Chloramine Disinfection of Levofloxacin and Sulfaphenazole: Unraveling Novel Disinfection Byproducts and Elucidating Formation Mechanisms for an Enhanced Understanding of Water Treatment
Abstract
1. Introduction
2. Results and Discussion
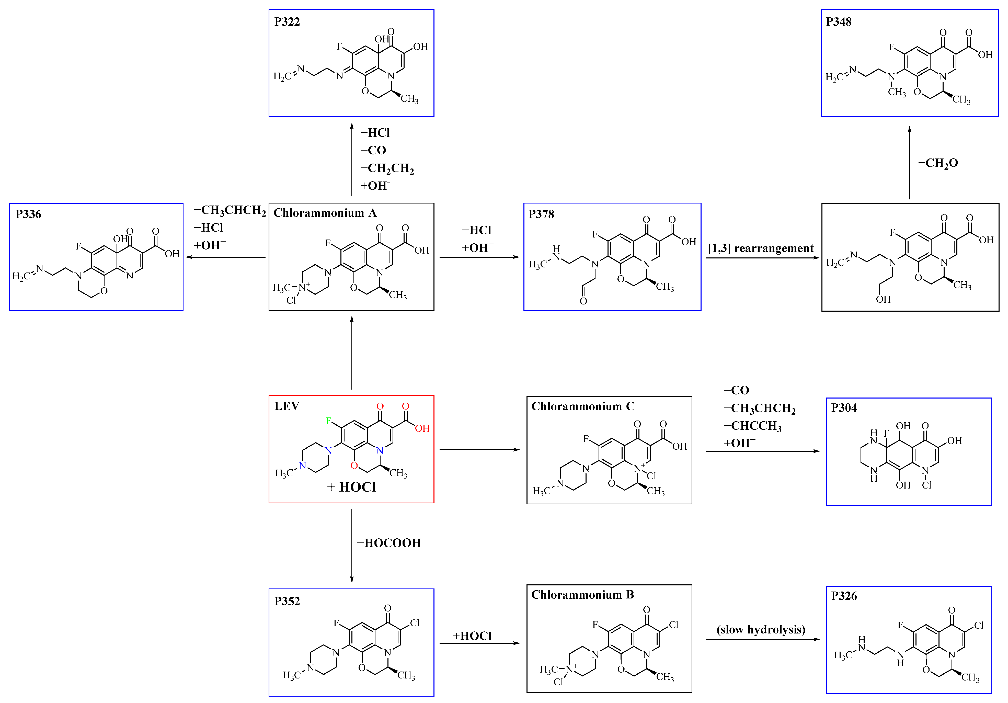
2.1. Identification of the Chlorination Products of LEV
2.2. Identification of the Chlorination Products of SPN
2.3. Factors Influencing DBPs Formation
2.3.1. Effect of Chloramine Dosage
2.3.2. Effect of pH Values
3. Materials and Methods
3.1. Chemical Reagents and Materials
3.2. Chloramine Disinfection
3.3. Molecular Characterization of DBPs
4. Conclusions
Supplementary Materials
Author Contributions
Funding
Institutional Review Board Statement
Informed Consent Statement
Data Availability Statement
Conflicts of Interest
References
- Kirchhelle, C. Pharming animals: A global history of antibiotics in food production (1935–2017). Palgrave Commun. 2018, 4, 96. [Google Scholar] [CrossRef]
 - Minton, K. Antibiotic-induced disease tolerance. Nat. Rev. Immunol. 2020, 20, 717. [Google Scholar] [CrossRef] [PubMed]
 - Perez, H.A.; Bustos, A.Y.; Taranto, M.P.; Frías, M.D.; Ledesma, A.E. Effects of lysozyme on the activity of ionic of fluoroquinolone species. Molecules 2018, 23, 741. [Google Scholar] [CrossRef]
 - Duffy, L.B.; Crabb, D.M.; Bing, X.; Waites, K.B. Bactericidal activity of levofloxacin against Mycoplasma pneumoniae. J. Antimicrob. Chemother. 2003, 52, 527–528. [Google Scholar] [CrossRef] [PubMed]
 - Reyes, M.; Benet, L.Z. Effects of uremic toxins on transport and metabolism of different biopharmaceutics drug disposition classification system xenobiotics. J. Pharm. Sci. 2011, 100, 3831–3842. [Google Scholar] [CrossRef]
 - Wagenlehner, F.M.; Umeh, O.; Darouiche, R.O. Ceftolozane-tazobactam versus levofloxacin in urinary tract infection—Authors’ reply. Lancet 2015, 386, 1242. [Google Scholar] [CrossRef]
 - Gisbert, J.P. Optimization strategies aimed to increase the efficacy of Helicobacter pylori eradication therapies with quinolones. Molecules 2020, 25, 5084. [Google Scholar] [CrossRef]
 - Zhang, D.; Lin, L.; Luo, Z.; Yan, C.; Zhang, X. Occurrence of selected antibiotics in Jiulongjiang River in various seasons, South China. J. Environ. Manag. 2011, 13, 1953–1960. [Google Scholar] [CrossRef]
 - He, S.; Dong, D.; Zhang, X.; Sun, C.; Wang, C.; Hua, X.; Zhang, L.; Guo, Z. Occurrence and ecological risk assessment of 22 emerging contaminants in the Jilin Songhua River (Northeast China). Environ. Sci. Pollut. Res. 2018, 25, 24003–24012. [Google Scholar] [CrossRef]
 - Xu, J.; Xu, Y.; Wang, H.; Guo, C.; Qiu, H.; He, Y.; Zhang, Y.; Li, X.; Meng, W. Occurrence of antibiotics and antibiotic resistance genes in a sewage treatment plant and its effluent-receiving river. Chemosphere 2015, 119, 1379–1385. [Google Scholar] [CrossRef]
