Palladium-Catalyzed Acetoxylation of γ-Dehydro-aryl-himachalene: The Synthesis of a Novel Allylic Acetoxylated Sesquiterpene and a π-Allyl Palladium(II) Complex
Abstract
1. Introduction
2. Results and Discussion
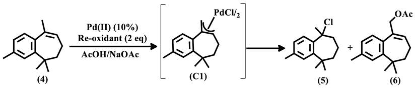
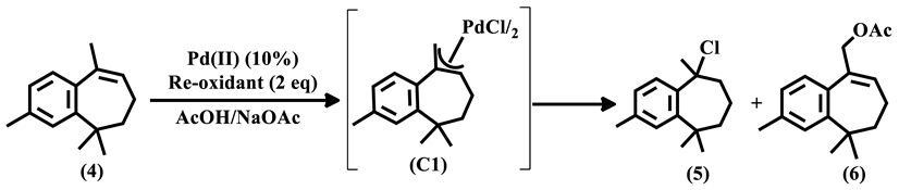
2.1. Acetoxylation of γ-Dehydro-aryl-himachalene
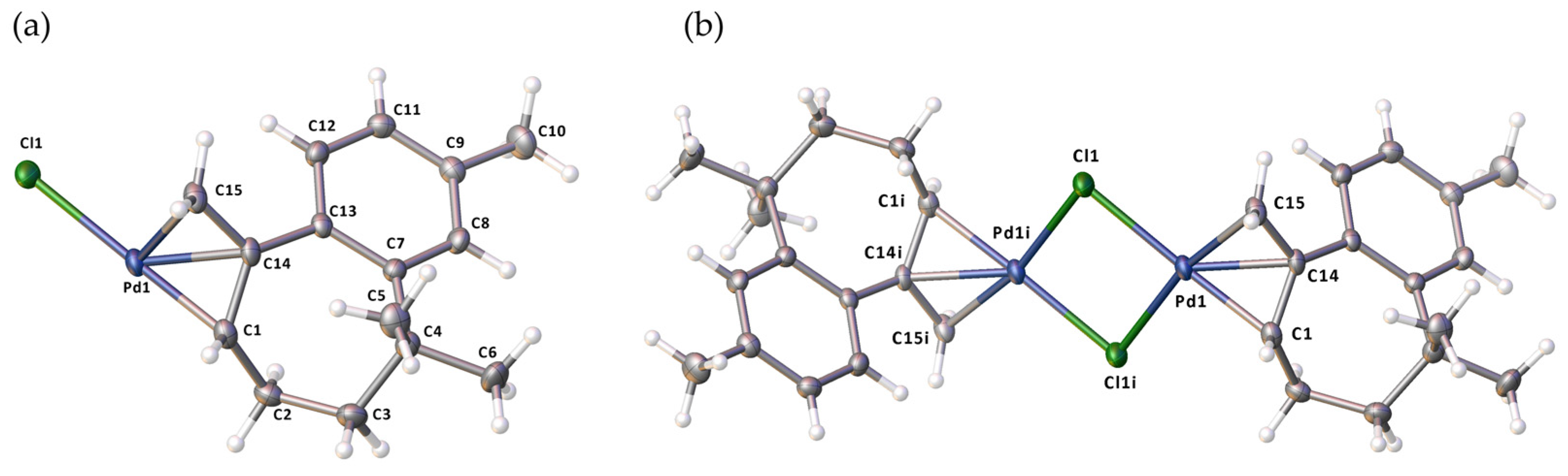
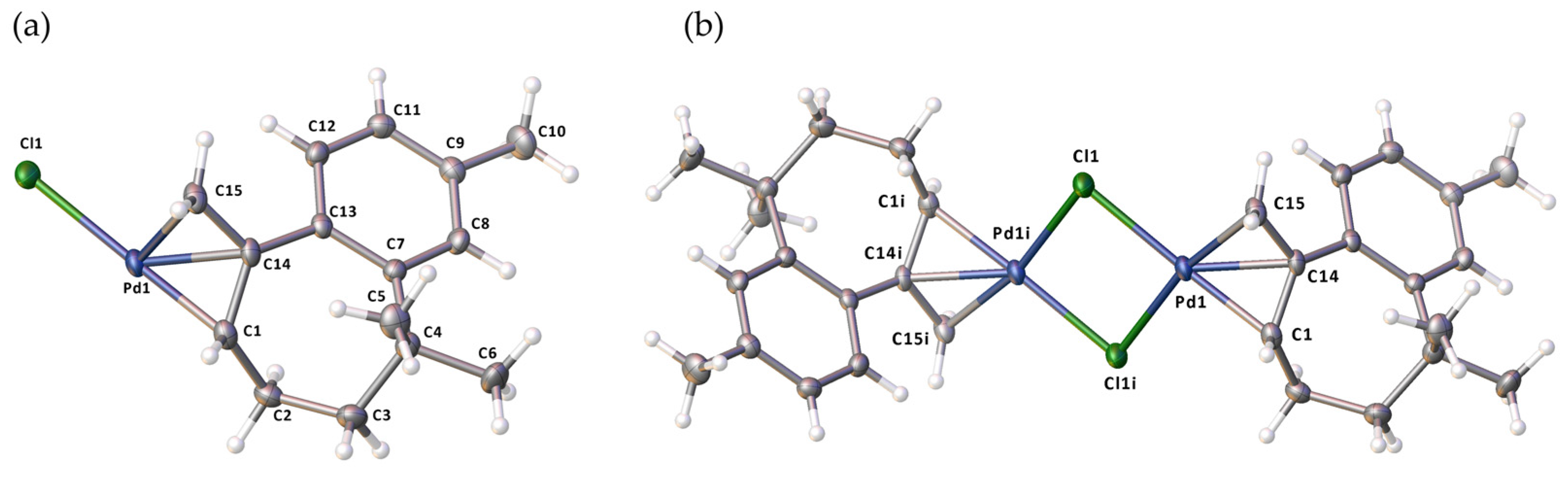
2.2. Crystal Structure Studies
2.3. Theoretical Results
3. Materials and Methods
3.1. Materials
3.2. X-Ray Crystallographic Studies of Bis(π-allyl-γ-dehydro-aryl-himachalene)-dichlorodipalladium (C1)
3.3. Theoretical Calculations
3.4. Acetoxylation Reaction of γ-Dehydro-aryl-himachalene
3.5. Synthesis of Bis(π-allyl-γ-dehydro-aryl-himachalene)-dichlorodipalladium (C1)
4. Conclusions
Supplementary Materials
Author Contributions
Funding
Institutional Review Board Statement
Informed Consent Statement
Data Availability Statement
Acknowledgments
Conflicts of Interest
References
- Silvestre, A.J.D.; Gandini, A. Terpenes: Major Sources, Properties and Applications. In Monomers, Polymers and Composites from Renewable Resources; Elsevier: Amsterdam, The Netherlands, 2008; pp. 17–38. [Google Scholar]
- Cox-Georgian, D.; Ramadoss, N.; Dona, C.; Basu, C. Therapeutic and Medicinal Uses of Terpenes. In Medicinal Plants; Springer International Publishing: Cham, Switzerland, 2019; pp. 333–359. [Google Scholar]
- Jiang, Z.; Kempinski, C.; Chappell, J. Extraction and Analysis of Terpenes/Terpenoids. Curr. Protoc. Plant Biol. 2016, 1, 345–358. [Google Scholar] [CrossRef] [PubMed]
- Andoğan, B.C.; Baydar, H.; Kaya, S.; Demirci, M.; Özbaşar, D.; Mumcu, E. Antimicrobial Activity and Chemical Composition of Some Essential Oils. Arch. Pharm. Res. 2002, 25, 860–864. [Google Scholar] [CrossRef] [PubMed]
- Eslahi, H.; Fahimi, N.; Sardarian, A.R. Chemical Composition of Essential Oils. In Essential Oils in Food Processing; Wiley: Hoboken, NJ, USA, 2017; pp. 119–171. [Google Scholar]
- Böttger, A.; Vothknecht, U.; Bolle, C.; Wolf, A. Terpenes and Terpenoids; Springer: Cham, Switzerland, 2018; pp. 153–170. [Google Scholar]
