Development of Pleiotropic TrkB and 5-HT4 Receptor Ligands as Neuroprotective Agents
Abstract
1. Introduction
2. Results
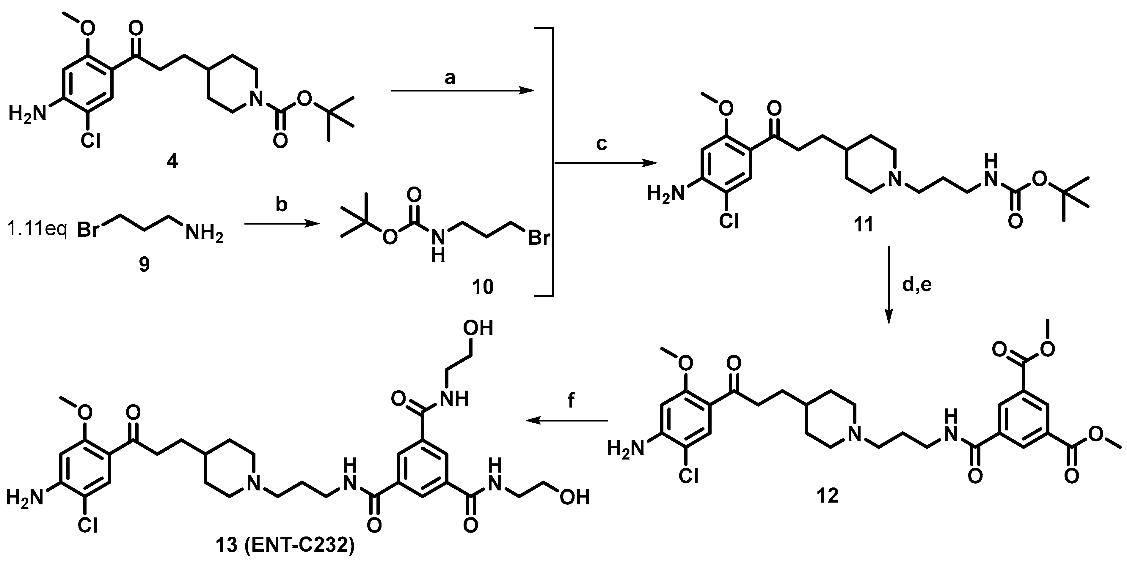
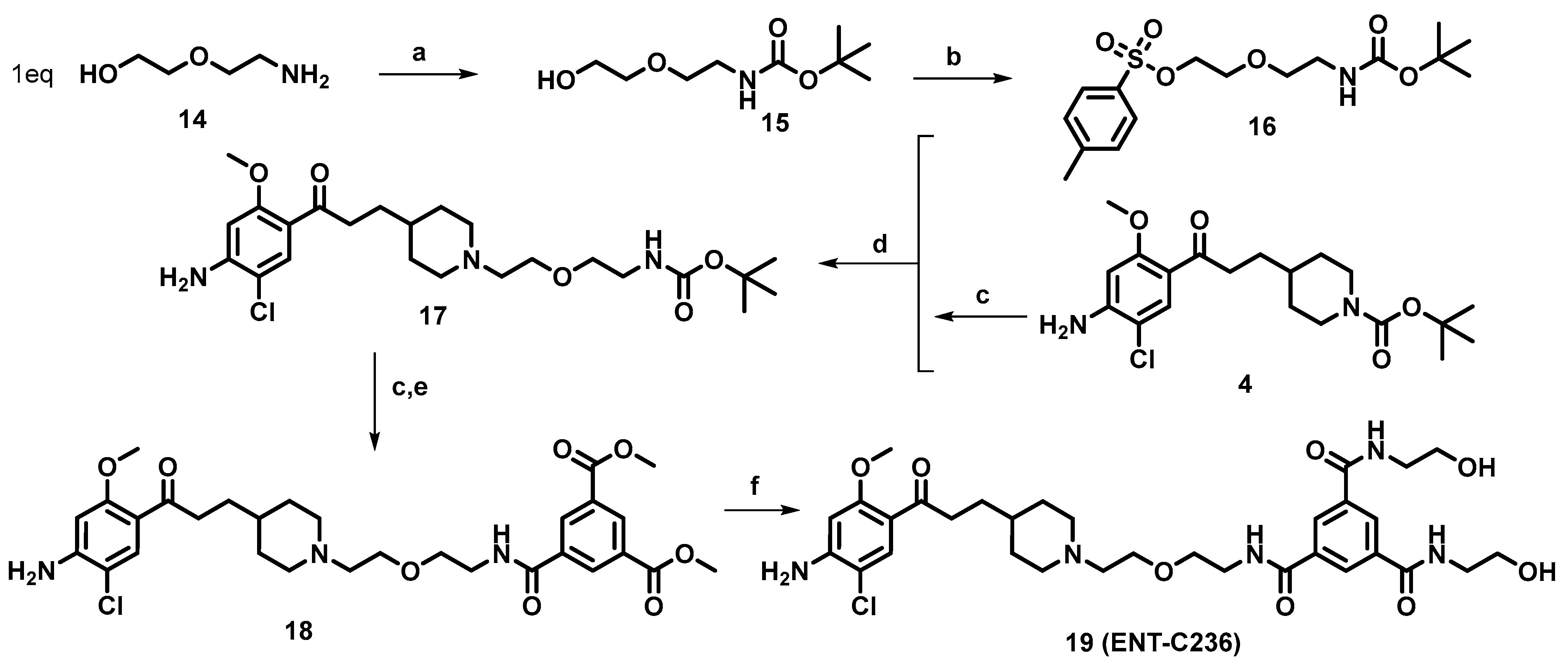
2.1. Chemistry
2.2. Biological Evaluation
2.2.1. Cell Toxicity Assays in the NIH-3T3 TrkB Stable Transfected Cell Line
2.2.2. TrkB Activation
2.2.3. Evaluation of the 5-HT4R Binding Affinity
2.2.4. Evaluation of the 5-HT4R Profile
2.2.5. Efficacy Assay—Differentiation (Neurite Outgrowth Assay)
2.3. In Silico Evaluation of the BBB Permeability
3. Discussion
4. Materials and Methods
4.1. Chemistry
4.1.1. General Procedure A for the Peptidic Coupling Reaction
4.1.2. General Procedure B for the Reaction of Amidation
4.1.3. General Procedure C for the Reaction of Alkylation
4.2. TrkB Phosphorylation and Cell Survival
4.2.1. Cell Culture
4.2.2. Western Blot
4.2.3. Celltox Green Cytotoxicity Assay
4.3. Binding Evaluation of Drugs on Human 5-HT4R
4.4. Determination of cAMP Production
4.5. Efficacy Assay—Differentiation (Neurite Outgrowth Assay)
Experimental Procedure
5. Conclusions
Supplementary Materials
Author Contributions
Funding
Institutional Review Board Statement
Informed Consent Statement
Data Availability Statement
Acknowledgments
Conflicts of Interest
References
- Meldolesi, J. Neurotrophin Receptors in the Pathogenesis, Diagnosis and Therapy of Neurodegenerative Diseases. Pharmacol. Res. 2017, 121, 129–137. [Google Scholar] [CrossRef] [PubMed]
- Henry, R.A.; Hughes, S.M.; Connor, B. AAV-Mediated Delivery of BDNF Augments Neurogenesis in the Normal and Quinolinic Acid-Lesioned Adult Rat Brain. Eur. J. Neurosci. 2007, 25, 3513–3525. [Google Scholar] [CrossRef] [PubMed]
- Chan, J.P.; Cordeira, J.; Calderon, G.A.; Iyer, L.K.; Rios, M. Depletion of Central BDNF in Mice Impedes Terminal Differentiation of New Granule Neurons in the Adult Hippocampus. Mol. Cell. Neurosci. 2009, 39, 372–383. [Google Scholar] [CrossRef] [PubMed]
- Vilar, M.; Mira, H. Regulation of Neurogenesis by Neurotrophins during Adulthood: Expected and Unexpected Roles. Front. Neurosci. 2016, 10, 26. [Google Scholar] [CrossRef]
- Ferreira, F.F.; Ribeiro, F.F.; Rodrigues, R.S.; Sebastião, A.M. Brain-Derived Neurotrophic Factor (BDNF) Role in Cannabinoid- Mediated Neurogenesis. Front. Cell. Neurosci. 2018, 12, 441. [Google Scholar] [CrossRef] [PubMed]
- Jerónimo-Santos, A.; Vaz, S.H.; Parreira, S.; Rapaz-Lérias, S.; Caetano, A.P.; Buée-Scherrer, V.; Castrén, E.; Valente, C.A.; Blum, D.; Sebastião, A.M.; et al. Dysregulation of TrkB Receptors and BDNF Function by Amyloid-β Peptide Is Mediated by Calpain. Cereb. Cortex 2015, 25, 3107–3121. [Google Scholar] [CrossRef] [PubMed]
