Comparative Review for Enhancing CO2 Capture Efficiency with Mixed Amine Systems and Catalysts
Abstract
1. Introduction
2. CO2 Capture Technology
3. CO2 Capture by Organic Amine Absorption Method
4. Amines and Catalysts for CO2 Absorption Technology
4.1. Single-Component Amine Solution
4.1.1. Conventional Absorbents
MEA Solvent
MDEA Solvent
AMP Solvent
PZ Solvent
4.1.2. Novel Absorbents
DGA Solvent
DEA Solvent
DIPA Solvent
AEEA Solvent
DETA Solvent
4.2. Mixed-Component Amine Solution
4.2.1. PZ-Based Mixed Solution
4.2.2. AMP-Based Mixed Solution
4.2.3. DMBA-Based Mixed Solution
4.2.4. DEEA-Based Mixed Solution
4.3. Solid Catalysts for Amine Based Solution
5. Development Trend of Amine Absorption
6. Conclusions
Author Contributions
Funding
Data Availability Statement
Acknowledgments
Conflicts of Interest
References
- Patel, H.; Weldekidan, H.; Mohanty, A.; Misra, M. Effect of Physicochemical Activation on CO2 Adsorption of Activated Porous Carbon Derived from Pine Sawdust. Carbon Capture Sci. Technol. 2023, 8, 100128. [Google Scholar] [CrossRef]
- Patel, H.; Mohanty, A.; Misra, M. Post-Combustion CO2 Capture Using Biomass Based Activated Porous Carbon: Latest Advances in Synthesis Protocol and Economics. Renew. Sustain. Energy Rev. 2024, 199, 114484. [Google Scholar] [CrossRef]
- Doddapaneni, T.R.K.C.; Praveenkumar, R.; Tolvanen, H.; Rintala, J.; Konttinen, J. Techno-Economic Evaluation of Integrating Torrefaction with Anaerobic Digestion. Appl. Energy 2018, 213, 272–284. [Google Scholar] [CrossRef]
- Total Increase in Energy-Related CO2 Emissions, 1900–2023—Charts–Data & Statistics. Available online: https://www.iea.org/data-and-statistics/charts/total-increase-in-energy-related-co2-emissions-1900-2023 (accessed on 8 July 2024).
- Tapia, J.F.D.; Lee, J.Y.; Ooi, R.E.H.; Foo, D.C.Y.; Tan, R.R. A Review of Optimization and Decision-Making Models for the Planning of CO2 Capture, Utilization and Storage (CCUS) Systems. Sustain. Prod. Consum. 2018, 13, 1–15. [Google Scholar] [CrossRef]
- Shove, E. What Is Wrong with Energy Efficiency? Build. Res. Inf. 2018, 46, 779–789. [Google Scholar] [CrossRef]
- Holechek, J.L.; Geli, H.M.E.; Sawalhah, M.N.; Valdez, R. A Global Assessment: Can Renewable Energy Replace Fossil Fuels by 2050? Sustainability 2022, 14, 4792. [Google Scholar] [CrossRef]
- Khosroabadi, F.; Aslani, A.; Bekhrad, K.; Zolfaghari, Z. Analysis of Carbon Dioxide Capturing Technologies and Their Technology Developments. Clean. Eng. Technol. 2021, 5, 100279. [Google Scholar] [CrossRef]
- Mondal, M.K.; Balsora, H.K.; Varshney, P. Progress and Trends in CO2 Capture/Separation Technologies: A Review. Energy 2012, 46, 431–441. [Google Scholar] [CrossRef]
- Meng, F.; Meng, Y.; Ju, T.; Han, S.; Lin, L.; Jiang, J. Research Progress of Aqueous Amine Solution for CO2 Capture: A Review. Renew. Sustain. Energy Rev. 2022, 168, 112902. [Google Scholar] [CrossRef]
- Omodolor, I.S.; Otor, H.O.; Andonegui, J.A.; Allen, B.J.; Alba-Rubio, A.C. Dual-Function Materials for CO2 Capture and Conversion: A Review. Ind. Eng. Chem. Res. 2020, 59, 17612–17631. [Google Scholar] [CrossRef]
