Z-Scheme BiVO4/g-C3N4 Photocatalyst—With or Without an Electron Mediator?
Abstract
1. Introduction
2. Results
2.1. Morphology and Optical Properties of BiVO4, BiVO4/Au(NPs), BiVO4/Fullerene, and BiVO4/Au(NPs)/g-C3N4
2.2. Photocatalytic Activity of BiVO4, BiVO4/Au, BiVO4/Fullerene and BiVO4/Fe3+
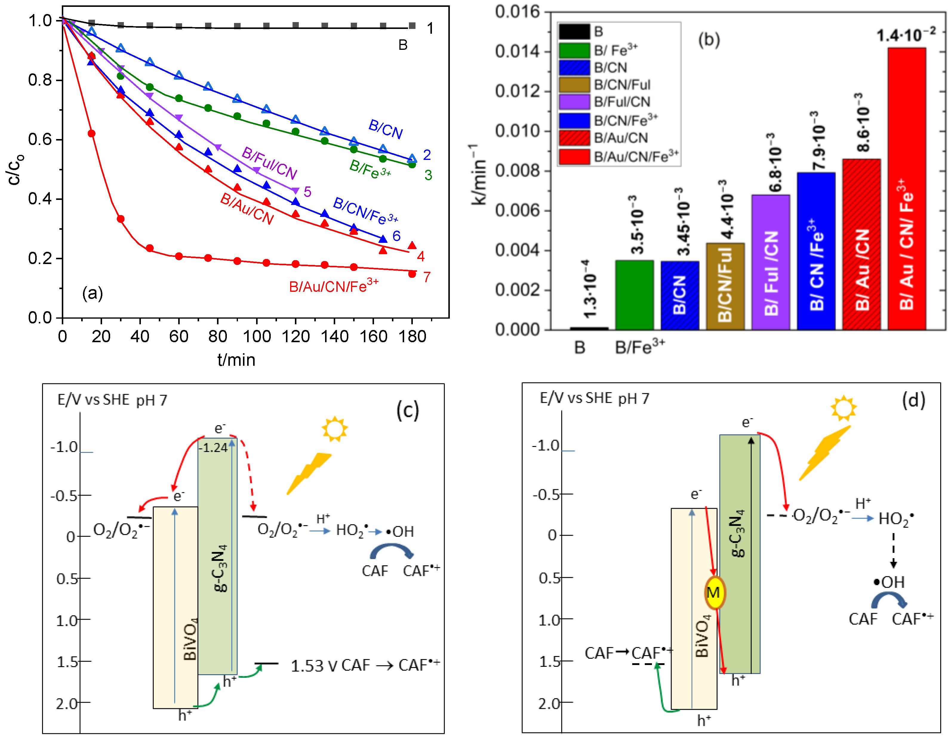
2.3. Comparison of Photocatalytic Activity of BiVO4/g-C3N4 and BiVO4/Mediator/g-C3N4
3. Materials and Methods
3.1. Materials
3.2. Deposition of BiVO4 on FTO
3.3. Deposition of Au Nanoparticles and Fullerene Derivatives on the Surface of BiVO4
3.4. Preparation of BiVO4/g-C3N4, BiVO4/Au(NPs)/g-C3N4 and BiVO4/Fullerene/g-C3N4 Systems
3.5. Characterization Methods
3.6. Photocatalytic Tests and Detection of • Radicals
3.7. IMPS Measurements
4. Conclusions
Supplementary Materials
Author Contributions
Funding
Institutional Review Board Statement
Informed Consent Statement
Data Availability Statement
Conflicts of Interest
References
- Zhou, P.; Yu, J.; Jaroniec, M. All-Solid-State Z-Scheme Photocatalytic Systems. Adv. Mater. 2014, 26, 4920–4935. [Google Scholar] [CrossRef] [PubMed]
- Low, J.; Jiang, C.; Cheng, B.; Wageh, S.; Al-Ghamdi, A.A.; Yu, J. A Review of Direct Z-Scheme Photocatalysts. Small Methods 2017, 1, 1700080. [Google Scholar] [CrossRef]
- Chen, S.; Hu, Y.; Jiang, X.; Meng, S.; Fu, X. Fabrication and Characterization of Novel Z-Scheme Photocatalyst WO3/g-C3N4 with High Efficient Visible Light Photocatalytic Activity. Mater. Chem. Phys. 2015, 149, 512–521. [Google Scholar] [CrossRef]
- Li, H.; Yu, H.; Quan, X.; Chen, S.; Zhang, Y. Uncovering the Key Role of the Fermi Level of the Electron Mediator in a Z-Scheme Photocatalyst by Detecting the Charge Transfer Process of WO3-Metal-g-C3N4 (Metal = Cu, Ag, Au). ACS Appl. Mater. Interfaces 2016, 8, 2111–2119. [Google Scholar] [CrossRef]
- Jin, J.; Yu, J.; Guo, D.; Cui, C.; Ho, W. A Hierarchical Z-Scheme CdS-WO3 Photocatalyst with Enhanced CO2 Reduction Activity. Small 2015, 11, 5262–5271. [Google Scholar] [CrossRef]
- Meng, S.; Ning, X.; Zhang, T.; Chen, S.F.; Fu, X. What Is the Transfer Mechanism of Photogenerated Carriers for the Nanocomposite Photocatalyst Ag3PO4/g-C3N4, Band-Band Transfer or a Direct Z-Scheme? Phys. Chem. Chem. Phys. 2015, 17, 11577–11585. [Google Scholar] [CrossRef]
- Tang, C.; Liu, E.; Fan, J.; Hu, X.; Ma, Y.; Wan, J. A Graphitic-C3N4-Hybridized Ag3PO4 Tetrahedron with Reactive {111} Facets to Enhance the Visible-Light Photocatalytic Activity. RSC Adv. 2015, 5, 91979–91987. [Google Scholar] [CrossRef]
- Safaei, J.; Ullah, H.; Mohamed, N.A.; Mohamad Noh, M.F.; Soh, M.F.; Tahir, A.A.; Ahmad Ludin, N.; Ibrahim, M.A.; Wan Isahak, W.N.R.; Mat Teridi, M.A. Enhanced Photoelectrochemical Performance of Z-Scheme g-C3N4/BiVO4 Photocatalyst. Appl. Catal. B Environ. 2018, 234, 296–310. [Google Scholar] [CrossRef]
