Smart and Efficient Synthesis of Cyclic Poly(N-isopropylacrylamide)s by Ring Expansion RAFT (RE-RAFT) Polymerization and Analysis of Their Unique Temperature-Responsive Properties
Abstract
1. Introduction
2. Results
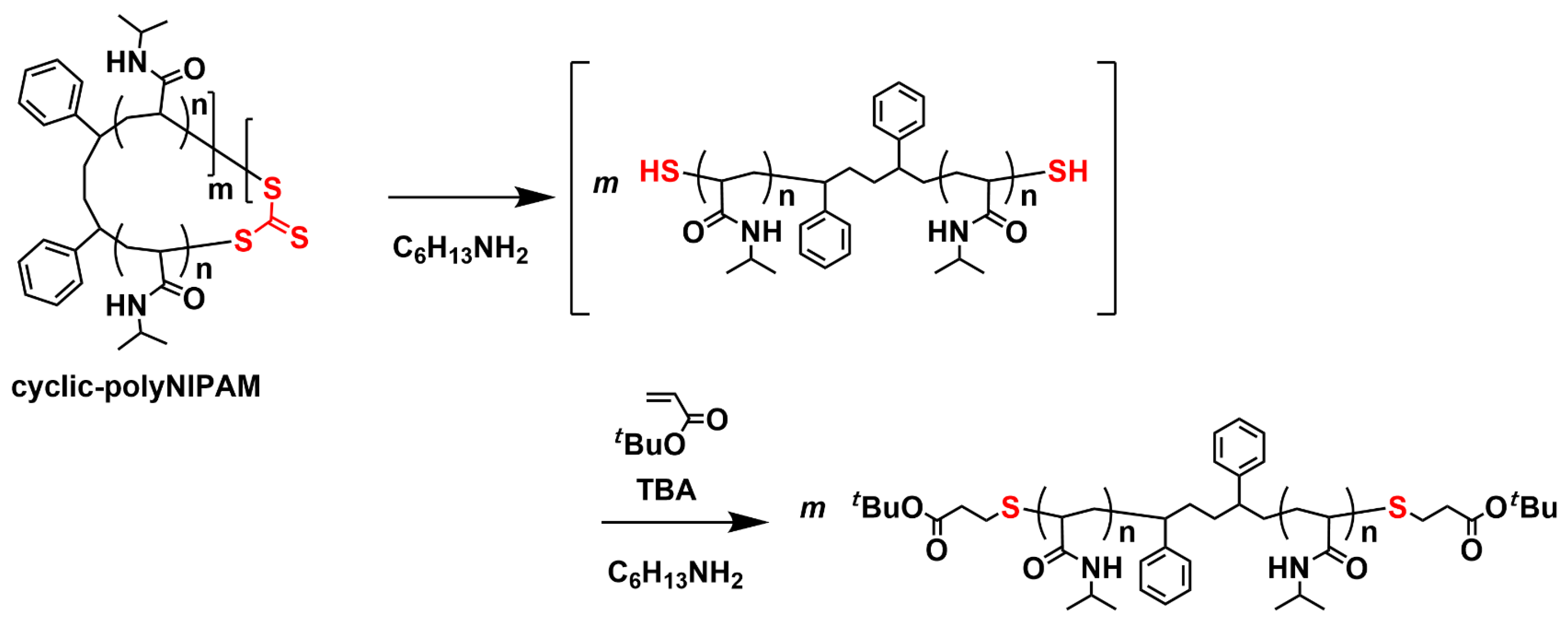
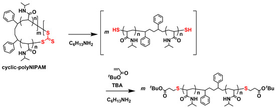
2.1. Ring-Expansion RAFT (RE-RAFT) Polymerization of NIPAM with CTTC
2.2. Characterization of the Obtained Polymers by RE-RAFT Polymerization with CTTC
2.3. Temperature-Responsive Properties of the Cyclic-polyNIPAM and Linear-polyNIPAM
3. Materials and Methods
3.1. Chemicals and Reagents
3.2. Methods
3.3. Ring-Expansion RAFT Polymerization of NIPAM with CTTC (Synthesis of Cyclic-polyNIPAM30, Cyclic-polyNIPAM52 and Cyclic-polyNIPAM122)
3.4. Conventional RAFT Polymerization of NIPAM with DBTTC (Synthesis of Linear-polyNIPAM146)
3.5. Synthesis of Cyclic-polyNIPAM360 and Linear-polyNIPAM450 for Analysis of Temperature-Responsive Properties
4. Conclusions
Author Contributions
Funding
Institutional Review Board Statement
Informed Consent Statement
Data Availability Statement
Conflicts of Interest
References
- Endo, K. Synthesis and Properties of Cyclic Polymers. Adv. Polym. Sci. 2008, 217, 121–183. [Google Scholar]
- Laurent, B.A.; Grayson, S.M. Synthetic approaches for the preparation of cyclic polymers. Chem. Soc. Rev. 2009, 38, 2202–2213. [Google Scholar] [CrossRef] [PubMed]
- Kricheldorf, H.R. Cyclic Polymers: Synthetic Strategies and Physical Properties. J. Polym. Sci. Part A Polym. Chem. 2010, 48, 251–284. [Google Scholar] [CrossRef]
- Jia, Z.; Monteiro, M.J. Cyclic Polymers: Methods and Strategies. J. Polym. Sci. Part A Polym. Chem. 2012, 50, 2085–2097. [Google Scholar] [CrossRef]
- Haque, F.M.; Grayson, S.M. The synthesis, properties and potential applications of cyclic polymers. Nat. Chem. 2020, 12, 433–444. [Google Scholar] [CrossRef]
- An, X.; Tang, Q.; Zhu, W.; Zhang, K.; Zhao, Y. Synthesis, Thermal Properties, and Thermoresponsive Behaviors of Cyclic Poly(2-(dimethylamino)ethyl Methacrylate)s. Macromol. Rapid Commun. 2016, 37, 980–986. [Google Scholar] [CrossRef]
- Zhang, H.; Wu, W.; Zhao, X.; Zhao, Y. Synthesis and Thermoresponsive Behaviors of Thermo-, pH-, CO2-, and Oxidation-Responsive Linear and Cyclic Graft Copolymers. Macromolecules 2017, 50, 3411–3423. [Google Scholar] [CrossRef]
- Xu, J.; Ye, J.; Liu, S. Synthesis of Well-Defined Cyclic Poly(N-isopropylacrylamide) via Click Chemistry and Its Unique Thermal Phase Transition Behavior. Macromolecules 2007, 40, 9103–9110. [Google Scholar] [CrossRef]
- Qiu, X.-P.; Winnik, F.M. Effect of Topology on the Properties of Poly(N-isopropylacrylamide) in Water and in Bulk. Macromol. Symp. 2009, 278, 10–13. [Google Scholar] [CrossRef]
- Daneshyan, S.; Sodeifian, G. A new approach for synthesis of cyclic poly(N-isopropylacrylamide), for applying in biomaterial applications. Polym. Bull. 2024, 81, 929–949. [Google Scholar] [CrossRef]
