A Ratiometric Fluorescence Probe for Visualized Detection of Heavy Metal Cadmium and Application in Water Samples and Living Cells
Abstract
1. Introduction
2. Results and Discussion
2.1. Spectral Response of BQFA to Cd2+
2.2. Mechanism Research of BQFA with Cd2+
2.3. Reversibility Studies
3. Practical Applications
3.1. Application on Test Paper and in a Smartphone
3.2. Analysis of Cd2+ in Real Samples
3.3. Fluorescence Imaging of Cd2+ in Living Cells
4. Materials and Methods
4.1. Experiments
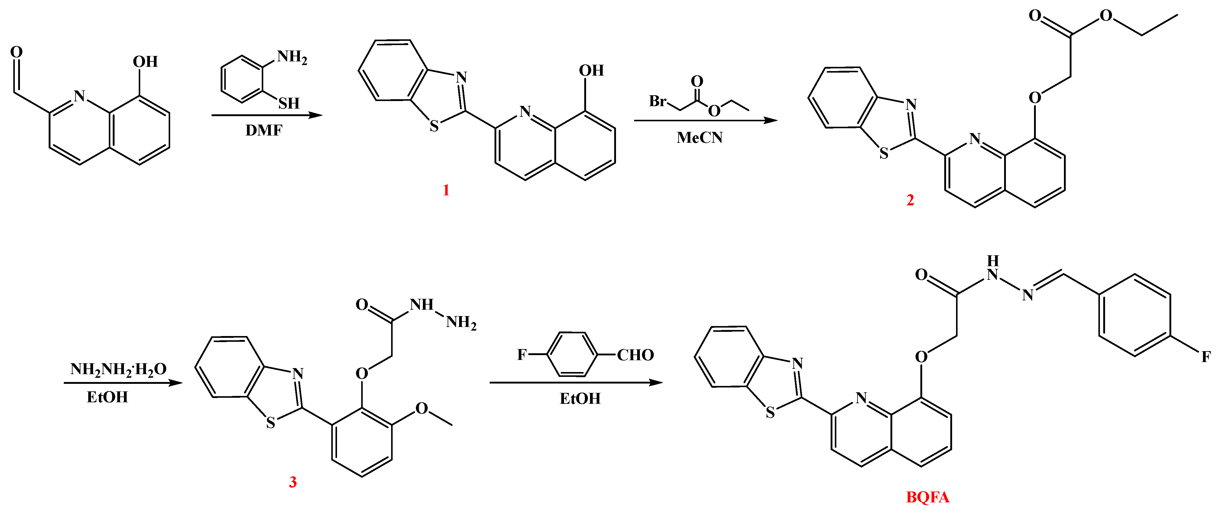
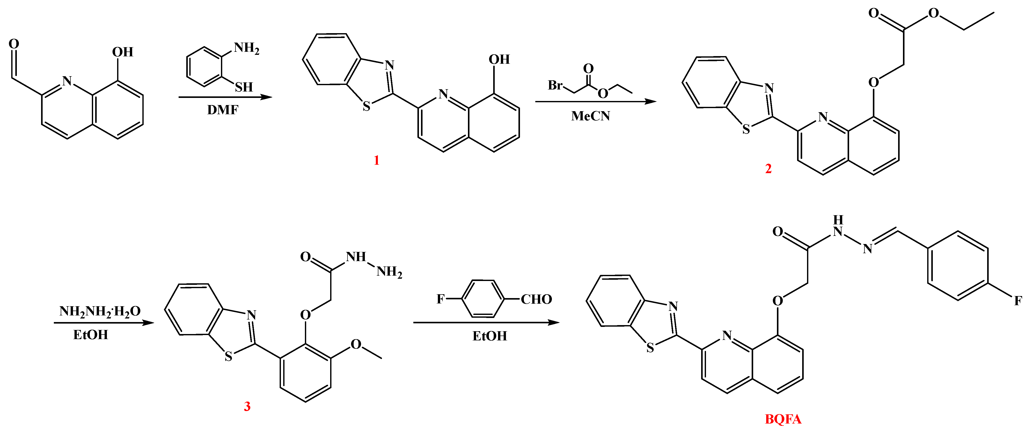
4.1.1. Synthesis of BQFA
4.1.2. Spectral Measurement Preparation
4.1.3. Spectral Measurement Preparation and Applications of BQFA
5. Conclusions
Supplementary Materials
Author Contributions
Funding
Institutional Review Board Statement
Informed Consent Statement
Data Availability Statement
Conflicts of Interest
References
- Li, Y.X.; Xiong, X.; Lin, C.Y.; Zhang, F.S.; Wei, L.; Wei, H. Cadmium in animal production and its potential hazard on Beijing and Fuxin farmlands. J. Hazard. Mater. 2010, 177, 475–480. [Google Scholar] [CrossRef] [PubMed]
- Lindi, A.M.; Falah, S.; Sadeghnezhad, M.; Ghorbani, M. Optimization of fenugreek seed mucilage extraction for the synthesis of a novel bio-nano composite for efficient removal of cadmium ions from aqueous environments. Int. J. Biol. Macromol. 2024, 261, 129882. [Google Scholar] [CrossRef]
- Jaafarzadeh, N.; Tari, K.; Samarghandi, M.R.; Fard, M.P.; Jorfi, S.; Feizi, R.; Mehrbakhsh, M. Non-carcinogenic risk assessment of cadmium and lead in raw milk from dairy production farms in Iran, using Monte Carlo simulation approach. J. Food Compos. Anal. 2023, 115, 104864. [Google Scholar] [CrossRef]
- Lee, J.W.; Jo, A.H.; Lee, D.C.; Choi, C.Y.; Kang, J.C.; Kim, J.H. Review of cadmium toxicity effects on fish: Oxidative stress and immune responses. Environ. Res. 2023, 236, 116600. [Google Scholar] [CrossRef] [PubMed]
- Albayrak, I.; Demirci, T.; Ozmen, S.; Baydar, N.G. Cadmium chloride as an alternative application to increase the production of tropane alkaloids and phenolics in root cultures of Hyoscyamus niger L. S. Afr. J. Bot. 2024, 167, 562–569. [Google Scholar] [CrossRef]
- Hambach, R.; Lison, D.; D’Haese, P.C.; Weyler, J.; De Graef, E.; De Schryver, A.; Lamberts, L.V.; van Sprundel, M. Co-exposure to lead increases the renal response to low levels of cadmium in metallurgy workers. Toxicol. Lett. 2013, 222, 233–238. [Google Scholar] [CrossRef]
