ZnCl2-Based Deep Eutectic Solvent as Solvent-Catalyst in the Michael Addition Reaction of Pyrrole to Maleimide
Abstract
1. Introduction
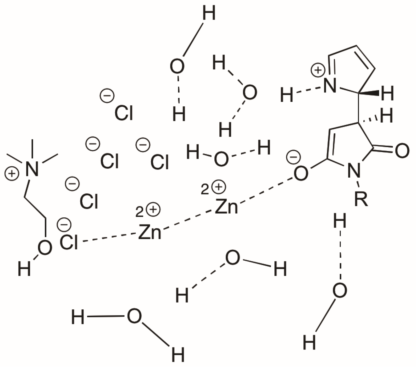
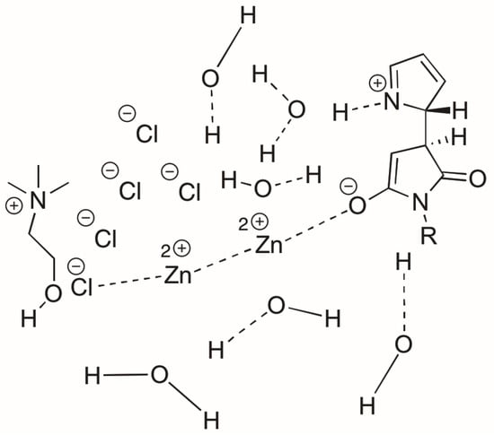
2. Results and Discussion
3. Materials and Methods
3.1. Experimental
3.1.1. Preparation of Deep Eutectic Solvent (ChCl:ZnCl2)
3.1.2. General Procedure for the Pyrrole–Maleimide Michael Addition in ChCl:ZnCl2
3.1.3. Characterization Data of Compounds
3.2. Calculation Methods
4. Conclusions
Supplementary Materials
Author Contributions
Funding
Institutional Review Board Statement
Informed Consent Statement
Data Availability Statement
Acknowledgments
Conflicts of Interest
References
- Reymond, J.L.; Van Deursen, R.; Blum, L.C.; Ruddigkeit, L. Chemical Space as a Source for New Drugs. Med. Chem. Commun. 2010, 1, 30–38. [Google Scholar] [CrossRef]
- Heravi, M.M.; Hashemi, E. Recent Applications of the Suzuki Reaction in Total Synthesis. Tetrahedron 2012, 68, 9145–9178. [Google Scholar] [CrossRef]
- He, Q.; Yamaguchi, T.; Chatani, N. Rh(I)-Catalyzed Alkylation of Ortho-C-H Bonds in Aromatic Amides with Maleimides. Org. Lett. 2017, 19, 4544–4547. [Google Scholar] [CrossRef] [PubMed]
- Tamizmani, M.; Gouranga, N.; Jeganmohan, M. Rhodium(III)-Catalyzed Ortho-Alkenylation of Anilides with Maleimides. ChemistrySelect 2019, 4, 2976–2981. [Google Scholar] [CrossRef]
- Keshri, P.; Bettadapur, K.R.; Lanke, V.; Prabhu, K.R. Ru(II)-Catalyzed C-H Activation: Amide-Directed 1,4-Addition of the Ortho C-H Bond to Maleimides. J. Org. Chem. 2016, 81, 6056–6065. [Google Scholar] [CrossRef]
- Zhan, B.; Li, Y.; Xu, J.; Nie, X.; Fan, J.; Jin, L.; Shi, B. Site-Selective δ-C(sp3)−H Alkylation of Amino Acids and Peptides with Maleimides via a Six-Membered Palladacycle. Angew. Chem. Int. Ed. 2018, 57, 5858–5862. [Google Scholar] [CrossRef]
- Egorova, K.S.; Ananikov, V.P. Toxicity of Metal Compounds: Knowledge and Myths. Organometallics 2017, 36, 4071–4090. [Google Scholar] [CrossRef]
- Egorova, K.S.; Ananikov, V.P. Which Metals are Green for Catalysis? Comparison of the Toxicities of Ni, Cu, Fe, Pd, Pt, Rh, and Au Salts. Angew. Chem. Int. Ed. 2016, 55, 12150–12162. [Google Scholar] [CrossRef]
- Anastas, P.; Eghbali, N. Green Chemistry: Principles and Practice. Chem. Soc. Rev. 2010, 39, 301–312. [Google Scholar] [CrossRef]
- Clarke, C.J.; Tu, W.C.; Levers, O.; Bröhl, A.; Hallett, J.P. Green and Sustainable Solvents in Chemical Processes. Chem. Rev. 2018, 118, 747–800. [Google Scholar] [CrossRef]