 - Wu, M.-H.; Que, C.-J.; Xu, G.; Sun, Y.-F.; Ma, J.; Xu, H.; Sun, R.; Tang, L. Occurrence, fate and interrelation of selected antibiotics in sewage treatment plants and their receiving surface water. Ecotoxicol. Environ. Saf. 2016, 132, 132–139. [Google Scholar] [CrossRef]
 - Hanna, N.; Sun, P.; Sun, Q.; Li, X.; Yang, X.; Ji, X.; Zou, H.; Ottoson, J.; Nilsson, L.E.; Berglund, B.; et al. Presence of antibiotic residues in various environmental compartments of Shandong province in eastern China: Its potential for resistance development and ecological and human risk. Environ. Int. 2018, 114, 131–142. [Google Scholar] [CrossRef]
 - Zhang, G.; Lu, S.; Wang, Y.; Liu, X.; Liu, Y.; Xu, J.; Zhang, T.; Wang, Z.; Yang, Y. Occurrence of antibiotics and antibiotic resistance genes and their correlations in lower Yangtze River, China. Environ. Pollut. 2020, 257, 113365. [Google Scholar] [CrossRef]
 - Xiao, S.; Wan, J.; Wang, Y.; Yan, Z.; Ma, Y.; Sun, J.; Tang, M.; Cao, J.; Chen, J. Distribution, sources, and risk assessment of emerging contaminants in the effluents from large-scale wastewater treatment plants in Guangzhou central districts, South China. Water Air Soil Pollut. 2023, 234, 455. [Google Scholar] [CrossRef]
 - Li, G.Y.; Yang, H.; An, T.C.; Lu, Y.J. Antibiotics elimination and risk reduction at two drinking water treatment plants by using different conventional treatment techniques. Ecotoxicol. Environ. Saf. 2018, 158, 154–161. [Google Scholar] [CrossRef] [PubMed]
 - Michael, I.; Rizzo, L.; McArdell, C.S.; Manaia, C.M.; Merlin, C.; Schwartz, T.; Dagot, C.; Fatta-Kassinos, D. Urban wastewater treatment plants as hotspots for the release of antibiotics in the environment: A review. Water Res. 2013, 47, 957–995. [Google Scholar] [CrossRef]
 - Chen, M.; Wei, D.B.; Wang, F.P.; Yin, J.X.; Li, M.; Du, Y.G. Bioassay- and QSAR-based screening of toxic transformation products and their formation under chlorination treatment on levofloxacin. J. Hazard. Mater. 2021, 414, 125495. [Google Scholar] [CrossRef]
 - Ji, J.; Shi, C.; Xu, L.; Zhang, K.; Zhang, Y.; Li, C.; Lichtfouse, E. Degradation of sulfapyridine antibiotics by chlorination in a pilot-scale water distribution system: Kinetics, THMs, and DFT studies. Environ. Sci. Water Res. Technol. 2022, 8, 2207–2215. [Google Scholar] [CrossRef]
 - Mitch, W.A.; Richardson, S.D.; Zhang, X.; Gonsior, M. High-molecular-weight by-products of chlorine disinfection. Nat. Water. 2023, 1, 336–347. [Google Scholar] [CrossRef]
 - Nielsen, A.M.; Garcia, L.A.T.; Silva, K.J.S.; Sabogal-Paz, L.P.; Hincapié, M.M.; Montoya, L.J.; Galeano, L.; Galdos-Balzategui, A.; Reygadas, F.; Herrera, C.; et al. Chlorination for low-cost household water disinfection—A critical review and status in three Latin American countries. Int. J. Hyg. Environ. Health 2022, 244, 114004. [Google Scholar] [CrossRef] [PubMed]