- Gong, B.; Cao, Z.; Zheng, P.; Vitolo, O.V.; Liu, S.; Staniszewski, A.; Moolman, D.; Zhang, H.; Shelanski, M.; Arancio, O. Ubiquitin Hydrolase Uch-L1 Rescues β-Amyloid-Induced Decreases in Synaptic Function and Contextual Memory. Cell 2006, 126, 775–788. [Google Scholar] [CrossRef] [PubMed]
- Poon, W.W.; Blurton-jones, M.; Tu, C.H.; Feinberg, L.M.; Chabrier, M.A.; Harris, J.W.; Li, N.; Cotman, C.W. β-Amyloid Impairs Axonal BDNF Retrograde Trafficking. Neurobiol. Aging 2011, 32, 821–833. [Google Scholar] [CrossRef]
- Ye, X.; Tai, W.; Zhang, D. The Early Events of Alzheimer’s Disease Pathology: From Mitochondrial Dysfunction to BDNF Axonal Transport Deficits. Neurobiol. Aging 2012, 33, 1122.e1–1122.e10. [Google Scholar] [CrossRef]
- Fenner, M.E.; Achim, C.L.; Fenner, B.M. Expression of Full-Length and Truncated TrkB in Human Striatum and Substantia Nigra Neurons: Implications for Parkinson ’s Disease. J. Mol. Histol. 2014, 45, 349–361. [Google Scholar] [CrossRef]
- Fang, F.; Yang, W.; Florio, J.B.; Rockenstein, E.; Spencer, B.; Orain, X.M.; Dong, S.X.; Li, H.; Chen, X.; Sung, K.; et al. Synuclein Impairs Trafficking and Signaling of BDNF in a Mouse Model of Parkinson’s Disease. Sci. Rep. 2017, 7, 3868. [Google Scholar] [CrossRef] [PubMed]
- Bosch, M.; Marco, S.; Dı, M.; Lucas, J.; Josep, M.; Gine, S. Reduced Expression of the TrkB Receptor in Huntington ’s Disease Mouse Models and in Human Brain. Eur. J. Neurosci. 2006, 23, 649–658. [Google Scholar]
- Elliott, E.; Atlas, R.; Lange, A.; Ginzburg, I. Brain-Derived Neurotrophic Factor Induces a Rapid Dephosphorylation of Tau Protein through a PI-3Kinase Signalling Mechanism. Eur. J. Neurosci. 2005, 22, 1081–1089. [Google Scholar] [CrossRef] [PubMed]
- Palasz, E.; Wysocka, A.; Gasiorowska, A.; Chalimoniuk, M.; Niewiadomski, W.; Niewiadomska, G. BDNF as a Promising Therapeutic Agent in Parkinson ’s Disease. Int. J. Mol. Sci. 2020, 21, 1170. [Google Scholar] [CrossRef] [PubMed]
- Poduslo, J.F.; Curran, G.L. Permeability at the Blood-Brain and Blood-Nerve Barriers of the Neurotrophic Factors: NGF, CNTF, NT-3, BDNF. Mol. Brain Res. 1996, 36, 280–286. [Google Scholar] [CrossRef] [PubMed]
- Zhang, Y.H.; Chi, X.X.; Nicol, G.D. Brain-Derived Neurotrophic Factor Enhances the Excitability of Rat Sensory Neurons through Activation of the P75 Neurotrophin Receptor and the Sphingomyelin Pathway. J. Physiol. 2008, 586, 3113–3127. [Google Scholar] [CrossRef] [PubMed]
