activity of Thiosemicarbazones Derivatives and Their Computational Approaches: Quantum Calculation, Molecular Docking, Molecular Dynamic, ADMET, QSAR. Heliyon 2023, 9, e16222. [Google Scholar] [CrossRef]
- Kumar, S.; Hansda, A.; Chandra, A.; Kumar, A.; Kumar, M.; Sithambaresan, M.; Faizi, M.S.H.; Kumar, V.; John, R.P. Co(II), Ni(II), Cu(II) and Zn(II) Complexes of Acenaphthoquinone 3-(4-Benzylpiperidyl)Thiosemicarbazone: Synthesis, Structural, Electrochemical and Antibacterial Studies. Polyhedron 2017, 134, 11–21. [Google Scholar] [CrossRef]
- Shoukat, W.; Hussain, M.; Ali, A.; Shafiq, N.; Chughtai, A.H.; Shakoor, B.; Moveed, A.; Shoukat, M.N.; Milošević, M.; Mohany, M. Design, Synthesis, Characterization and Biological Screening of Novel Thiosemicarbazones and Their Derivatives with Potent Antibacterial and Antidiabetic Activities. J. Mol. Struct. 2025, 1320, 139614. [Google Scholar] [CrossRef]
- Sharma, N.; Dhingra, N.; Singh, H.L. Design, Spectral, Antibacterial and in-Silico Studies of New Thiosemicarbazones and Semicarbazones Derived from Symmetrical Chalcones. J. Mol. Struct. 2024, 1307, 138000. [Google Scholar] [CrossRef]
- Terenti, N.; Lazarescu, A.; Shova, S.; Bourosh, P.; Nedelko, N.; Ślawska-Waniewska, A.; Zariciuc, E.; Lozan, V. Synthesis, X-Ray and Antibacterial Activity of New Copper(II) Thiosemicarbazone Complexes Derived from 4-Formyl-3-Hydroxy-2-Naphthoic Acid. Inorg. Chim. Acta 2024, 571, 122216. [Google Scholar] [CrossRef]
- Damit, N.S.H.H.; Hamid, M.H.S.A.; Rahman, N.S.R.H.A.; Ilias, S.N.H.H.; Keasberry, N.A. Synthesis, Structural Characterisation and Antibacterial Activities of Lead(II) and Some Transition Metal Complexes Derived from Quinoline-2-Carboxaldehyde 4-Methyl-3-Thiosemicarbazone. Inorg. Chim. Acta 2021, 527, 120557. [Google Scholar] [CrossRef]
- Zhao, Z.; Shi, Z.; Liu, M.; Liu, X. Microwave-Assisted Synthesis and in Vitro Antibacterial Activity of Novel Steroidal Thiosemicarbazone Derivatives. Bioorg. Med. Chem. Lett. 2012, 22, 7730–7734. [Google Scholar] [CrossRef] [PubMed]
- Soraires Santacruz, M.C.; Fabiani, M.; Castro, E.F.; Cavallaro, L.V.; Finkielsztein, L.M. Synthesis, Antiviral Evaluation and Molecular Docking Studies of N4-Aryl Substituted/Unsubstituted Thiosemicarbazones Derived from 1-Indanones as Potent Anti-Bovine Viral Diarrhea Virus Agents. Bioorg. Med. Chem. 2017, 25, 4055–4063. [Google Scholar] [CrossRef]
- Xu, Y.S.; Chigan, J.Z.; Li, J.Q.; Ding, H.H.; Sun, L.Y.; Liu, L.; Hu, Z.; Yang, K.W. Hydroxamate and Thiosemicarbazone: Two Highly Promising Scaffolds for the Development of SARS-CoV-2 Antivirals. Bioorg. Chem. 2022, 124, 105799. [Google Scholar] [CrossRef]
- Atasever-Arslan, B.; Kaya, B.; Şahin, O.; Ülküseven, B. A Square Planar Cobalt(II)-Thiosemicarbazone Complex. Synthesis, Characterization, Antiviral and Anti-Inflammatory Potential. J. Mol. Struct. 2025, 1321, 140109. [Google Scholar] [CrossRef]