 - Romanucci, V.; Siciliano, A.; Galdiero, E.; Guida, M.; Luongo, G.; Liguori, R.; Di Fabio, G.; Previtera, L.; Zarrelli, A. Disinfection by-products and ecotoxic risk associated with hypochlorite treatment of tramadol. Molecules 2019, 24, 693. [Google Scholar] [CrossRef]
 - Sdougkou, A.; Kapsalaki, K.; Kozari, A.; Pantelaki, I.; Voutsa, D. Occurrence of disinfection by-products in swimming pools in the area of thessaloniki, northern greece. Assessment of multi-pathway exposure and risk. Molecules 2021, 26, 7639. [Google Scholar] [CrossRef] [PubMed]
 - Xu, Y.-Q.; Wu, Y.-H.; Luo, L.-W.; Huang, B.-H.; Chen, Z.; Wang, H.-B.; Liu, H.; Ikuno, N.; Koji, N.; Hu, H.-Y. Inactivation of chlorine-resistant bacteria (CRB) via various disinfection methods: Resistance mechanism and relation with carbon source metabolism. Water Res. 2023, 244, 120531. [Google Scholar] [CrossRef]
 - Dodd, M.C.; Huang, C.H. Transformation of the antibacterial agent sulfamethoxazole in reactions with chlorine: Kinetics, mechanisms, and pathways. Environ. Sci. Technol. 2004, 38, 5607–5615. [Google Scholar] [CrossRef] [PubMed]
 - Yang, Y.; Shi, J.; Yang, Y.; Yin, J.; Zhang, J.; Shao, B. Transformation of sulfamethazine during the chlorination disinfection process: Transformation, kinetics, and toxicology assessment. J. Environ. Sci. 2019, 76, 48–56. [Google Scholar] [CrossRef]
 - Zhang, H.; Gao, P.; Liu, Y.; Du, Z.; Feng, L.; Zhang, L. Effects of different types of nitrogen sources in water on the formation potentials of nitrogenous disinfection by-products in chloramine disinfection process based on isotope labeling. Sci. Total Environ. 2022, 842, 156692. [Google Scholar] [CrossRef]
 - Fujioka, T.; Yoshikawa, H.; Eguchi, M.; Boivin, S.; Kodamatani, H. Application of stabilized hypobromite for controlling membrane fouling and N-nitrosodimethylamine formation. Chemosphere 2020, 240, 124939. [Google Scholar] [CrossRef]
 - Muellner, M.G.; Wagner, E.D.; McCalla, K.; Richardson, S.D.; Woo, Y.-T.; Plewa, M.J. Haloacetonitriles vs. Regulated haloacetic acids: Are Nitrogen-containing DBPs more toxic? Environ. Sci. Technol. 2007, 41, 645–651. [Google Scholar] [CrossRef]
 - Ewaid, S.H.; Rabee, A.M.; Al-Naseri, S.K. Carcinogenic risk assessment of trihalomethanes in major drinking water sources of baghdad city. Water Resour. 2018, 45, 803–812. [Google Scholar] [CrossRef]
 - Stalter, D.; O’Malley, E.; von Gunten, U.; Escher, B.I. Mixture effects of drinking water disinfection by-products: Implications for risk assessment. Environ. Sci. Water Res. Technol. 2020, 6, 2341–2351. [Google Scholar] [CrossRef]
 - Mompremier, R.; Fuentes Mariles, Ó.A.; Becerril Bravo, J.E.; Ghebremichael, K. Study of the variation of haloacetic acids in a simulated water distribution network. Water Sci. Technol. Water Supply 2018, 19, 88–96. [Google Scholar] [CrossRef]