- Liu, R.-S.; Shi, X.-D.; Wang, C.-T.; Gao, Y.-Z.; Xu, S.; Hao, G.-P.; Chen, S.; Lu, A.-H. Advances in Post-Combustion CO2 Capture by Physical Adsorption: From Materials Innovation to Separation Practice. ChemSusChem 2021, 14, 1428–1471. [Google Scholar] [CrossRef] [PubMed]
- Ochedi, F.O.; Yu, J.; Yu, H.; Liu, Y.; Hussain, A. Carbon Dioxide Capture Using Liquid Absorption Methods: A Review. Environ. Chem. Lett. 2021, 19, 77–109. [Google Scholar] [CrossRef]
- Vega, F.; Sanna, A.; Navarrete, B.; Maroto-Valer, M.M.; Cortés, V.J. Degradation of Amine-Based Solvents in CO2 Capture Process by Chemical Absorption. Greenh. Gases Sci. Technol. 2014, 4, 707–733. [Google Scholar] [CrossRef]
- Koronaki, I.P.; Prentza, L.; Papaefthimiou, V. Modeling of CO2 Capture via Chemical Absorption Processes—An Extensive Literature Review. Renew. Sustain. Energy Rev. 2015, 50, 547–566. [Google Scholar] [CrossRef]
- Petrakopoulou, F.; Tsatsaronis, G. Production of Hydrogen-Rich Fuels for Pre-Combustion Carbon Capture in Power Plants: A Thermodynamic Assessment. Int. J. Hydrogen Energy 2012, 37, 7554–7564. [Google Scholar] [CrossRef]
- Wang, M.; Oko, E. Special Issue on Carbon Capture in the Context of Carbon Capture, Utilisation and Storage (CCUS). Int. J. Coal Sci. Technol. 2017, 4, 1–4. [Google Scholar] [CrossRef]
- Jansen, D.; Gazzani, M.; Manzolini, G.; van Dijk, E.; Carbo, M. Pre-Combustion CO2 Capture. Int. J. Greenh. Gas Control 2015, 40, 167–187. [Google Scholar] [CrossRef]
- Madejski, P.; Chmiel, K.; Subramanian, N.; Kuś, T. Methods and Techniques for CO2 Capture: Review of Potential Solutions and Applications in Modern Energy Technologies. Energies 2022, 15, 887. [Google Scholar] [CrossRef]
- Lin, H.; Zhou, M.; Ly, J.; Vu, J.; Wijmans, J.G.; Merkel, T.C.; Jin, J.; Haldeman, A.; Wagener, E.H.; Rue, D. Membrane-Based Oxygen-Enriched Combustion. Ind. Eng. Chem. Res. 2013, 52, 10820–10834. [Google Scholar] [CrossRef]
- Daood, S.S.; Nimmo, W.; Edge, P.; Gibbs, B.M. Deep-Staged, Oxygen Enriched Combustion of Coal. Fuel 2012, 101, 187–196. [Google Scholar] [CrossRef]
- Wang, M.; Lawal, A.; Stephenson, P.; Sidders, J.; Ramshaw, C. Post-Combustion CO2 Capture with Chemical Absorption: A State-of-the-Art Review. Chem. Eng. Res. Des. 2011, 89, 1609–1624. [Google Scholar] [CrossRef]
- Mukherjee, A.; Okolie, J.A.; Abdelrasoul, A.; Niu, C.; Dalai, A.K. Review of Post-Combustion Carbon Dioxide Capture Technologies Using Activated Carbon. J. Environ. Sci. 2019, 83, 46–63. [Google Scholar] [CrossRef] [PubMed]
- Kárászová, M.; Zach, B.; Petrusová, Z.; Červenka, V.; Bobák, M.; Šyc, M.; Izák, P. Post-Combustion Carbon Capture by Membrane Separation, Review. Sep. Purif. Technol. 2020, 238, 116448. [Google Scholar] [CrossRef]
- Olabi, A.G.; Alami, A.H.; Ayoub, M.; Aljaghoub, H.; Alasad, S.; Inayat, A.; Abdelkareem, M.A.; Chae, K.-J.; Sayed, E.T. Membrane-Based Carbon Capture: Recent Progress, Challenges, and Their Role in Achieving the Sustainable Development Goals. Chemosphere 2023, 320, 137996. [Google Scholar] [CrossRef] [PubMed]