- Massa, S.M.; Yang, T.; Xie, Y.; Shi, J.; Bilgen, M.; Joyce, J.N.; Nehama, D.; Rajadas, J.; Longo, F.M. Small Molecule BDNF Mimetics Activate TrkB Signaling and Prevent Neuronal Degeneration in Rodents. J. Clin. Investig. 2010, 120, 1774–1785. [Google Scholar] [CrossRef]
- Antonijevic, M.; Charou, D.; Ramos, I.; Valcarcel, M.; Gravanis, A.; Villace, P.; Callizot, N.; Since, M.; Dallemagne, P.; Charalampopoulos, I.; et al. Design, Synthesis and Biological Characterization of Novel Activators of the TrkB Neurotrophin Receptor. Eur. J. Med. Chem. 2023, 248, 115111. [Google Scholar] [CrossRef]
- Palmer, M.; Sames, D.; Holson, E.; Boltaev, U.; Xu, Q.; Zhang, Y.-L.; Wagner, F.; Jacques, T.; Meyer, Y.; Gassaway, M.; et al. Multiplex Quantitative Assays Indicate a Need for Reevaluating Reported Small-Molecule TrkB Agonists. Sci. Signal. 2017, 10, eaal1670. [Google Scholar]
- Nguyen, H.T.H.; Wood, R.J.; Prawdiuk, A.R.; Furness, S.G.B.; Chen, A.I.; Murray, S.S. TrkB Agonist LM22A-4 Increases Oligodendroglial Populations During Myelin Repair in the Corpus Callosum. Front. Mol. Neurosci. 2019, 12, 205. [Google Scholar] [CrossRef]
- Simmons, D.A.; Belichenko, N.P.; Yang, T.; Condon, C.; Monbureau, M.; Shamloo, M.; Jing, D.; Massa, S.M.; Longo, F.M. A Small Molecule TrkB Ligand Reduces Motor Impairment and Neuropathology in R6/2 and BACHD Mouse Models of Huntington’s Disease. J. Neurosci. 2013, 33, 18712–18727. [Google Scholar] [CrossRef] [PubMed]
- Schmid, D.A.; Yang, T.; Ogier, M.; Adams, I.; Mirakhur, Y.; Wang, Q.; Massa, S.M.; Longo, F.M.; Katz, D.M. A TrkB Small Molecule Partial Agonist Rescues TrkB Phosphorylation Deficits and Improves Respiratory Function in a Mouse Model of Rett Syndrome. J. Neurosci. 2012, 32, 1803–1810. [Google Scholar] [CrossRef]
- Yu, G.; Wang, W. Protective Effects of LM22A-4 on Injured Spinal Cord Nerves. Int. J. Clin. Exp. Pathol. 2015, 8, 6526–6532. [Google Scholar] [PubMed]
- Di Liberto, V.; Mudò, G.; Belluardo, N. Crosstalk between Receptor Tyrosine Kinases (RTKs) and G Protein-Coupled Receptors (GPCR) in the Brain: Focus on Heteroreceptor Complexes and Related Functional Neurotrophic Effects. Neuropharmacology 2019, 152, 67–77. [Google Scholar] [CrossRef] [PubMed]
- Pascual-Brazo, J.; Castro, E.; Díaz, Á.; Valdizán, E.M.; Pilar-Cuéllar, F.; Vidal, R.; Treceño, B.; Pazos, Á. Modulation of Neuroplasticity Pathways and Antidepressant-like Behavioural Responses Following the Short-Term (3 and 7 Days) Administration of the 5-HT4 Receptor Agonist RS67333. Int. J. Neuropsychopharmacol. 2012, 15, 631–643. [Google Scholar] [CrossRef] [PubMed]