- Bernardes, M.M.; Pereira, A.A.S.; Ferreira, R.A.; da Silva, V.N.; Nery, F.C.; Bicalho, E.M. Unveiling how the offspring of sunflower plants cultivated with cadmium and manganese cope with environmental conditions similar to those experienced by their parents. Environ. Exp. Bot. 2024, 220, 105681. [Google Scholar] [CrossRef]
- Piršelová, B.; Lengyelová, L.; Galuščáková, Ľ.; Mészáros, P.; Boleček, P.; Kubová, V.; Rybanský, Ľ.; Kuna, R. Evaluation of the tolerance and accumulation potential of selected sunflower hybrids grown in soil contaminated with cadmium. S. Afr. J. Bot. 2024, 167, 419–428. [Google Scholar] [CrossRef]
- Arias, M.; Barral, M.T.; Mejuto, J.C. Enhancement of copper and cadmium adsorption on kaolin by the presence of humic acids. Chemosphere 2002, 48, 1081–1088. [Google Scholar] [CrossRef]
- Huang, Y.; He, C.; Shen, C.; Guo, J.; Mubeen, S.; Yuan, J.; Yang, Z. Toxicity of cadmium and its health risks from leafy vegetable consumption. Food Funct. 2017, 8, 1373–1401. [Google Scholar] [CrossRef]
- Liang, Y.; Zeng, T.; Tian, J.; Yan, J.; Lan, Z.; Chen, J.; Xin, X.; Lei, B.; Cai, Z. Long-term environmental cadmium exposure induced serum metabolic changes related to renal and liver dysfunctions in a female cohort from Southwest China. Sci. Total Environ. 2021, 798, 149379. [Google Scholar] [CrossRef] [PubMed]
- Fujiwara, Y.; Lee, J.Y.; Banno, H.; Imai, S.; Tokumoto, M.; Hasegawa, T.; Seko, Y.; Nagase, H.; Satoh, M. Cadmium induces iron deficiency anemia through the suppression of iron transport in the duodenum. Toxicol. Lett. 2020, 332, 130–139. [Google Scholar] [CrossRef]
- Ren, J.; Liu, S.; Zhang, Q.; Zhang, Z.; Shang, S. Effects of cadmium exposure on haemocyte immune function of clam Ruditapes philippinarum at different temperatures. Mar. Environ. Res. 2024, 195, 106375. [Google Scholar] [CrossRef] [PubMed]
- Torres-Rodriguez, H.F.; Graniel-Amador, M.A.; Cruz-Camacho, C.J.; Cantu-Martinez, A.A.; Martinez-Martinez, A.; Petricevich, V.L.; Montes, S.; Castaneda-Corral, G.; Jimenez-Andrade, J.M. Characterization of pain-related behaviors, changes in bone microarchitecture and sensory innervation induced by chronic cadmium exposure in adult mice. Neurotoxicology 2022, 89, 99–109. [Google Scholar] [CrossRef] [PubMed]
- Bautista, C.J.; Arango, N.; Plata, C.; Mitre-Aguilar, I.B.; Trujillo, J.; Ramirez, V. Mechanism of cadmium-induced nephrotoxicity. Toxicology 2024, 502, 153726. [Google Scholar] [CrossRef]
- Qiu, W.; Ye, J.; Su, Y.; Zhang, X.; Pang, X.; Liao, J.; Wang, R.; Zhao, C.; Zhang, H.; Hu, L.; et al. Co-exposure to environmentally relevant concentrations of cadmium and polystyrene nanoplastics induced oxidative stress, ferroptosis and excessive mitophagy in mice kidney. Environ. Pollut. 2023, 333, 121947. [Google Scholar] [CrossRef]