 - Zhang, S.S.; Lin, T.; Chen, W.; Xu, H.; Tao, H. Degradation kinetics, byproducts formation and estimated toxicity of metronidazole (MNZ) during chlor(am)ination. Chemosphere 2019, 235, 21–31. [Google Scholar] [CrossRef]
 - Tian, F.X.; Xu, B.; Tian, K.N.; Hu, C.Y.; Xia, S.J.; Gao, N.Y.; Ye, T. Formation of carbonaceous and nitrogenous disinfection by-products during monochloramination of oxytetracycline including N-Nitrosodimethylamine. Desalination Water Treat. 2015, 54, 2299–2306. [Google Scholar] [CrossRef]
 - Plewa, M.J.; Muellner, M.G.; Richardson, S.D.; Fasano, F.; Buettner, K.M.; Woo, Y.-T.; McKague, A.B.; Wagner, E.D. Occurrence, synthesis, and mammalian cell cytotoxicity and genotoxicity of haloacetamides: An emerging class of nitrogenous drinking water disinfection byproducts. Environ. Sci. Technol. 2008, 42, 955–961. [Google Scholar] [CrossRef]
 - Li, S.; Lin, Y.; Wang, G.; Zhu, S.; Liu, G.; Shi, C.; Chen, L. Comparison of disinfection by-products formed by preoxidation of sulfamethazine by K2FeO4 and O3 and the influence on cytotoxicity and biological toxicity. Front. Chem. 2022, 10, 904867. [Google Scholar] [CrossRef] [PubMed]
 - Ye, Z.X.; Shao, K.L.; Huang, H.; Yang, X. Tetracycline antibiotics as precursors of dichloroacetamide and other disinfection byproducts during chlorination and chloramination. Chemosphere 2021, 270, 128628. [Google Scholar] [CrossRef] [PubMed]
 - Pak, G.; Salcedo, D.E.; Lee, H.; Oh, J.; Maeng, S.K.; Song, K.G.; Hong, S.W.; Kim, H.-C.; Chandran, K.; Kim, S. Comparison of antibiotic resistance removal efficiencies using ozone disinfection under different ph and suspended solids and humic substance concentrations. Environ. Sci. Technol. 2016, 50, 7590–7600. [Google Scholar] [CrossRef]
 - Guo, Y.G.; Liu, Z.Y.; Lou, X.Y.; Fang, C.L.; Wang, P.; Wu, G.Y.; Guan, J. Insights into antimicrobial agent sulfacetamide transformation during chlorination disinfection process in aquaculture water. RSC Adv. 2021, 11, 14746–14754. [Google Scholar] [CrossRef]
 - Zhou, S.Q.; Shao, Y.S.; Gao, N.Y.; Zhu, S.M.; Ma, Y.; Deng, J. Chlorination and chloramination of tetracycline antibiotics: Disinfection by-products formation and influential factors. Ecotoxicol. Environ. Saf. 2014, 107, 30–35. [Google Scholar] [CrossRef]
 - Yang, X.; Shang, C.; Westerhoff, P. Factors affecting formation of haloacetonitriles, haloketones, chloropicrin and cyanogen halides during chloramination. Water Res. 2007, 41, 1193–1200. [Google Scholar] [CrossRef]
 - Hu, C.-Y.; Hua, S.-J.; Lin, Y.-L.; Deng, Y.-G.; Hou, Y.-Z.; Du, Y.-F.; Dong, C.-D.; Chen, C.-W.; Wu, C.-H. Kinetics and formation of disinfection byproducts during iohexol chlor(am)ination. Sep. Purif. Technol. 2020, 243, 116797. [Google Scholar] [CrossRef]