- Li, A.; Huang, K.; Pan, W.; Wu, Y.; Liang, Y.; Zhang, Z.; Wu, D.; Ma, L.; Gou, Y. Thiosemicarbazone Mixed-Valence Cu(I/II) Complex against Lung Adenocarcinoma Cells through Multiple Pathways Involving Cuproptosis. J. Med. Chem. 2024, 67, 9091–9103. [Google Scholar] [CrossRef]
- Cebotari, D.; Calancea, S.; Garbuz, O.; Balan, G.; Marrot, J.; Shova, S.; Guérineau, V.; Touboul, D.; Tsapkov, V.; Gulea, A.; et al. Synthesis, Structure and Biological Properties of a Series of Dicopper(Bis-Thiosemicarbazone) Complexes. New J. Chem. 2024, 48, 12043–12053. [Google Scholar] [CrossRef]
- Tiwari, L.; Leach, C.; Williams, A.; Lighter, B.; Heiden, Z.; Roll, M.F.; Moberly, J.G.; Cornell, K.A.; Waynant, K.V. Binding Mechanisms and Therapeutic Activity of Heterocyclic Substituted Arylazothioformamide Ligands and Their Cu(I) Coordination Complexes. ACS Omega 2024, 9, 37141–37154. [Google Scholar] [CrossRef]
- Matsa, R.; Makam, P.; Kaushik, M.; Hoti, S.L.; Kannan, T. Thiosemicarbazone Derivatives: Design, Synthesis and in Vitro Antimalarial Activity Studies. Eur. J. Pharm. Sci. 2019, 137, 104986. [Google Scholar] [CrossRef] [PubMed]
- Savir, S.; Liew, J.W.K.; Vythilingam, I.; Lim, Y.A.L.; Tan, C.H.; Sim, K.S.; Lee, V.S.; Maah, M.J.; Tan, K.W. Nickel(II) Complexes with Polyhydroxybenzaldehyde and O,N,S Tridentate Thiosemicarbazone Ligands: Synthesis, Cytotoxicity, Antimalarial Activity, and Molecular Docking Studies. J. Mol. Struct. 2021, 1242, 130815. [Google Scholar] [CrossRef]
- Subhashree, G.R.; Haribabu, J.; Saranya, S.; Yuvaraj, P.; Anantha Krishnan, D.; Karvembu, R.; Gayathri, D. In Vitro Antioxidant, Antiinflammatory and in Silico Molecular Docking Studies of Thiosemicarbazones. J. Mol. Struct. 2017, 1145, 160–169. [Google Scholar] [CrossRef]
- Aly, A.A.; Abdallah, E.M.; Ahmed, S.A.; Rabee, M.M.; Bräse, S. Transition Metal Complexes of Thiosemicarbazides, Thiocarbohydrazides, and Their Corresponding Carbazones with Cu(I), Cu(II), Co(II), Ni(II), Pd(II), and Ag(I)—A Review. Molecules 2023, 28, 1808. [Google Scholar] [CrossRef] [PubMed]
- Piri, Z.; Moradi-Shoeili, Z.; Assoud, A. New Copper(II) Complex with Bioactive 2–Acetylpyridine-4N-p-Chlorophenylthiosemicarbazone Ligand: Synthesis, X-Ray Structure, and Evaluation of Antioxidant and Antibacterial Activity. Inorg. Chem. Commun. 2017, 84, 122–126. [Google Scholar] [CrossRef]
- Oliveira, A.A.; Franco, L.L.; Dos Santos, R.G.; Perdigão, G.M.C.; Da Silva, J.G.; Souza-Fagundes, E.M.; Beraldo, H. Neutron Activation of In(III) Complexes with Thiosemicarbazones Leads to the Production of Potential Radiopharmaceuticals for the Treatment of Breast Cancer. New J. Chem. 2017, 41, 9041–9050. [Google Scholar] [CrossRef]
- Kaya, B.; Gholam Azad, M.; Suleymanoglu, M.; Harmer, J.R.; Wijesinghe, T.P.; Richardson, V.; Zhao, X.; Bernhardt, P.V.; Dharmasivam, M.; Richardson, D.R. Isosteric Replacement of Sulfur to Selenium in a Thiosemicarbazone: Promotion of Zn(II) Complex Dissociation and Transmetalation to Augment Anticancer Efficacy. J. Med. Chem. 2024, 67, 12155–12183. [Google Scholar] [CrossRef]