- Halperin, A.; Kröger, M.; Winnik, F.M. Poly(N-isopropylacrylamide) Phase Diagrams: Fifty Years of Research. Angew. Chem. Int. Ed. 2015, 54, 15342–15367. [Google Scholar] [CrossRef] [PubMed]
- Osváth, Z.; Iván, B. The Dependence of the Cloud Point, Clearing Point, and Hysteresis of Poly(N-isopropylacrylamide) on Experimental Conditions: The Need for Standardization of Thermoresponsive Transition Determinations. Macromol. Chem. Phys. 2017, 218, 1600470. [Google Scholar] [CrossRef]
- Gibson, M.I.; O’Reilly, R.K. To aggregate, or not to aggregate? considerations in the design and application of polymeric thermally-responsive nanoparticles. Chem. Soc. Rev. 2013, 42, 7204–7213. [Google Scholar] [CrossRef] [PubMed]
- Lanzalaco, S.; Armelin, E. Poly(N-isopropylacrylamide) and Copolymers: A Review on Recent Progresses in Biomedical Applications. Gels 2017, 3, 36. [Google Scholar] [CrossRef] [PubMed]
- Lanzalaco, S.; Mingot, J.; Torras, J.; Alemán, C.; Armelin, E. Recent Advances in Poly(N-isopropylacrylamide) Hydrogels and Derivatives as Promising Materials for Biomedical and Engineering Emerging Applications. Adv. Eng. Mater. 2023, 25, 2201303. [Google Scholar] [CrossRef]
- Adachi, K.; Honda, S.; Hayashi, S.; Tezuka, Y. ATRP-RCM Synthesis of Cyclic Diblock Copolymers. Macromolecules 2008, 41, 7898–7903. [Google Scholar] [CrossRef]
- Honda, S.; Yamamoto, T.; Tezuka, Y. Topology-Directed Control on Thermal Stability: Micelles Formed from Linear and Cyclized Amphiphilic Block Copolymers. J. Am. Chem. Soc. 2010, 132, 10251–10253. [Google Scholar] [CrossRef]
- Honda, S.; Yamamoto, T.; Tezuka, Y. Tuneable enhancement of the salt and thermal stability of polymeric micelles by cyclized amphiphiles. Nat. Commun. 2013, 4, 1574. [Google Scholar] [CrossRef]
- Ouchi, M.; Kammiyada, H.; Sawamoto, M. Ring-expansion cationic polymerization of vinyl ethers. Polym. Chem. 2017, 8, 4970–4977. [Google Scholar] [CrossRef]
- Chang, Y.A.; Waymouth, R.M. Recent Progress on the Synthesis of Cyclic Polymers via Ring-Expansion Strategies. J. Polym. Sci. Part A Polym. Chem. 2017, 55, 2892–2902. [Google Scholar] [CrossRef]
- Kricheldorf, H.R.; Lee, S.R. Polylactones. 35. Macrocyclic and Stereoselective Polymerization of β-D, L-Butyrolactone with Cyclic Dibutyltin Initiators. Macromolecules 1995, 28, 6718–6725. [Google Scholar] [CrossRef]
- Bielawski, C.W.; Benitez, D.; Grubbs, R.H. An “Endless” Route to Cyclic Polymers. Science 2002, 297, 2041–2044. [Google Scholar] [CrossRef] [PubMed]
- Xia, Y.; Boydston, A.J.; Yao, Y.; Kornfield, J.A.; Gorodetskaya, I.A.; Spiess, H.W.; Grubbs, R.H. Ring-Expansion Metathesis Polymerization: Catalyst-Dependent Polymerization Profiles. J. Am. Chem. Soc. 2009, 131, 2670–2677. [Google Scholar] [CrossRef] [PubMed]