- Berstad, D.; Anantharaman, R.; Nekså, P. Low-Temperature CO2 Capture Technologies – Applications and Potential. Int. J. Refrig. 2013, 36, 1403–1416. [Google Scholar] [CrossRef]
- Ünveren, E.E.; Monkul, B.Ö.; Sarıoğlan, Ş.; Karademir, N.; Alper, E. Solid Amine Sorbents for CO2 Capture by Chemical Adsorption: A Review. Petroleum 2017, 3, 37–50. [Google Scholar] [CrossRef]
- Nie, L.; Mu, Y.; Jin, J.; Chen, J.; Mi, J. Recent Developments and Consideration Issues in Solid Adsorbents for CO2 Capture from Flue Gas. Chin. J. Chem. Eng. 2018, 26, 2303–2317. [Google Scholar] [CrossRef]
- Lee, S.-Y.; Park, S.-J. A Review on Solid Adsorbents for Carbon Dioxide Capture. J. Ind. Eng. Chem. 2015, 23, 1–11. [Google Scholar] [CrossRef]
- Aghel, B.; Janati, S.; Wongwises, S.; Shadloo, M.S. Review on CO2 Capture by Blended Amine Solutions. Int. J. Greenh. Gas Control 2022, 119, 103715. [Google Scholar] [CrossRef]
- Koytsoumpa, E.I.; Bergins, C.; Kakaras, E. The CO2 Economy: Review of CO2 Capture and Reuse Technologies. J. Supercrit. Fluids 2018, 132, 3–16. [Google Scholar] [CrossRef]
- Liang, Z.; Rongwong, W.; Liu, H.; Fu, K.; Gao, H.; Cao, F.; Zhang, R.; Sema, T.; Henni, A.; Sumon, K.; et al. Recent Progress and New Developments in Post-Combustion Carbon-Capture Technology with Amine Based Solvents. Int. J. Greenh. Gas Control 2015, 40, 26–54. [Google Scholar] [CrossRef]
- Gatti, M.; Martelli, E.; Marechal, F.; Consonni, S. Review, Modeling, Heat Integration, and Improved Schemes of Rectisol-Based Processes for CO®2 Capture. Appl. Therm. Eng. 2014, 70, 1123–1140. [Google Scholar] [CrossRef]
- Ebewele, E.O.; Al-Marzouqi, M.H. Regeneration of Solvent for CO2 Capture: A Review. In Proceedings of the 2021 6th International Conference on Renewable Energy: Generation and Applications (ICREGA), Al Ain, United Arab Emirates, 2–4 February 2021; pp. 163–167. [Google Scholar]
- Li, X.; Liu, J.; Jiang, W.; Gao, G.; Wu, F.; Luo, C.; Zhang, L. Low Energy-Consuming CO2 Capture by Phase Change Absorbents of Amine/Alcohol/H2O. Sep. Purif. Technol. 2021, 275, 119181. [Google Scholar] [CrossRef]
- Ooi, Z.L.; Tan, P.Y.; Tan, L.S.; Yeap, S.P. Amine-Based Solvent for CO2 Absorption and Its Impact on Carbon Steel Corrosion: A Perspective Review. Chin. J. Chem. Eng. 2020, 28, 1357–1367. [Google Scholar] [CrossRef]
- Zhang, X.; Huang, Y.; Gao, H.; Luo, X.; Liang, Z.; Tontiwachwuthikul, P. Zeolite Catalyst-Aided Tri-Solvent Blend Amine Regeneration: An Alternative Pathway to Reduce the Energy Consumption in Amine-Based CO2 Capture Process. Appl. Energy 2019, 240, 827–841. [Google Scholar] [CrossRef]
- Narku-Tetteh, J.; Muchan, P.; Saiwan, C.; Supap, T.; Idem, R. Selection of Components for Formulation of Amine Blends for Post Combustion CO2 Capture Based on the Side Chain Structure of Primary, Secondary and Tertiary Amines. Chem. Eng. Sci. 2017, 170, 542–560. [Google Scholar] [CrossRef]
- Caplow, M. Kinetics of Carbamate Formation and Breakdown. Available online: https://pubs.acs.org/doi/pdf/10.1021/ja01026a041 (accessed on 9 July 2024).