- Porte, V.; Milunovic, M.N.M.; Knof, U.; Leischner, T.; Danzl, T.; Kaiser, D.; Gruene, T.; Zalibera, M.; Jelemenska, I.; Bucinsky, L.; et al. Chemical and Redox Noninnocence of Pentane-2,4-Dione Bis(S-Methylisothiosemicarbazone) in Cobalt Complexes and Their Application in Wacker-Type Oxidation. JACS Au 2024, 4, 1166–1183. [Google Scholar] [CrossRef]
- Milunovic, M.N.M.; Ohui, K.; Besleaga, I.; Petrasheuskaya, T.V.; Dömötör, O.; Enyedy, É.A.; Darvasiova, D.; Rapta, P.; Barbieriková, Z.; Vegh, D.; et al. Copper(II) Complexes with Isomeric Morpholine-Substituted 2-Formylpyridine Thiosemicarbazone Hybrids as Potential Anticancer Drugs Inhibiting Both Ribonucleotide Reductase and Tubulin Polymerization: The Morpholine Position Matters. J. Med. Chem. 2024, 67, 9069–9090. [Google Scholar] [CrossRef]
- Lukmantara, A.Y.; Kalinowski, D.S.; Kumar, N.; Richardson, D.R. Structure-Activity Studies of 4-Phenyl-Substituted 2′-Benzoylpyridine Thiosemicarbazones with Potent and Selective Anti-Tumour Activity. Org. Biomol. Chem. 2013, 11, 6414–6425. [Google Scholar] [CrossRef]
- Lighvan, Z.M.; Ramezanpour, A.; Pirani, S.; Akbari, A.; Jahromi, M.D.; Kermagoret, A.; Heydari, A. Synthesis of Tetranuclear Cyclopalladated Complex Using Thiosemicarbazone Derivative Ligand: Spectral, Biological and Molecular Docking Studies. J. Mol. Struct. 2025, 1321, 139932. [Google Scholar] [CrossRef]
- Abreu, K.R.; Viana, J.R.; Oliveira Neto, J.G.; Dias, T.G.; Reis, A.S.; Lage, M.R.; da Silva, L.M.; de Sousa, F.F.; dos Santos, A.O. Exploring Thermal Stability, Vibrational Properties, and Biological Assessments of Dichloro(l-Histidine)Copper(II): A Combined Theoretical and Experimental Study. ACS Omega 2024, 9, 43488–43502. [Google Scholar] [CrossRef] [PubMed]
- Beraldo, H.; Nacif, W.F.; West, D.X. Spectral Studies of Semicarbazones Derived from 3- and 4-Formylpyridine and 3- and 4-Acetylpyridine: Crystal and Molecular Structure of 3-Formylpyridine Semicarbazone. Spectrochim. Acta Part A Mol. Biomol. Spectrosc. 2001, 57, 1847–1854. [Google Scholar] [CrossRef] [PubMed]
- West, D.X.; Iii, J.J.I.; Kozub, N.M.; Bain, G.A.; Liberta, A.E. Copper(II) complexes of 2-formyl-, 2-acetyl- and 2-benzoyl-pyridine N(4)-phenyl-, N(4)-o-methoxyphenyl-, N(4)-p-methoxy-phenyl- and N(4)-p-nitrophenylthiosemicarbazones. Transit. Met. Chem. 1996, 21, 213–218. [Google Scholar] [CrossRef]
- Ketcham, K.A.; Swearingen, J.K.; Castieiras, A.; Garcia, I.; Bermejo, E.; West, D.X. Iron(III), Cobalt(II,III), Copper(II) and Zinc(II) Complexes of 2-Pyridineformamide 3-Piperidylthiosemicarbazone. Polyhedron 2001, 20, 3265–3273. [Google Scholar] [CrossRef]
- Muğlu, H. Synthesis, Spectroscopic Characterization, DFT Studies and Antioxidant Activity of New 5-Substituted Isatin/Thiosemicarbazones. J. Mol. Struct. 2025, 1322, 140406. [Google Scholar] [CrossRef]
