Affordable Small Molecules as Promising Fluorescent Labels for Biomolecules
Abstract
1. Introduction
2. Results and Discussion
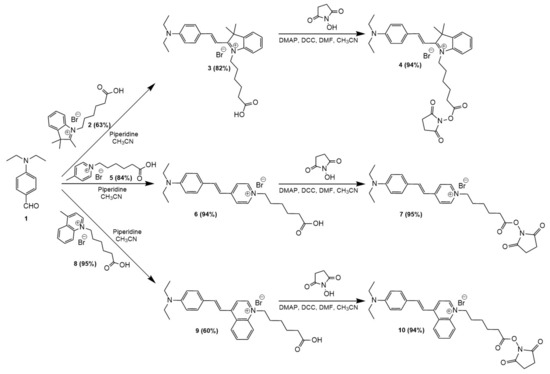
2.1. Synthesis and Characterization
2.2. Photophysical Characterization
2.3. Theoretical Calculations
2.4. RNA-FISH Performance of the Synthesized Oligonucleotide Probes
2.4.1. Hybridization of Saccharomyces cerevisiae
2.4.2. Hybridization of Bacillus sp.
3. Experimental Section
3.1. Materials and Equipment
3.2. Synthesis
3.2.1. Synthesis of (1-(5-Carboxypentyl)-2,3,3-trimethyl-3H-indol-1-ium Bromide (2)
3.2.2. Synthesis of (E)-1-(5-Carboxypentyl)-2-(4-(diethylamino)styryl)-3,3-dimethyl-3H-indol-1-ium Bromide (3)
3.2.3. Synthesis of (E)-2-(4-(Diethylamino)styryl)-1-(6-((2,5-dioxopyrrolidin-1-yl)oxy)-6-oxohexyl)-3,3-dimethyl-3H-indol-1-ium Bromide (4)
3.2.4. Synthesis of 1-(5-Carboxypentyl)-4-methylpyridin-1-ium Bromide (5)
3.2.5. Synthesis of (E)-1-(5-Carboxypentyl)-4-(4-(diethylamino)styryl)pyridin-1-ium Bromide (6)
3.2.6. Synthesis of (E)-4-(4-(Diethylamino)styryl)-1-(6-((2,5-dioxopyrrolidin-1-yl)oxy)-6-oxohexyl)pyridin-1-ium Bromide (7)
3.2.7. Synthesis of 1-(5-Carboxypentyl)-4-methylquinolin-1-ium Bromide (8)
3.2.8. Synthesis of (E)-1-(5-Carboxypentyl)-4-(4-(diethylamino)styryl)quinoline-1-ium Bromide (9)
3.2.9. Synthesis of (E)-1-(5-Carboxypentyl)-4-(4-(diethylamino)styryl)quinolin-1-ium Bromide (10)
3.3. Quantum Chemical Calculations
3.4. Labeling of Amino-Modified Oligonucleotides with Fluorophores
3.5. RNA-FISH Methodology
3.6. Epifluorescence Microscopy (EM) and Flow Cytometry (FC) Analysis
4. Conclusions
Supplementary Materials
Author Contributions
Funding
Institutional Review Board Statement
Informed Consent Statement
Data Availability Statement
Conflicts of Interest
Correction Statement
References
- Zhou, Y.; Wang, X.; Zhang, W.; Tang, B.; Li, P. Recent advances in small molecule fluorescent probes for simultaneous imaging of two bioactive molecules in live cells and in vivo. Front. Chem. Sci. Eng. 2022, 16, 4–33. [Google Scholar] [CrossRef]
- Lavis, L.D.; Raines, R.T. Bright Building Blocks for Chemical Biology. ACS Chem. Biol. 2014, 9, 855–866. [Google Scholar] [CrossRef] [PubMed]
- Silva, A.P.; Gunaratne, H.Q.N.; Gunnlaugsson, T.; Huxley, A.J.M.; McCoy, C.P.; Rademacher, J.T.; Rice, T.E. Signaling Recognition Events with Fluorescent Sensors and Switches. Chem. Rev. 1997, 97, 1515–1566. [Google Scholar] [CrossRef] [PubMed]
- Johnson, I. Fluorescent probes for living cells. Histochem. J. 1998, 30, 123–140. [Google Scholar] [CrossRef]
- Staderini, M.; Martín, M.A.; Bolognesi, M.L.; Menéndez, J.C. Imaging of β-amyloid plaques by near infrared fluorescent tracers: A new frontier for chemical neuroscience. Chem. Soc. Rev. 2015, 44, 1807–1819. [Google Scholar] [CrossRef]
- Tipirneni, K.E.; Rosenthal, E.L.; Moore, L.S.; Haskins, A.D.; Udayakumar, N.; Jani, A.H.; Carroll, W.R.; Morlandt, A.B.; Bogyo, M.; Rao, J.; et al. Fluorescence Imaging for Cancer Screening and Surveillance. Imaging Biol. 2017, 19, 645–655. [Google Scholar] [CrossRef]