- Schwab, W.; Fuchs, C.; Huang, F. Transformation of Terpenes into Fine Chemicals. Eur. J. Lipid Sci. Technol. 2013, 115, 3–8. [Google Scholar] [CrossRef]
- Ravasio, N.; Zaccheria, F.; Guidotti, M.; Psaro, R. Mono- and Bifunctional Heterogeneous Catalytic Transformation of Terpenes and Terpenoids. Top. Catal. 2004, 27, 157–168. [Google Scholar] [CrossRef]
- Swift, K.A.D. Catalytic Transformations of the Major Terpene Feedstocks. Top. Catal. 2004, 27, 143–155. [Google Scholar] [CrossRef]
- Monteiro, J.L.F.; Veloso, C.O. Catalytic Conversion of Terpenes into Fine Chemicals. Top. Catal. 2004, 27, 169–180. [Google Scholar] [CrossRef]
- Michel, B.W.; Steffens, L.D.; Sigman, M.S. Wacker Oxidation, The. In Organic Reactions; Wiley: Hoboken, NJ, USA, 2014; pp. 75–414. [Google Scholar]
- Hosokawa, T.; Murahashi, S. New Aspects of Oxypalladation of Alkenes. Acc. Chem. Res. 1990, 23, 49–54. [Google Scholar] [CrossRef]
- Pilarski, L.T.; Selander, N.; Böse, D.; Szabó, K.J. Catalytic Allylic C−H Acetoxylation and Benzoyloxylation via Suggested (η3-Allyl)Palladium(IV) Intermediates. Org. Lett. 2009, 11, 5518–5521. [Google Scholar] [CrossRef]
- Popp, B.V.; Stahl, S.S. Palladium-Catalyzed Oxidation Reactions: Comparison of Benzoquinone and Molecular Oxygen as Stoichiometric Oxidants. In Organometallic Oxidation Catalysis; Springer: Berlin/Heidelberg, Germany, 2007; pp. 149–189. [Google Scholar]
- Campbell, A.N.; Stahl, S.S. Overcoming the “Oxidant Problem”: Strategies to Use O2 as the Oxidant in Organometallic C–H Oxidation Reactions Catalyzed by Pd (and Cu). Acc. Chem. Res. 2012, 45, 851–863. [Google Scholar] [CrossRef] [PubMed]
- Campbell, A.N.; White, P.B.; Guzei, I.A.; Stahl, S.S. Allylic C–H Acetoxylation with a 4,5-Diazafluorenone-Ligated Palladium Catalyst: A Ligand-Based Strategy To Achieve Aerobic Catalytic Turnover. J. Am. Chem. Soc. 2010, 132, 15116–15119. [Google Scholar] [CrossRef]
- Wang, D.; Weinstein, A.B.; White, P.B.; Stahl, S.S. Ligand-Promoted Palladium-Catalyzed Aerobic Oxidation Reactions. Chem. Rev. 2018, 118, 2636–2679. [Google Scholar] [CrossRef] [PubMed]