- Danckwerts, P.V. The Reaction of CO2 with Ethanolamines. Chem. Eng. Sci. 1979, 34, 443–446. [Google Scholar] [CrossRef]
- Chen, M.; Gao, H.; Sema, T.; Xiao, M.; Sun, Q.; Liang, Z. Study on the Mechanism and Kinetics of Amine with Steric Hindrance Absorbing CO2 in Non-Aqueous/Aqueous Solution. Sep. Purif. Technol. 2022, 303, 122202. [Google Scholar] [CrossRef]
- Donaldson, T.L.; Nguyen, Y.N. Carbon Dioxide Reaction Kinetics and Transport in Aqueous Amine Membranes. Available online: https://pubs.acs.org/doi/pdf/10.1021/i160075a005 (accessed on 9 July 2024).
- Hu, X.; Huang, J.; He, X.; Luo, Q.; Li, C.; Zhou, C.; Zhang, R. Analyzing the Potential Benefits of Trio-Amine Systems for Enhancing the CO2 Desorption Processes. Fuel 2022, 316, 123216. [Google Scholar] [CrossRef]
- Waseem, M.; Al-Marzouqi, M.; Ghasem, N. A Review of Catalytically Enhanced CO2-Rich Amine Solutions Regeneration. J. Environ. Chem. Eng. 2023, 11, 110188. [Google Scholar] [CrossRef]
- Tavakoli, A.; Rahimi, K.; Saghandali, F.; Scott, J.; Lovell, E. Nanofluid Preparation, Stability and Performance for CO2 Absorption and Desorption Enhancement: A Review. J. Environ. Manage. 2022, 313, 114955. [Google Scholar] [CrossRef] [PubMed]
- Asif, M.; Suleman, M.; Haq, I.; Jamal, S.A. Post-Combustion CO2 Capture with Chemical Absorption and Hybrid System: Current Status and Challenges. Greenh. Gases Sci. Technol. 2018, 8, 998–1031. [Google Scholar] [CrossRef]
- Ma’mun, S.; Jakobsen, J.P.; Svendsen, H.F.; Juliussen, O. Experimental and Modeling Study of the Solubility of Carbo-n Dioxide in Aqueous 30 Mass % 2-((2-Aminoethyl)Amino)Ethanol Solution. Ind. Eng. Chem. Res. 2006, 45, 2505–2512. [Google Scholar] [CrossRef]
- McCann, N.; Phan, D.; Wang, X.; Conway, W.; Burns, R.; Attalla, M.; Puxty, G.; Maeder, M. Kinetics and Mechanism of Carbamate Formation from CO2(Aq), Carbonate Species, and Monoethanolamine in Aqueous Solution. J. Phys. Chem. A 2009, 113, 5022–5029. [Google Scholar] [CrossRef] [PubMed]
- Vinjarapu, S.H.B.; Neerup, R.; Larsen, A.H.; Jørsboe, J.K.; Villadsen, S.N.B.; Jensen, S.; Karlsson, J.L.; Kappel, J.; Lassen, H.; Blinksbjerg, P.; et al. Results from Pilot-Scale CO2 Capture Testing Using 30 Wt% MEA at a Waste-to-Energy Facility: Optimisation through Parametric Analysis. Appl. Energy 2024, 355. [Google Scholar] [CrossRef]
- Tan, Z.; Zhang, S.; Zhao, F.; Zhang, R.; Tang, F.; You, K.; Luo, H.; Zhang, X. SnO2/ATP Catalyst Enabling Energy-Efficient and Green Amine-Based CO2 Capture. Chem. Eng. J. 2023, 453, 139801. [Google Scholar] [CrossRef]
- Guo, Y.; Zhang, H.; Fu, K.; Chen, X.; Qiu, M.; Fan, Y. Integration of Solid Acid Catalyst and Ceramic Membrane to Boost Amine-Based CO2 Desorption. Energy 2023, 274, 127329. [Google Scholar] [CrossRef]
- Bhatti, A.H.; Waris, M.; Kazmi, W.W.; Bhatti, U.H.; Min, G.H.; Park, B.C.; Baek, I.H.; Nam, S.C. Metal Impregnated Activated Carbon as Cost-Effective and Scalable Catalysts for Amine-Based CO2 Capture. SSRN Electron. J. 2022. [Google Scholar] [CrossRef]
