Unexpected Course of Reaction Between (1E,3E)-1,4-Dinitro-1,3-butadiene and N-Methyl Azomethine Ylide—A Comprehensive Experimental and Quantum-Chemical Study
Abstract
1. Introduction
2. Results and Discussion
2.1. Study of Electronic Properties of (1E,3E)-1,4-Dinitro-1,3-butadiene (1) and N-Methyl Azomethine Ylide (2) Based on MEDT
2.1.1. Study of the Electronic Properties for Reagents 1 and 2 Based on ELF, NPA and MEP
2.1.2. Analysis of Reactivity Indices for Reagents 1 and 2 According to CDFT
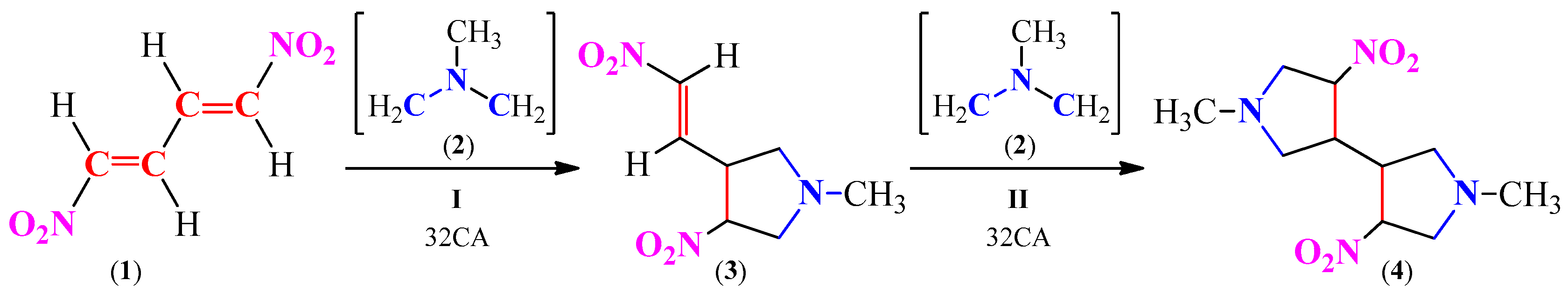
2.2. Synthetic Aspects of Reaction Between (1E,3E)-1,4-Dinitro-1,3-butadiene (1) and N-Methyl Azomethine Ylide (2)
2.2.1. Protocol Synthesis Details of Necessary Reagents (1) and (2)
2.2.2. Protocol Details of Reaction Between Nitrodiene (1) and Ylide (2)
2.2.3. Spectral Characteristics of the Obtained Product
2.3. Quantum-Chemical Structural Analysis of Pyrrolidine (3) and Δ3-Pyrroline (3a)
2.3.1. Electronic Properties of 1-Methyl-3-nitrovinyl-4-nitro-pyrrolidine (3)
2.3.2. Analysis of the Structural and Stability Aspects of Possible Forms of 1-Methyl-3-(trans-2-nitrovinyl)-Δ3-pyrroline (3a)
2.4. In Silico Study of Biological Potential of Obtained 1-Methyl-3-(trans-2-nitrovinyl)-Δ3-pyrroline (3a) Based on ADME and PASS
2.4.1. Analysis of Druglikeness and ADME Studies of Δ3-Pyrroline (3a)
2.4.2. Assessment of Antimicrobial Activities and Potential Biological Application of Δ3-Pyrroline (3a) Based on PASS
3. Materials and Methods
3.1. Materials
3.2. Synthesis of Nitrodiene (1) and Ylide (2)
3.3. Cycloaddition Between Nitrodiene (1) and Ylide (2)—General Procedure
3.4. Analytical Techniques
3.5. Computational Details
4. Conclusions and Future Prospects
Supplementary Materials
Author Contributions
Funding
Institutional Review Board Statement
Informed Consent Statement
Data Availability Statement
Acknowledgments
Conflicts of Interest
References
- Nishiwaki, N. A Walk Through Recent Nitro Chemistry Advances. Molecules 2020, 25, 3680. [Google Scholar] [CrossRef] [PubMed]
- Dresler, E.; Wróblewska, A.; Jasiński, R. Energetic Aspects and Molecular Mechanism of 3-Nitro-substituted 2-Isoxazolines Formation via Nitrile N-Oxide [3 + 2] Cycloaddition: An MEDT Computational Study. Molecules 2024, 29, 3042. [Google Scholar] [CrossRef]
- Dresler, E.; Woliński, P.; Wróblewska, A.; Jasiński, R. On the Question of Zwitterionic Intermediates in the [3 + 2] Cycloaddition Reactions Between Aryl Azides and Ethyl Propiolate. Molecules 2023, 28, 8152. [Google Scholar] [CrossRef] [PubMed]
- Zawadzińska, K.; Gaurav, G.K.; Jasiński, R. Preparation of Conjugated Nitroalkenes: Short Review. Sci. Radices 2022, 1, 69–83. [Google Scholar] [CrossRef]
- Bordwell, F.G.; Garbisch, E.W. Nitrations with acetyl nitrate. I. The nature of the nitrating agent and the mechanism of reaction with simple alkenes. J. Am. Chem. Soc. 1960, 82, 3588–3598. [Google Scholar] [CrossRef]
- Boguszewska-Czubara, A.; Łapczuk-Krygier, A.; Rykała, K.; Biernasiuk, A.; Wnorowski, A.; Popiolek, Ł.; Maziarka, A.; Hordyjewska, A.; Jasiński, R. Novel Synthesis Scheme and In Vitro Antimicrobial Evaluation of a Panel of (E)-2-aryl-1-cyano-1-nitroethenes. J. Enzym. Inhib. Med. Chem. 2016, 31, 900–907. [Google Scholar] [CrossRef]
- Boguszewska-Czubara, A.; Kula, K.; Wnorowski, A.; Biernasiuk, A.; Popiolek, Ł.; Miodowski, D.; Demchuk, O.M.; Jasiński, R. Novel Functionalized β-nitrostyrenes: Promising Candidates for New Antibacterial Drugs. Saudi Pharm. J. 2019, 27, 593–601. [Google Scholar] [CrossRef] [PubMed]