- Fernandes, R.A.; Nallasivam, J.L. Catalytic Allylic Functionalization via π-Allyl Palladium Chemistry. Org. Biomol. Chem. 2019, 17, 8647–8672. [Google Scholar] [CrossRef] [PubMed]
- Liron, F.; Oble, J.; Lorion, M.M.; Poli, G. Direct Allylic Functionalization Through Pd-Catalyzed C–H Activation. Eur. J. Org. Chem. 2014, 2014, 5863–5883. [Google Scholar] [CrossRef]
- Gonçalves, J.A.; Gusevskaya, E.V. Palladium Catalyzed Oxidation of Monoterpenes: Multistep Electron Transfer Catalytic Systems Pd(OAc)2/Benzoquinone/M(OAc)2 (M=Cu, Co or Mn) for the Allylic Oxidation of Limonene with Dioxygen. Appl. Catal. A Gen. 2004, 258, 93–98. [Google Scholar] [CrossRef]
- Gonçalves, J.A.; Howarth, O.W.; Gusevskaya, E.V. Palladium Catalyzed Oxidation of Monoterpenes: Novel Oxidation of Myrcene with Dioxygen. J. Mol. Catal. A Chem. 2002, 185, 97–104. [Google Scholar] [CrossRef]
- El Firdoussi, L.; Baqqa, A.; Allaoud, S.; Ait Allal, B.; Karim, A.; Castanet, Y.; Mortreux, A. Selective Palladium-Catalysed Functionalization of Limonene: Synthetic and Mechanistic Aspects. J. Mol. Catal. A Chem. 1998, 135, 11–22. [Google Scholar] [CrossRef]
- Speziali, M.G.; Costa, V.V.; Robles-Dutenhefner, P.A.; Gusevskaya, E.V. Aerobic Palladium(II)/Copper(II)-Catalyzed Oxidation of Olefins Under Chloride-Free Nonacidic Conditions. Organometallics 2009, 28, 3186–3192. [Google Scholar] [CrossRef]
- Speziali, M.G.; Robles-Dutenhefner, P.A.; Gusevskaya, E.V. Palladium-Catalyzed Oxidation of Monoterpenes: Novel Aerobic Pd(II)/Cu(II)-Catalyzed Oxidation of Linalool Under Chloride-Free Nonacidic Conditions. Organometallics 2007, 26, 4003–4009. [Google Scholar] [CrossRef]
- Venancio, A.N.; Menini, L.; Maronde, D.N.; Gusevskaya, E.V.; Parreira, L.A. Palladium Catalyzed Oxidation of Biorenewable β-Citronellol and Geraniol for the Synthesis of Polyfunctionalized Fragrances. Mol. Catal. 2021, 504, 111449. [Google Scholar] [CrossRef]
- Chalchat, J.C.; Garry, R.P.; Miehet, A.; Benjilali, B. Essential Oil Components in Sawdust of Cedrus atlantica from Morocco. J. Essent. Oil Res. 1994, 6, 323–325. [Google Scholar] [CrossRef]
- Aberchane, M.; Fechtal, M.; Chaouch, A. Analysis of Moroccan Atlas Cedarwood Oil (Cedrus atlantica Manetti). J. Essent. Oil Res. 2004, 16, 542–547. [Google Scholar] [CrossRef]