- Arion, V.B. Coordination Chemistry of S-Substituted Isothiosemicarbazides and Isothiosemicarbazones. Coord. Chem. Rev. 2019, 387, 348–397. [Google Scholar] [CrossRef]
- Farzaliyeva, A.; Şenol, H.; Taslimi, P.; Çakır, F.; Farzaliyev, V.; Sadeghian, N.; Mamedov, I.; Sujayev, A.; Maharramov, A.; Alwasel, S.; et al. Synthesis and Biological Studies of Acetophenone-Based Novel Chalcone, Semicarbazone, Thiosemicarbazone and Indolone Derivatives: Structure-Activity Relationship, Molecular Docking, Molecular Dynamics, and Kinetic Studies. J. Mol. Struct. 2025, 1321, 140197. [Google Scholar] [CrossRef]
- Graur, I.; Graur, V.; Cadin, M.; Garbuz, O.; Bourosh, P.; Melnic, E.; Lozan-Tirsu, C.; Balan, G.; Tsapkov, V.; Fala, V.; et al. Synthesis and Characterization of Copper(II) and Nickel(II) Complexes with 3-(Morpholin-4-yl)propane-2,3-dione 4-Allylthiosemicarbazone Exploring the Antibacterial, Antifungal and Antiradical Properties. Molecules 2024, 29, 3903. [Google Scholar] [CrossRef]
- Chatterjee, K.; Zhang, J.; Honbo, N.; Karliner, J.S. Doxorubicin Cardiomyopathy. Cardiology 2010, 115, 155–162. [Google Scholar] [CrossRef]
- Reszka, K.J.; Britigan, B.E. Doxorubicin Inhibits Oxidation of 2,2′-Azino-Bis(3-Ethylbenzothiazoline-6-Sulfonate) (ABTS) by a Lactoperoxidase/H2O2 System by Reacting with ABTS-Derived Radical. Arch. Biochem. Biophys. 2007, 466, 164–171. [Google Scholar] [CrossRef] [PubMed]
- Kruidering, M.; Van De Water, B.; De Heer, E.; Mulder, G.J.; Nagelkerke, J.F. Cisplatin-Induced Nephrotoxicity in Porcine Proximal Tubular Cells: Mitochondrial Dysfunction by Inhibition of Complexes I to IV of the Respiratory Chain. J. Pharmacol. Exp. Ther. 1997, 280, 638–649. [Google Scholar] [PubMed]
- Zhang, J.G.; Lindup, W.E. Cisplatin Nephrotoxicity: Decreases in Mitochondrial Protein Sulphydryl Concentration and Calcium Uptake by Mitochondria from Rat Renal Cortical Slices. Biochem. Pharmacol. 1994, 47, 1127–1135. [Google Scholar] [CrossRef] [PubMed]
- Kaiafa, G.D.; Saouli, Z.; Diamantidis, M.D.; Kontoninas, Z.; Voulgaridou, V.; Raptaki, M.; Arampatzi, S.; Chatzidimitriou, M.; Perifanis, V. Copper Levels in Patients with Hematological Malignancies. Eur. J. Intern. Med. 2012, 23, 738–741. [Google Scholar] [CrossRef]
- Pan, Q.; Kleer, C.G.; Van Golen, K.L.; Irani, J.; Bottema, K.M.; Bias, C.; De Carvalho, M.; Mesri, E.A.; Robins, D.M.; Dick, R.D.; et al. Copper Deficiency Induced by Tetrathiomolybdate Suppresses Tumor Growth and Angiogenesis. Cancer Res. 2002, 62, 4854–4859. [Google Scholar]
- Garbuz, O.; Graur, V.; Graur, I.; Railean, N.; Toderas, I.; Pahontu, E.; Ceban, I.; Jinga, V.; Istrati, D.; Ceban, E.; et al. Biological Activity of Copper(II) Complex (2-((2-(Prop-2-En-1-Ylcarbamothioyl)Hydrazinylidene)Methyl)Phenolato)-Chloro-Copper(II) Monohydrate. J. Cancer Sci. Clin. Ther. 2024, 8, 287–294. [Google Scholar] [CrossRef]