- Kaitz, J.A.; Diesendruck, C.E.; Moore, J.S. End Group Characterization of Poly(phthalaldehyde): Surprising Discovery of a Reversible, Cationic Macrocyclization Mechanism. J. Am. Chem. Soc. 2013, 135, 12755–12761. [Google Scholar] [CrossRef] [PubMed]
- Kammiyada, H.; Konishi, A.; Ouchi, M.; Sawamoto, M. Ring-Expansion Living Cationic Polymerization via Reversible Activation of a Hemiacetal Ester Bond. ACS Macro Lett. 2013, 2, 531–534. [Google Scholar] [CrossRef]
- Culkin, D.A.; Jeong, W.; Csihony, S.; Gomez, E.D.; Balsara, N.P.; Hedrick, J.L.; Waymouth, R.M. Zwitterionic Polymerization of Lactide to Cyclic Poly(Lactide) by Using N-Heterocyclic Carbene Organocatalysts. Angew. Chem. Int. Ed. 2007, 46, 2627–2630. [Google Scholar] [CrossRef]
- Chiefari, J.; Chong, Y.K.; Ercole, F.; Krstina, J.; Jeffery, J.; Le, T.P.L.; Mayadunne, R.T.A.; Meijs, G.F.; Moad, C.L.; Moad, G.; et al. Living Free-Radical Polymerization by Reversible Addition–Fragmentation Chain Transfer: The RAFT Process. Macromolecules 1998, 31, 5559–5562. [Google Scholar] [CrossRef]
- Perrier, S.; Takolpuckdee, P. Macromolecular Design via Reversible Addition-Fragmentation Chain Transfer (RAFT)/Xanthates (MADIX) Polymerization. J. Polym. Sci. Part A Polym. Chem. 2005, 43, 5347–5393. [Google Scholar] [CrossRef]
- Moad, G.; Rizzardo, E.; Thang, S.H. Radical addition-fragmentation chemistry in polymer synthesis. Polymer 2008, 49, 1079–1131. [Google Scholar] [CrossRef]
- Chen, M.; Zhong, M.; Johnson, J.A. Light-Controlled Radical Polymerization: Mechanisms, Methods, and Applications. Chem. Rev. 2016, 116, 10167–10211. [Google Scholar] [CrossRef]
- Minoda, M.; Otsubo, T.; Yamamoto, Y.; Zhao, J.; Honda, Y.; Tanaka, T.; Motoyanagi, J. The First Synthesis of Periodic and Alternating Glycopolymers by RAFT Polymerization: A Novel Synthetic Pathway for Glycosaminoglycan Mimics. Polymers 2019, 11, 70. [Google Scholar] [CrossRef] [PubMed]
- Motoyanagi, J.; Oguri, A.; Minoda, M. Synthesis of Well-Defined Alternating Copolymer Composed of Ethylmaleimide and Hydroxy-Functionalized Vinyl Ether by RAFT Polymerization and Their Thermoresponsive Properties. Polymers 2020, 12, 2255. [Google Scholar] [CrossRef] [PubMed]
- He, T.; Zheng, G.H.; Pan, C. Synthesis of Cyclic Polymers and Block Copolymers by Monomer Insertion into Cyclic Initiator by a Radical Mechanism. Macromolecules 2003, 36, 5960–5966. [Google Scholar] [CrossRef]
- Motoyanagi, J.; Fujii, H.; Minoda, M. Development of Ring-Expansion RAFT Polymerization of tert-Butyl Acrylate with a Cyclic Trithiocarbonate Derivative toward the Facile Synthesis of Cyclic Polymers. Molecules 2024, 29, 1839. [Google Scholar] [CrossRef] [PubMed]
- Xia, Y.; Yin, X.; Burke, N.A.D.; Stöver, H.D.H. Thermal Response of Narrow-Disperse Poly(N-isopropylacrylamide) Prepared by Atom Transfer Radical Polymerization. Macromolecules 2005, 38, 5937–5943. [Google Scholar] [CrossRef]