- Ait Lahcen, I.; Edder, Y.; Louchachha, I.; Faris, A.; Boualy, B.; Karim, A. Synthesis of Novel Amide Derivatives of the Sesquiterpene Aryl-Himachalene. Org. Prep. Proced. Int. 2024, 56, 503–509. [Google Scholar] [CrossRef]
- Faris, A.; Edder, Y.; Louchachha, I.; Lahcen, I.A.; Azzaoui, K.; Hammouti, B.; Merzouki, M.; Challioui, A.; Boualy, B.; Karim, A.; et al. From Himachalenes to Trans-Himachalol: Unveiling Bioactivity through Hemisynthesis and Molecular Docking Analysis. Sci. Rep. 2023, 13, 17653. [Google Scholar] [CrossRef]
- Yamini, Y.; Anand, P.; Bhardwaj, V.K.; Kumar, A.; Purohit, R.; Das, P.; Padwad, Y. Novel Pyrrolone-Fused Benzosuberene MK2 Inhibitors: Synthesis, Pharmacophore Modelling, Molecular Docking, and Anti-Cancer Efficacy Evaluation in HNSCC Cells. J. Biomol. Struct. Dyn. 2023, 1–22. [Google Scholar] [CrossRef]
- Chaudhary, A.; Das, P.; Mishra, A.; Kaur, P.; Singh, B.; Goel, R.K. Naturally Occurring Himachalenes to Benzocycloheptene Amino Vinyl Bromide Derivatives: As Antidepressant Molecules. Mol. Divers. 2012, 16, 357–366. [Google Scholar] [CrossRef]
- Gusevskaya, E.V.; Jiménez-Pinto, J.; Börner, A. Hydroformylation in the Realm of Scents. ChemCatChem 2014, 6, 382–411. [Google Scholar] [CrossRef]
- dos Santos Costa, M.; de Camargo Faria, A.; Gusevskaya, E.V. New Scents from Bio-Renewable Cis-Jasmone by Aerobic Palladium Catalyzed Oxidations. Appl. Catal. A Gen. 2019, 584, 117171. [Google Scholar] [CrossRef]
- Faris, A.; Edder, Y.; Hdoufane, I.; Ait Lahcen, I.; Saadi, M.; EL Ammari, L.; Berraho, M.; Cherqaoui, D.; Boualy, B.; Karim, A. Syntheses, Characterization and DFT Studies of Two New (π-Allyl) Palladium(II) Complexes of β-8,9-Dihydrohimachalene. J. Coord. Chem. 2023, 76, 434–448. [Google Scholar] [CrossRef]
- Isam, L.; Youssef, E.; Abdelmajid, F.; Boualy, B.; Ali, M.A.; Karim, A. Iodine-Mediated Aromatization of Himachalenes: Synthesis of Dehydro-7,8-Arylhimachalene. Lett. Org. Chem. 2024, 21, 1049–1054. [Google Scholar] [CrossRef]