- Garland, M.; Yim, J.J.; Bogyo, M. A Bright Future for Precision Medicine: Advances in Fluorescent Chemical Probe Design and Their Clinical Application. Cell Chem. Biol. 2016, 23, 122–136. [Google Scholar] [CrossRef]
- Newton, A.D.; Predina, J.D.; Corbett, C.J.; Frenzel-Sulyok, L.G.; Xia, L.; Petersson, E.J.; Tsourkas, A.; Nie, S.; Delikatny, E.J.; Singhal, S. Optimization of Second Window Indocyanine Green for Intraoperative Near-Infrared Imaging of Thoracic Malignancy. J. Am. College Surg. 2019, 228, 188–197. [Google Scholar] [CrossRef]
- Kobayashi, H.; Ogawa, M.; Alford, R.; Choyke, P.; Urano, Y. New Strategies for Fluorescent Probe Design in Medical Diagnostic Imaging. Chem. Rev. 2010, 110, 2620–2640. [Google Scholar] [CrossRef]
- Hanson, G.T.; Hanson, B.J. Fluorescent Probes for Cellular Assays. Comb. Chem. High Throughput Screen. 2008, 11, 505–513. [Google Scholar] [CrossRef]
- Maurel, D.; Comps-Agrar, L.; Brock, C.; Rives, M.; Bourrier, E.; Ayoub, M.A.; Bazin, H.; Tinel, N.; Durroux, T.; Prézeau, L.; et al. Cell-surface protein-protein interaction analysis with time-resolved FRET and snap-tag technologies: Application to GPCR oligomerization. Nat. Methods 2008, 5, 561–567. [Google Scholar] [CrossRef] [PubMed]
- Yin, J.; Straight, P.; McLoughlin, S.; Zhou, Z.; Lin, A.; Golan, D.; Kelleher, N.; Kolter, R.; Walsh, C. Genetically encoded short peptide tag for versatile protein labeling by Sfp phosphopantetheinyl transferase. Proc. Natl. Acad. Sci. USA 2005, 102, 15815–15820. [Google Scholar] [CrossRef] [PubMed]
- Lavis, L.D.; Raines, R.T. Bright ideas for chemical biology. ACS Chem. Biol. 2008, 3, 142–155. [Google Scholar] [CrossRef] [PubMed]
- Jun, J.V.; Chenoweth, D.M.; Petersson, E.J. Rational design of small molecule fluorescent probes for biological applications. Org. Biomol. Chem. 2020, 18, 5747–5763. [Google Scholar] [CrossRef] [PubMed]
- Fu, Y.; Finney, N.S. Small-molecule fluorescent probes and their design. RSC Adv. 2018, 8, 29051–29061. [Google Scholar] [CrossRef]
- Shaya, J.; Fontaine-Vive, F.; Michel, B.Y.; Burger, A. Rational Design of Push–Pull Fluorene Dyes: Synthesis and Structure–Photophysics Relationship. Chem. Eur. J. 2016, 22, 10627–10637. [Google Scholar] [CrossRef]
- Thirion, D.; Rault-Berthelot, J.; Vignau, L.; Poriel, C. Synthesis and Properties of a Blue Bipolar Indenofluorene Emitter Based on a D-π-A Design. Org. Lett. 2011, 13, 4418–4421. [Google Scholar] [CrossRef]
- Eustáquio, R.; Ramalho, J.P.P.; Caldeira, A.T.; Pereira, A. Rational Design of Cost-Effective 4-Styrylcoumarin Fluorescent Derivatives for Biomolecule Labeling. Molecules 2023, 28, 6822. [Google Scholar] [CrossRef]
- Eustáquio, R.; Ramalho, J.P.P.; Caldeira, A.T.; Pereira, A. Development of new 2-piperidinium-4-styrylcoumarin derivatives with large Stokes shifts as potential fluorescent labels for biomolecules. RSC Adv. 2022, 12, 8477–8484. [Google Scholar] [CrossRef]
- Eustáquio, R.; Ramalho, J.P.P.; Caldeira, A.T.; Pereira, A. New Red-Shifted 4-Styrylcoumarin Derivatives as Potential Fluorescent Labels for Biomolecule. Molecules 2022, 27, 1461. [Google Scholar] [CrossRef]
