Virtual Screening Approaches to Identify Promising Multitarget-Directed Ligands for the Treatment of Autism Spectrum Disorder
Abstract
1. Introduction
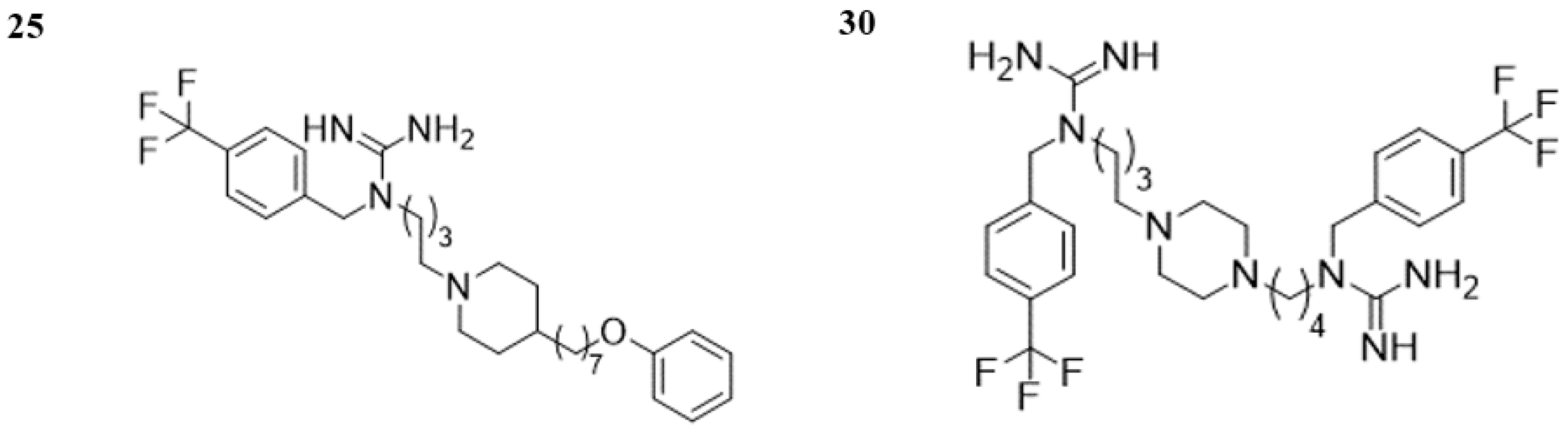
2. Results and Discussion
3. Methods
3.1. Computer-Aided Evaluation of Ligands
3.2. Inhibition of Electric eel AChE and Equine Serum BChE
3.3. In Vitro Screening Against Human D2 Receptor
3.4. In Vitro Human D2 and D3 Receptor Radioligand Displacement Assay
4. Conclusions
Supplementary Materials
Author Contributions
Funding
Institutional Review Board Statement
Informed Consent Statement
Data Availability Statement
Conflicts of Interest
Abbreviations
References
- Lord, C.; Elsabbagh, M.; Baird, G.; Veenstra-Vanderweele, J. Autism Spectrum Disorder. Lancet 2018, 392, 508–520. [Google Scholar] [CrossRef] [PubMed]
- Data and Statistics on Autism Spectrum Disorder|CDC. Available online: https://www.cdc.gov/autism/data-research/index.html (accessed on 10 May 2023).
