Long-Term Stability of Nicotinamide Cofactors in Common Aqueous Buffers: Implications for Cell-Free Biocatalysis
Abstract
1. Introduction
2. Results
2.1. NADH Stability and UV–Visible Spectra
2.2. Effect of Temperature on NADH Degradation
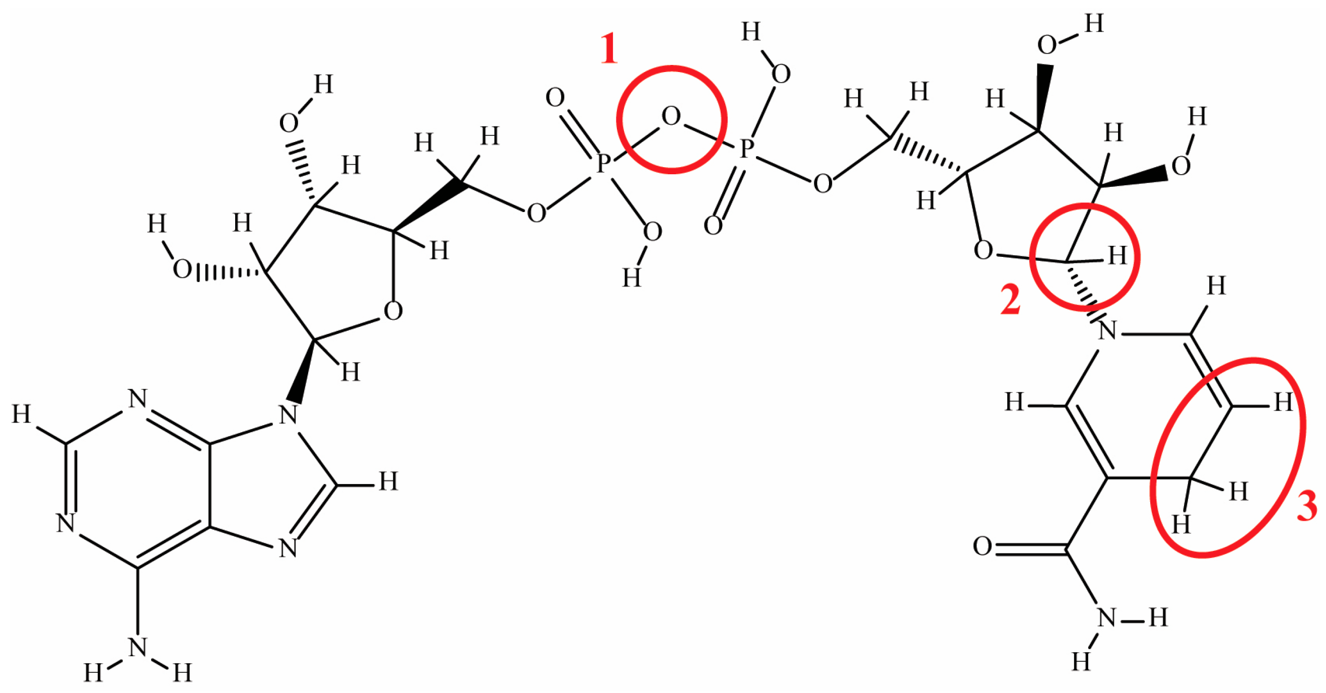
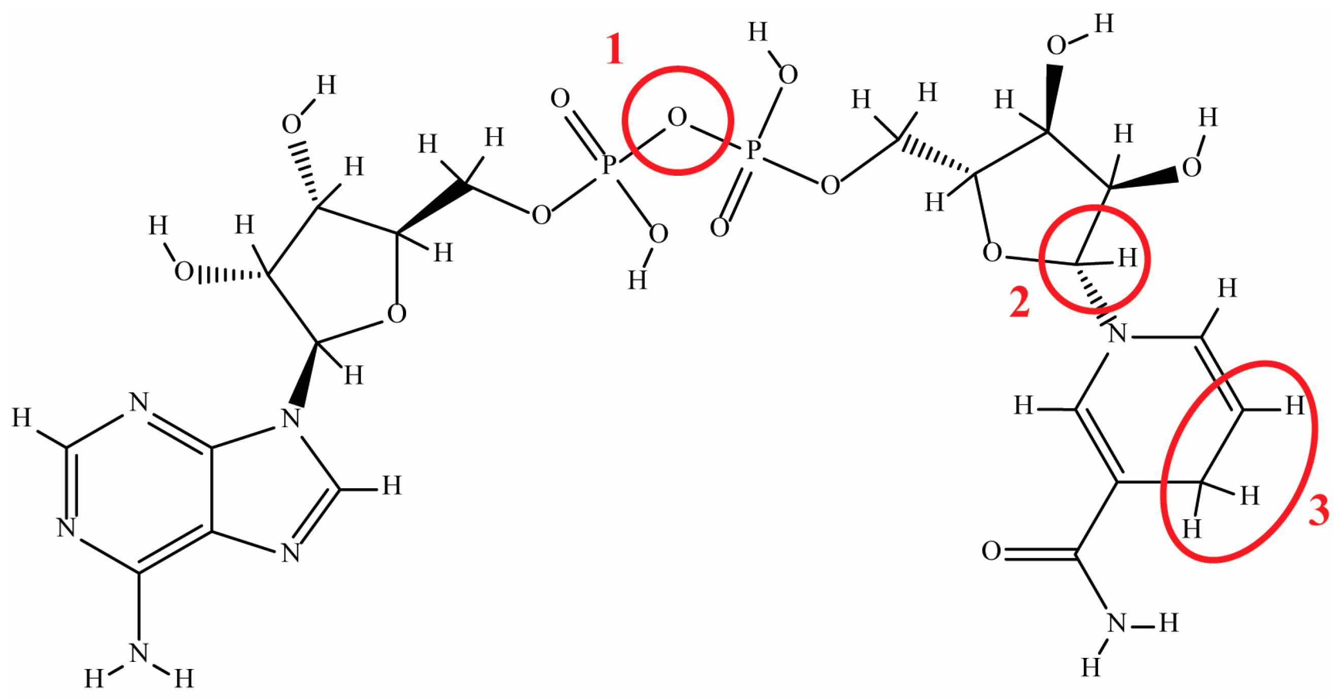
2.3. Qualitative Study of NAD+ Degradation
2.4. Validation of Enzymatic Activity
3. Discussion
4. Materials and Methods
4.1. UV–Visible Spectroscopy for NADH Determination
4.2. UV–Visible Stability Study
4.3. Enzyme Expression and Purification
4.4. NOX Enzymatic Assay
5. Conclusions
Supplementary Materials
Author Contributions
Funding
Institutional Review Board Statement
Informed Consent Statement
Data Availability Statement
Conflicts of Interest
References
- Wilding, K.M.; Schinn, S.-M.; Long, E.A.; Bundy, B.C. The Emerging Impact of Cell-Free Chemical Biosynthesis. Curr. Opin. Biotechnol. 2018, 53, 115–121. [Google Scholar] [CrossRef] [PubMed]
- Petroll, K.; Kopp, D.; Care, A.; Bergquist, P.L.; Sunna, A. Tools and Strategies for Constructing Cell-Free Enzyme Pathways. Biotechnol. Adv. 2019, 37, 91–108. [Google Scholar] [CrossRef]
- Bergquist, P.L.; Siddiqui, S.; Sunna, A. Cell-Free Biocatalysis for the Production of Platform Chemicals. Front. Energy Res. 2020, 8, 193. [Google Scholar] [CrossRef]
- Rocha, R.A.; North, A.J.; Speight, R.E.; Williams, C.C.; Scott, C. Cofactor and Process Engineering for Nicotinamide Recycling and Retention in Intensified Biocatalysis. Catalysts 2022, 12, 1454. [Google Scholar] [CrossRef]
- Sharma, V.K.; Hutchison, J.M.; Allgeier, A.M. Redox Biocatalysis: Quantitative Comparisons of Nicotinamide Cofactor Regeneration Methods. ChemSusChem 2022, 15, e202200888. [Google Scholar] [CrossRef]
- Chenault, H.K.; Simon, E.S.; Whitesides, G.M. Cofactor Regeneration for Enzyme-Catalysed Synthesis. Biotechnol. Genet. Eng. Rev. 1988, 6, 221–270. [Google Scholar] [CrossRef]
- Hentall, P.L.; Flowers, N.; Bugg, T.D.H. Enhanced Acid Stability of a Reduced Nicotinamide Adenine Dinucleotide (NADH) Analogue. Chem. Commun. 2001, 20, 2098–2099. [Google Scholar] [CrossRef] [PubMed]