- Tian, N.; Huang, H.; He, Y.; Guo, Y.; Zhang, T.; Zhang, Y. Mediator-Free Direct Z-Scheme Photocatalytic System: BiVO4/g-C3N4 Organic-Inorganic Hybrid Photocatalyst with Highly Efficient Visible-Light-Induced Photocatalytic Activity. Dalt. Trans. 2015, 44, 4297–4307. [Google Scholar] [CrossRef]
- Wang, J.C.; Zhang, L.; Fang, W.X.; Ren, J.; Li, Y.Y.; Yao, H.C.; Wang, J.S.; Li, Z.J. Enhanced Photoreduction CO2 Activity over Direct Z-Scheme α-Fe2O3/Cu2O Heterostructures under Visible Light Irradiation. ACS Appl. Mater. Interfaces 2015, 7, 8631–8639. [Google Scholar] [CrossRef]
- Li, Y.; Xiao, X.; Ye, Z. Facile Fabrication of Tetragonal Scheelite (t-s) BiVO4/g-C3N4 Composites with Enhanced Photocatalytic Performance. Ceram. Int. 2018, 44, 7067–7076. [Google Scholar] [CrossRef]
- Jiang, T.; Nan, F.; Zhou, J.; Zheng, F.; Weng, Y.; Cai, T.Y.; Ju, S.; Xu, B.; Fang, L. Enhanced Photocatalytic and Photoelectrochemical Performance of G-C3N4/BiVO4 Heterojunction: A Combined Experimental and Theoretical Study. AIP Adv. 2019, 9, 055225. [Google Scholar] [CrossRef]
- Li, S.; Jiang, Y.; Jiang, W.; Zhang, Y.; Pan, K.; Wang, S.; Hu, C.; Zhang, L.H.; Xia, L. In-Situ Generation of g-C3N4 on BiVO4 Photoanode for Highly Efficient Photoelectrochemical Water Oxidation. Appl. Surf. Sci. 2020, 523, 146441. [Google Scholar] [CrossRef]
- Rathi, V.; Panneerselvam, A.; Sathiyapriya, R. A Novel Hydrothermal Induced BiVO4/g-C3N4 Heterojunctions Visible-Light Photocatalyst for Effective Elimination of Aqueous Organic Pollutants. Vacuum 2020, 180, 109458. [Google Scholar] [CrossRef]
- Lu, M.; Li, Q.; Zhang, C.; Fan, X.; Li, L.; Dong, Y.; Chen, G.; Shi, H. Remarkable Photocatalytic Activity Enhancement of CO2 Conversion over 2D/2D g-C3N4/BiVO4 Z-Scheme Heterojunction Promoted by Efficient Interfacial Charge Transfer. Carbon N. Y. 2020, 160, 342–352. [Google Scholar] [CrossRef]
- Song, M.; Wu, Y.; Zheng, G.; Du, C.; Su, Y. Junction of Porous G-C3N4 with BiVO4 Using Au as Electron Shuttle for Cocatalyst-Free Robust Photocatalytic Hydrogen Evolution. Appl. Surf. Sci. 2019, 498, 143808. [Google Scholar] [CrossRef]
- Song, M.; Wu, Y.; Wang, X.; Liu, M.; Su, Y. Switching Charge Transfer Process of Carbon Nitride and Bismuth Vanadate by Anchoring Silver Nanoparticle toward Cocatalyst Free Water Reduction. J. Colloid Interface Sci. 2018, 529, 375–384. [Google Scholar] [CrossRef]
- Kong, H.J.; Kim, K.-H.; Kim, S.; Lee, H.; Kang, J.K. Unveiling the Role of Tetragonal BiVO4 as a Mediator for Dual Phase BiVO4/g-C3N4 Composite Photocatalysts Enabling Highly Efficient Water Oxidation via Z -Scheme Charge Transfer. J. Mater. Chem. A 2019, 7, 26279–26284. [Google Scholar] [CrossRef]
- Jiang, D.; Xiao, P.; Shao, L.; Li, D.; Chen, M. RGO-Promoted All-Solid-State g-C3N4/BiVO4 Z-Scheme Heterostructure with Enhanced Photocatalytic Activity toward the Degradation of Antibiotics. Ind. Eng. Chem. Res. 2017, 56, 8823–8832. [Google Scholar] [CrossRef]