- Shi, G.; Tai, T.; Miao, Y.; Yan, L.; Han, T.; Dong, H.; Liu, Z.; Cheng, T.; Liu, Y.; Yang, Y.; et al. The antagonism mechanism of astilbin against cadmium-induced injury in chicken lungs via Treg/Th1 balance signaling pathway. Ecotoxicol. Environ. Saf. 2024, 277, 116364. [Google Scholar] [CrossRef]
- Lin, H.C.; Hao, W.M.; Chu, P.H. Cadmium and cardiovascular disease: An overview of pathophysiology, epidemiology, therapy, and predictive value. Rev. Port Cardiol. (Engl. Ed). 2021, 40, 611–617. [Google Scholar] [CrossRef]
- Guo, X.; Li, N.; Wang, H.; Su, W.; Song, Q.; Liang, Q.; Liang, M.; Sun, C.; Li, Y.; Lowe, S.; et al. Combined exposure to multiple metals on cardiovascular disease in NHANES under five statistical models. Environ. Res. 2022, 215, 114435. [Google Scholar] [CrossRef]
- Lener, M.R.; Reszka, E.; Marciniak, W.; Lesicka, M.; Baszuk, P.; Jablonska, E.; Bialkowska, K.; Muszynska, M.; Pietrzak, S.; Derkacz, R.; et al. Blood cadmium levels as a marker for early lung cancer detection. J. Trace Elem. Med. Biol. 2021, 64, 126682. [Google Scholar] [CrossRef]
- Hou, C.; Zhao, J.; Zhang, Y.; Qian, Y.; Chen, J.; Yang, M.; Du, J.; Chen, T.; Huang, B.; Zhou, X. Enhanced simultaneous removal of cadmium, lead, and acetochlor in hyporheic zones with calcium peroxide coupled with zero-valent iron: Mechanisms and application. Chem. Eng. J. 2022, 427, 130900. [Google Scholar] [CrossRef]
- Verzelloni, P.; Urbano, T.; Wise, L.A.; Vinceti, M.; Filippini, T. Cadmium exposure and cardiovascular disease risk: A systematic review and dose-response meta-analysis. Environ. Pollut. 2024, 345, 123462. [Google Scholar] [CrossRef] [PubMed]
- Xu, C.; Weng, Z.; Zhang, L.; Xu, J.; Dahal, M.; Basnet, T.B.; Gu, A. HDL cholesterol: A potential mediator of the association between urinary cadmium concentration and cardiovascular disease risk. Ecotoxicol. Environ. Saf. 2021, 208, 111433. [Google Scholar] [CrossRef] [PubMed]
- Chen, W.; Xie, H.; Jiang, N.; Guo, X.; Liu, Z. Synthesis of magnetic sodium lignosulfonate hydrogel(Fe(3)O(4)@LS) and its adsorption behavior for Cd2+ in wastewater. Int. J. Biol. Macromol. 2023, 245, 125498. [Google Scholar] [CrossRef]
- Liu, P.; Liu, J.; Yao, F.; Zhan, X.; Qi, X. Efficient and very selective dual mode chemosensor for Cd(II) ions in live cells. J. Photochem. Photobiol. B 2020, 202, 111717. [Google Scholar] [CrossRef]
- Stohs, S.J.; Bagchi, D. Oxidative mechanisms in the toxicity of metal ions. Free. Radic. Biol. Med. 1995, 18, 321–336. [Google Scholar] [CrossRef]