- Aamer, E.; Thöming, J.; Baune, M.; Reimer, N.; Dringen, R.; Romero, M.; Bösing, I. On the Electrochemical NADH Regeneration: Influence of Electrode Potential, PH and NAD+ Concentration 2022. Sci. Rep. 2022, 12, 16380. [Google Scholar] [CrossRef]
- Saba, T.; Burnett, J.W.H.; Li, J.; Kechagiopoulos, P.N.; Wang, X. A Facile Analytical Method for Reliable Selectivity Examination in Cofactor NADH Regeneration. Chem. Commun. 2020, 56, 1231–1234. [Google Scholar] [CrossRef]
- Shabir, G.A.; Forrow, N.J. Development and Validation of a HPLC Method for 4,7-Phenanthroline-5,6-Dione I and Identification of Its Major Impurity by HPLC-MS-APCI. J. Chromatogr. Sci. 2005, 43, 207–212. [Google Scholar] [CrossRef][Green Version]
- Orlich, B.; Schomaecker, R. Enzymatic Reduction of a Less Water-Soluble Ketone in Reverse Micelles with Nadh Regeneration. Biotechnol. Bioeng. 1999, 65, 357–362. [Google Scholar] [CrossRef]
- Rover Júnior, L.; Fernandes, J.C.; de Oliveira Neto, G.; Kubota, L.T.; Katekawa, E.; Serrano, S.H. Study of NADH Stability Using Ultraviolet-Visible Spectrophotometric Analysis and Factorial Design. Anal. Biochem. 1998, 260, 50–55. [Google Scholar] [CrossRef]
- Anderson, B.M.; Anderson, C.D. The Effect of Buffers on Nicotinamide Adenine Dinucleotide Hydrolysis. J. Biol. Chem. 1963, 238, 1475–1478. [Google Scholar] [CrossRef]
- Chenault, H.K.; Whitesides, G.M. Regeneration of Nicotinamide Cofactors for Use in Organic Synthesis. Appl. Biochem. Biotechnol. 1987, 14, 147–197. [Google Scholar] [CrossRef]
- Alivisatos, S.G.A.; Ungar, F.; Abraham, G. Non-Enzymatic Interactions of Reduced Coenzyme I with Inorganic Phosphate and Certain Other Anions. Nature 1964, 203, 973–975. [Google Scholar] [CrossRef]
- Persson, M.; Månsson, M.-O.; Bülow, L.; Mosbach, K. Continuous Regeneration of NAD(H) Covalently Bound to a Cysteine Genetically Engineered into Glucose Dehydrogenase. Bio/Technology 1991, 9, 280–284. [Google Scholar] [CrossRef] [PubMed]