- Samsudin, M.F.R.; Sufian, S. Hybrid 2D/3D g-C3N4/BiVO4 Photocatalyst Decorated with RGO for Boosted Photoelectrocatalytic Hydrogen Production from Natural Lake Water and Photocatalytic Degradation of Antibiotics. J. Mol. Liq. 2020, 314, 113530. [Google Scholar] [CrossRef]
- Samsudin, M.F.R.; Bacho, N.; Sufian, S.; Ng, Y.H. Photocatalytic Degradation of Phenol Wastewater over Z-Scheme g-C3N4 /CNT/BiVO4 Heterostructure Photocatalyst under Solar Light Irradiation. J. Mol. Liq. 2019, 277, 977–988. [Google Scholar] [CrossRef]
- Qin, Z.; Fang, W.; Liu, J.; Wei, Z.; Jiang, Z.; Shangguan, W. Zinc-Doped g-C3N4/BiVO4 as a Z-Scheme Photocatalyst System for Water Splitting under Visible Light. Cuihua Xuebao/Chinese J. Catal. 2018, 39, 472–478. [Google Scholar] [CrossRef]
- Pan, Y.; Liu, X.; Zhang, W.; Liu, Z.; Zeng, G.; Shao, B.; Liang, Q.; He, Q.; Yuan, X.; Huang, D.; et al. Advances in Photocatalysis Based on Fullerene C60 and Its Derivatives: Properties, Mechanism, Synthesis, and Applications. Appl. Catal. B Environ. 2020, 265, 118579. [Google Scholar] [CrossRef]
- Liu, W.; Zhao, G.; An, M.; Chang, L. Solvothermal Synthesis of Nanostructured BiVO4 with Highly Exposed (0 1 0) Facets and Enhanced Sunlight-Driven Photocatalytic Properties. Appl. Surf. Sci. 2015, 357, 1053–1063. [Google Scholar] [CrossRef]
- Wen, J.; Xie, J.; Chen, X.; Li, X. A Review on G-C3N4- Based Photocatalysts. Appl. Surf. Sci. 2017, 391, 72–123. [Google Scholar] [CrossRef]
- Li, Q.; He, Y.; Peng, R. Graphitic Carbon Nitride (g-C3N4) as a Metal-Free Catalyst for Thermal Decomposition of Ammonium Perchlorate. RSC Adv. 2015, 5, 24507–24512. [Google Scholar] [CrossRef]
- Kudo, A.; Omori, K.; Kato, H. A Novel Aqueous Process for Preparation of Crystal Form-Controlled and Highly Crystalline BiVO4 Powder from Layered Vanadates at Room Temperature and Its Photocatalytic and Photophysical Properties. J. Am. Chem. Soc. 1999, 121, 11459–11467. [Google Scholar] [CrossRef]
- Dong, F.; Wu, L.; Sun, Y.; Fu, M.; Wu, Z.; Lee, S.C. Efficient Synthesis of Polymeric G-C3N4 Layered Materials as Novel Efficient Visible Light Driven Photocatalysts. J. Mater. Chem. 2011, 21, 15171–15174. [Google Scholar] [CrossRef]
- Lin, Z.; Wang, X.; Liu, J.; Tian, Z.; Dai, L.; He, B.; Han, C.; Wu, Y.; Zeng, Z.; Hu, Z. On the Role of Localized Surface Plasmon Resonance in UV-Vis Light Irradiated Au/TiO2 Photocatalysis Systems: Pros and Cons. Nanoscale 2015, 7, 4114–4123. [Google Scholar] [CrossRef]
- Łęcki, T.; Hamad, H.; Zarębska, K.; Wierzyńska, E.; Skompska, M. Mechanistic Insight into Photochemical and Photoelectrochemical Degradation of Organic Pollutants with the Use of BiVO4 and BiVO4/Co-Pi. Electrochim. Acta 2022, 434, 141292. [Google Scholar] [CrossRef]
- Fujishima, A.; Zhang, X.; Tryk, D.A. TiO2 Photocatalysis and Related Surface Phenomena. Surf. Sci. Rep. 2008, 63, 515–582. [Google Scholar] [CrossRef]