- Salari, N.; Rasoulpoor, S.; Rasoulpoor, S.; Shohaimi, S.; Jafarpour, S.; Abdoli, N.; Khaledi-Paveh, B.; Mohammadi, M. The Global Prevalence of Autism Spectrum Disorder: A Comprehensive Systematic Review and Meta-Analysis. Ital. J. Pediatr. 2022, 48, 112. [Google Scholar] [CrossRef]
- Genovese, A.; Butler, M.G. Clinical Assessment, Genetics, and Treatment Approaches in Autism Spectrum Disorder (ASD). Int. J. Mol. Sci. 2020, 21, 4726. [Google Scholar] [CrossRef] [PubMed]
- Anderson, G. Autism Spectrum Disorder: Pathophysiology and Treatment Implications. Curr. Pharm. Des. 2019, 25, 4319–4320. [Google Scholar] [CrossRef]
- Matta, S.M.; Hill-Yardin, E.L.; Crack, P.J. The Influence of Neuroinflammation in Autism Spectrum Disorder. Brain Behav. Immun. 2019, 79, 75–90. [Google Scholar] [CrossRef] [PubMed]
- Bhandari, R.; Paliwal, J.K.; Kuhad, A. Neuropsychopathology of Autism Spectrum Disorder: Complex Interplay of Genetic, Epigenetic, and Environmental Factors. Adv. Neurobiol. 2020, 24, 97–141. [Google Scholar] [CrossRef]
- Kolodny, T.; Schallmo, M.-P.; Gerdts, J.; Edden, R.A.E.; Bernier, R.A.; Murray, S.O. Concentrations of Cortical GABA and Glutamate in Young Adults With Autism Spectrum Disorder. Autism Res. 2020, 13, 1111–1129. [Google Scholar] [CrossRef]
- Sharma, A.R.; Batra, G.; Saini, L.; Sharma, S.; Mishra, A.; Singla, R.; Singh, A.; Singh, R.S.; Jain, A.; Bansal, S.; et al. Valproic Acid and Propionic Acid Modulated Mechanical Pathways Associated with Autism Spectrum Disorder at Prenatal and Neonatal Exposure. CNS Neurol. Disord. Drug Targets 2022, 21, 399–408. [Google Scholar] [CrossRef]
- Howes, O.D.; Rogdaki, M.; Findon, J.L.; Wichers, R.H.; Charman, T.; King, B.H.; Loth, E.; McAlonan, G.M.; McCracken, J.T.; Parr, J.R.; et al. Autism Spectrum Disorder: Consensus Guidelines on Assessment, Treatment and Research from the British Association for Psychopharmacology. J. Psychopharmacol. 2018, 32, 3–29. [Google Scholar] [CrossRef]
- Goodspeed, K.; Pérez-Palma, E.; Iqbal, S.; Cooper, D.; Scimemi, A.; Johannesen, K.M.; Stefanski, A.; Demarest, S.; Helbig, K.L.; Kang, J.; et al. Current Knowledge of SLC6A1-Related Neurodevelopmental Disorders. Brain Commun. 2020, 2, fcaa170. [Google Scholar] [CrossRef]
- Marotta, R.; Risoleo, M.C.; Messina, G.; Parisi, L.; Carotenuto, M.; Vetri, L.; Roccella, M. The Neurochemistry of Autism. Brain Sci. 2020, 10, 163. [Google Scholar] [CrossRef]
- Naaijen, J.; Bralten, J.; Poelmans, G.; IMAGE consortium; Glennon, J.C.; Franke, B.; Buitelaar, J.K. Glutamatergic and GABAergic Gene Sets in Attention-Deficit/Hyperactivity Disorder: Association to Overlapping Traits in ADHD and Autism. Transl. Psychiatry 2017, 7, e999. [Google Scholar] [CrossRef]
- Purkayastha, P.; Malapati, A.; Yogeeswari, P.; Sriram, D. A Review on GABA/Glutamate Pathway for Therapeutic Intervention of ASD and ADHD. Curr. Med. Chem. 2015, 22, 1850–1859. [Google Scholar] [CrossRef]
- Wang, L.; Almeida, L.E.F.; Nettleton, M.; Khaibullina, A.; Albani, S.; Kamimura, S.; Nouraie, M.; Quezado, Z.M.N. Altered Nocifensive Behavior in Animal Models of Autism Spectrum Disorder: The Role of the Nicotinic Cholinergic System. Neuropharmacology 2016, 111, 323–334. [Google Scholar] [CrossRef]