- Gonçalves, J.A.; da Silva, M.J.; Piló-Veloso, D.; Howarth, O.W.; Gusevskaya, E.V. Palladium Catalyzed Oxidation of Monoterpenes: NMR Study of Palladium(II)–Monoterpene Interactions. J. Organomet. Chem. 2005, 690, 2996–3003. [Google Scholar] [CrossRef]
- Keith, J.A.; Nielsen, R.J.; Oxgaard, J.; Goddard, W.A. Unraveling the Wacker Oxidation Mechanisms. J. Am. Chem. Soc. 2007, 129, 12342–12343. [Google Scholar] [CrossRef]
- Chiaroni, A.; Riche, C.; El Firdoussi, L.; Benharref, A.; Karim, A. Structure Du Bis(π-Allylhimachalène)-α,α-Dichlorodipalladium. Acta Crystallogr. Sect. C 1993, 49, 365–368. [Google Scholar] [CrossRef]
- El Firdoussi, L.; Allaoud, S.; Karim, A.; Barrero, A.F.; Quirós, M.; Castanet, Y.; Mortreux, A. Bis(π-Allyl-6,7-Dihydrohimachalene)-α,α-Dichlorodipalladium. Acta Crystallogr. Sect. C 1997, 53, 710–712. [Google Scholar] [CrossRef]
- Sui-Seng, C.; Enright, G.D.; Zargarian, D. New Routes to η1-and (η3↔η5)-Indenylpalladium Complexes: Synthesis, Characterization, and Reactivities. Organometallics 2004, 23, 1236–1246. [Google Scholar] [CrossRef]
- Fernandes, R.A.; Nallasivam, J.L. Enantioselective Allylation of Imines Catalyzed by Newly Developed (−)-β-Pinene-Based π-Allylpalladium Catalyst: An Efficient Synthesis of (R)-α-Propylpiperonylamine and (R)-Pipecolic Acid. Org. Biomol. Chem. 2012, 10, 7789. [Google Scholar] [CrossRef]
- Ahmad, S.; Nadeem, S.; Anwar, A.; Hameed, A.; Tirmizi, S.A.; Zierkiewicz, W.; Abbas, A.; Isab, A.A.; Alotaibi, M.A. Synthesis, Characterization, DFT Calculations and Antibacterial Activity of Palladium(II) Cyanide Complexes with Thioamides. J. Mol. Struct. 2017, 1141, 204–212. [Google Scholar] [CrossRef]
- Fırıncı, R.; Günay, M.E.; Özdemir, N.; Dinçer, M. Synthesis, Structural, Spectroscopic and DFT Study on a Palladium(II)-N-Heterocyclic Carbene Complex. J. Mol. Struct. 2017, 1146, 267–272. [Google Scholar] [CrossRef]
- Chai, Y.-M.; Zhang, H.-B.; Zhang, X.-Y.; Chai, L.-Q. X-Ray Structures, Spectroscopic, Antimicrobial Activity, ESP/HSA and TD/DFT Calculations of Bi(III) Complex Containing Imidazole Ring. J. Mol. Struct. 2022, 1256, 132517. [Google Scholar] [CrossRef]
- Oxford Diffraction. CrysAlisPro, version 1.171.38.43; Agilent Technologies UK Ltd.: Yarnton, UK, 2015.