- Latif, N.; Girgis, N.S.; Assad, F.M.; Grant, N. (Nitroethenyl) Salicylic Acid Anilides and Related Substances. A New Group of Molluscicidal and Microbicidal Compounds. Liebigs Ann. 1985, 6, 1202–1209. [Google Scholar] [CrossRef]
- Ballini, R.; Petrini, M.; Rosini, G. Nitroalkanes as Central Reagents in the Synthesis of Spiroketals. Molecules 2008, 13, 319–330. [Google Scholar] [CrossRef]
- Al-Najjar, H.J.; Barakat, A.; Al-Majid, A.M.; Mabkhot, Y.N.; Weber, M.; Ghabbour, H.A.; Fun, H.-K. A Greener, Efficient Approach to Michael Addition of Barbituric Acid to Nitroalkene in Aqueous Diethylamine Medium. Molecules 2014, 19, 1150–1162. [Google Scholar] [CrossRef]
- Alonso, D.A.; Baeza, A.; Chinchilla, R.; Gómez, C.; Guillena, G.; Pastor, I.M.; Ramón, D.J. Recent Advances in Asymmetric Organocatalyzed Conjugate Additions to Nitroalkenes. Molecules 2017, 22, 895. [Google Scholar] [CrossRef] [PubMed]
- Łapczuk-Krygier, A.; Kącka-Zych, A.; Kula, K. Recent Progress in the Field of Cycloaddition Reactions Involving Conjugated Nitroalkenes. Curr. Chem. Lett. 2019, 8, 13–38. [Google Scholar] [CrossRef]
- Kras, J.; Sadowski, M.; Zawadzińska, K.; Nagatsky, R.; Woliński, P.; Kula, K.; Łapczuk, A. Thermal [3 + 2] Cycloaddition Reactions as Most Universal Way for the Effective Preparation of Five-Membered Nitrogen Containing Heterocycles. Sci. Radices 2023, 2, 247–267. [Google Scholar] [CrossRef]
- Dresler, E. The participation of oleic acid and its esters in [3 + 2] cycloaddition reactions: A mini-review. Sci. Radices 2024, 3, 53–61. [Google Scholar] [CrossRef]
- Woliński, P.; Kącka-Zych, A.; Wróblewska, A.; Wielgus, E.; Dolot, R.; Jasiński, R. Fully Selective Synthesis of Spirocyclic-1,2-oxazine N-Oxides via Non-Catalysed Hetero Diels-Alder Reactions with the Participation of Cyanofunctionalysed Conjugated Nitroalkenes. Molecules 2023, 28, 4586. [Google Scholar] [CrossRef]
- Dresler, E.; Wróblewska, A.; Jasiński, R. Understanding the Molecular Mechanism of Thermal and LA-Catalysed Diels—Alder Reactions Between Cyclopentadiene and Isopropyl 3-Nitroprop-2-Enate. Molecules 2023, 28, 5289. [Google Scholar] [CrossRef]
- Kula, K.; Łapczuk, A.; Sadowski, M.; Kras, J.; Zawadzińska, K.; Demchuk, O.M.; Gaurav, G.K.; Wróblewska, A.; Jasiński, R. On the Question of the Formation of Nitro-Functionalized 2,4-Pyrazole Analogs on the Basis of Nitrylimine Molecular Systems and 3,3,3-Trichloro-1-Nitroprop-1-Ene. Molecules 2022, 27, 8409. [Google Scholar] [CrossRef]
- Kula, K.; Kącka-Zych, A.; Łapczuk-Krygier, A.; Wzorek, Z.; Nowak, A.K.; Jasiński, R. Experimental and Theoretical Mechanistic Study on the Thermal Decomposition of 3,3-Diphenyl-4-(Trichloromethyl)-5-Nitropyrazoline. Molecules 2021, 26, 1364. [Google Scholar] [CrossRef]
- Jasiński, R.; Żmigrodzka, M.; Dresler, E.; Kula, K. A full regio- and stereoselective synthesis of 4-nitroisoxazolidines via stepwise [3 + 2] cycloaddition reactions Between (Z)-C-(9-anthryl)-N-arylnitrones and (E)-3,3,3-trichloro-1-nitroprop-1-ene: Comprehensive experimental and theoretical study. J. Heterocyclic. Chem. 2017, 54, 3314–3320. [Google Scholar] [CrossRef]
- Fryźlewicz, A.; Łapczuk-Krygier, A.; Kula, K.; Demchuk, O.M.; Dresler, E.; Jasiński, R. Regio- and Stereoselective Synthesis of Nitrofunctionalized 1,2-Oxazolidine Analogs of Nicotine. Chem. Heterocycl. Comp. 2020, 56, 120–122. [Google Scholar] [CrossRef]
- Dresler, E.; Sadowski, M.; Demchuk, O.M. Reactivity of the ethyl oleate in the [3 + 2] cycloaddition to arylonitrile N-oxide: A reexamination. Sci. Radices 2024, 3, 108–121. [Google Scholar] [CrossRef]