- Zhao, J.; Zhang, J.; Yang, W.; Chen, B.; Zhao, Z.; Qiu, H.; Dong, S.; Zhou, X.; Cui, G.; Chen, L. “Water-in-Deep Eutectic Solvent” Electrolytes Enable Zinc Metal Anodes for Rechargeable Aqueous Batteries. Nano Energy 2019, 57, 625–634. [Google Scholar] [CrossRef]
- Wang, X.; Xu, C.; Liu, H.; Huang, M.; Ren, X.; Wang, S.; Hua, Y.; Zhang, Q.B.; Ru, J. Influence of Chloride Ion on Zinc Electrodeposition from Choline Chloride Based Deep Eutectic Solvent. Ionics 2020, 26, 1483–1490. [Google Scholar] [CrossRef]
- Song, Z.; Hu, X.; Wu, H.; Mei, M.; Linke, S.; Zhou, T.; Qi, Z.; Sundmacher, K. Systematic Screening of Deep Eutectic Solvents as Sustainable Separation Media Exemplified by the CO2 Capture Process. ACS Sustain. 2020, 8, 8741–8751. [Google Scholar] [CrossRef]
- Fanali, C.; Della Posta, S.; Dugo, L.; Gentili, A.; Mondello, L.; De Gara, L. Choline-Chloride and Betaine-Based Deep Eutectic Solvents for Green Extraction of Nutraceutical Compounds from Spent Coffee Ground. J. Pharm. Biomed. Anal. 2020, 189, 113421. [Google Scholar] [CrossRef] [PubMed]
- Alonso, D.A.; Baeza, A.; Chinchilla, R.; Guillena, G.; Pastor, I.M.; Ramón, D.J. Deep Eutectic Solvents: The Organic Reaction Medium of the Century. Eur. J. Org. Chem. 2016, 2016, 612–632. [Google Scholar] [CrossRef]
- Sun, S.; Li, Y.; Sun, R.; Jiao, L.; Liu, S.; Yu, S. Tailoring Zn-Based Diacidic Functionalization of Deep Eutectic Solvent Catalyst: Green and Efficient Synthesis of ε-Caprolactam under Mild Conditions. Fuel 2024, 357, 129777. [Google Scholar] [CrossRef]
- Ünlü, A.E.; Arlkaya, A.; Takaç, S. Use of Deep Eutectic Solvents as Catalyst: A Mini-Review. Green Process. Synth. 2019, 8, 355–372. [Google Scholar] [CrossRef]
- El Achkar, T.; Greige-Gerges, H.; Fourmentin, S. Basics and Properties of Deep Eutectic Solvents: A Review. Environ. Chem. Lett. 2021, 19, 3397–3408. [Google Scholar] [CrossRef]
- Mogale, R.; Abraha, Y.W.; Schutte-Smith, M.; Visser, H.G.; Erasmus, E. Highly Efficient DES-Based Catalytic Systems for Carbon Dioxide Utilization via Cycloaddition with Epoxide Substrates. Mol. Catal. 2024, 554, 113812. [Google Scholar] [CrossRef]
- Sert, M. Catalytic Effect of Acidic Deep Eutectic Solvents for the Conversion of Levulinic Acid to Ethyl Levulinate. Renew. Energy 2020, 153, 1155–1162. [Google Scholar] [CrossRef]
- Hopkins, T.A.; Vanden Elzen, L.; Nelson, B.P.; Vaid, V.; Brickley, J.; Ariza, P.; Whitacre, G.; Patel, I.; Gooch, O.; Bechman, M.; et al. Chiral Solvent Discovery: Exploring Chiral Eutectic Mixtures and Deep Eutectic Solvents. Ind. Eng. Chem. Res. 2023, 62, 1606–1613. [Google Scholar] [CrossRef]
- Abbasi, F.; Sardarian, A.R. Direct Additive-Free N-Formylation and N-Acylation of Anilines and Synthesis of Urea Derivatives Using Green, Efficient, and Reusable Deep Eutectic Solvent ([ChCl][ZnCl2]2). Sci. Rep. 2024, 14, 7206. [Google Scholar] [CrossRef] [PubMed]