 - Deborde, M.; von Gunten, U. Reactions of chlorine with inorganic and organic compounds during water treatment—Kinetics and mechanisms: A critical review. Water Res. 2008, 42, 13–51. [Google Scholar] [CrossRef]
 - Pan, Z.H.; Zhu, Y.J.; Wei, M.; Zhang, Y.Y.; Yu, K.F. Interactions of fluoroquinolone antibiotics with sodium hypochlorite in bromide-containing synthetic water: Reaction kinetics and transformation pathways. J. Environ. Sci. 2021, 102, 170–184. [Google Scholar] [CrossRef]
 - Serna-Galvis, E.A.; Jojoa-Sierra, S.D.; Berrio-Perlaza, K.E.; Ferraro, F.; Torres-Palma, R.A. Structure-reactivity relationship in the degradation of three representative fluoroquinolone antibiotics in water by electrogenerated active chlorine. Chem. Eng. J. 2017, 315, 552–561. [Google Scholar] [CrossRef]
 - El Najjar, N.H.; Deborde, M.; Journel, R.; Leitner, N.K.V. Aqueous chlorination of levofloxacin: Kinetic and mechanistic study, transformation product identification and toxicity. Water Res. 2013, 47, 121–129. [Google Scholar] [CrossRef]
 - Prutz, W.A. Reactions of hypochlorous acid with biological substrates are activated catalytically by tertiary amines. Arch. Biochem. Biophys. 1998, 357, 265–273. [Google Scholar] [CrossRef]
 - Shah, A.D.; Kim, J.H.; Huang, C.H. Tertiary amines enhance reactions of organic contaminants with aqueous chlorine. Water Res. 2011, 45, 6087–6096. [Google Scholar] [CrossRef]
 - Masuda, M.; Suzuki, T.; Friesen, M.D.; Ravanat, J.L.; Cadet, J.; Pignatelli, B.; Nishino, H.; Ohshima, H. Chlorination of guanosine and other nucleosides by hypochlorous acid and myeloperoxidase of activated human neutrophils. Catalysis by nicotine and trimethylamine. J. Biol. Chem. 2001, 276, 40486–40496. [Google Scholar] [CrossRef]
 - Fu, W.J.; Xia, G.J.; Zhang, Y.X.; Hu, J.H.; Wang, Y.G.; Li, J.; Li, X.Y.; Li, B. Using general computational chemistry strategy to unravel the reactivity of emerging pollutants: An example of sulfonamide chlorination. Water Res. 2021, 202, 117391. [Google Scholar] [CrossRef] [PubMed]
 - Rong, C.; Shao, Y.; Wang, Y.; Zhang, Y.; Yu, K. Formation of disinfection byproducts from sulfamethoxazole during sodium hypochlorite disinfection of marine culture water. Environ. Sci. Pollut. Res. 2018, 25, 33196–33206. [Google Scholar] [CrossRef]
 - Baribeau, H.; Prévost, M.; Desjardins, R.; Lafrance, P.; Gates, D.J. Chlorite and Chlorate ion variability in distribution systems. J. Am. Water Works Assoc. 2002, 94, 96–105. [Google Scholar] [CrossRef]
 - Pang, R.; Li, N.; Hou, Z.H.; Huang, J.J.; Yue, C.X.; Cai, Y.X.; Song, J.X. Degradation of sulfonamide antibiotics and a structurally related compound by chlorine dioxide: Efficiency, kinetics, potential products and pathways. Chem. Eng. J. 2023, 451, 138502. [Google Scholar] [CrossRef]
 - Gao, S.; Zhao, Z.; Xu, Y.; Tian, J.; Qi, H.; Lin, W.; Cui, F. Oxidation of sulfamethoxazole (SMX) by chlorine, ozone and permanganate—A comparative study. J. Hazard. Mater. 2014, 274, 258–269. [Google Scholar] [CrossRef]