- Zawadzińska, K.; Ríos-Gutiérrez, M.; Kula, K.; Woliński, P.; Mirosław, B.; Krawczyk, T.; Jasiński, R. The Participation of 3,3,3-Trichloro-1-nitroprop-1-ene in the [3 + 2] Cycloaddition Reaction with Selected Nitrile N-Oxides in the Light of the Experimental and MEDT Quantum Chemical Study. Molecules 2021, 26, 6774. [Google Scholar] [CrossRef] [PubMed]
- Żmigrodzka, M.; Sadowski, M.; Kras, J.; Dresler, E.; Demchuk, O.M.; Kula, K. Polar [3 + 2] Cycloaddition Between N-Methyl Azomethine Ylide and Trans-3,3,3-trichloro-1-nitroprop-1-ene. Sci. Radices 2022, 1, 26–35. [Google Scholar] [CrossRef]
- García-Mingüens, E.; Ferrándiz-Saperas, M.; de Gracia Retamosa, M.; Nájera, C.; Yus, M.; Sansano, J.M. Enantioselective 1,3-Dipolar Cycloaddition Using (Z)-α-Amidonitroalkenes as a Key Step to the Access to Chiral cis-3,4-Diaminopyrrolidines. Molecules 2022, 27, 4579. [Google Scholar] [CrossRef] [PubMed]
- Sadowski, M.; Kula, K. Nitro-functionalized Analogues of 1,3-Butadiene: An Overview of Characteristic, Synthesis, Chemical Transformations and Biological Activity. Curr. Chem. Lett. 2024, 13, 15–30. [Google Scholar] [CrossRef]
- Ballini, R.; Araújo, N.; Gil, M.V.; Román, E.; Serrano, J.A. Conjugated Nitrodienes. Synthesis and Reactivity. Chem. Rev. 2013, 113, 3493–3515. [Google Scholar] [CrossRef]
- Kaberdin, R.V.; Potkin, V.I.; Zapol’skii, V.A. Nitrobutadienes and their halogen derivatives: Synthesis and reactions. Russ. Chem. Rev. 1997, 66, 827–842. [Google Scholar] [CrossRef]
- Petrillo, G.; Benzi, A.; Bianchi, L.; Maccagno, M.; Pagano, A.; Tavani, C.; Spinelli, D. Recent advances in the use of conjugated nitro or dinitro-1,3-butadienes as building-blocks for the synthesis of heterocycles. Tetrahedron Lett. 2020, 61, 152297–152309. [Google Scholar] [CrossRef]
- Zapol’skii, V.A.; Bilitewski, U.; Kupiec, S.R.; Ramming, I.; Kaufmann, D.E. Polyhalonitrobutadienes as Versatile Building Blocks for the Biotargeted Synthesis of Substituted N-Heterocyclic Compounds. Molecules 2020, 25, 2863. [Google Scholar] [CrossRef]
- Al-Jumaili, M.H.A.; Hamad, A.A.; Hashem, H.E.; Hussein, A.D.; Muhaidi, M.J.; Ahmed, M.A.; Albanaa, A.H.A.; Siddique, F.; Bakr, E.A. Comprehensive Review on the Bis-heterocyclic Compounds and Their Anticancer Efficacy. J. Mol. Struct. 2023, 1271, 133970. [Google Scholar] [CrossRef]
- Iftikhar, R.; Khan, F.Z.; Naeem, N. Recent Synthetic Strategies of Small Heterocyclic Organic Molecules with Optoelectronic Applications: A Review. Mol. Divers. 2023, 28, 271–307. [Google Scholar] [CrossRef]
- Ren, F.; Zhang, Y.; Gong, D.; He, X.; Shi, J.; Zhang, Q.; Tu, G. Novel swivel-cruciform 5,5′-bibenzothiadiazole based small molecule donors for efficient organic solar cells. Org. Electron. 2020, 77, 105521. [Google Scholar] [CrossRef]
- Wang, Y.; Liu, B.; Koh, C.W.; Zhou, X.; Sun, H.; Yu, J.; Yang, K.; Wang, H.; Liao, Q.; Woo, H.Y.; et al. Facile Synthesis of Polycyclic Aromatic Hydrocarbon (PAH)–Based Acceptors with Fine-Tuned Optoelectronic Properties: Toward Efficient Additive-Free Nonfullerene Organic Solar Cells. Adv. Energy Mater. 2019, 9, 1803976. [Google Scholar] [CrossRef]
- Koutoulogenis, G.S.; Kokotos, G. Nitro Fatty Acids (NO2-FAs): An Emerging Class of Bioactive Fatty Acids. Molecules 2021, 26, 7536. [Google Scholar] [CrossRef]