- Gulea, A.; Toderas, I.; Garbuz, O.; Ulchina, I.; Graur, V.; Railean, N. Biological Evaluation of a Series of Amine-Containing Mixed-Ligand Copper(II) Coordination Compounds with 2-(2-Hydroxybenzylidene)-N-(Prop-2-En-1-Yl)Hydrazinecarbothioamide. Microsc. Microanal. 2022, 28, 1696–1702. [Google Scholar] [CrossRef]
- Garbuz, O.; Gudumac, V.; Toderas, I.; Gulea, A. Proprietățile Antioxidative a Compușilor Sintetici Și Naturali; Mecanisme de Acțiune: Chisinau, Moldova, 2023; ISBN 978-9975-62-516-6. [Google Scholar]
- Fujikawa, F.; Hirai, K.; Naito, M.; Tsukuma, S. Studies on Chemotherapeutics for Micobacterium Tuberculosis. Synthesis and Antibacterial Activity on Micobucterium Tuberculosis of Pyridinealdehyde Thiosemicarbazones. Yakugaku Zasshi 1959, 79, 1231–1234. [Google Scholar] [CrossRef][Green Version]
- Gaber, A.; Refat, M.S.; Belal, A.A.M.; El-Deen, I.M.; Hassan, N.; Zakaria, R.; Alhomrani, M.; Alamri, A.S.; Alsanie, W.F.; Saied, E.M. New Mononuclear and Binuclear Cu(II), Co(II), Ni(II), and Zn(II) Thiosemicarbazone Complexes with Potential Biological Activity: Antimicrobial and Molecular Docking Study. Molecules 2021, 26, 2288. [Google Scholar] [CrossRef]
- Joseph, M.; Sreekanth, A.; Suni, V.; Kurup, M.R.P. Spectral Characterization of Iron(III) Complexes of 2-Benzoylpyridine N(4)-Substituted Thiosemicarbazones. Spectrochim. Acta Part A Mol. Biomol. Spectrosc. 2006, 64, 637–641. [Google Scholar] [CrossRef]
- Touchstone, J.C. Thin-Layer Chromatographic Procedures for Lipid Separation. J. Chromatogr. B Biomed. Sci. Appl. 1995, 671, 169–195. [Google Scholar] [CrossRef] [PubMed]
- Sheldrick, G.M. A Short History of SHELX. Acta Crystallogr. Sect. A Found. Crystallogr. 2008, 64, 112–122. [Google Scholar] [CrossRef] [PubMed]
- Sheldrick, G.M. Crystal Structure Refinement with SHELXL. Acta Crystallogr. Sect. C Struct. Chem. 2015, 71, 3–8. [Google Scholar] [CrossRef] [PubMed]
- Macrae, C.F.; Bruno, I.J.; Chisholm, J.A.; Edgington, P.R.; McCabe, P.; Pidcock, E.; Rodriguez-Monge, L.; Taylor, R.; van de Streek, J.; Wood, P.A. Mercury CSD 2.0—New Features for the Visualization and Investigation of Crystal Structures. J. Appl. Crystallogr. 2008, 41, 466–470. [Google Scholar] [CrossRef]
- Mosmann, T. Rapid Colorimetric Assay for Cellular Growth and Survival: Application to Proliferation and Cytotoxicity Assays. J. Immunol. Methods 1983, 65, 55–63. [Google Scholar] [CrossRef]
- Re, R.; Pellegrini, N.; Proteggente, A.; Pannala, A.; Yang, M.; Rice-Evans, C. Antioxidant Activity Applying an Improved ABTS Radical Cation Decolorization Assay. Free Radic. Biol. Med. 1999, 26, 1231–1237. [Google Scholar] [CrossRef]
- Graur, V.; Chumakov, Y.; Garbuz, O.; Hureau, C.; Tsapkov, V.; Gulea, A. Synthesis, Structure, and Biologic Activity of Some Copper, Nickel, Cobalt, and Zinc Complexes with 2-Formylpyridine N4-Allylthiosemicarbazone. Bioinorg. Chem. Appl. 2022, 2022, 2705332. [Google Scholar] [CrossRef]
- ISO 6341:2012; Water Quality—Determination of the Inhibition of the Mobility of Daphnia magna Straus (Cladocera, Crustacea) —Acute Toxicity Test. ISO: Geneva, Switzerland, 2012.