- Nguyen, T.L.X.; Kim, C.K.; Cho, J.H.; Lee, K.H.; Ahn, J.Y. Neuroprotection Signaling Pathway of Nerve Growth Factor and Brain-Derived Neurotrophic Factor against Staurosporine Induced Apoptosis in Hippocampal H19-7 Cells. Exp. Mol. Med. 2010, 42, 583–595. [Google Scholar] [CrossRef]
- Yahiaoui, S.; Hamidouche, K.; Ballandonne, C.; Davis, A.; De Oliveira Santos, J.S.; Freret, T.; Boulouard, M.; Rochais, C.; Dallemagne, P. Design, Synthesis, and Pharmacological Evaluation of Multitarget-Directed Ligands with Both Serotonergic Subtype 4 Receptor (5-HT4R) Partial Agonist and 5-HT6R Antagonist Activities, as Potential Treatment of Alzheimer’s Disease. Eur. J. Med. Chem. 2016, 121, 283–293. [Google Scholar] [CrossRef]
- Lanthier, C.; Payan, H.; Liparulo, I.; Hatat, B.; Lecoutey, C.; Since, M.; Davis, A.; Bergamini, C.; Claeysen, S.; Dallemagne, P.; et al. Novel Multi Target-Directed Ligands Targeting 5-HT4 Receptors with in Cellulo Antioxidant Properties as Promising Leads in Alzheimer’s Disease. Eur. J. Med. Chem. 2019, 182, 11596. [Google Scholar] [CrossRef]
- Toublet, F.X.; Lecoutey, C.; Lalut, J.; Hatat, B.; Davis, A.; Since, M.; Corvaisier, S.; Freret, T.; Sopkova de Oliveira Santos, J.; Claeysen, S.; et al. Inhibiting Acetylcholinesterase to Activate Pleiotropic Prodrugs with Therapeutic Interest in Alzheimer’s Disease. Molecules 2019, 24, 2786. [Google Scholar] [CrossRef]
- Rochais, C.; Gaven, F.; Giannoni, P.; Hamidouche, K.; Hedou, D.; Dubost, E.; Genest, D.; Yahiaoui, S.; Freret, T.; Bouet, V.; et al. Novel Multitarget-Directed Ligands (MTDLs) with Acetylcholinesterase (AChE) Inhibitory and Serotonergic Subtype 4 Receptor (5-HT 4 R) Agonist Activities as Potential Agents against Alzheimer’ s Disease: The Design of Donecopride. J. Med. Chem. 2015, 58, 3172–3187. [Google Scholar] [CrossRef]
- Lecoutey, C.; Hedou, D.; Freret, T.; Giannoni, P.; Gaven, F.; Since, M. Design of Donecopride, a Dual Serotonin Subtype 4 Receptor Agonist/Acetylcholinesterase Inhibitor with Potential Interest for Alzheimer ’ s Disease Treatment. Proc. Natl. Acad. Sci. USA 2014, 111, 3825–3830. [Google Scholar] [CrossRef] [PubMed]
- Grossman, C.J.; Kilpatrick, G.J.; Bunce, K.T. Development of a Radioligand Binding Assay for 5-HT4 Receptors in Guinea-Pig and Rat Brain. Br. J. Pharmacol. 1993, 109, 618–624. [Google Scholar] [CrossRef] [PubMed]