- Lv, J.; Liu, G.; Fan, C.; Pu, S. A highly sensitive fluorescent sensor for Cd2+ and Zn2+ based on diarylethene with a pyrene unit. Spectrochim. Acta A Mol. Biomol. Spectrosc. 2020, 227, 117581. [Google Scholar] [CrossRef]
- Muddassir, M.; Alarifi, A.; Afzal, M.; Alshali, K.A.; Abduh, N.A.Y.; Beagan, A. A fluorescent Cu(ii) complex as a dual functional sensor for selective and sensitive detection of acetone and Cd(ii) pollutants. RSC Adv. 2020, 10, 42137–42146. [Google Scholar] [CrossRef]
- Francis, S.; Rajith, L. Water soluble porphyrin for the determination of Cd2+ metal ion and glucose. J. Photochem. Photobiol. A Chem. 2024, 449, 115352. [Google Scholar] [CrossRef]
- Pei, K.L.; Sooriyaarachchi, M.; Sherrell, D.A.; George, G.N.; Gailer, J. Probing the coordination behavior of Hg2+, CH3Hg+, and Cd2+ towards mixtures of two biological thiols by HPLC-ICP-AES. J. Inorg. Biochem. 2011, 105, 375–381. [Google Scholar] [CrossRef]
- Meng, R.; Zhu, Q.; Long, T.; He, X.; Luo, Z.; Gu, R.; Wang, W.; Xiang, P. The innovative and accurate detection of heavy metals in foods: A critical review on electrochemical sensors. Food Control. 2023, 150, 109743. [Google Scholar] [CrossRef]
- Shang, Z.; Wang, T.; Ye, Q.; Wu, P.; Wu, J.; Sun, L.; Zhu, N. Immobilization of Pb2+ and Cd2+ on the novel calcium/magnesium silicate and their transformation in the presence of phosphate. Desalination 2023, 568, 117007. [Google Scholar] [CrossRef]
- Sajnóg, A.; Koko, E.; Paszyńska, K.; Barałkiewicz, D. Multielemental speciation analysis of Cd2+, Pb2+ and (CH3)3Pb+ in herb roots by HPLC/ICP-DRC-MS. Validation and application to real samples analysis. Talanta Open 2022, 5, 100119. [Google Scholar] [CrossRef]
- Zaman, B.T.; Bakirdere, E.G.; Kasa, N.A.; Deniz, S.; Sel, S.; Chormey, D.S.; Bakirdere, S. Development of an efficient and sensitive analytical method for the determination of copper at trace levels by slotted quartz tube atomic absorption spectrometry after vortex-assisted dispersive liquid-liquid microextraction in biota and water samples using a novel ligand. Environ. Monit. Assess. 2018, 190, 437. [Google Scholar]
- Yang, Y.S.; Ma, S.S.; Zhang, Y.P.; Ru, J.X.; Liu, X.Y.; Guo, H.C. A novel biphenyl-derived salicylhydrazone Schiff base fluorescent probes for identification of Cu2+ and application in living cells. Spectrochim. Acta A Mol. Biomol. Spectrosc. 2018, 199, 202–208. [Google Scholar] [CrossRef] [PubMed]
- Chen, Z.; Zhang, Z.; Qi, J.; You, J.; Ma, J.; Chen, L. Colorimetric detection of heavy metal ions with various chromogenic materials: Strategies and applications. J. Hazard. Mater. 2023, 441, 129889. [Google Scholar] [CrossRef] [PubMed]