- Koevoet, D.; Deschamps, P.K.H.; Kenemans, J.L. Catecholaminergic and Cholinergic Neuromodulation in Autism Spectrum Disorder: A Comparison to Attention-Deficit Hyperactivity Disorder. Front. Neurosci. 2022, 16, 1078586. [Google Scholar] [CrossRef]
- Pennington, S.; Stutzman, D.; Sannar, E. Pitolisant in an Adolescent with Prader-Willi Syndrome. J. Pediatr. Pharmacol. Ther. 2021, 26, 405–410. [Google Scholar] [CrossRef]
- Wright, C.; Shin, J.H.; Rajpurohit, A.; Deep-Soboslay, A.; Collado-Torres, L.; Brandon, N.J.; Hyde, T.M.; Kleinman, J.E.; Jaffe, A.E.; Cross, A.J.; et al. Altered Expression of Histamine Signaling Genes in Autism Spectrum Disorder. Transl. Psychiatry 2017, 7, e1126. [Google Scholar] [CrossRef]
- Eissa, N.; Sadeq, A.; Sasse, A.; Sadek, B. Role of Neuroinflammation in Autism Spectrum Disorder and the Emergence of Brain Histaminergic System. Lessons Also for BPSD? Front. Pharmacol. 2020, 11, 886. [Google Scholar] [CrossRef]
- Lin, J.-S.; Sergeeva, O.A.; Haas, H.L. Histamine H3 Receptors and Sleep-Wake Regulation. J. Pharmacol. Exp. Ther. 2011, 336, 17–23. [Google Scholar] [CrossRef]
- Rapanelli, M.; Pittenger, C. Histamine and Histamine Receptors in Tourette Syndrome and Other Neuropsychiatric Conditions. Neuropharmacology 2016, 106, 85–90. [Google Scholar] [CrossRef]
- Cheng, L.; Liu, J.; Chen, Z. The Histaminergic System in Neuropsychiatric Disorders. Biomolecules 2021, 11, 1345. [Google Scholar] [CrossRef]
- Schwartz, J.-C. The Histamine H3 Receptor: From Discovery to Clinical Trials with Pitolisant. Br. J. Pharmacol. 2011, 163, 713–721. [Google Scholar] [CrossRef]
- Baronio, D.; Puttonen, H.A.J.; Sundvik, M.; Semenova, S.; Lehtonen, E.; Panula, P. Embryonic Exposure to Valproic Acid Affects the Histaminergic System and the Social Behaviour of Adult Zebrafish (Danio rerio). Br. J. Pharmacol. 2018, 175, 797–809. [Google Scholar] [CrossRef]
- Arrang, J.-M. Histamine and Schizophrenia. Int. Rev. Neurobiol. 2007, 78, 247–287. [Google Scholar] [CrossRef]
- Alhusaini, M.; Eissa, N.; Saad, A.K.; Beiram, R.; Sadek, B. Revisiting Preclinical Observations of Several Histamine H3 Receptor Antagonists/Inverse Agonists in Cognitive Impairment, Anxiety, Depression, and Sleep-Wake Cycle Disorder. Front. Pharmacol. 2022, 13, 861094. [Google Scholar] [CrossRef]
- Linday, L.A. Oral Famotidine: A Potential Treatment for Children with Autism. Med. Hypotheses 1997, 48, 381–386. [Google Scholar] [CrossRef]
- Linday, L.A.; Tsiouris, J.A.; Cohen, I.L.; Shindledecker, R.; DeCresce, R. Famotidine Treatment of Children with Autistic Spectrum Disorders: Pilot Research Using Single Subject Research Design. J. Neural Transm. 2001, 108, 593–611. [Google Scholar] [CrossRef]
- Taheri, F.; Esmaeilpour, K.; Sepehri, G.; Sheibani, V.; Ur Rehman, N.; Maneshian, M. Histamine H3 Receptor Antagonist, Ciproxifan, Alleviates Cognition and Synaptic Plasticity Alterations in a Valproic Acid-Induced Animal Model of Autism. Psychopharmacology 2022, 239, 2673–2693. [Google Scholar] [CrossRef]