| Compound | HL2 | HL3 | HL5 | C3a |
|---|---|---|---|---|
| CCDC | 2400994 | 2400995 | 2400996 | 2400997 |
| Empirical formula | C14H14N4O1S1 | C14H16N4O2S1 | C20H18N4O1S1 | C34H40Cl2Cu2N10O4S2 |
| Formula weight | 286.35 | 304.37 | 362.44 | 914.86 |
| Crystal system | monoclinic | triclinic | monoclinic | monoclinic |
| Space group | P21/c | P-1 | P21/n | P21/c |
| Unit cell dimensions | ||||
| a (Å) | 14.6756 (16) | 9.5549 (18) | 9.7269 (6) | 7.1034 (5) |
| b (Å) | 5.3717 (5) | 12.804 (3) | 16.9246 (8) | 23.3341 (19) |
| c (Å) | 18.506 (2) | 14.078 (3) | 11.1893 (6) | 12.2189 (10) |
| α (°) | 90 | 109.966 (18) | 90 | 90 |
| β (°) | 102.331 (10) | 97.625 (15) | 96.043 (5) | 102.395 (7) |
| γ (°) | 90 | 108.195 (19) | 90 | 90.895 (7) |
| V (Å3) | 1425.2 (3) | 1481.6 (6) | 1831.8 (2) | 90 |
| Z | 4 | 4 | 4 | 2 |
| ρcalc (g cm−3) | 1.335 | 1.365 | 1.314 | 1.536 |
| μMo (mm−1) | 0.228 | 0.229 | 0.193 | 0.928 |
| F(000) | 600 | 640 | 760 | 940 |
| Crystal size (mm) | 0.80 × 0.05 × 0.03 | 0.15 × 0.07 × 0.05 | 0.60 × 0.17 × 0.08 | 0.60 × 0.10 × 0.03 |
| θ Range (°) | 3.228–25.05 | 2.968–24.499 | 2.932–25.044 | 3.063–25.05 |
| Index range | –17 ≤ h ≤ 10, | –11 ≤ h ≤ 11 | –11≤ h ≤ 11 | –8 ≤ h ≤ 8 |
| –6 ≤ k ≤ 3, | –14 ≤ k ≤ 14 | –20 ≤ k ≤ 19 | –16 ≤ k ≤ 27 | |
| –16 ≤ l ≤ 22 | –16 ≤ l ≤ 142 | –13 ≤ l ≤ 6 | –14 ≤ l ≤ 14 | |
| Reflections collected/unique | 2519/2519 (Rint = 0.0297) | 8287/4909 (Rint = 0.0699) | 5970/3238 (Rint = 0.0236) | 10,960/3506 (Rint = 0.0672) |
| Reflections with I > 2σ(I) | 1351 | 1800 | 2230 | 2636 |
| Number of refined parameters | 182 | 393 | 236 | 247 |
| Goodness-of-fit (GOF) | 0.998 | 1.000 | 1.000 | 1.003 |
| R (for I > 2σ(I)) | R1 = 0.0561 wR2 = 0.1001 | R1 = 0.0860 wR2 = 0.1240 | R1 = 0.0463 wR2 = 0.1081 | R1 = 0.0629 wR2 = 0.1668 |
| R (for all reflections) | R1 = 0.1227 wR2 = 0.1242 | R1 = 0.2230 wR2 = 0.1610 | R1 = 0.0763 wR2 = 0.1236 | R1 = 0.0864 wR2 = 0.1897 |
| Δρmax/Δρmin (e·Å−3) | 0.206/−0.181 | 0.499/−0.266 | 0.179/−0.199 | 0.922/−0.515 |
| Compound | MDCK | BxPc-3 | RD | HeLa | |||
|---|---|---|---|---|---|---|---|
| IC50, µM | IC50, µM | SI | IC50, µM | SI | IC50, µM | SI | |
| DOXO | 10.8 ± 1.2 | 6.0 ± 0.1 | 1.8 | 16.2 ± 1.4 | 0.7 | 6.2 ± 0.5 | 1.7 |
| CDDP | 1.5 ± 0.3 | 11.2 ± 1.3 | 0.1 | 4.6 ± 0.6 | 0.3 | 30.9 ± 1.2 | 0.04 |
| HL | 100.0 ± 3.5 | 100.0 ± 3.0 | 1 | 1.1 ± 0.3 | 90.9 | 8.3 ± 0.5 | 12.0 |