- Mudhasakul, S.; Ku, H.; Douglas, P.L. A Simulation Model of a CO2 Absorption Process with Methyldiethanolamine Solvent and Piperazine as an Activator. Int. J. Greenh. Gas Control 2013, 15, 134–141. [Google Scholar] [CrossRef]
- Zhang, X.; Zhang, S.; Tang, F.; Tan, Z.; Peng, Y.; Zhao, S.; Xiang, C.; Sun, H.; Zhao, F.; You, K.; et al. Solid Base LDH-Catalyzed Ultrafast and Efficient CO2 Absorption into a Tertiary Amine Solution. Chem. Eng. Sci. 2023, 278, 118889. [Google Scholar] [CrossRef]
- Tiwari, S.C.; Pant, K.K.; Upadhyayula, S. Energy Efficient CO2 Capture in Dual Functionalized Ionic Liquids and N-Methyldiethanolamine Solvent Blend System at Elevated Pressures: Interaction Mechanism and Heat Duties. J. Mol. Liq. 2023, 383, 122109. [Google Scholar] [CrossRef]
- Zhang, X.; Zhang, S.; Tan, Z.; Zhao, S.; Peng, Y.; Xiang, C.; Zhao, W.; Zhang, R. One-Step Synthesis of Efficient Manganese-Based Oxide Catalyst for Ultra-Rapid CO2 Absorption in MDEA Solutions. Chem. Eng. J. 2023, 465, 142878. [Google Scholar] [CrossRef]
- Osagie, E.; Biliyok, C.; Di Lorenzo, G.; Hanak, D.P.; Manovic, V. Techno-Economic Evaluation of the 2-Amino-2-Methyl-1-Propanol (AMP) Process for CO2 Capture from Natural Gas Combined Cycle Power Plant. Int. J. Greenh. Gas Control 2018, 70, 45–56. [Google Scholar] [CrossRef]
- Ma, M.; Liu, Y.; Chen, Y.; Jing, G.; Lv, B.; Zhou, Z.; Zhang, S. Regulatory Mechanism of a Novel Non-Aqueous Absorbent for CO2 Capture Using 2-Amino-2-Methyl-1-Propanol: Low Viscosity and Energy Efficient. J. CO2 Util. 2023, 67, 102277. [Google Scholar] [CrossRef]
- Tu, Z.; Han, F.; Liu, C.; Wang, Y.; Wei, J.; Zhou, X. 2-Amino-2-Methyl-1-Propanol Regulated Triethylenetetramine-Based Nonaqueous Absorbents for Solid-Liquid Phase-Change CO2 Capture: Formation of Crystalline Powder Products and Mechanism Analysis. Sep. Purif. Technol. 2023, 307, 122722. [Google Scholar] [CrossRef]
- Rochelle, G.; Chen, E.; Freeman, S.; Van Wagener, D.; Xu, Q.; Voice, A. Aqueous Piperazine as the New Standard for CO2 Capture Technology. Chem. Eng. J. 2011, 171, 725–733. [Google Scholar] [CrossRef]
- Yuan, Y.; Sherman, B.; Rochelle, G.T. Effects of Viscosity on CO2 Absorption in Aqueous Piperazine/2-Methylpiperazine. Energy Procedia 2017, 114, 2103–2120. [Google Scholar] [CrossRef]
- Yuan, Y.; Rochelle, G.T. CO2 Absorption Rate and Capacity of Semi-Aqueous Piperazine for CO2 Capture. Int. J. Greenh. Gas Control 2019, 85, 182–186. [Google Scholar] [CrossRef]
- Moioli, S.; Pellegrini, L.A. Physical Properties of PZ Solution Used as a Solvent for CO2 Removal. Chem. Eng. Res. Des. 2015, 93, 720–726. [Google Scholar] [CrossRef]
- Zhao, Y.; Zhang, Y.; Liu, Q.; Guo, X.; Cao, Y.; Xu, N.; Qi, T.; Chen, Y.; Chen, S. Energy-Efficient Carbon Dioxide Capture Using Piperazine (PZ) Activated EMEA+DEEA Water Lean Solvent: Performance and Mechanism. Sep. Purif. Technol. 2023, 316, 123761. [Google Scholar] [CrossRef]