- Sahoo, H. Fluorescent labeling techniques in biomolecules: A flashback. RSC Adv. 2012, 2, 7017–7029. [Google Scholar] [CrossRef]
- Hermanson, G.T. Bioconjugate Techniques, 3rd ed.; Elsevier: London, UK, 2013. [Google Scholar]
- Johnson, I.; Spence, M. Molecular Probes™ Handbook—A Guide to Fluorescent Probes and Labeling Technologies, 11th ed.; Life Technologies: Carlsbad, CA, USA; Thermo Fischer Scientific: Waltham, MA USA, 2010. [Google Scholar]
- Fang, X.; Zheng, Y.; Duan, Y.; Liu, Y.; Zhong, W. Recent Advances in Design of Fluorescence-Based Assays for High-Throughput Screening. Anal. Chem. 2019, 91, 482–504. [Google Scholar] [CrossRef] [PubMed]
- Liu, X.; Xu, Z.; Cole, J.M. Molecular Design of UV–vis Absorption and Emission Properties in Organic Fluorophores: Toward Larger Bathochromic Shifts, Enhanced Molar Extinction Coefficients, and Greater Stokes Shifts. J. Phys. Chem. C 2013, 117, 16584–16595. [Google Scholar] [CrossRef]
- Sednev, M.V.; Belov, V.N.; Hell, S.W. Fluorescent dyes with large Stokes shifts for super-resolution optical microscopy of biological objects: A review. Methods Appl. Fluoresc. 2015, 3, 042004. [Google Scholar] [CrossRef]
- Guido, A.C.; Cortona, P.; Mennucci, B.; Adamo, C. On the Metric of Charge Transfer Molecular Excitations: A Simple Chemical Descriptor. J. Chem. Theory Comput. 2013, 9, 3118–3126. [Google Scholar] [CrossRef]
- Chen, Y.; Zhao, J.; Guo, H.; Xie, L. Geometry Relaxation-Induced Large Stokes Shift in Red-Emitting Borondipyrromethenes (BODIPY) and Applications in Fluorescent Thiol Probes. J. Org. Chem. 2012, 77, 2192–2206. [Google Scholar] [CrossRef]
- Ma, J.; Zhang, Y.; Zhang, H.; He, X. Near infrared absorption/emission perylenebisimide fluorophores with geometry relaxation-induced large Stokes shift. RSC Adv. 2020, 10, 35840–35847. [Google Scholar] [CrossRef]
- Kasha, M. Characterization of electronic transitions in complex molecules. Discuss. Faraday Soc. 1950, 9, 14–19. [Google Scholar] [CrossRef]
- Frisch, M.J.; Trucks, G.W.; Schlegel, H.B.; Scuseria, G.E.; Robb, M.A.; Cheeseman, J.R.; Scalmani, G.; Barone, V.; Petersson, G.A.; Nakatsuji, H.; et al. Gaussian 16; Revision B.01; Gaussian, Inc.: Wallingford, CT, USA, 2016. [Google Scholar]
- Zhao, Y.; Truhlar, D.G. The M06 suite of density functionals for main group thermochemistry, thermochemical kinetics, noncovalent interactions, excited states, and transition elements: Two new functionals and systematic testing of four M06-class functionals and 12 other functionals. Theor. Chem. Acc. 2008, 120, 215–241. [Google Scholar]
- Amovilli, C.; Barone, V.; Cammi, R.; Cancès, E.; Cossi, M.; Mennucci, B.; Pomelli, C.S.; Tomasi, J. Recent Advances in the Description of Solvent Effects with the Polarizable Continuum Mode. J. Adv. Quantum Chem. 1998, 32, 227–261. [Google Scholar]
- Cossi, M.; Barone, V. Time-dependent density functional theory for molecules in liquid solutions. J. Chem. Phys. 2001, 115, 4708–4717. [Google Scholar] [CrossRef]
- Protocol Provided by Lumiprobe. Available online: https://www.lumiprobe.com/protocols/nhs-ester-labeling (accessed on 4 January 2024).