- Sheldrick, G.M. SHELXT—Integrated Space-Group and Crystal-Structure Determination. Acta Crystallogr. A Found. Adv. 2015, 71, 3–8. [Google Scholar] [CrossRef]
- Ait Mansour, A.; Lgaz, H.; Elmoutaouakil Ala Allah, A.; Ramli, Y.; Messali, M.; Lee, H.; Bazzi, L.; Salghi, R.; Hammouti, B. Comprehensive Analysis of a Thiazole-Substituted Corrosion Inhibitor’s Impact on N80 Carbon Steel in Acidic Conditions: Integrating Computational Predictions with Experimental Verifications. Mater. Chem. Phys. 2024, 320, 129405. [Google Scholar] [CrossRef]
- Ait Mansour, A.; Lgaz, H.; Elmoutaouakil Ala Allah, A.; Jang, J.; Messali, M.; Bazzi, L.; Lee, H.; Ramli, Y.; Salghi, R. Indolin-2-One Derivatives as Corrosion Inhibitors: Structural Insights and Evaluation through Experimental and Computational Techniques. J. Mol. Struct. 2024, 1303, 137592. [Google Scholar] [CrossRef]





![]() | ||||||||
|---|---|---|---|---|---|---|---|---|
| Entry | [Pd] | Re-Oxidant | Temperature (°C) | Time (h) | Conversion (%) 1 | Product (5) (%) 2 | Product (6) (%) 2 | Other 2 (%) |
| 1 | Pd(OAc)2 | BQ | 60 | 96 | 5 | - | tr 3 | Tr 3 |
| 2 | Pd(OAc)2 | Cu(OAc)2 | 60 | 96 | 11 | - | 14 | 86 |
| 3 | Pd(OAc)2 | CuCl2 | 60 | f48 | 100 | 46 | 37 | 17 |
| 4 | Pd(OAc)2 | Cu(OAc)2 | 80 | 96 | 24 | - | 12 | 88 |
| 5 | Pd(OAc)2 | BQ | 80 | 96 | 40 | - | 9 | 91 |
| 6 | Li2PdCl4 | CuCl2 | 60 | 72 | 100 | 45 | 35 | 20 |
| 7 | - | CuCl2 | 60 | 72 | 100 | 85 | - | 15 |
| Complex | EHOMO | ELUMO | IP | EA | ΔEgap | ᵡinh | Ƞinh | ΔNinh |
|---|---|---|---|---|---|---|---|---|
| C1 | −5.396 | −5.044 | 5.396 | 5.044 | 0.352 | 5.22 | 0.176 | 29.659 |
| C2 | −5.116 | −4.688 | 5.116 | 4.688 | 0.428 | 4.902 | 0.214 | 22.906 |
| C1 | |
|---|---|
| Empirical formula | C30H38Cl2Pd2 |
| Mr/g mol−1 | 682.30 |
| Crystal system | Monoclinic |
| Space group | P21/c |
| Crystal size (mm) | 0.17 × 0.03 × 0.03 |
| a (Å) | 16.6259(3) |
| b (Å) | 12.5859(2) |
| c (Å) | 6.63845(11) |
| α (°) | 90 |
| β (°) | 95.6534(16) |
| γ (°) | 90 |
| Z | 2 |
| Cell volume (Å3) | 1382.35(4) |
| Density (Mg m−3) | 1.639 |
| µ (mm−1) | 12.385 |
| F(000) | 688 |
| θ Range (°) | 2.7–79.4 |
| Tmin, Tmax | 0.552, 1.000 |
| Measured reflections | 4443 |
| Independent reflections | 4443 |
| Rint | 0.043 |
| h | −21→21 |
| k | −15→15 |
| l | −7→8 |
| S | 1.096 |
| Parameters, restraints | 158, 0 |