 - Zhuang, J.; Wang, S.; Tan, Y.; Xiao, R.; Chen, J.; Wang, X.; Jiang, L.; Wang, Z. Degradation of sulfadimethoxine by permanganate in aquatic environment: Influence factors, intermediate products and theoretical study. Sci. Total Environ. 2019, 671, 705–713. [Google Scholar] [CrossRef]
 - Uetrecht, J.P.; Shear, N.H.; Zahid, N. N-chlorination of sulfamethoxazole and dapsone by the myeloperoxidase system. Drug Metab. Dispos. 1993, 21, 830–834. [Google Scholar]
 - Willach, S.; Lutze, H.V.; Eckey, K.; Löppenberg, K.; Liiling, M.; Terhalle, J.; Wolbert, J.B.; Jochmann, M.A.; Karst, U.; Schmidt, T.C. Degradation of sulfamethoxazole using ozone and chlorine dioxide compound-specific stable isotope analysis, transformation product analysis and mechanistic aspects. Water Res. 2017, 122, 280–289. [Google Scholar] [CrossRef]
 - Fu, W.J.; Li, B.; Yang, J.Q.; Yi, H.B.; Chai, L.Y.; Li, X.Y. New insights into the chlorination of sulfonamide: Smiles-type rearrangement, desulfation, and product toxicity. Chem. Eng. J. 2018, 331, 785–793. [Google Scholar] [CrossRef]
 - Evans, W.J.; Smiles, S. A rearrangement of o-acetamido-sulphones and -sulphides. J. Chem. Soc. 1935, 181–188. [Google Scholar] [CrossRef]
 - Warren, L.A.; Smiles, S. A rearrangement of ortho-amino-sulphones. J. Chem. Soc. 1932, 2774–2778. [Google Scholar] [CrossRef]
 - Wallace, T.J.; Hofmann, J.E.; Schriesheim, A. Base-catalyzed elimination studies on sulfones, sulfoxides, sulfides, disulfides, and mercaptans in dimethyl sulfoxide. J. Am. Chem. Soc. 1963, 85, 2739–2743. [Google Scholar] [CrossRef]
 - Lu, J.F.; Zhang, T.; Ma, J.; Chen, Z.L. Evaluation of disinfection by-products formation during chlorination and chloramination of dissolved natural organic matter fractions isolated from a filtered river water. J. Hazard. Mater. 2009, 162, 140–145. [Google Scholar] [CrossRef] [PubMed]
 - Gros, M.; Petrović, M.; Ginebreda, A.; Barceló, D. Removal of pharmaceuticals during wastewater treatment and environmental risk assessment using hazard indexes. Environ. Int. 2010, 36, 15–26. [Google Scholar] [CrossRef] [PubMed]
 - Helbling, D.E.; VanBriesen, J.M. Free chlorine demand and cell survival of microbial suspensions. Water Res. 2007, 41, 4424–4434. [Google Scholar] [CrossRef] [PubMed]
 











| Compound | Molecular Structure | Formula | Molecular Weight | Reactive Sites | 
|---|---|---|---|---|
| Levofloxacin | ![]()  | C18H20FN3O4 | 361.37 | Piperazine ring-N[N(1),N(2)] Heterocyclic-N[N(1)], C[C(1)]  | 
| Sulfaphenazole | ![]()  | C15H14N4O2S | 314.36 | Aniline-N[N(1)] Benzene ring-C[C(1)]Imino-N[N(2)]  | 
| Compound | Retention Time (min) | Molecular [M + H+] | Product Ion | Proposed Structure | 
|---|---|---|---|---|
| LEV | 4.8 | 362 | 344, 318, 261 | ![]()  | 