- Fuentes-Camargo, I.; Carrera-Crespo, J.E.; Vazquez-Arenas, J.; Romero-Ibarra, I.; Rodríguez, J.L.; Lartundo-Rojas, L.; Cardoso-Martínez, J. Pulse-Plating Electrodeposition of Metallic Bi in an Organic-Free Aqueous Electrolyte and Its Conversion into BiVO4 to Improve Photoelectrochemical Activity toward Pollutant Degradation under Visible Light. J. Phys. Chem. C 2020, 124, 1421–1428. [Google Scholar] [CrossRef]
- Nasir, S.N.S.; Mohamed, N.A.; Tukimon, M.A.; Noh, M.F.M.; Arzaee, N.A.; Teridi, M.A.M. Direct Extrapolation Techniques on the Energy Band Diagram of BiVO4 Thin Films. Phys. B Condens. Matter 2021, 604, 412719. [Google Scholar] [CrossRef]
- Nosaka, Y.; Nakamura, M.; Hirakawa, T. Behavior of Superoxide Radicals Formed on TiO2 Powder Photocatalysts Studied by a Chemiluminescent Probe Method. Phys. Chem. Chem. Phys. 2002, 4, 1088–1092. [Google Scholar] [CrossRef]
- Armstrong, D.A.; Huie, R.E.; Koppenol, W.H.; Lymar, S.V.; Merenyi, G.; Neta, P.; Ruscic, B.; Stanbury, D.M.; Steenken, S.; Wardman, P. Standard Electrode Potentials Involving Radicals in Aqueous Solution: Inorganic Radicals (IUPAC Technical Report). Pure Appl. Chem. 2015, 87, 1139–1150. [Google Scholar] [CrossRef]
- Liang, Y.; Tsubota, T.; Mooij, L.P.A.; Van De Krol, R. Highly Improved Quantum Efficiencies for Thin Film BiVO4 Photoanodes. J. Phys. Chem. C 2011, 115, 17594–17598. [Google Scholar] [CrossRef]
- Tan, H.L.; Amal, R.; Ng, Y.H. Alternative Strategies in Improving the Photocatalytic and Photoelectrochemical Activities of Visible Light-Driven BiVO4: A Review. J. Mater. Chem. A 2017, 5, 16498–16521. [Google Scholar] [CrossRef]
- Wierzyńska, E.; Korytkowska, K.; Kazimierczuk, K.; Łęcki, T.; Zarębska, K.; Korona, K.P.; Pisarek, M.; Furtak, B.; Skompska, M. The Role of Boron Dopant in the Improvement of Electron Transfer in G-C3N4 Photocatalyst. J. Phys. Chem. C 2024, 128, 894–907. [Google Scholar] [CrossRef]
- Kim, T.W.; Choi, K.-S. Nanoporous BiVO4 Photoanodes with Dual-Layer Oxygen Evolution Catalysts for Solar Water Splitting. Science 2014, 343, 990–995. [Google Scholar] [CrossRef]
- Zhang, Y.; Yi, Z.; Wu, G.; Shen, Q. Novel Y Doped BiVO4 Thin Film Electrodes for Enhanced Photoelectric and Photocatalytic Performance. J. Photochem. Photobiol. A Chem. 2016, 327, 25–32. [Google Scholar] [CrossRef]
- Gao, H.; Yan, S.; Wang, J.; Huang, Y.A.; Wang, P.; Li, Z.; Zou, Z. Towards Efficient Solar Hydrogen Production by Intercalated Carbon Nitride Photocatalyst. Phys. Chem. Chem. Phys. 2013, 15, 18077–18084. [Google Scholar] [CrossRef] [PubMed]
- Li, H.; Tu, W.; Zhou, Y.; Zou, Z. Z-Scheme Photocatalytic Systems for Promoting Photocatalytic Performance: Recent Progress and Future Challenges. Adv. Sci. 2016, 3, 1500389. [Google Scholar] [CrossRef] [PubMed]