- Eissa, N.; Jayaprakash, P.; Azimullah, S.; Ojha, S.K.; Al-Houqani, M.; Jalal, F.Y.; Łażewska, D.; Kieć-Kononowicz, K.; Sadek, B. The Histamine H3R Antagonist DL77 Attenuates Autistic Behaviors in a Prenatal Valproic Acid-Induced Mouse Model of Autism. Sci. Rep. 2018, 8, 13077. [Google Scholar] [CrossRef]
- DiCarlo, G.E.; Wallace, M.T. Modeling Dopamine Dysfunction in Autism Spectrum Disorder: From Invertebrates to Vertebrates. Neurosci. Biobehav. Rev. 2022, 133, 104494. [Google Scholar] [CrossRef]
- Pavăl, D. A Dopamine Hypothesis of Autism Spectrum Disorder. Dev. Neurosci. 2017, 39, 355–360. [Google Scholar] [CrossRef]
- Pavăl, D.; Micluția, I.V. The Dopamine Hypothesis of Autism Spectrum Disorder Revisited: Current Status and Future Prospects. Dev. Neurosci. 2021, 43, 73–83. [Google Scholar] [CrossRef]
- Mandic-Maravic, V.; Grujicic, R.; Milutinovic, L.; Munjiza-Jovanovic, A.; Pejovic-Milovancevic, M. Dopamine in Autism Spectrum Disorders—Focus on D2/D3 Partial Agonists and Their Possible Use in Treatment. Front. Psychiatry 2022, 12, 787097. [Google Scholar] [CrossRef]
- Kosillo, P.; Bateup, H.S. Dopaminergic Dysregulation in Syndromic Autism Spectrum Disorders: Insights from Genetic Mouse Models. Front. Neural Circuits 2021, 15, 700968. [Google Scholar] [CrossRef]
- Ernst, M.; Zametkin, A.J.; Matochik, J.A.; Pascualvaca, D.; Cohen, R.M. Low Medial Prefrontal Dopaminergic Activity in Autistic Children. Lancet 1997, 350, 638. [Google Scholar] [CrossRef]
- Squillace, M.; Dodero, L.; Federici, M.; Migliarini, S.; Errico, F.; Napolitano, F.; Krashia, P.; Di Maio, A.; Galbusera, A.; Bifone, A.; et al. Dysfunctional Dopaminergic Neurotransmission in Asocial BTBR Mice. Transl. Psychiatry 2014, 4, e427. [Google Scholar] [CrossRef]
- Ford, C.P. The Role of D2-Autoreceptors in Regulating Dopamine Neuron Activity and Transmission. Neuroscience 2014, 282, 13. [Google Scholar] [CrossRef]
- Eissa, N.; Venkatachalam, K.; Jayaprakash, P.; Yuvaraju, P.; Falkenstein, M.; Stark, H.; Sadek, B. Experimental Studies Indicate That ST-2223, the Antagonist of Histamine H3 and Dopamine D2/D3 Receptors, Restores Social Deficits and Neurotransmission Dysregulation in Mouse Model of Autism. Pharmaceuticals 2022, 15, 929. [Google Scholar] [CrossRef]
- Liu, J.; Fu, H.; Kong, J.; Yu, H.; Zhang, Z. Association between Autism Spectrum Disorder and Polymorphisms in Genes Encoding Serotine and Dopamine Receptors. Metab. Brain Dis. 2021, 36, 865–870. [Google Scholar] [CrossRef]
- de Krom, M.; Staal, W.G.; Ophoff, R.A.; Hendriks, J.; Buitelaar, J.; Franke, B.; de Jonge, M.V.; Bolton, P.; Collier, D.; Curran, S.; et al. A Common Variant in DRD3 Receptor Is Associated with Autism Spectrum Disorder. Biol. Psychiatry 2009, 65, 625–630. [Google Scholar] [CrossRef]
- Alsayouf, H.A.; Talo, H.; Biddappa, M.L. Core Signs and Symptoms in Children with Autism Spectrum Disorder Improved after Starting Risperidone and Aripiprazole in Combination with Standard Supportive Therapies: A Large, Single-Center, Retrospective Case Series. Brain Sci. 2022, 12, 618. [Google Scholar] [CrossRef]