| P378 | 7.2 | 378 | 361, 334, 317 | ![]()  | 
| P352 | 3.9 | 352 | 332, 295, 253 | ![]()  | 
| P348 | 5.1 | 348 | 330, 304, 284, 261 | ![]()  | 
| P336 | 5.0 | 336 | 318, 298, 279, 261, 235 | ![]()  | 
| P326 | 4.0 | 326 | 306, 295, 269, 249 | ![]()  | 
| P322 | 4.9 | 322 | 304, 284, 261, 235 | ![]()  | 
| P304 | 2.4 | 304 | 286, 258, 228, 200 | ![]()  | 
| Compound | Retention Time (min) | Molecular [M + H+] | Product Ion | Proposed Structure | 
|---|---|---|---|---|
| SPN | 7.9 | 315 | 222, 158, 131, 92 | ![]()  | 
| P383 | 10.1 | 383 | 194, 142 | ![]()  | 
| P349 | 4.9 | 349 | 194, 156, 108 | ![]()  | 
| P285 | 7.5 | 285 | 249, 222, 93 | ![]()  | 
| P194 | 8.6 | 194 | 159, 131, 92 | ![]()  | 
| P142 | 2.7 | 142 | 69 | ![]()  | 
Disclaimer/Publisher’s Note: The statements, opinions and data contained in all publications are solely those of the individual author(s) and contributor(s) and not of MDPI and/or the editor(s). MDPI and/or the editor(s) disclaim responsibility for any injury to people or property resulting from any ideas, methods, instructions or products referred to in the content.  | 
© 2024 by the authors. Licensee MDPI, Basel, Switzerland. This article is an open access article distributed under the terms and conditions of the Creative Commons Attribution (CC BY) license (https://creativecommons.org/licenses/by/4.0/).
Share and Cite
Sun, Z.; Chen, Z.; Chung Lan Mow, M.C.; Liao, X.; Wei, X.; Ma, G.; Wang, X.; Yu, H. Chloramine Disinfection of Levofloxacin and Sulfaphenazole: Unraveling Novel Disinfection Byproducts and Elucidating Formation Mechanisms for an Enhanced Understanding of Water Treatment. Molecules 2024, 29, 396. https://doi.org/10.3390/molecules29020396
Sun Z, Chen Z, Chung Lan Mow MC, Liao X, Wei X, Ma G, Wang X, Yu H. Chloramine Disinfection of Levofloxacin and Sulfaphenazole: Unraveling Novel Disinfection Byproducts and Elucidating Formation Mechanisms for an Enhanced Understanding of Water Treatment. Molecules. 2024; 29(2):396. https://doi.org/10.3390/molecules29020396
Chicago/Turabian StyleSun, Zhenkun, Zhenyi Chen, Marie Celine Chung Lan Mow, Xiaowen Liao, Xiaoxuan Wei, Guangcai Ma, Xueyu Wang, and Haiying Yu. 2024. "Chloramine Disinfection of Levofloxacin and Sulfaphenazole: Unraveling Novel Disinfection Byproducts and Elucidating Formation Mechanisms for an Enhanced Understanding of Water Treatment" Molecules 29, no. 2: 396. https://doi.org/10.3390/molecules29020396
APA StyleSun, Z., Chen, Z., Chung Lan Mow, M. C., Liao, X., Wei, X., Ma, G., Wang, X., & Yu, H. (2024). Chloramine Disinfection of Levofloxacin and Sulfaphenazole: Unraveling Novel Disinfection Byproducts and Elucidating Formation Mechanisms for an Enhanced Understanding of Water Treatment. Molecules, 29(2), 396. https://doi.org/10.3390/molecules29020396
        

       