- Tejeda, G.S.; Díaz-Guerra, M. Integral Characterization of Defective BDNF/TrkB Signalling in Neurological and Psychiatric Disorders Leads the Way to New Therapies. Int. J. Mol. Sci. 2017, 18, 268. [Google Scholar] [CrossRef] [PubMed]
- Brunet, A.; Datta, S.R.; Greenberg, M.E. Transcription-Dependent and -Independent Control of Neuronal Survival by the PI3K—Akt Signaling Pathway. Curr. Opin. Neurobiol. 2001, 11, 297–305. [Google Scholar] [CrossRef] [PubMed]
- Minichiello, L.; Calella, A.M.; Medina, D.L.; Bonhoeffer, T.; Korte, M. Mechanism of TrkB-Mediated Hippocampal Long-Term Potentiation. Neuron 2002, 36, 121–137. [Google Scholar] [CrossRef] [PubMed]
- Daina, A.; Michielin, O.; Zoete, V. ILOGP: A Simple, Robust, and Efficient Description of N-Octanol/Water Partition Coefficient for Drug Design Using the GB/SA Approach. J. Chem. Inf. Model. 2014, 54, 3284–3301. [Google Scholar] [CrossRef] [PubMed]
- Daina, A.; Michielin, O.; Zoete, V. SwissADME: A Free Web Tool to Evaluate Pharmacokinetics, Drug-Likeness and Medicinal Chemistry Friendliness of Small Molecules. Sci. Rep. 2017, 7, 42717. [Google Scholar] [CrossRef]
- Cheng, T.; Zhao, Y.; Li, X.; Lin, F.; Xu, Y.; Zhang, X.; Li, Y.; Wang, R.; Lai, L. Computation of Octanol-Water Partition Coefficients by Guiding an Additive Model with Knowledge. J. Chem. Inf. Model. 2007, 47, 2140–2148. [Google Scholar] [CrossRef]
- Wildman, S.A.; Crippen, G.M. Prediction of Physicochemical Parameters by Atomic Contributions. J. Chem. Inf. Comput. Sci. 1999, 39, 868–873. [Google Scholar] [CrossRef]
- Riegerová, P.; Brejcha, J.; Bezděková, D.; Chum, T.; Mašínová, E.; Čermáková, N.; Ovsepian, S.V.; Cebecauer, M.; Štefl, M. Expression and Localization of AβPP in SH-SY5Y Cells Depends on Differentiation State. J. Alzheimer’s Dis. 2021, 82, 485–491. [Google Scholar] [CrossRef]
- Hughes, T.; Simon, G.P.; Saito, K. Improvement and Tuning of the Performance of Light-Healable Polymers by Variation of the Monomer Content. Polym. Chem. 2018, 9, 5585–5593. [Google Scholar] [CrossRef]
- Hou, Z.; Nau, W.M.; Hoogenboom, R. Reversible Covalent Locking of a Supramolecular Hydrogel: Via UV-Controlled Anthracene Dimerization. Polym. Chem. 2021, 12, 307–315. [Google Scholar] [CrossRef]
- Imoto, Y.; Kira, T.; Sukeno, M.; Nishitani, N.; Nagayasu, K.; Nakagawa, T.; Kaneko, S.; Kobayashi, K.; Segi-Nishida, E. Role of the 5-HT4 Receptor in Chronic Fluoxetine Treatment-Induced Neurogenic Activity and Granule Cell Dematuration in the Dentate Gyrus. Mol. Brain 2015, 8, 29. [Google Scholar] [CrossRef] [PubMed]