- Bückmann, A.F.; Kula, M.R.; Wichmann, R.; Wandrey, C. An Efficient Synthesis of High-Molecular-Weight NAD(H) Derivatives Suitable for Continuous Operation with Coenzyme-Dependent Enzyme Systems. J. Appl. Biochem. 1981, 3, 301–315. [Google Scholar]
- Lee, Y.S.; Gerulskis, R.; Minteer, S.D. Advances in Electrochemical Cofactor Regeneration: Enzymatic and Non-Enzymatic Approaches. Curr. Opin. Biotechnol. 2022, 73, 14–21. [Google Scholar] [CrossRef]
- Hofmann, D.; Wirtz, A.; Santiago-Schübel, B.; Disko, U.; Pohl, M. Structure Elucidation of the Thermal Degradation Products of the Nucleotide Cofactors NADH and NADPH by Nano-ESI-FTICR-MS and HPLC-MS. Anal. Bioanal. Chem. 2010, 398, 2803–2811. [Google Scholar] [CrossRef]
- Adachi, S.; Ogata, M.; Tobita, H.; Hashimoto, K. Effects of Molecular Weight of Dextran and NAD+ Density on Coenzyme Activity of High Molecular Weight NAD+ Derivative Covalently Bound to Dextran. Enzym. Microb. Technol. 1984, 6, 259–262. [Google Scholar] [CrossRef]
- Bruggeman, C.; Gregurash, K.; Hickey, D.P. Impact of Sodium Pyruvate on the Electrochemical Reduction of NAD+ Biomimetics. Faraday Discuss. 2023, 247, 87–100. [Google Scholar] [CrossRef] [PubMed]
- Quinto, T.; Köhler, V.; Ward, T.R. Recent Trends in Biomimetic NADH Regeneration. Top. Catal. 2014, 57, 321–331. [Google Scholar] [CrossRef]
- Zachos, I.; Nowak, C.; Sieber, V. Biomimetic Cofactors and Methods for Their Recycling. Curr. Opin. Chem. Biol. 2019, 49, 59–66. [Google Scholar] [CrossRef] [PubMed]
- Knaus, T.; Paul, C.E.; Levy, C.W.; de Vries, S.; Mutti, F.G.; Hollmann, F.; Scrutton, N.S. Better than Nature: Nicotinamide Biomimetics That Outperform Natural Coenzymes. J. Am. Chem. Soc. 2016, 138, 1033–1039. [Google Scholar] [CrossRef] [PubMed]
- King, E.; Maxel, S.; Li, H. Engineering Natural and Noncanonical Nicotinamide Cofactor-Dependent Enzymes: Design Principles and Technology Development. Curr. Opin. Biotechnol. 2020, 66, 217–226. [Google Scholar] [CrossRef] [PubMed]