- Woodcock, S.R.; Salvatore, S.R.; Freeman, B.A.; Schopfer, F.J. Synthesis of 9- and 12-nitro conjugated linoleic acid: Regiospecific isomers of naturally occurring conjugated nitrodienes. Tetrahedron Lett. 2021, 81, 153371. [Google Scholar] [CrossRef]
- Durden, J.A.; Heywood, D.L.; Sousa, A.A.; Spurr, H.W. Synthesis and Microbial Toxicity of Dinitrobutadienes and Related Compounds. J. Agric. Food Chem. 1970, 18, 50–56. [Google Scholar] [CrossRef]
- Sadowski, M.; Synkiewicz-Musialska, B.; Kula, K. (1E,3E)-1,4-Dinitro-1,3-butadiene—Synthesis, Spectral Characteristics and Computational Study Based on MEDT, ADME and PASS Simulation. Molecules 2024, 29, 542. [Google Scholar] [CrossRef]
- Rios-Gutierrez, M.; Domingo, L.R. Unravelling the mysteries of the [3 + 2] cycloaddition reactions. Eur. J. Org. Chem. 2019, 2019, 267–282. [Google Scholar] [CrossRef]
- Żmigrodzka, M.; Dresler, E.; Hordyjewicz-Baran, Z.; Kulesza, R.; Jasiński, R. A Unique Example of Noncatalyzed [3 + 2] Cycloaddition involving (2E)-3-Aryl-2-Nitroprop-2-Enenitriles. Chem. Heterocycl. Compd. 2017, 53, 1161–1162. [Google Scholar] [CrossRef]
- Sharko, A.V.; Senchyk, G.A.; Rusanov, E.B.; Domasevitch, K.V. Preparative synthesis of 3(5),3′(5′)-dimethyl-4,4′-bipyrazole. Tetrahedron Lett. 2015, 56, 6089–6092. [Google Scholar] [CrossRef]
- Domingo, L.R. Molecular Electron Density Theory: A Modern View of Reactivity in Organic Chemistry. Molecules 2016, 21, 1319. [Google Scholar] [CrossRef]
- Di, L.; Kerns, E. Drug-Like Properties: Concepts, Structure Design and Methods from ADME to Toxicity Optimization; Academic Press: Cambridge, MA, USA, 2015. [Google Scholar]
- Filimonov, D.A.; Lagunin, A.A.; Gloriozova, T.A.; Rudik, A.V.; Druzhilovskii, D.S.; Pogodin, P.V.; Poroikov, V.V. Prediction of the biological activity spectra of organic compounds using the PASS online web resource. Chem. Heterocycl. Comp. 2014, 50, 444–457. [Google Scholar] [CrossRef]
- Becke, A.D.; Edgecombe, K.E. A Simple Measure of Electron Localization in Atomic and Molecular Systems. J. Chem. Phys. 1990, 92, 5397–5403. [Google Scholar] [CrossRef]
- Reed, A.E.; Weinstock, R.B.; Weinhold, F. Natural population analysis. J. Chem. Phys. 1985, 83, 735–746. [Google Scholar] [CrossRef]
- Reed, A.E.; Curtiss, L.A.; Weinhold, F. Intermolecular interactions from a natural bond orbital, donor-acceptor viewpoint. Chem. Rev. 1988, 88, 899–926. [Google Scholar] [CrossRef]
- Leboeuf, M.; Koster, A.M.; Jug, K. Topological analysis of the molecular electrostatic potential. J. Chem. Phys. 1999, 111, 4893–4905. [Google Scholar] [CrossRef]
- Messaadia, S.; Nacereddine, A.K.; Djerourou, A. Exploring the factors controlling the mechanism and the high stereoselectivity of the polar [3 + 2] cycloaddition reaction of the N,N’-cyclic azomethine imine with 3-nitro-2-phenyl-2H-chromene. A Molecular Electron Density Theory study. Chem. Heterocycl. Compd. 2023, 59, 128–137. [Google Scholar] [CrossRef]
- Chafaa, F.; Nacereddine, A.K. A molecular electron density theory study of mechanism and selectivity of the intramolecular [3 + 2] cycloaddition reaction of a nitrone–vinylphosphonate adduct. Chem. Heterocycl. Compd. 2023, 59, 171–178. [Google Scholar] [CrossRef]
- Domingo, L.R.; Emamian, S.R. Understanding the mechanisms of [3 + 2] cycloaddition reactions. The pseudoradical versus the zwitterionic mechanism. Tetrahedron 2014, 70, 1267–1273. [Google Scholar] [CrossRef]
- Rios-Gutierez, M.; Domingo, L.R.; Jasinski, R. Unveiling the High Reactivity of Experimental Pseudodiradical Azomethine Ylides Within Molecular Electron Density Theory. Phys. Chem. Chem. Phys. 2023, 25, 314–325. [Google Scholar] [CrossRef]