- Fieiras, C.; Chen, M.H.; Escobar Liquitay, C.M.; Meza, N.; Rojas, V.; Franco, J.V.A.; Madrid, E. Risperidone and Aripiprazole for Autism Spectrum Disorder in Children: An Overview of Systematic Reviews. BMJ Evid. Based Med. 2023, 28, 7–14. [Google Scholar] [CrossRef]
- DeFilippis, M.; Wagner, K.D. Treatment of Autism Spectrum Disorder in Children and Adolescents. Psychopharmacol. Bull. 2016, 46, 18–41. [Google Scholar]
- Xu, J.; Pittenger, C. The Histamine H3 Receptor Modulates Dopamine D2 Receptor–Dependent Signaling Pathways and Mouse Behaviors. J. Biol. Chem. 2023, 299, 104583. [Google Scholar] [CrossRef]
- Karvat, G.; Kimchi, T. Acetylcholine Elevation Relieves Cognitive Rigidity and Social Deficiency in a Mouse Model of Autism. Neuropsychopharmacology 2014, 39, 831–840. [Google Scholar] [CrossRef]
- Ure, A.; Cox, G.R.; Haslam, R.; Williams, K. Acetylcholinesterase Inhibitors for Autistic Spectrum Disorders. Cochrane Database Syst. Rev. 2023, 6, CD013851. [Google Scholar] [CrossRef]
- Eissa, N.; Azimullah, S.; Jayaprakash, P.; Jayaraj, R.L.; Reiner, D.; Ojha, S.K.; Beiram, R.; Stark, H.; Łażewska, D.; Kieć-Kononowicz, K.; et al. The Dual-Active Histamine H3 Receptor Antagonist and Acetylcholine Esterase Inhibitor E100 Ameliorates Stereotyped Repetitive Behavior and Neuroinflammmation in Sodium Valproate Induced Autism in Mice. Chem.-Biol. Interact. 2019, 312, 108775. [Google Scholar] [CrossRef]
- Proschak, E.; Stark, H.; Merk, D. Polypharmacology by Design: A Medicinal Chemist’s Perspective on Multitargeting Compounds. J. Med. Chem. 2019, 62, 420–444. [Google Scholar] [CrossRef]
- Bawa, P.; Pradeep, P.; Kumar, P.; Choonara, Y.E.; Modi, G.; Pillay, V. Multi-Target Therapeutics for Neuropsychiatric and Neurodegenerative Disorders. Drug Discov. Today 2016, 21, 1886–1914. [Google Scholar] [CrossRef]
- Eissa, N.; Jayaprakash, P.; Stark, H.; Łażewska, D.; Kieć-Kononowicz, K.; Sadek, B. Simultaneous Blockade of Histamine H3 Receptors and Inhibition of Acetylcholine Esterase Alleviate Autistic-Like Behaviors in BTBR T+ Tf/J Mouse Model of Autism. Biomolecules 2020, 10, 1251. [Google Scholar] [CrossRef]
- Staszewski, M.; Walczyński, K. Synthesis and Preliminary Pharmacological Investigation of New N-Substituted-N-[ω-(ω-Phenoxy-Alkylpiperazin-1-Yl)Alkyl]Guanidines as Non-Imidazole Histamine H(3) Antagonists. Arch. Pharm. 2012, 345, 431–443. [Google Scholar] [CrossRef]
- Staszewski, M.; Stasiak, A.; Karcz, T.; McNaught Flores, D.; Fogel, W.A.; Kieć-Kononowicz, K.; Leurs, R.; Walczyński, K. Design, Synthesis, and in Vitro and in Vivo Characterization of 1-{4-[4-(Substituted)Piperazin-1-Yl]Butyl}guanidines and Their Piperidine Analogues as Histamine H3 Receptor Antagonists. Medchemcomm 2019, 10, 234–251. [Google Scholar] [CrossRef]
- Durant, G.J.; Duncan, W.A.; Ganellin, C.R.; Parsons, M.E.; Blakemore, R.C.; Rasmussen, A.C. Impromidine (SK&F 92676) Is a Very Potent and Specific Agonist for Histamine H2 Receptors. Nature 1978, 276, 403–405. [Google Scholar] [CrossRef]