- Hong, J.; Fan, Z. Synthesis of Multiblock Polymer Containing Narrow Polydispersity Blocks. Macromol. Rapid Commun. 2006, 27, 57–62. [Google Scholar] [CrossRef]
- Lee, A.W.M.; Chan, W.H.; Wong, H.C. One Pot Phase Transfer Synthesis of Trithiocarbonates from Carbon Bisulphide and Alkyl Halides. Synth. Commun. 1988, 18, 1531–1536. [Google Scholar] [CrossRef]








| CTA | Reaction Time (h) | NIPAM Conversion (%) a | Mn, theoryb (g mol−1) | Mn, top c,d (g mol−1) | Mw/Mne | |
|---|---|---|---|---|---|---|
| cyclic- polyNIPAM30 | CTTC | 0.75 | 15 | 3400 | 6400 and 1300 | 2.15 |
| cyclic- polyNIPAM52 | CTTC | 1 | 26 | 5900 | 8300 | 1.68 |
| cyclic- polyNIPAM122 | CTTC | 2 | 61 | 14,000 | 8000 | 1.78 |
| cyclic- polyNIPAM360 | CTTC | 2 e | 72 | 41,000 | 28,000 | 1.53 |
| linear- polyNIPAM146 | DBTTC | 2 | 73 | 16,000 | 6600 | 1.21 |
| linear- polyNIPAM450 | DBTTC | 2 e | 90 | 51,000 | 36,000 | 1.61 |
Disclaimer/Publisher’s Note: The statements, opinions and data contained in all publications are solely those of the individual author(s) and contributor(s) and not of MDPI and/or the editor(s). MDPI and/or the editor(s) disclaim responsibility for any injury to people or property resulting from any ideas, methods, instructions or products referred to in the content. |
© 2024 by the authors. Licensee MDPI, Basel, Switzerland. This article is an open access article distributed under the terms and conditions of the Creative Commons Attribution (CC BY) license (https://creativecommons.org/licenses/by/4.0/).
Share and Cite
Motoyanagi, J.; Bessho, K.; Minoda, M. Smart and Efficient Synthesis of Cyclic Poly(N-isopropylacrylamide)s by Ring Expansion RAFT (RE-RAFT) Polymerization and Analysis of Their Unique Temperature-Responsive Properties. Molecules 2024, 29, 5392. https://doi.org/10.3390/molecules29225392
Motoyanagi J, Bessho K, Minoda M. Smart and Efficient Synthesis of Cyclic Poly(N-isopropylacrylamide)s by Ring Expansion RAFT (RE-RAFT) Polymerization and Analysis of Their Unique Temperature-Responsive Properties. Molecules. 2024; 29(22):5392. https://doi.org/10.3390/molecules29225392
Chicago/Turabian StyleMotoyanagi, Jin, Kenichi Bessho, and Masahiko Minoda. 2024. "Smart and Efficient Synthesis of Cyclic Poly(N-isopropylacrylamide)s by Ring Expansion RAFT (RE-RAFT) Polymerization and Analysis of Their Unique Temperature-Responsive Properties" Molecules 29, no. 22: 5392. https://doi.org/10.3390/molecules29225392
APA StyleMotoyanagi, J., Bessho, K., & Minoda, M. (2024). Smart and Efficient Synthesis of Cyclic Poly(N-isopropylacrylamide)s by Ring Expansion RAFT (RE-RAFT) Polymerization and Analysis of Their Unique Temperature-Responsive Properties. Molecules, 29(22), 5392. https://doi.org/10.3390/molecules29225392