- Dai, Y.; Yao, K.; Fu, J.; Xue, K.; Yang, L.; Xu, K. A novel 2-(Hydroxymethyl)quinolin-8-ol-based selective and sensitive fluorescence probe for Cd2+ ion in water and living cells. Sens. Actuators B Chem. 2017, 251, 877–884. [Google Scholar] [CrossRef]
- Zhang, M.; Zheng, S.-t.; Liu, X.-j.; Long, Y.; Yang, B.-q. A series of novel NIR fluorescent dyes: Synthesis, theoretical calculations and fluorescence imaging applications in living cells. Dye. Pigment. 2016, 125, 220–228. [Google Scholar] [CrossRef]
- Yue, X.L.; Wang, Z.Q.; Li, C.R.; Yang, Z.Y. A highly selective and sensitive fluorescent chemosensor and its application for rapid on-site detection of Al3+. Spectrochim. Acta A Mol. Biomol. Spectrosc. 2018, 193, 415–421. [Google Scholar] [CrossRef]
- Biswas, A.; Pandey, R.; Kushwaha, D.; Shahid, M.; Tiwari, V.K.; Misra, A.; Pandey, D.S. Glycosyl based meso-substituted dipyrromethanes as fluorescent probes for Cd2+/Cu2+ ions. Tetrahedron Lett. 2013, 54, 4193–4197. [Google Scholar] [CrossRef]
- Tian, Z.; Cui, S.; Pu, S. A highly selective fluorescent sensor for dual detection of Zn2+ and F− based on a new diarylethene. Tetrahedron Lett. 2016, 57, 2703–2707. [Google Scholar] [CrossRef]
- Nolan, E.M.; Ryu, J.W.; Jaworski, J.; Feazell, R.P.; Sheng, M.; Lippard, S.J. Zinspy sensors with enhanced dynamic range for imaging neuronal cell zinc uptake and mobilization. J. Am. Chem. Soc. 2006, 128, 15517–15528. [Google Scholar] [CrossRef] [PubMed][Green Version]
- Satheeshkumar, R.; Rajamanikandan, R.; Ilanchelian, M.; Sayin, K.; Prasad, K.J.R. Synthesis of novel 1,10-phenanthroline derivatives and it used as probes for sensitive detection of Zn2+ and Cd2+ metal ions—Spectroscopic and theoretical approach. Spectrochim. Acta A Mol. Biomol. Spectrosc. 2019, 221, 117196. [Google Scholar] [CrossRef]
- Tang, J.L.; Li, C.Y.; Li, Y.F.; Lu, X.; Qi, H.R. A highly sensitive and selective fluorescent probe for trivalent aluminum ion based on rhodamine derivative in living cells. Anal. Chim. Acta 2015, 888, 155–161. [Google Scholar] [CrossRef] [PubMed]
- Li, J.; Chen, Y.; Chen, T.; Qiang, J.; Zhang, Z.; Wei, T.; Zhang, W.; Wang, F.; Chen, X. A benzothiazole-based fluorescent probe for efficient detection and discrimination of Zn2+ and Cd2+, using cysteine as an auxiliary reagent. Sens. Actuators B Chem. 2018, 268, 446–455. [Google Scholar] [CrossRef]
- Wang, J.; Lin, W.; Li, W. Single fluorescent probe displays a distinct response to Zn2+ and Cd2+. Chemistry 2012, 18, 13629–13632. [Google Scholar] [CrossRef] [PubMed]