- Nguyen, T.T.; Tran, P.H. One-Pot Multicomponent Synthesis of Thieno [2,3-: B] Indoles Catalyzed by a Magnetic Nanoparticle-Supported [Urea]4[ZnCl2] Deep Eutectic Solvent. RSC Adv. 2020, 10, 9663–9671. [Google Scholar] [CrossRef] [PubMed]
- Hong, S.; Yuan, Y.; Yang, Q.; Chen, L.; Deng, J.; Chen, W.; Lian, H.; Mota-Morales, J.D.; Liimatainen, H. Choline Chloride-Zinc Chloride Deep Eutectic Solvent Mediated Preparation of Partial O-Acetylation of Chitin Nanocrystal in One Step Reaction. Carbohydr. Polym. 2019, 220, 211–218. [Google Scholar] [CrossRef] [PubMed]
- Wang, A.; Xing, P.; Zheng, X.; Cao, H.; Yang, G.; Zheng, X. Deep Eutectic Solvent Catalyzed Friedel–Crafts Alkylation of Electron-Rich Arenes with Aldehydes. RSC Adv. 2015, 5, 59022–59026. [Google Scholar] [CrossRef]
- An, Y.-L.; Shao, Z.-Y.; Cheng, J.; Zhao, S.-Y. Highly Efficient Aluminum Trichloride Catalyzed Michael Addition of Indoles and Pyrroles to Maleimides. Synthesis 2013, 45, 2719–2726. [Google Scholar] [CrossRef]
- Gutiérrez-Hernández, A.; Richaud, A.; Chacón-García, L.; Cortés-García, C.J.; Méndez, F.; Contreras-Celedón, C.A. Deep Eutectic Solvent Choline Chloride/p-toluenesulfonic Acid and Water Favor the Enthalpy-Driven Binding of Arylamines to Maleimide in Aza-Michael Addition. J. Org. Chem. 2021, 86, 223–234. [Google Scholar] [CrossRef]
- Sarjuna, K.; Ilangeswaran, D. Preparation of Some Zinc Chloride Based Deep Eutectic Solvents and Their Characterization. Mater. Today Proc. 2020, 33, 2767–2770. [Google Scholar] [CrossRef]
- Qin, H.; Hu, X.; Wang, J.; Cheng, H.; Chen, L.; Qi, Z. Overview of Acidic Deep Eutectic Solvents on Synthesis, Properties and Applications. Green Energy Environ. 2020, 5, 8–21. [Google Scholar] [CrossRef]
- Stewart, J.J. Optimization of parameters for semiempirical methods. V. Modification of NDDO approximations and application to 70 elements. J. Mol. Model. 2007, 13, 1173–1213. [Google Scholar] [CrossRef]
- Nakata, M.; Maeda, T. PubChemQC B3LYP/6-31G*//PM6 Data Set: The Electronic Structures of 86 Million Molecules Using B3LYP/6-31G* Calculations. J. Chem. Inf. Model. 2023, 63, 5734–5754. [Google Scholar] [CrossRef]
- Wilcox, R.J.; Losey, B.P.; Folmer, J.C.W.; Martin, J.D.; Zeller, M.; Sommer, R. Crystalline and Liquid Structure of Zinc Chloride Trihydrate: A Unique Ionic Liquid. Inorg. Chem. 2015, 54, 1109–1119. [Google Scholar] [CrossRef]
- Frisch, M.; Trucks, G.; Schlegel, H.; Scuseria, G.; Robb, M.; Cheeseman, J.; Scalmani, G.; Barone, V.; Mennucci, B.; Petersson, G. Gaussian 09, Revision B.01; Gaussian, Inc.: Wallingford, UK, 2013. [Google Scholar]