- Domingo, L.R. 1999–2024, a quarter century of the Parr’s electrophilicity ω index. Sci. Radices 2024, 3, 157–186. [Google Scholar] [CrossRef]
- Domingo, L.R.; Ríos-Gutiérrez, M.; Pérez, P. Applications of the Conceptual Density Functional Theory Indices to Organic Chemistry Reactivity. Molecules 2016, 21, 748. [Google Scholar] [CrossRef] [PubMed]
- Kula, K.; Zawadzińska, K. Local Nucleophile-Electrophile Interactions in [3 + 2] Cycloaddition Reactions between Benzonitrile N-Oxide and Selected Conjugated Nitroalkenes in the Light of MEDT Computational Study. Curr. Chem. Lett. 2021, 10, 9–16. [Google Scholar] [CrossRef]
- Parr, R.G.; Gadre, S.R.; Bartolotti, L.J. Local Density Functional Theory of Atoms and Molecules. Proc. Natl. Acad. Sci. USA 1979, 76, 2522–2526. [Google Scholar] [CrossRef]
- Aurell, M.J.; Domingo, L.R.; Pérez, P.; Contreras, R. A Theoretical Study on the Regioselectivity Of 1,3-Dipolar Cycloadditions Using DFT-based Reactivity Indexes. Tetrahedron 2004, 60, 11503–11509. [Google Scholar] [CrossRef]
- Domingo, L.R.; Pérez, P.; Sáez, J.A. Understanding the Local Reactivity in Polar Organic Reactions Through Electrophilic and Nucleophilic Parr Functions. RSC Adv. 2013, 3, 1486–1494. [Google Scholar] [CrossRef]
- Benmerabet, A.; Bouhadiba, A.; Belhocine, Y.; Rahali, S.; Sbei, N.; Seydou, M.; Boucheriha, I.; Omeiri, I.; Assaba, I.M. DFT Investigation on the Complexation of β-Cyclodextrin and Hydroxypropyl-β-Cyclodextrin as Recognition Hosts with Trichloroethylene. Atoms 2023, 11, 153. [Google Scholar] [CrossRef]
- Domingo, L.R.; Ríos-Gutiérrez, M. A Useful Classification of Organic Reactions Based on the Flux of the Electron Density. Sci. Radices 2023, 2, 1–24. [Google Scholar] [CrossRef]
- Jasiński, R. On the question of selective protocol for the preparation of juglone via (4 + 2) cycloaddition involving 3-hydroxypyridazine: DFT mechanistic study. Chem. Heterocycl. Compd. 2023, 59, 179–182. [Google Scholar] [CrossRef]
- Dresler, E.; Allnajar, R.; Jasiński, R. Sterical index: A novel, simple tool for the interpretation of organic reaction mechanisms. Sci. Radices 2023, 2, 69–74. [Google Scholar] [CrossRef]
- Parr, R.G.; Yang, W. Density Functional Theory of Atoms and Molecules; Oxford University Press: New York, NY, USA, 1989. [Google Scholar]
- Kula, K.; Sadowski, M. Regio- and stereoselectivity of [3 + 2] cycloaddition reactions Between (Z)-C-(9-anthryl)-N-methylnitrone and analogues of trans-β-nitrostyrene in the light of MEDT computational study. Chem. Heterocycl. Compd. 2023, 59, 138–144. [Google Scholar] [CrossRef]
- Parr, R.G.; von Szentpaly, L.; Liu, S. Electrophilicity Index. J. Am. Chem. Soc. 1999, 121, 1922–1924. [Google Scholar] [CrossRef]
- Domingo, L.R.; Pérez, P. The Nucleophilicity N Index in Organic Chemistry. Org. Biomol. Chem. 2011, 9, 7168–7175. [Google Scholar] [CrossRef] [PubMed]
- Ríos-Gutiérrez, M.; Saz Sousa, A.; Domingo, L.R. Electrophilicity and nucleophilicity scales at different DFT computational levels. J. Phys. Org. Chem. 2023, 36, 4503. [Google Scholar] [CrossRef]
- Siadati, S.A.; Kula, K.; Babanezhad, E. The Possibility of a Two-Step Oxidation of the Surface of C20 Fullerene by a Single Molecule of Nitric (V) Acid. Chem. Rev. Lett. 2019, 2, 2–6. [Google Scholar]
- Łapczuk-Krygier, A.; Jaśkowska, J.; Jasiński, R. The influence of Lewis acid catalyst on the kinetic and molecular mechanism of nitrous acid extrusion from 3-phenyl-5-nitro-2-isoxazoline: DFT computational study. Chem. Heterocycl. Compd. 2018, 54, 1172–1174. [Google Scholar] [CrossRef]