- Mofarahi, M.; Khojasteh, Y.; Khaledi, H.; Farahnak, A. Design of CO2 Absorption Plant for Recovery of CO2 from Flue Gases of Gas Turbine. Energy 2008, 33, 1311–1319. [Google Scholar] [CrossRef]
- Salkuyeh, Y.K.; Mofarahi, M. Comparison of MEA and DGA Performance for CO2 Capture under Different Operational Conditions. Int. J. Energy Res. 2012, 36, 259–268. [Google Scholar] [CrossRef]
- Guo, X.-P.; Tomoe, Y. Difference in Corrosion Behavior between Carbon Steel in CO2-Saturated MDEA and DGA Solutions. Zair.--Kankyo 1999, 48, 493–499. [Google Scholar] [CrossRef]
- Kierzkowska-Pawlak, H. Carbon Dioxide Removal from Flue Gases by Absorption/Desorption in Aqueous Diethanolamine Solutions. J. Air Waste Manag. Assoc. 2010, 60, 925–931. [Google Scholar] [CrossRef] [PubMed]
- Galindo, P.; Schäffer, A.; Brechtel, K.; Unterberger, S.; Scheffknecht, G. Experimental Research on the Performance of CO2-Loaded Solutions of MEA and DEA at Regeneration Conditions. Fuel 2012, 101, 2–8. [Google Scholar] [CrossRef]
- Kim, Y.E.; Park, J.H.; Yun, S.H.; Nam, S.C.; Jeong, S.K.; Yoon, Y.I. Carbon Dioxide Absorption Using a Phase Transitional Alkanolamine–Alcohol Mixture. J. Ind. Eng. Chem. 2014, 20, 1486–1492. [Google Scholar] [CrossRef]
- Mavroudi, M.; Kaldis, S.P.; Sakellaropoulos, G.P. Reduction of CO2 Emissions by a Membrane Contacting Process. Fuel 2003, 82, 2153–2159. [Google Scholar] [CrossRef]
- Sutar, P.N.; Jha, A.; Vaidya, P.D.; Kenig, E.Y. Secondary Amines for CO2 Capture: A Kinetic Investigation Using N-Ethylmonoethanolamine. Chem. Eng. J. 2012, 207–208, 718–724. [Google Scholar] [CrossRef]
- Xu, Z.; Wang, S.; Liu, J.; Chen, C. Solvents with Low Critical Solution Temperature for CO2 Capture. Energy Procedia 2012, 23, 64–71. [Google Scholar] [CrossRef]
- Krótki, A.; Więcław-Solny, L.; Tatarczuk, A.; Spietz, T.; Chwoła, T.; Dobras, S. A Pilot Study Comparing MEA and AEEA Solvents in Carbon Capture. Int. J. Greenh. Gas Control 2023, 126, 103891. [Google Scholar] [CrossRef]
- Aso, D.; Orimoto, Y.; Higashino, M.; Taniguchi, I.; Aoki, Y. Why Does 2-(2-Aminoethylamino)Ethanol Have Superior CO2 Separation Performance to Monoethanolamine? A Computational Study. Phys. Chem. Chem. Phys. 2022, 24, 14172–14176. [Google Scholar] [CrossRef]
- Zhang, X.; Fu, K.; Liang, Z.; Rongwong, W.; Yang, Z.; Idem, R.; Tontiwachwuthikul, P. Experimental Studies of Regeneration Heat Duty for CO2 Desorption from Diethylenetriamine (DETA) Solution in a Stripper Column Packed with Dixon Ring Random Packing. Fuel 2014, 136, 261–267. [Google Scholar] [CrossRef]
- Ramezani, R.; Di Felice, R. Kinetics Study of CO2 Absorption in Potassium Carbonate Solution Promoted by Diethylenetriamine. Green Energy Environ. 2021, 6, 83–90. [Google Scholar] [CrossRef]
- Chakravarty, T.; Phukan, U.K.; Weilund, R.H. Reaction of Acid Gases with Mixtures of Amines. Chem. Eng. Prog. U. S. 1985, 81:4. [Google Scholar]