| HL1 | 10.1 ± 1.2 | 0.10 ± 0.05 | 101 | 100.0 ± 4.2 | 0.1 | 81.2 ± 5.3 | 0.1 |
| HL2 | 0.40 ± 0.06 | 0.10 ± 0.04 | 4 | 0.2 ± 0.03 | 2.0 | 0.10 ± 0.01 | 4.0 |
| HL3 | 100.0 ± 4.6 | 2.1 ± 0.2 | 48 | 0.5 ± 0.04 | 200 | 100.0 ± 5.9 | 1.0 |
| HL4 | 14.9 ± 1.6 | 0.10 ± 0.03 | 149 | 11.6 ± 0.5 | 1.3 | 5.8 ± 1.2 | 2.6 |
| HL5 | 100.0 ± 3.8 | 3.2 ± 0.3 | 31 | 0.5 ± 0.06 | 200 | 100.0 ± 4.2 | 1.0 |
| [Cu(L1)Cl] (C1) | 0.30 ± 0.02 | 0.10 ± 0.02 | 3 | 0.10 ± 0.01 | 3.0 | 0.80 ± 0.04 | 0.4 |
| [Cu(L1)NO3] (C2) | 0.60 ± 0.03 | 0.10 ± 0.01 | 6 | 0.10 ± 0.01 | 6.0 | 0.80 ± 0.03 | 0.8 |
| [Cu(L2)NO3] (C4) | 1.3 ± 0.4 | 0.10 ± 0.05 | 13 | 0.10 ± 0.06 | 13 | 0.10 ± 0.01 | 13.0 |
| [Cu(L3)Cl] (C5) | 26.6 ± 2.4 | 9.4 ± 1.2 | 3 | 19.7 ± 2.4 | 1.4 | 26.1 ± 1.2 | 1.0 |
| [Cu(L3)NO3] (C6) | 2.1 ± 1.5 | 0.10 ± 0.04 | 19 | 1.20 ± 0.03 | 1.8 | 1.10 ± 0.05 | 1.9 |
| [Cu(L4)NO3] (C7) | 0.90 ± 0.04 | 0.20 ± 0.05 | 5 | 0.50 ± 0.06 | 1.8 | 0.10 ± 0.04 | 9.0 |
| [Cu(L4)Cl] (C8) | 1.10 ± 0.06 | 0.10 ± 0.07 | 11 | 0.20 ± 0.04 | 5.5 | 0.10 ± 0.03 | 11.0 |
| [Cu(L5)Cl] (C9) | 13.1 ± 1.2 | 0.10 ± 0.03 | 131 | 0.20 ± 0.04 | 65.5 | 3.9 ± 0.2 | 3.4 |
| [Cu(L5)NO3] (C10) | 0.20 ± 0.04 | 0.20 ± 0.04 | 1 | 0.30 ± 0.05 | 0.7 | 0.070 ± 0.004 | 2.9 |
| Compound | HL-60 | LNCaP | MCF-7 | HepG-2 | K-562 | |||||
|---|---|---|---|---|---|---|---|---|---|---|
| IC50, µM | SI | IC50, µM | SI | IC50, µM | SI | IC50, µM | SI | IC50, µM | SI | |
| DOXO | 1.0 ± 0.3 | 11 | 1.10 ± 0.02 | 0.10 | 14.0 ± 1.5 | 0.80 | 2.8 ± 1.1 | 3.9 | 0.40 ± 0.03 | 27 |
| HL | 0.040 ± 0.005 | 2500 | 43.9 ± 2.5 | 0.40 | 100.0 ± 4.2 | 1.00 | 100.0 ± 5.0 | 1.0 | 100.0 ± 4.6 | 1 |
| HL1 | 0.040 ± 0.006 | 253 | 100.0 ± 4.9 | 9.9 | 10.0 ± 1.2 | 1.00 | 0.80 ± 0.04 | 12.6 | 10.0 ± 1.2 | 1 |
| HL2 | 0.010 ± 0.004 | 40 | 0.90 ± 0.05 | 2.3 | 3.5 ± 0.5 | 0.10 | 0.60 ± 0.06 | 0.7 | 0.90 ± 0.05 | 0.4 |
| HL3 | 0.010 ± 0.001 | 10,000 | 100.0 ± 4.2 | 1.00 | 100.0 ± 4.6 | 1.0 | 52.00 ± 0.01 | 1.9 | 10.0 ± 1.6 | 10 |
| HL4 | 0.060 ± 0.004 | 248 | 100.0 ± 3.1 | 6.7 | 55.0 ± 2.1 | 0.30 | 3.1 ± 0.3 | 4.8 | 16.0 ± 2.2 | 0.9 |
| HL5 | 0.020 ± 0.006 | 5000 | 8.1 ± 1.2 | 0.10 | 5.2 ± 0.6 | 19.2 | 0.30 ± 0.01 | 333.3 | 0.10 ± 0.01 | 1000 |
| [Cu(L1)Cl] (C1) | 35.0 ± 2.1 | 0.010 | 45.0 ± 2.1 | 150 | 100.0 ± 4.2 | 0.003 | 68.0 ± 4.2 | 0.04 | 64.0 ± 1.4 | 0.005 |