- Jasiński, R. Understanding of the molecular mechanism of the phenylsulfenic acid elimination from nitroalkyl systems. J. Mol. Graph. Model. 2019, 89, 109–113. [Google Scholar] [CrossRef]
- Sadowski, M.; Utnicka, J.; Wójtowicz, A.; Kula, K. The Global and Local Reactivity of C,N-diarylnitryle Imines in [3 + 2] Cycloaddition Processes with Trans-β-nitrostyrene according to Molecular Electron Density Theory: A computational study. Curr. Chem. Lett. 2023, 12, 421–430. [Google Scholar] [CrossRef]
- Yousfi, Y.; Benchouk, W.; Mekelleche, S.M. Prediction of the regioselectivity of the ruthenium-catalyzed [3 + 2] cycloadditions of benzyl azide with internal alkynes using conceptual DFT indices of reactivity. Chem. Heterocycl. Compd. 2023, 59, 118–127. [Google Scholar] [CrossRef]
- Jasiński, R.; Mirosław, B.; Demchuk, O.M.; Babyuk, D.; Łapczuk-Krygier, A. In the search for experimental and quantumchemical evidence for zwitterionic nature of (2E)-3-[4-(dimethylamino)phenyl]-2-nitroprop-2-enenitrile—An extreme example of donor-π-acceptor push-pull molecule. J. Mol. Struct. 2016, 1108, 689–697. [Google Scholar] [CrossRef]
- Kim, N.; Estrada, O.; Chavez, B.; Stewart, C.; D’Auria, J.C. Tropane and Granatane Alkaloid Biosynthesis: A Systematic Analysis. Molecules 2016, 21, 1510. [Google Scholar] [CrossRef]
- Kosylo, N.; Hotynchan, A.; Skrypska, O.; Horak, Y.; Obushak, M. Synthesis and prediction of toxicological and pharmacological properties of Schiff bases containing arylfuran and pyrazole moiety. Sci. Radices 2024, 3, 62–73. [Google Scholar] [CrossRef]
- Gassim, H.B.M.; Hassan, A.M.; Abadi, R.S.M.; Mustafa, Y.A.A. Phytochemical constituents and antioxidant activity of Ricinus communis Linn leaf and seeds extracts. Sci. Radices 2024, 3, 74–88. [Google Scholar] [CrossRef]
- Wishart, D.S. Improving early drug discovery Through ADME modelling: An overview. Drugs R D 2007, 8, 349–362. [Google Scholar] [CrossRef]
- SwissADME. Swiss Institute of Bioinformatics. Available online: http://www.swissadme.ch/ (accessed on 1 September 2024).
- Lipinski, C.A.; Lombardo, F.; Dominy, B.W.; Feeney, P.J. Experimental and computational approaches to estimate solubility and permeability in drug discovery and development settings. Adv. Drug Deliv. Rev. 2001, 46, 3–26. [Google Scholar] [CrossRef]
- Ghose, A.K.; Viswanadhan, V.N.; Wendoloski, J.J. A knowledge-based approach in designing combinatorial or medicinal chemistry libraries for drug discovery. 1. A qualitative and quantitative characterization of known drug databases. J. Comb. Chem. 1999, 1, 55–68. [Google Scholar] [CrossRef]
- Veber, D.F.; Johnson, S.R.; Cheng, H.-Y.; Smith, B.R.; Ward, K.W.; Kopple, K.D. Molecular properties that influence the oral bioavailability of drug candidates. J. Med. Chem. 2002, 45, 2615–2623. [Google Scholar] [CrossRef] [PubMed]
- Egan, W.J.; Merz, K.M.; Baldwin, J.J. Prediction of drug absorption using multivariate statistics. J. Med. Chem. 2000, 43, 3867–3877. [Google Scholar] [CrossRef]
- Muegge, I.; Heald, S.L.; Brittelli, D. Simple selection criteria for drug-like chemical matter. J. Med. Chem. 2001, 44, 1841–1846. [Google Scholar] [CrossRef] [PubMed]
- Prasanna, S.; Doerksen, R. Topological Polar Surface Area: A Useful Descriptor in 2D-QSAR. Curr. Med. Chem. 2009, 16, 21–41. [Google Scholar] [CrossRef]
- Way2Drug, PASS Online. Available online: http://www.way2drug.com/passonline/ (accessed on 1 September 2024).