![]() | ||||
|---|---|---|---|---|
| Entry | DES | Reaction Temperature (°C) | 3a a Yield (%) c | 3b b Yield (%) c |
| 1 | ChCl/ZnCl2 (1:2) | 100 | --- | --- |
| 2 | ChCl/ZnCl2 (1:2) | 25 | 82 | 87 |
| 3 | Urea/ZnCl2 (3.5:1) | 25 | 52 | 58 |
| 4 | D-Glucosa/ZnCl2 (1:1) | 25 | 11 | 16 |
| 5 | D-(-)-Fructosa/ZnCl2 (1:1) | 25 | 10 | 8 |
| Reaction Mechanism | ||||||
|---|---|---|---|---|---|---|
| a | 36.06 i (33.87) ii | 34.47 (33.37) | 47.92 (47.43) | - | - | −22.76 (−21.48) |
| b | 22.67 (22.06) | 15.51 (10.08) | 31.15 (28.43) | - | - | −30.86 (−29.26) |
| c | 7.32 (9.37) | −20.93 (−15.32) | 11.61 (14.28) | - | - | −37.68 (−34.90) |
| d | 11.40 (13.62) | −0.90 (2.58) | 6.38 (5.18) | −20.86 (−21.08) | −15.47 (−16.35) | −34.00 (−34.08) |
Disclaimer/Publisher’s Note: The statements, opinions and data contained in all publications are solely those of the individual author(s) and contributor(s) and not of MDPI and/or the editor(s). MDPI and/or the editor(s) disclaim responsibility for any injury to people or property resulting from any ideas, methods, instructions or products referred to in the content. |
© 2024 by the authors. Licensee MDPI, Basel, Switzerland. This article is an open access article distributed under the terms and conditions of the Creative Commons Attribution (CC BY) license (https://creativecommons.org/licenses/by/4.0/).
Share and Cite
Gutiérrez-Hernández, A.; Soto-Suárez, F.M.; Richaud, A.; Méndez, F.; Contreras-Celedón, C.A. ZnCl2-Based Deep Eutectic Solvent as Solvent-Catalyst in the Michael Addition Reaction of Pyrrole to Maleimide. Molecules 2024, 29, 5381. https://doi.org/10.3390/molecules29225381
Gutiérrez-Hernández A, Soto-Suárez FM, Richaud A, Méndez F, Contreras-Celedón CA. ZnCl2-Based Deep Eutectic Solvent as Solvent-Catalyst in the Michael Addition Reaction of Pyrrole to Maleimide. Molecules. 2024; 29(22):5381. https://doi.org/10.3390/molecules29225381
Chicago/Turabian StyleGutiérrez-Hernández, Abelardo, Fátima M. Soto-Suárez, Arlette Richaud, Francisco Méndez, and Claudia Araceli Contreras-Celedón. 2024. "ZnCl2-Based Deep Eutectic Solvent as Solvent-Catalyst in the Michael Addition Reaction of Pyrrole to Maleimide" Molecules 29, no. 22: 5381. https://doi.org/10.3390/molecules29225381
APA StyleGutiérrez-Hernández, A., Soto-Suárez, F. M., Richaud, A., Méndez, F., & Contreras-Celedón, C. A. (2024). ZnCl2-Based Deep Eutectic Solvent as Solvent-Catalyst in the Michael Addition Reaction of Pyrrole to Maleimide. Molecules, 29(22), 5381. https://doi.org/10.3390/molecules29225381