| Tested Molecule | 5-HT4R (1 × 10−8 M) | 5-HT4R (1 × 10−6 M) |
|---|---|---|
| LM22A-4 | 2% | 4% |
| RS67333 | 30% | 100% |
| ENT-C199 | 24% | 91% |
| ENT-C232 | 5% | 82% |
| ENT-C236 | 5% | 55% |
| Serotonin | 9% | 69% |
| Tested Molecule | Ki (nM) | IC50 (nM) | R2 |
|---|---|---|---|
| ENT-C199 | 42.6 ± 4.1 | 44.6 ± 7.5 | 0.999 ± 0.001 |
| Serotonin | 180 ± 14 | 244 ± 13 | 0.998 ± 0.000 |
| Tested Molecule | Consensus LogP | P-gP Substrate | BBB Permeant |
|---|---|---|---|
| LM22A-4 | −0.83 | No | No |
| RS67333 | 3.71 | No | Yes |
| ENT-C199 | 1.69 | Yes | No |
| ENT-C232 | 2.01 | Yes | No |
| ENT-C236 | 1.76 | Yes | No |
Disclaimer/Publisher’s Note: The statements, opinions and data contained in all publications are solely those of the individual author(s) and contributor(s) and not of MDPI and/or the editor(s). MDPI and/or the editor(s) disclaim responsibility for any injury to people or property resulting from any ideas, methods, instructions or products referred to in the content. |
© 2024 by the authors. Licensee MDPI, Basel, Switzerland. This article is an open access article distributed under the terms and conditions of the Creative Commons Attribution (CC BY) license (https://creativecommons.org/licenses/by/4.0/).
Share and Cite
Antonijevic, M.; Charou, D.; Davis, A.; Curel, T.; Valcarcel, M.; Ramos, I.; Villacé, P.; Claeysen, S.; Dallemagne, P.; Gravanis, A.; et al. Development of Pleiotropic TrkB and 5-HT4 Receptor Ligands as Neuroprotective Agents. Molecules 2024, 29, 515. https://doi.org/10.3390/molecules29020515
Antonijevic M, Charou D, Davis A, Curel T, Valcarcel M, Ramos I, Villacé P, Claeysen S, Dallemagne P, Gravanis A, et al. Development of Pleiotropic TrkB and 5-HT4 Receptor Ligands as Neuroprotective Agents. Molecules. 2024; 29(2):515. https://doi.org/10.3390/molecules29020515
Chicago/Turabian StyleAntonijevic, Mirjana, Despoina Charou, Audrey Davis, Thomas Curel, Maria Valcarcel, Isbaal Ramos, Patricia Villacé, Sylvie Claeysen, Patrick Dallemagne, Achille Gravanis, and et al. 2024. "Development of Pleiotropic TrkB and 5-HT4 Receptor Ligands as Neuroprotective Agents" Molecules 29, no. 2: 515. https://doi.org/10.3390/molecules29020515
APA StyleAntonijevic, M., Charou, D., Davis, A., Curel, T., Valcarcel, M., Ramos, I., Villacé, P., Claeysen, S., Dallemagne, P., Gravanis, A., Charalampopoulos, I., & Rochais, C. (2024). Development of Pleiotropic TrkB and 5-HT4 Receptor Ligands as Neuroprotective Agents. Molecules, 29(2), 515. https://doi.org/10.3390/molecules29020515