- Kula, K.; Dresler, E.; Demchuk, O.M.; Jasiński, R. New aldimine N-oxides as precursors for preparation of heterocycles with potential biological activity. Przem. Chem. 2015, 94, 1385–1387. [Google Scholar] [CrossRef]
- Frisch, M.J.; Trucks, G.W.; Schlegel, H.B.; Scuseria, G.E.; Robb, M.A.; Cheeseman, J.R.; Scalmani, G.; Barone, V.; Petersson, G.A.; Nakatsuji, H.; et al. Gaussian 16, Revision C.01; Gaussian, Inc.: Wallingford, CT, USA, 2016. [Google Scholar]
- Tirado-Rives, J.; Jorgensen, W.L. Performance of B3LYP Density Functional Methods for a Large Set of Organic Molecules. J. Chem. Theory Comput. 2008, 4, 297–306. [Google Scholar] [CrossRef] [PubMed]
- Petersson, G.A.; Bennett, A.; Tensfeldt, T.G.; Al-Laham, M.A.; Shirley, W.A.; Mantzaris, J. A Complete Basis Set Model Chemistry. The Total Energies of Closed-Shell Atoms and Hydrides of the First-Row Atoms. J. Chem. Phys. 1988, 89, 2193–2218. [Google Scholar] [CrossRef]
- Mondal, A.; Acharjee, N. Unveiling the exclusive stereo and site selectivity in [3 + 2] cycloaddition reactions of a tricyclic strained alkene with nitrile oxides from the molecular electron density theory perspective. Chem. Heterocycl. Compd. 2023, 59, 145–154. [Google Scholar] [CrossRef]
- Abdoul-Hakim, M.; Idrissi, K.E.; Zeroual, A.; Garmes, H. Investigation of the solvent effect, regioselectivity, and the mechanism of the cycloaddition reaction Between 2-chlorobenzimidazole and benzonitrile oxide. Chem. Heterocycl. Compd. 2023, 59, 155–164. [Google Scholar] [CrossRef]
- Ameur, S.; Barhoumi, A.; Ríos-Gutiérrez, M.; Aitouna, A.O.; El Alaoui El Abdallaoui, H.; Mazoir, N.; Belghiti, M.E.; Syed, A.; Zeroual, A.; Domingo, L.R. A MEDT study of the mechanism and selectivity of the hetero-Diels–Alder reaction Between 3-benzoylpyrrolo[1,2-c][1,4]-benzoxazine-1,2,4-trione and vinyl acetate. Chem. Heterocycl. Comp. 2023, 59, 165–170. [Google Scholar] [CrossRef]
- Zawadzińska, K.; Kula, K. Application of β-phosphorylated nitroethenes in [3 + 2] cycloaddition reactions involving benzonitrile N-oxide in the light of DFT computational study. Organics 2021, 2, 26–37. [Google Scholar] [CrossRef]
- Woliński, P.; Kącka-Zych, A.; Dziuk, B.; Ejsmont, K.; Łapczuk-Krygier, A.; Dresler, E. The structural aspects of the transformation of 3-nitroisoxazoline-2-oxide to 1-aza-2,8-dioxabicyclo[3.3.0]octane derivatives: Experimental and MEDT theoretical study. J. Mol. Struct. 2019, 1192, 27–34. [Google Scholar] [CrossRef]
- Kula, K.; Łapczuk-Krygier, A. A DFT computational study on the [3 + 2] cycloaddition Between parent thionitrone and nitroethene. Curr. Chem. Lett. 2018, 7, 27–34. [Google Scholar] [CrossRef]
- Aitouna, A.O.; Barhoumi, A.; Zeroual, A. A Mechanism Study and an Investigation of the Reason for the Stereoselectivity in the [4 + 2] Cycloaddition Reaction Between Cyclopentadiene and Gem-substituted Ethylene Electrophiles. Sci. Radices 2023, 2, 217–228. [Google Scholar] [CrossRef]
- Demchuk, O.M.; Jasiński, R.; Strzelecka, D.; Dziuba, K.; Kula, K.; Chrzanowski, J.; Krasowska, D. A clean and simple method for deprotection of phosphines from borane complexes. Pure Appl. Chem. 2018, 90, 49–62. [Google Scholar] [CrossRef]
- Noury, S.; Krokidis, X.; Fuster, F.; Silvi, B. Computational tools for the electron localization function topological analysis. Comput. Chem. 1999, 23, 597–604. [Google Scholar] [CrossRef]
- Dennington, R.; Keith, T.A.; Millam, J.M. GaussView, Version 6.0; Semichem Inc.: Shawnee, KS, USA, 2016. [Google Scholar]
- Ayachit, U. The ParaView Guide: A Parallel Visualization Application; Kitware Inc.: New York, NY, USA, 2015. [Google Scholar]
- Baskov, Y.V.; Urbański, T.; Witanowski, M.; Stefaniak, L. Isomeric nitropropenes and their nuclear magnetic resonance spectra. Tetrahedron 1964, 20, 1519–1526. [Google Scholar] [CrossRef]

















| [eV] | 1 | 2 |
|---|---|---|
| HOMO energy | −8.31 | −3.94 |
| LUMO energy | −3.91 | 0.35 |
| Energy gap, ΔE | 4.40 | 4.49 |
| Electronic chemical potential, μ | −6.11 | −1.79 |
| Chemical hardness, η | 4.40 | 4.29 |
| Chemical softness, S | 0.23 | 0.23 |
| Global electrophilicity, ω | 4.24 | 0.38 |