- Muchan, P.; Saiwan, C.; Narku-Tetteh, J.; Idem, R.; Supap, T.; Tontiwachwuthikul, P. Screening Tests of Aqueous Alkanolamine Solutions Based on Primary, Secondary, and Tertiary Structure for Blended Aqueous Amine Solution Selection in Post Combustion CO2 Capture. Chem. Eng. Sci. 2017, 170, 574–582. [Google Scholar] [CrossRef]
- Khan, A.A.; Halder, G.N.; Saha, A.K. Experimental Investigation on Efficient Carbon Dioxide Capture Using Piperazine (PZ) Activated Aqueous Methyldiethanolamine (MDEA) Solution in a Packed Column. Int. J. Greenh. Gas Control 2017, 64, 163–173. [Google Scholar] [CrossRef]
- Hosseini-Ardali, S.M.; Hazrati-Kalbibaki, M.; Fattahi, M.; Lezsovits, F. Multi-Objective Optimization of Post Combustion CO2 Capture Using Methyldiethanolamine (MDEA) and Piperazine (PZ) Bi-Solvent. Energy 2020, 211, 119035. [Google Scholar] [CrossRef]
- Oh, S.-Y.; Yun, S.; Kim, J.-K. Process Integration and Design for Maximizing Energy Efficiency of a Coal-Fired Power Plant Integrated with Amine-Based CO2 Capture Process. Appl. Energy 2018, 216, 311–322. [Google Scholar] [CrossRef]
- Aronu, U.E.; Hoff, K.A.; Svendsen, H.F. CO2 Capture Solvent Selection by Combined Absorption–Desorption Analysis. Chem. Eng. Res. Des. 2011, 89, 1197–1203. [Google Scholar] [CrossRef]
- Choi, W.-J.; Seo, J.-B.; Jang, S.-Y.; Jung, J.-H.; Oh, K.-J. Removal Characteristics of CO2 Using Aqueous MEA/AMP Solutions in the Absorption and Regeneration Process. J. Environ. Sci. 2009, 21, 907–913. [Google Scholar] [CrossRef]
- Najib, S.B.M.; Kamaruddin, K.S.N.; Rashid, N.M.; Ibrahim, N.; Sokri, M.N.M.; Zaini, N.; Nordin, N. The Effect of MDEA/AMP and Span-80 in Water-in-Oil (W/O) Emulsion for Carbon Dioxide Absorption. J. Appl. Membr. Sci. Technol. 2022, 26, 17–27. [Google Scholar] [CrossRef]
- Liu, Y.; Fan, W.; Wang, K.; Wang, J. Studies of CO2 Absorption/Regeneration Performances of Novel Aqueous Monothanlamine (MEA)-Based Solutions. J. Clean. Prod. 2016, 112, 4012–4021. [Google Scholar] [CrossRef]
- Wang, L.; An, S.; Yu, S.; Zhang, S.; Zhang, Y.; Li, M.; Li, Q. Mass Transfer Characteristics of CO2 Absorption into a Phase-Change Solvent in a Wetted-Wall Column. Int. J. Greenh. Gas Control 2017, 64, 276–283. [Google Scholar] [CrossRef]
- Raksajati, A.; Ho, M.T.; Wiley, D.E. Reducing The Cost of CO2 Capture From Flue Gases Using Phase-Change Solvent Absorption. Energy Procedia 2014, 63, 2280–2288. [Google Scholar] [CrossRef]
- Pinto, D.D.D.; Zaidy, S.A.H.; Hartono, A.; Svendsen, H.F. Evaluation of a Phase Change Solvent for CO2 Capture: Absorption and Desorption Tests. Int. J. Greenh. Gas Control 2014, 28, 318–327. [Google Scholar] [CrossRef]
- Shen, Y.; Jiang, C.; Zhang, S.; Chen, J.; Wang, L.; Chen, J. Biphasic Solvent for CO2 Capture: Amine Property-Performance and Heat Duty Relationship. Appl. Energy 2018, 230, 726–733. [Google Scholar] [CrossRef]