| R1[F2 > 2σ(F2)] | 0.025 |
| wR(F2) | 0.07 |
| Δρmin; Δρmax (e Å−3) | −0.54, 0.93 |
Disclaimer/Publisher’s Note: The statements, opinions and data contained in all publications are solely those of the individual author(s) and contributor(s) and not of MDPI and/or the editor(s). MDPI and/or the editor(s) disclaim responsibility for any injury to people or property resulting from any ideas, methods, instructions or products referred to in the content. |
© 2024 by the authors. Licensee MDPI, Basel, Switzerland. This article is an open access article distributed under the terms and conditions of the Creative Commons Attribution (CC BY) license (https://creativecommons.org/licenses/by/4.0/).
Share and Cite
Louchachha, I.; Faris, A.; Edder, Y.; Hasnaoui, A.; Kozakiewicz-Piekarz, A.; Ait Mansour, A.; Boualy, B.; Salghi, R.; Azzaoui, K.; Sabbahi, R.; et al. Palladium-Catalyzed Acetoxylation of γ-Dehydro-aryl-himachalene: The Synthesis of a Novel Allylic Acetoxylated Sesquiterpene and a π-Allyl Palladium(II) Complex. Molecules 2024, 29, 5040. https://doi.org/10.3390/molecules29215040
Louchachha I, Faris A, Edder Y, Hasnaoui A, Kozakiewicz-Piekarz A, Ait Mansour A, Boualy B, Salghi R, Azzaoui K, Sabbahi R, et al. Palladium-Catalyzed Acetoxylation of γ-Dehydro-aryl-himachalene: The Synthesis of a Novel Allylic Acetoxylated Sesquiterpene and a π-Allyl Palladium(II) Complex. Molecules. 2024; 29(21):5040. https://doi.org/10.3390/molecules29215040
Chicago/Turabian StyleLouchachha, Issam, Abdelmajid Faris, Youssef Edder, Ali Hasnaoui, Anna Kozakiewicz-Piekarz, Abdelkarim Ait Mansour, Brahim Boualy, Rachid Salghi, Khalil Azzaoui, Rachid Sabbahi, and et al. 2024. "Palladium-Catalyzed Acetoxylation of γ-Dehydro-aryl-himachalene: The Synthesis of a Novel Allylic Acetoxylated Sesquiterpene and a π-Allyl Palladium(II) Complex" Molecules 29, no. 21: 5040. https://doi.org/10.3390/molecules29215040
APA StyleLouchachha, I., Faris, A., Edder, Y., Hasnaoui, A., Kozakiewicz-Piekarz, A., Ait Mansour, A., Boualy, B., Salghi, R., Azzaoui, K., Sabbahi, R., Alanazi, A. S., Hefnawy, M., Hammouti, B., Karim, A., & Ait Ali, M. (2024). Palladium-Catalyzed Acetoxylation of γ-Dehydro-aryl-himachalene: The Synthesis of a Novel Allylic Acetoxylated Sesquiterpene and a π-Allyl Palladium(II) Complex. Molecules, 29(21), 5040. https://doi.org/10.3390/molecules29215040