| Global nucleophilicity, N | 0.81 | 5.18 |
| Hypothetical Product (3) | Hypothetical Product (4) | Obtained Results | |
|---|---|---|---|
| %C | 41.79% | 46.51% | 54.52% |
| %H | 5.47% | 7.00% | 6.51% |
| %N | 20.90% | 21.71% | 18.20% |
| Physicochemical Properties | ||||||||||||
|---|---|---|---|---|---|---|---|---|---|---|---|---|
| Formula | C7H10N2O2 | |||||||||||
| Molecular weight MW | 154.17 g/mol | |||||||||||
| #Heavy atoms | 11 | |||||||||||
| #Aromatic heavy atoms | 0 | |||||||||||
| #Rotatable bonds | 2 | |||||||||||
| #H-bond acceptors | 3 | |||||||||||
| #H-bond donors | 0 | |||||||||||
| Molar refractivity MR | 47.62 | |||||||||||
| Topological polar surface area TPSA | 49.06 Å2 | |||||||||||
| Lipophilicity Log Po/w | ||||||||||||
| iLOGP | XLOGP | WLOGP | MLOGP | SILICOS-IT | Consensus | |||||||
| 1.63 | 0.30 | 0.79 | −0.32 | −0.66 | 0.35 | |||||||
| Water Solubility Log S | ||||||||||||
| Log S (ESOL) | Solubility | Class | Log S (Ali) | Solubility | Class | |||||||
| −0.85 | 21.6 mg/mL | Very soluble | −0.89 | 19.7 mg/mL | Very soluble | |||||||
| Pharmacokinetics | ||||||||||||
| IG absorption | BBB permeant | CYP1A2 INH | CYP2C19 INH | CYP2C9 INH | CYP2D6 INH | CYP3A4 INH | Log Kp Skin permeation | |||||
| High | Yes | Yes | No | No | No | No | −7.03 cm/s | |||||
| Medicinal Chemistry Friendliness | ||||||||||||
| PAINS | Brenk | Synthetic accessibility | ||||||||||
| 0 alerts | 1 alert | 31.7% | ||||||||||
| Lipinski et al. [75] (Pfizer) | Ghose et al. [76] (Amgen) | Veber et al. [77] (GSK) | Egan et al. [78] (Pharmacia) | Muegge et al. [79] (Bayer) |
|---|---|---|---|---|
| MW ≤ 500 Da MLOGP ≤ 4.15 #H-bond donors ≤ 5 #H-bond acceptors ≤ 10 | 160 Da ≤ MW ≤ 480 Da −0.4 ≤ WLOGP ≤ 5.6 40 ≤ MR ≤ 130 20 ≤ #atoms ≤ 70 | #Rotatable bonds ≤ 10 TPSA ≤ 140 Å2 | WLOGP ≤ 5.88 TPSA ≤ 131.6 Å2 | 200 Da ≤ MW ≤ 600 Da −0.4 ≤ XLOGP ≤ 5.6 TPSA ≤ 150 Å2 #Rings ≤ 7 #Carbons > 4 #Heteroatoms > 1 #Rotatable bonds ≤ 15 #H-bond donors ≤ 5 #H-bond acceptors ≤ 10 |
| Antimicrobial Activity | Pa | Pi |
|---|---|---|
| Antiviral (Adenovirus) | 0.340 | 0.060 |
| Antiviral (Picornavirus) | 0.333 | 0.179 |
| Antifungal | 0.281 | 0.090 |
| Antibacterial | 0.237 | 0.090 |
| Antiparasitic | 0.143 | 0.136 |
| Biological Activity | Pa | Pi |
|---|---|---|
| Nicotinic alpha-6-beta-3-beta-4-alpha-5 receptor antagonist | 0.742 | 0.023 |
| (R)-6-hydroxynicotine oxidase inhibitor | 0.724 | 0.006 |
Disclaimer/Publisher’s Note: The statements, opinions and data contained in all publications are solely those of the individual author(s) and contributor(s) and not of MDPI and/or the editor(s). MDPI and/or the editor(s) disclaim responsibility for any injury to people or property resulting from any ideas, methods, instructions or products referred to in the content. |
© 2024 by the authors. Licensee MDPI, Basel, Switzerland. This article is an open access article distributed under the terms and conditions of the Creative Commons Attribution (CC BY) license (https://creativecommons.org/licenses/by/4.0/).
Share and Cite
Sadowski, M.; Kula, K. Unexpected Course of Reaction Between (1E,3E)-1,4-Dinitro-1,3-butadiene and N-Methyl Azomethine Ylide—A Comprehensive Experimental and Quantum-Chemical Study. Molecules 2024, 29, 5066. https://doi.org/10.3390/molecules29215066
Sadowski M, Kula K. Unexpected Course of Reaction Between (1E,3E)-1,4-Dinitro-1,3-butadiene and N-Methyl Azomethine Ylide—A Comprehensive Experimental and Quantum-Chemical Study. Molecules. 2024; 29(21):5066. https://doi.org/10.3390/molecules29215066
Chicago/Turabian StyleSadowski, Mikołaj, and Karolina Kula. 2024. "Unexpected Course of Reaction Between (1E,3E)-1,4-Dinitro-1,3-butadiene and N-Methyl Azomethine Ylide—A Comprehensive Experimental and Quantum-Chemical Study" Molecules 29, no. 21: 5066. https://doi.org/10.3390/molecules29215066
APA StyleSadowski, M., & Kula, K. (2024). Unexpected Course of Reaction Between (1E,3E)-1,4-Dinitro-1,3-butadiene and N-Methyl Azomethine Ylide—A Comprehensive Experimental and Quantum-Chemical Study. Molecules, 29(21), 5066. https://doi.org/10.3390/molecules29215066