- Linney, I.D.; Buck, I.M.; Harper, E.A.; Kalindjian, S.B.; Pether, M.J.; Shankley, N.P.; Watt, G.F.; Wright, P.T. Design, Synthesis, and Structure-Activity Relationships of Novel Non-Imidazole Histamine H(3) Receptor Antagonists. J. Med. Chem. 2000, 43, 2362–2370. [Google Scholar] [CrossRef]
- Daina, A.; Michielin, O.; Zoete, V. SwissTargetPrediction: Updated Data and New Features for Efficient Prediction of Protein Targets of Small Molecules. Nucleic Acids Res. 2019, 47, W357–W364. [Google Scholar] [CrossRef]
- Wang, Z.; Liang, L.; Yin, Z.; Lin, J. Improving Chemical Similarity Ensemble Approach in Target Prediction. J. Cheminform. 2016, 8, 20. [Google Scholar] [CrossRef]
- Awale, M.; Reymond, J.-L. The Polypharmacology Browser: A Web-Based Multi-Fingerprint Target Prediction Tool Using ChEMBL Bioactivity Data. J. Cheminform. 2017, 9, 11. [Google Scholar] [CrossRef]
- Jończyk, J.; Malawska, B.; Bajda, M. Hybrid Approach to Structure Modeling of the Histamine H3 Receptor: Multi-Level Assessment as a Tool for Model Verification. PLoS ONE 2017, 12, e0186108. [Google Scholar] [CrossRef]
- Staszewski, M.; Nelic, D.; Jończyk, J.; Dubiel, M.; Frank, A.; Stark, H.; Bajda, M.; Jakubik, J.; Walczyński, K. Guanidine Derivatives: How Simple Structural Modification of Histamine H3R Antagonists Has Led to the Discovery of Potent Muscarinic M2R/M4R Antagonists. ACS Chem. Neurosci. 2021, 12, 2503–2519. [Google Scholar] [CrossRef]
- Friesner, R.A.; Murphy, R.B.; Repasky, M.P.; Frye, L.L.; Greenwood, J.R.; Halgren, T.A.; Sanschagrin, P.C.; Mainz, D.T. Extra Precision Glide: Docking and Scoring Incorporating a Model of Hydrophobic Enclosure for Protein−Ligand Complexes. J. Med. Chem. 2006, 49, 6177–6196. [Google Scholar] [CrossRef]
- Jones, G.; Willett, P.; Glen, R.C.; Leach, A.R.; Taylor, R. Development and Validation of a Genetic Algorithm for Flexible docking11Edited by F. E. Cohen. J. Mol. Biol. 1997, 267, 727–748. [Google Scholar] [CrossRef] [PubMed]
- Liu, X.; Kalogeropulou, A.F.; Domingos, S.; Makukhin, N.; Nirujogi, R.S.; Singh, F.; Shpiro, N.; Saalfrank, A.; Sammler, E.; Ganley, I.G.; et al. Discovery of XL01126: A Potent, Fast, Cooperative, Selective, Orally Bioavailable, and Blood–Brain Barrier Penetrant PROTAC Degrader of Leucine-Rich Repeat Kinase 2. J. Am. Chem. Soc. 2022, 144, 16930–16952. [Google Scholar] [CrossRef] [PubMed]
- Ali, S.; Asad, M.H.H.B.; Khan, F.; Murtaza, G.; Rizvanov, A.A.; Iqbal, J.; Babak, B.; Hussain, I. Biological Evaluation of Newly Synthesized Biaryl Guanidine Derivatives to Arrest β-Secretase Enzymatic Activity Involved in Alzheimer’s Disease. Biomed. Res. Int. 2020, 2020, 8934289. [Google Scholar] [CrossRef] [PubMed]
- Ghorai, P.; Kraus, A.; Keller, M.; Götte, C.; Igel, P.; Schneider, E.; Schnell, D.; Bernhardt, G.; Dove, S.; Zabel, M.; et al. Acylguanidines as Bioisosteres of Guanidines: NG-Acylated Imidazolylpropylguanidines, a New Class of Histamine H2 Receptor Agonists. J. Med. Chem. 2008, 51, 7193–7204. [Google Scholar] [CrossRef] [PubMed]
- Daina, A.; Michielin, O.; Zoete, V. SwissADME: A Free Web Tool to Evaluate Pharmacokinetics, Drug-Likeness and Medicinal Chemistry Friendliness of Small Molecules. Sci. Rep. 2017, 7, 42717. [Google Scholar] [CrossRef]