- Paul, C.E.; Arends, I.W.C.E.; Hollmann, F. Is Simpler Better? Synthetic Nicotinamide Cofactor Analogues for Redox Chemistry. ACS Catal. 2014, 4, 788–797. [Google Scholar] [CrossRef]
- Tan, B.; Hickey, D.P.; Milton, R.D.; Giroud, F.; Minteer, S.D. Regeneration of the NADH Cofactor by a Rhodium Complex Immobilized on Multi-Walled Carbon Nanotubes. J. Electrochem. Soc. 2014, 162, H102–H107. [Google Scholar] [CrossRef]
- Yuan, M.; Kummer, M.J.; Milton, R.D.; Quah, T.; Minteer, S.D. Efficient NADH Regeneration by a Redox Polymer-Immobilized Enzymatic System. ACS Catal. 2019, 9, 5486–5495. [Google Scholar] [CrossRef]
- Damian, A.; Omanovic, S. Electrochemical Reduction of NAD+ on a Polycrystalline Gold Electrode. J. Mol. Catal. A Chem. 2006, 253, 222–233. [Google Scholar] [CrossRef]
- Ali, I.; Gill, A.; Omanovic, S. Direct Electrochemical Regeneration of the Enzymatic Cofactor 1,4-NADH Employing Nano-Patterned Glassy Carbon/Pt and Glassy Carbon/Ni Electrodes. Chem. Eng. J. 2012, 188, 173–180. [Google Scholar] [CrossRef]
- Ali, I.; Khan, T.; Omanovic, S. Direct Electrochemical Regeneration of the Cofactor NADH on Bare Ti, Ni, Co and Cd Electrodes: The Influence of Electrode Potential and Electrode Material. J. Mol. Catal. A Chem. 2014, 387, 86–91. [Google Scholar] [CrossRef]
- Ali, I.; Ullah, N.; McArthur, M.A.; Coulombe, S.; Omanovic, S. Direct Electrochemical Regeneration of Enzymatic Cofactor 1,4-NADH on a Cathode Composed of Multi-Walled Carbon Nanotubes Decorated with Nickel Nanoparticles. Can. J. Chem. Eng. 2018, 96, 68–73. [Google Scholar] [CrossRef]
- Butenko, N.; Tomaz, A.I.; Nouri, O.; Escribano, E.; Moreno, V.; Gama, S.; Ribeiro, V.; Telo, J.P.; Pesssoa, J.C.; Cavaco, I. DNA Cleavage Activity of VIVO(Acac)2 and Derivatives. J. Inorg. Biochem. 2009, 103, 622–632. [Google Scholar] [CrossRef] [PubMed]
- Gupta, B.S.; Taha, M.; Lee, M.-J. Superactivity of α-Chymotrypsin with Biological Buffers, TRIS, TES, TAPS, and TAPSO in Aqueous Solutions. RSC Adv. 2014, 4, 51111–51116. [Google Scholar] [CrossRef]