- Zhu, Y.; Zhu, R.; Xi, Y.; Zhu, J.; Zhu, G.; He, H. Strategies for Enhancing the Heterogeneous Fenton Catalytic Reactivity: A Review. Appl. Catal. B Environ. 2019, 255, 117739. [Google Scholar] [CrossRef]
- Yuan, Y.; Zhang, L.; Xing, J.; Utama, M.I.B.; Lu, X.; Du, K.; Li, Y.; Hu, X.; Wang, S.; Genç, A.; et al. High-Yield Synthesis and Optical Properties of g-C3N4. Nanoscale 2015, 7, 12343–12350. [Google Scholar] [CrossRef]
- Das, D.; Shinde, S.L.; Nanda, K.K. Temperature-Dependent Photoluminescence of g-C3N4 : Implication for Temperature Sensing. ACS Appl. Mater. Interfaces 2016, 8, 2181–2186. [Google Scholar] [CrossRef]
- Long, M.; Cai, W.; Cai, J.; Zhou, B.; Chai, X.; Wu, Y. Efficient Photocatalytic Degradation of Phenol over Co3O4/BiVO4 Composite under Visible Light Irradiation. J. Phys. Chem. B 2006, 110, 20211–20216. [Google Scholar] [CrossRef]
- Zhong, D.K.; Choi, S.; Gamelin, D.R. Near-Complete Suppression of Surface Recombination in Solar Photoelectrolysis by “Co-Pi” Catalyst-Modified W:BiVO4. J. Am. Chem. Soc. 2011, 133, 18370–18377. [Google Scholar] [CrossRef]
- Zachäus, C.; Abdi, F.F.; Peter, L.M.; Van De Krol, R. Photocurrent of BiVO4 Is Limited by Surface Recombination, Not Surface Catalysis. Chem. Sci. 2017, 8, 3712–3719. [Google Scholar] [CrossRef]
- Abdellaoui, I.; Islam, M.M.; Remeika, M.; Higuchi, Y.; Kawaguchi, T.; Harada, T.; Budich, C.; Maeda, T.; Wada, T.; Ikeda, S.; et al. Photocarrier Recombination Dynamics in BiVO4 for Visible Light-Driven Water Oxidation. J. Phys. Chem. C 2020, 124, 3962–3972. [Google Scholar] [CrossRef]
- Peat, R.; Peter, L.M. A Study of the Passive Film on Iron by Intensity Modulated Photocurrent Spectroscopy. J. Electroanal. Chem. 1987, 228, 351–364. [Google Scholar] [CrossRef]
- Peter, L.M. Energetics and Kinetics of Light-Driven Oxygen Evolution at Semiconductor Electrodes: The Example of Hematite. J. Solid State Electrochem. 2013, 17, 315–326. [Google Scholar] [CrossRef]
- Peter, L.M.; Li, J.; Peat, R.; Lewerenz, H.J.; Stumper, J. Frequency Response Analysis of Intensity Modulated Photocurrents at Semiconductor Electrodes. Electrochim. Acta 1990, 35, 1657–1664. [Google Scholar] [CrossRef]
- Dunn, H.K.; Feckl, J.M.; Müller, A.; Fattakhova-Rohlfing, D.; Morehead, S.G.; Roos, J.; Peter, L.M.; Scheu, C.; Bein, T. Tin Doping Speeds up Hole Transfer during Light-Driven Water Oxidation at Hematite Photoanodes. Phys. Chem. Chem. Phys. 2014, 16, 24610–24620. [Google Scholar] [CrossRef] [PubMed]
- Rodríguez-Gutiérrez, I.; Djatoubai, E.; Su, J.; Vega-Poot, A.; Rodríguez-Gattorno, G.; Souza, F.L.; Oskam, G. An Intensity-Modulated Photocurrent Spectroscopy Study of the Charge Carrier Dynamics of WO3/BiVO4 Heterojunction Systems. Sol. Energy Mater. Sol. Cells 2020, 208, 110378. [Google Scholar] [CrossRef]