- Daina, A.; Zoete, V. A BOILED-Egg To Predict Gastrointestinal Absorption and Brain Penetration of Small Molecules. ChemMedChem 2016, 11, 1117–1121. [Google Scholar] [CrossRef]
- Kołaczkowski, M.; Marcinkowska, M.; Bucki, A.; Pawłowski, M.; Mitka, K.; Jaśkowska, J.; Kowalski, P.; Kazek, G.; Siwek, A.; Wasik, A.; et al. Novel Arylsulfonamide Derivatives with 5-HT6/5-HT7 Receptor Antagonism Targeting Behavioral and Psychological Symptoms of Dementia. J. Med. Chem. 2014, 57, 4543–4557. [Google Scholar] [CrossRef]
- Ellman, G.L.; Courtney, K.D.; Andres, V.; Feather-Stone, R.M. A New and Rapid Colorimetric Determination of Acetylcholinesterase Activity. Biochem. Pharmacol. 1961, 7, 88–95. [Google Scholar] [CrossRef]
- Panek, D.; Więckowska, A.; Pasieka, A.; Godyń, J.; Jończyk, J.; Bajda, M.; Knez, D.; Gobec, S.; Malawska, B. Design, Synthesis, and Biological Evaluation of 2-(Benzylamino-2-Hydroxyalkyl)Isoindoline-1,3-Diones Derivatives as Potential Disease-Modifying Multifunctional Anti-Alzheimer Agents. Mol. A J. Synth. Chem. Nat. Product. Chem. 2018, 23, 347. [Google Scholar] [CrossRef]
- Hall, D.A.; Strange, P.G. Evidence That Antipsychotic Drugs Are Inverse Agonists at D2 Dopamine Receptors. Br. J. Pharmacol. 1997, 121, 731–736. [Google Scholar] [CrossRef]
- Schübler, M.; Sadek, B.; Kottke, T.; Weizel, L.; Stark, H. Synthesis, Molecular Properties Estimations, and Dual Dopamine D2 and D3 Receptor Activities of Benzothiazole-Based Ligands. Front. Chem. 2017, 5, 64. [Google Scholar] [CrossRef] [PubMed]





| pA2 * | Target Predictors a | Molecular Docking b | |||||
|---|---|---|---|---|---|---|---|
| Cmp. | H3R | D2R | AChE | BChE | D2R | AChE | BChE |
| 6 | 7.84 | 0.60 | 0.13 | 0.00 | 0.47 | 0.48 | 0.67 |
| 7 | 7.39 | 0.53 | 0.07 | 0.00 | 0.50 | 0.50 | 0.73 |
| 8 | 7.59 | 0.60 | 0.07 | 0.00 | 0.53 | 0.55 | 0.68 |
| 16 | 7.28 | 0.27 | 0.13 | 0.07 | 0.44 | 0.73 | 0.44 |
| 17 | 8.21 | 0.53 | 0.13 | 0.05 | 0.53 | 0.73 | 0.51 |
| 18 | 7.98 | 0.40 | 0.07 | 0.07 | 0.67 | 0.72 | 0.73 |
| 22 | 7.80 | 0.60 | 0.00 | 0.00 | 0.69 | 0.70 | 0.85 |
| 25 | 7.90 | 0.80 | 0.40 | 0.27 | 0.70 | 0.75 | 0.55 |
| 27 | 7.30 | 0.20 | 0.00 | 0.00 | 0.58 | 0.74 | 0.59 |
| 28 | 7.97 | 0.53 | 0.00 | 0.00 | 0.60 | 0.78 | 0.65 |
| 29 | 8.10 | 0.47 | 0.13 | 0.07 | 0.65 | 0.73 | 0.55 |
| 30 | 7.99 | 0.27 | 0.00 | 0.00 | 0.88 | 0.39 | 0.64 |
| 31 | 5.78 | 0.53 | 0.00 | 0.00 | 0.48 | 0.79 | 0.56 |
| Cmp. | MW | RB | TPSA | LogP | BBB |
|---|---|---|---|---|---|
| 6 | 375.6 | 14 | 77.61 | 2.59 | No |
| 7 | 389.6 | 15 | 77.61 | 2.95 | No |
| 8 | 403.6 | 16 | 77.61 | 3.31 | Yes |
| 16 | 537.8 | 17 | 68.82 | 5.35 | No |
| 17 | 479.7 | 17 | 68.82 | 4.37 | Yes |
| 18 | 493.7 | 17 | 68.82 | 4.65 | Yes |
| 22 | 514.2 | 17 | 68.82 | 4.89 | Yes |
| 25 | 546.7 | 18 | 65.58 | 6.61 | No |
| 27 | 504.7 | 17 | 81.12 | 4.43 | No |
| 28 | 547.7 | 19 | 63.62 | 5.60 | No |
| 29 | 479.7 | 18 | 63.62 | 4.55 | Yes |
| 30 | 628.7 | 18 | 112.70 | 4.62 | No |
| 31 | 466.7 | 18 | 24.94 | 6.17 | No |
| D2R %inh. (1 µM) a | D2R %inh. (100 nM) a | D2sR pKi ± SEM b | D3R pKi ± SEM b | |
|---|---|---|---|---|
| 18 | 45.6 | 10.1 | nd | nd |