- Jiao, S.Y.; Li, K.; Zhang, W.; Liu, Y.H.; Huang, Z.; Yu, X.Q. Cd(II)-terpyridine-based complex as a ratiometric fluorescent probe for pyrophosphate detection in solution and as an imaging agent in living cells. Dalton Trans. 2015, 44, 1358–1365. [Google Scholar] [CrossRef]
- Chen, W.; Xu, H.; Ju, L.; Lu, H. A highly sensitive fluorogenic “turn-on” chemosensor for the recognition of Cd2+ based on a hybrid purine-quinoline Schiff base. Tetrahedron 2021, 88, 132123. [Google Scholar] [CrossRef]
- Wang, X.-W.; Fu, L.; Cui, G.-H. Four Cd(II)-CPs as dual-responsive luminescent probes for the sensing of Co2+/Hg2+ and chlortetracycline. Polyhedron 2023, 244, 116624. [Google Scholar] [CrossRef]
- Panda, S.K.; Sahu, R.P.; Goswami, C.; Singh, A.K. Easily synthesizable molecular probe for the nanomolar level detection of Cd2+ in near aqueous media: Theoretical investigations and live cell imaging. Spectrochim. Acta A Mol. Biomol. Spectrosc. 2023, 302, 123098. [Google Scholar] [CrossRef]
- Su, C.; Guo, F. A Cd(II)-based MOF as a dual-responsive luminescent probe for highly selective detection of Fe3+ cation and nitrofurantoin. Inorg. Chem. Commun. 2021, 125, 108427. [Google Scholar] [CrossRef]
- Luo, K.; Zhou, L.; Xie, C.; Yang, Q.; Tan, L.; Lin, Q. High-fidelity fluorescent probes for visualizing the inhibitory behavior of selenium on cadmium uptake in rice. J. Hazard. Mater. 2023, 457, 131748. [Google Scholar] [CrossRef] [PubMed]
- Zou, Y.L.; Liu, Y.T. A novel isophorone-based NIR fluorescent and colormetric probe for Al3+ sensing and its application for living cells and plants imaging. Spectrochim. Acta A Mol. Biomol. Spectrosc. 2024, 312, 124040. [Google Scholar] [CrossRef] [PubMed]
- Liu, Q.; Liu, Y.; Xing, Z.; Huang, Y.; Ling, L.; Mo, X. A novel dual-function probe for fluorescent turn-on recognition and differentiation of Al3+ and Ga3+ and its application. Spectrochim. Acta A Mol. Biomol. Spectrosc. 2023, 287, 122076. [Google Scholar] [CrossRef]
- Wang, K.; Wang, W.; Zhang, R.; Liu, Y.; Hou, C.; Guo, Y.; Zhang, C. Preparation of low molecular weight chondroitin sulfate from different sources by H2O2/ascorbic acid degradation and its degradation mechanism. Food Chem. 2024, 434, 137392. [Google Scholar] [CrossRef] [PubMed]
- Praveen, P.A.; Saravanapriya, D.; Bhat, S.V.; Arulkannan, K.; Kanagasekaran, T. Comprehensive analysis of DFT-3C methods with B3LYP and experimental data to model optoelectronic properties of tetracene. Mater. Sci. Semicond. Process. 2024, 173, 108159. [Google Scholar] [CrossRef]
- Liu, Y.T.; Zhang, Q.Q.; Yao, S.Y.; Cui, H.W.; Zou, Y.L.; Zhao, L.X. Dual-recognition “turn-off-on” fluorescent Biosensor triphenylamine-based continuous detection of copper ion and glyphosate applicated in environment and living system. J. Hazard. Mater. 2024, 477, 135216. [Google Scholar] [CrossRef]