- Quan, L.; Wei, D.; Jiang, X.; Liu, Y.; Li, Z.; Li, N.; Li, K.; Liu, F.; Lai, L. Resurveying the Tris Buffer Solution: The Specific Interaction between Tris(Hydroxymethyl)Aminomethane and Lysozyme. Anal. Biochem. 2008, 378, 144–150. [Google Scholar] [CrossRef]
- Laemmli, U.K. SDS-PAGE to Evaluate Extent of Hydrolysis of Proteins. Nature 1976, 227, 680–685. [Google Scholar] [CrossRef]






Disclaimer/Publisher’s Note: The statements, opinions and data contained in all publications are solely those of the individual author(s) and contributor(s) and not of MDPI and/or the editor(s). MDPI and/or the editor(s) disclaim responsibility for any injury to people or property resulting from any ideas, methods, instructions or products referred to in the content. |
© 2024 by the authors. Licensee MDPI, Basel, Switzerland. This article is an open access article distributed under the terms and conditions of the Creative Commons Attribution (CC BY) license (https://creativecommons.org/licenses/by/4.0/).
Share and Cite
Wolfe, K.D.; Alahuhta, M.; Himmel, M.E.; Bomble, Y.J.; Jennings, G.K.; Cliffel, D.E. Long-Term Stability of Nicotinamide Cofactors in Common Aqueous Buffers: Implications for Cell-Free Biocatalysis. Molecules 2024, 29, 5453. https://doi.org/10.3390/molecules29225453
Wolfe KD, Alahuhta M, Himmel ME, Bomble YJ, Jennings GK, Cliffel DE. Long-Term Stability of Nicotinamide Cofactors in Common Aqueous Buffers: Implications for Cell-Free Biocatalysis. Molecules. 2024; 29(22):5453. https://doi.org/10.3390/molecules29225453
Chicago/Turabian StyleWolfe, Kody D., Markus Alahuhta, Michael E. Himmel, Yannick J. Bomble, G. Kane Jennings, and David E. Cliffel. 2024. "Long-Term Stability of Nicotinamide Cofactors in Common Aqueous Buffers: Implications for Cell-Free Biocatalysis" Molecules 29, no. 22: 5453. https://doi.org/10.3390/molecules29225453
APA StyleWolfe, K. D., Alahuhta, M., Himmel, M. E., Bomble, Y. J., Jennings, G. K., & Cliffel, D. E. (2024). Long-Term Stability of Nicotinamide Cofactors in Common Aqueous Buffers: Implications for Cell-Free Biocatalysis. Molecules, 29(22), 5453. https://doi.org/10.3390/molecules29225453