| 22 | 32.0 | −1.0 | nd | nd |
| 25 | 53.2 | 11.7 | 6.22 ± 0.07 | 5.91 ± 0.03 |
| 29 | 31.8 | 6.3 | nd | nd |
| 30 | 54.5 | 17.2 | 6.12 ± 0.09 | 4.84 ± 0.06 |
| AY23028 | nd | nd | 9.14 a | 8.64 c |
| eeAChE %inh. (10 µM) a | eeAChE IC50 [µM] b (pIC50) | esBChE %inh. (10 µM) a | esBChE IC50 [µM] c (pIC50) | |
|---|---|---|---|---|
| 6 | 11.2 ± 5.1 | nd | 28.4 ± 1.4 | nd |
| 7 | 13.2 ± 4.7 | nd | 29.0 ± 3.7 | nd |
| 8 | 13.5 ± 5.9 | nd | 35.4 ± 4.2 | nd |
| 16 | 22.1 ± 2.9 | nd | 79.9 ± 1.8 | 3.47 ± 0.11 (5.46) |
| 17 | 17.9 ± 3.4 | nd | 66.0 ± 1.4 | 6.37 ± 0.27 (5.20) |
| 18 | 18.2 ± 5.3 | nd | 79.1 ± 0.9 | 3.71 ± 0.11 (5.43) |
| 22 | 26.9 ± 2.2 | nd | 80.6 ± 1.2 | 3.53 ± 0.13 (5.45) |
| 27 | 13.8 ± 6.9 | nd | 71.5 ± 1.8 | 4.75 ± 0.16 (5.32) |
| 28 | 16.4 ± 8.1 | nd | 76.7 ± 1.3 | 3.87 ± 0.13 (5.41) |
| 29 | 23.3 ± 3.5 | nd | 76.3 ± 2.0 | 4.00 ± 0.14 (5.40) |
| 31 | 6.3 ± 2.3 | nd | 20.6 ± 0.5 | nd |
| Tacrine | - | 0.024 ± 0.001 (7.62) | - | 0.015 ± 0.001 (7.82) |
| GOLD ) | Glide * ) | |
|---|---|---|
| D2R | 64.98/91.72 | −4.14/−11.14 |
| AChE | 35.63/52.45 | −2.46/−11.74 |
| BChE | 67.71/100.89 | −3.36/−11.33 |
Disclaimer/Publisher’s Note: The statements, opinions and data contained in all publications are solely those of the individual author(s) and contributor(s) and not of MDPI and/or the editor(s). MDPI and/or the editor(s) disclaim responsibility for any injury to people or property resulting from any ideas, methods, instructions or products referred to in the content. |
© 2024 by the authors. Licensee MDPI, Basel, Switzerland. This article is an open access article distributed under the terms and conditions of the Creative Commons Attribution (CC BY) license (https://creativecommons.org/licenses/by/4.0/).
Share and Cite
Jończyk, J.; Przybylska, K.; Staszewski, M.; Godyń, J.; Werner, T.; Stefaniak-Napieralska, M.; Stark, H.; Walczyński, K.; Bajda, M. Virtual Screening Approaches to Identify Promising Multitarget-Directed Ligands for the Treatment of Autism Spectrum Disorder. Molecules 2024, 29, 5271. https://doi.org/10.3390/molecules29225271
Jończyk J, Przybylska K, Staszewski M, Godyń J, Werner T, Stefaniak-Napieralska M, Stark H, Walczyński K, Bajda M. Virtual Screening Approaches to Identify Promising Multitarget-Directed Ligands for the Treatment of Autism Spectrum Disorder. Molecules. 2024; 29(22):5271. https://doi.org/10.3390/molecules29225271
Chicago/Turabian StyleJończyk, Jakub, Klaudia Przybylska, Marek Staszewski, Justyna Godyń, Tobias Werner, Monika Stefaniak-Napieralska, Holger Stark, Krzysztof Walczyński, and Marek Bajda. 2024. "Virtual Screening Approaches to Identify Promising Multitarget-Directed Ligands for the Treatment of Autism Spectrum Disorder" Molecules 29, no. 22: 5271. https://doi.org/10.3390/molecules29225271
APA StyleJończyk, J., Przybylska, K., Staszewski, M., Godyń, J., Werner, T., Stefaniak-Napieralska, M., Stark, H., Walczyński, K., & Bajda, M. (2024). Virtual Screening Approaches to Identify Promising Multitarget-Directed Ligands for the Treatment of Autism Spectrum Disorder. Molecules, 29(22), 5271. https://doi.org/10.3390/molecules29225271