- McDonald, K.J.; Choi, K.S. A New Electrochemical Synthesis Route for a BiOI Electrode and Its Conversion to a Highly Efficient Porous BiVO4 Photoanode for Solar Water Oxidation. Energy Environ. Sci. 2012, 5, 8553–8557. [Google Scholar] [CrossRef]
- Mech, W.; Piotrowski, P.; Zarębska, K.; Korona, K.P.; Kaminska, M.; Skompska, M.; Kaim, A. The Impact of the Presence of Aromatic Rings in the Substituent on the Performance of C60/C70 Fullerene-Based Acceptor Materials in Photovoltaic Cells. J. Electron. Mater. 2022, 51, 6995–7008. [Google Scholar] [CrossRef]
- Wierzyńska, E.; Pisarek, M.; Łęcki, T.; Skompska, M. Comparative Studies of g-C3N4 and C3N3S3 Organic Semiconductors—Synthesis, Properties, and Application in the Catalytic Oxygen Reduction. Molecules 2023, 28, 2469. [Google Scholar] [CrossRef]
- Hirakawa, T.; Nosaka, Y. Properties of O2•− and OH• Formed in TiO2 Aqueous Suspensions by Photocatalytic Reaction and the Influence of H2O2 and Some Ions. Langmuir 2002, 18, 3247–3254. [Google Scholar] [CrossRef]






| Element | At% | |||
|---|---|---|---|---|
| BiVO4/Au-d | BiVO4/Au-s | BiVO4/Au-d/g-C3N4 | BiVO4/Fullerene | |
| Au | 2.11 | 5.87 | 1.52 | - |
| Bi | 27.96 | 22.56 | 13.03 | 16.79 |
| V | 22.43 | 26.86 | 12.73 | 17.65 |
| O | 41.12 | 36.86 | 13.55 | 33.40 |
| C | - | - | 25.26 | 20.91 |
| N | - | - | 32.67 | - |
Disclaimer/Publisher’s Note: The statements, opinions and data contained in all publications are solely those of the individual author(s) and contributor(s) and not of MDPI and/or the editor(s). MDPI and/or the editor(s) disclaim responsibility for any injury to people or property resulting from any ideas, methods, instructions or products referred to in the content. |
© 2024 by the authors. Licensee MDPI, Basel, Switzerland. This article is an open access article distributed under the terms and conditions of the Creative Commons Attribution (CC BY) license (https://creativecommons.org/licenses/by/4.0/).
Share and Cite
Łęcki, T.; Zarębska, K.; Wierzyńska, E.; Korona, K.P.; Chyży, P.; Piotrowski, P.; Skompska, M. Z-Scheme BiVO4/g-C3N4 Photocatalyst—With or Without an Electron Mediator? Molecules 2024, 29, 5092. https://doi.org/10.3390/molecules29215092
Łęcki T, Zarębska K, Wierzyńska E, Korona KP, Chyży P, Piotrowski P, Skompska M. Z-Scheme BiVO4/g-C3N4 Photocatalyst—With or Without an Electron Mediator? Molecules. 2024; 29(21):5092. https://doi.org/10.3390/molecules29215092
Chicago/Turabian StyleŁęcki, Tomasz, Kamila Zarębska, Ewelina Wierzyńska, Krzysztof P. Korona, Paulina Chyży, Piotr Piotrowski, and Magdalena Skompska. 2024. "Z-Scheme BiVO4/g-C3N4 Photocatalyst—With or Without an Electron Mediator?" Molecules 29, no. 21: 5092. https://doi.org/10.3390/molecules29215092
APA StyleŁęcki, T., Zarębska, K., Wierzyńska, E., Korona, K. P., Chyży, P., Piotrowski, P., & Skompska, M. (2024). Z-Scheme BiVO4/g-C3N4 Photocatalyst—With or Without an Electron Mediator? Molecules, 29(21), 5092. https://doi.org/10.3390/molecules29215092