| [Cu(L1)NO3] (C2) | 0.030 ± 0.001 | 20 | 0.8 ± 0.03 | 1.3 | 0.10 ± 0.05 | 6.0 | 0.40 ± 0.05 | 1.5 | 0.50 ± 0.01 | 1.2 |
| [Cu(L3)NO3] (C6) | 0.030 ± 0.006 | 70 | 0.3 ± 0.04 | 0.10 | 0.60 ± 0.03 | 3.5 | 0.60 ± 0.03 | 3.5 | 0.030 ± 0.002 | 70 |
| [Cu(L5)Cl] (C9) | 0.20 ± 0.02 | 66 | 10.0 ± 1.2 | 0.80 | 9.4 ± 1.2 | 1.40 | 14.0 ± 1.2 | 0.9 | 19.0 ± 1.5 | 0.7 |
| [Cu(L5)NO3] (C10) | 10.0 ± 1.2 | 0.020 | 1.00 ± 0.06 | 5.0 | 0.10 ± 0.01 | 2.0 | 16.0 ± 2.4 | 0.01 | 10.0 ± 3.1 | 0.02 |
Disclaimer/Publisher’s Note: The statements, opinions and data contained in all publications are solely those of the individual author(s) and contributor(s) and not of MDPI and/or the editor(s). MDPI and/or the editor(s) disclaim responsibility for any injury to people or property resulting from any ideas, methods, instructions or products referred to in the content. |
© 2024 by the authors. Licensee MDPI, Basel, Switzerland. This article is an open access article distributed under the terms and conditions of the Creative Commons Attribution (CC BY) license (https://creativecommons.org/licenses/by/4.0/).
Share and Cite
Rusnac, R.; Garbuz, O.; Kravtsov, V.; Melnic, E.; Istrati, D.; Tsapkov, V.; Poirier, D.; Gulea, A. Novel Copper(II) Coordination Compounds Containing Pyridine Derivatives of N4-Methoxyphenyl-Thiosemicarbazones with Selective Anticancer Activity. Molecules 2024, 29, 6002. https://doi.org/10.3390/molecules29246002
Rusnac R, Garbuz O, Kravtsov V, Melnic E, Istrati D, Tsapkov V, Poirier D, Gulea A. Novel Copper(II) Coordination Compounds Containing Pyridine Derivatives of N4-Methoxyphenyl-Thiosemicarbazones with Selective Anticancer Activity. Molecules. 2024; 29(24):6002. https://doi.org/10.3390/molecules29246002
Chicago/Turabian StyleRusnac, Roman, Olga Garbuz, Victor Kravtsov, Elena Melnic, Dorin Istrati, Victor Tsapkov, Donald Poirier, and Aurelian Gulea. 2024. "Novel Copper(II) Coordination Compounds Containing Pyridine Derivatives of N4-Methoxyphenyl-Thiosemicarbazones with Selective Anticancer Activity" Molecules 29, no. 24: 6002. https://doi.org/10.3390/molecules29246002
APA StyleRusnac, R., Garbuz, O., Kravtsov, V., Melnic, E., Istrati, D., Tsapkov, V., Poirier, D., & Gulea, A. (2024). Novel Copper(II) Coordination Compounds Containing Pyridine Derivatives of N4-Methoxyphenyl-Thiosemicarbazones with Selective Anticancer Activity. Molecules, 29(24), 6002. https://doi.org/10.3390/molecules29246002