- Ramakrishnan, R.; Morrison, L.E. Labeling Fluorescence In Situ Hybridization Probes for RNA Targets. Methods Mol Biol. 2002, 204, 41–49. [Google Scholar] [PubMed]
- Branco, P.; Candeias, A.; Caldeira, A.T.; Gonzalez-Perez, M. A simple procedure for detecting Dekkera bruxellensis in wine environment by RNA-FISH using a novel probe. Int. J. Food Microbiol. 2020, 314, 108415. [Google Scholar] [CrossRef] [PubMed]




| Compounds | λabs a (nm) | λem b (nm) | Stokes Shift (nm, cm−1) | ε c (cm−1·M−1) | ΦF d |
|---|---|---|---|---|---|
| 1 | 342 | -- | -- | 19,400 | -- |
| 4 | 556 | 597 | 41, 1235 | 90,000 | 0.57 |
| 7 | 490 | 604 | 114, 3852 | 64,000 | 0.30 |
| 10 | 560 | 665 | 105, 2820 | 60,000 | 0.02 |
Disclaimer/Publisher’s Note: The statements, opinions and data contained in all publications are solely those of the individual author(s) and contributor(s) and not of MDPI and/or the editor(s). MDPI and/or the editor(s) disclaim responsibility for any injury to people or property resulting from any ideas, methods, instructions or products referred to in the content. |
© 2024 by the authors. Licensee MDPI, Basel, Switzerland. This article is an open access article distributed under the terms and conditions of the Creative Commons Attribution (CC BY) license (https://creativecommons.org/licenses/by/4.0/).
Share and Cite
Eustáquio, R.; Ramalho, J.P.P.; Arantes, S.; Candeias, A.; Caldeira, A.T.; Pereira, A. Affordable Small Molecules as Promising Fluorescent Labels for Biomolecules. Molecules 2024, 29, 5237. https://doi.org/10.3390/molecules29225237
Eustáquio R, Ramalho JPP, Arantes S, Candeias A, Caldeira AT, Pereira A. Affordable Small Molecules as Promising Fluorescent Labels for Biomolecules. Molecules. 2024; 29(22):5237. https://doi.org/10.3390/molecules29225237
Chicago/Turabian StyleEustáquio, Raquel, João P. Prates Ramalho, Sílvia Arantes, António Candeias, Ana Teresa Caldeira, and António Pereira. 2024. "Affordable Small Molecules as Promising Fluorescent Labels for Biomolecules" Molecules 29, no. 22: 5237. https://doi.org/10.3390/molecules29225237
APA StyleEustáquio, R., Ramalho, J. P. P., Arantes, S., Candeias, A., Caldeira, A. T., & Pereira, A. (2024). Affordable Small Molecules as Promising Fluorescent Labels for Biomolecules. Molecules, 29(22), 5237. https://doi.org/10.3390/molecules29225237