- Huang, Y.; Chen, W.; Dong, M.; Li, N.; Chen, L.; Ling, L.; Xu, Q.; Lin, M.; Xing, Z. A novel fluorescence probe for the recognition of Cd2+ and its application. Spectrochim. Acta A Mol. Biomol. Spectrosc. 2023, 301, 122979. [Google Scholar] [CrossRef]









| Water Samples Studied | Amount of Standard Cd2+ Added (μM) | Total Cd2+ Found (n = 3) (μM) | Recovery of Cd2+ (n = 3) Added (%) | Relative Error (%) |
|---|---|---|---|---|
| Tap water | 5 | 4.97 ± 0.23 | 99.4 | 4.62 |
| 10 | 10.21 ± 0.19 | 102.1 | 1.86 | |
| 15 | 14.87 ± 0.21 | 99.1 | 1.41 | |
| You River water | 5 | 5.08 ± 0.15 | 101.6 | 2.95 |
| 10 | 10.13 ± 0.31 | 103.1 | 3.06 | |
| 15 | 14.96 ± 0.33 | 99.7 | 2.20 | |
| Aqueous solution of soil extract | 5 | 5.22 ± 0.37 | 104.4 | 7.08 |
| 10 | 9.75 ± 0.28 | 97.5 | 2.87 | |
| 15 | 15.31 ± 0.45 | 102.1 | 2.94 |
Disclaimer/Publisher’s Note: The statements, opinions and data contained in all publications are solely those of the individual author(s) and contributor(s) and not of MDPI and/or the editor(s). MDPI and/or the editor(s) disclaim responsibility for any injury to people or property resulting from any ideas, methods, instructions or products referred to in the content. |
© 2024 by the authors. Licensee MDPI, Basel, Switzerland. This article is an open access article distributed under the terms and conditions of the Creative Commons Attribution (CC BY) license (https://creativecommons.org/licenses/by/4.0/).
Share and Cite
Xu, Q.; Qin, W.; Qin, Y.; Hu, G.; Xing, Z.; Liu, Y. A Ratiometric Fluorescence Probe for Visualized Detection of Heavy Metal Cadmium and Application in Water Samples and Living Cells. Molecules 2024, 29, 5331. https://doi.org/10.3390/molecules29225331
Xu Q, Qin W, Qin Y, Hu G, Xing Z, Liu Y. A Ratiometric Fluorescence Probe for Visualized Detection of Heavy Metal Cadmium and Application in Water Samples and Living Cells. Molecules. 2024; 29(22):5331. https://doi.org/10.3390/molecules29225331
Chicago/Turabian StyleXu, Qijiang, Wen Qin, Yanfei Qin, Guiying Hu, Zhiyong Xing, and Yatong Liu. 2024. "A Ratiometric Fluorescence Probe for Visualized Detection of Heavy Metal Cadmium and Application in Water Samples and Living Cells" Molecules 29, no. 22: 5331. https://doi.org/10.3390/molecules29225331
APA StyleXu, Q., Qin, W., Qin, Y., Hu, G., Xing, Z., & Liu, Y. (2024). A Ratiometric Fluorescence Probe for Visualized Detection of Heavy Metal Cadmium and Application in Water Samples and Living Cells. Molecules, 29(22), 5331. https://doi.org/10.3390/molecules29225331