- Gautam, A.; Mondal, M.K. Review of Recent Trends and Various Techniques for CO2 Capture: Special Emphasis on Biphasic Amine Solvents. Fuel 2023, 334, 126616. [Google Scholar] [CrossRef]
- Wang, L.; An, S.; Li, Q.; Yu, S.; Wu, S. Phase Change Behavior and Kinetics of CO2 Absorption into DMBA/DEEA Solution in a Wetted-Wall Column. Chem. Eng. J. 2017, 314, 681–687. [Google Scholar] [CrossRef]
- Singh, P.; van Swaaij, W.P.M.; Wim Brilman, D.W.F. Kinetics Study of Carbon Dioxide Absorption in Aqueous Solutions of 1,6-Hexamethyldiamine (HMDA) and 1,6-Hexamethyldiamine, N,N′ Di-Methyl (HMDA, N,N′). Chem. Eng. Sci. 2011, 66, 4521–4532. [Google Scholar] [CrossRef]
- Sutar, P.N.; Vaidya, P.D.; Kenig, E.Y. Activated DEEA Solutions for CO2 Capture—A Study of Equilibrium and Kinetic Characteristics. Chem. Eng. Sci. 2013, 100, 234–241. [Google Scholar] [CrossRef]
- Kim, S.; Kim, M.; Kim, J. Techno-Economic Evaluation and Comparative Analysis of the CO2 Separation Processes Using Different Piperazine-Mixed Amine Absorbents. J. Chem. Eng. Jpn. 2019, 52, 625–637. [Google Scholar] [CrossRef]
- Bai, L.; Zhao, D.; Zhong, X.; Dong, S.; Liu, H. Comprehensive Technical Analysis of CO2 Absorption into a Promising Blended Amine of DEEA-HMDA. Chem. Eng. Sci. 2023, 280, 119025. [Google Scholar] [CrossRef]
- Kierzkowska-Pawlak, H. Kinetics of CO2 Absorption in Aqueous N,N-Diethylethanolamine and Its Blend with N-(2-Aminoethyl)Ethanolamine Using a Stirred Cell Reactor. Int. J. Greenh. Gas Control 2015, 37, 76–84. [Google Scholar] [CrossRef]
- Luo, X.; Liu, S.; Gao, H.; Liao, H.; Tontiwachwuthikul, P.; Liang, Z. An Improved Fast Screening Method for Single and Blended Amine-Based Solvents for Post-Combustion CO2 Capture. Sep. Purif. Technol. 2016, 169, 279–288. [Google Scholar] [CrossRef]
- de Meyer, F.; Bignaud, C. The Use of Catalysis for Faster CO2 Absorption and Energy-Efficient Solvent Regeneration: An Industry-Focused Critical Review. Chem. Eng. J. 2022, 428, 131264. [Google Scholar] [CrossRef]
- Alivand, M.S.; Mazaheri, O.; Wu, Y.; Stevens, G.W.; Scholes, C.A.; Mumford, K.A. Catalytic Solvent Regeneration for Energy-Efficient CO2 Capture. ACS Sustain. Chem. Eng. 2020, 8, 18755–18788. [Google Scholar] [CrossRef]
- Zhang, X.; Hong, J.; Liu, H.; Luo, X.; Olson, W.; Tontiwachwuthikul, P.; Liang, Z. SO42−/ZrO2 Supported on γ-Al2O3 a-s a Catalyst for CO2 Desorption from CO2-Loaded Monoethanolamine Solutions. AIChE J. 2018, 64, 3988–4001. [Google Scholar] [CrossRef]
- Ali Saleh Bairq, Z.; Gao, H.; Huang, Y.; Zhang, H.; Liang, Z. Enhancing CO2 Desorption Performance in Rich MEA Solution by Addition of SO42−/ZrO2/SiO2 Bifunctional Catalyst. Appl. Energy 2019, 252, 113440. [Google Scholar] [CrossRef]
- Shi, H.; Naami, A.; Idem, R.; Tontiwachwuthikul, P. Catalytic and Non Catalytic Solvent Regeneration during Absorp-tion-Based CO2 Capture with Single and Blended Reactive Amine Solvents. Int. J. Greenh. Gas Control 2014, 26, 39–50. [Google Scholar] [CrossRef]
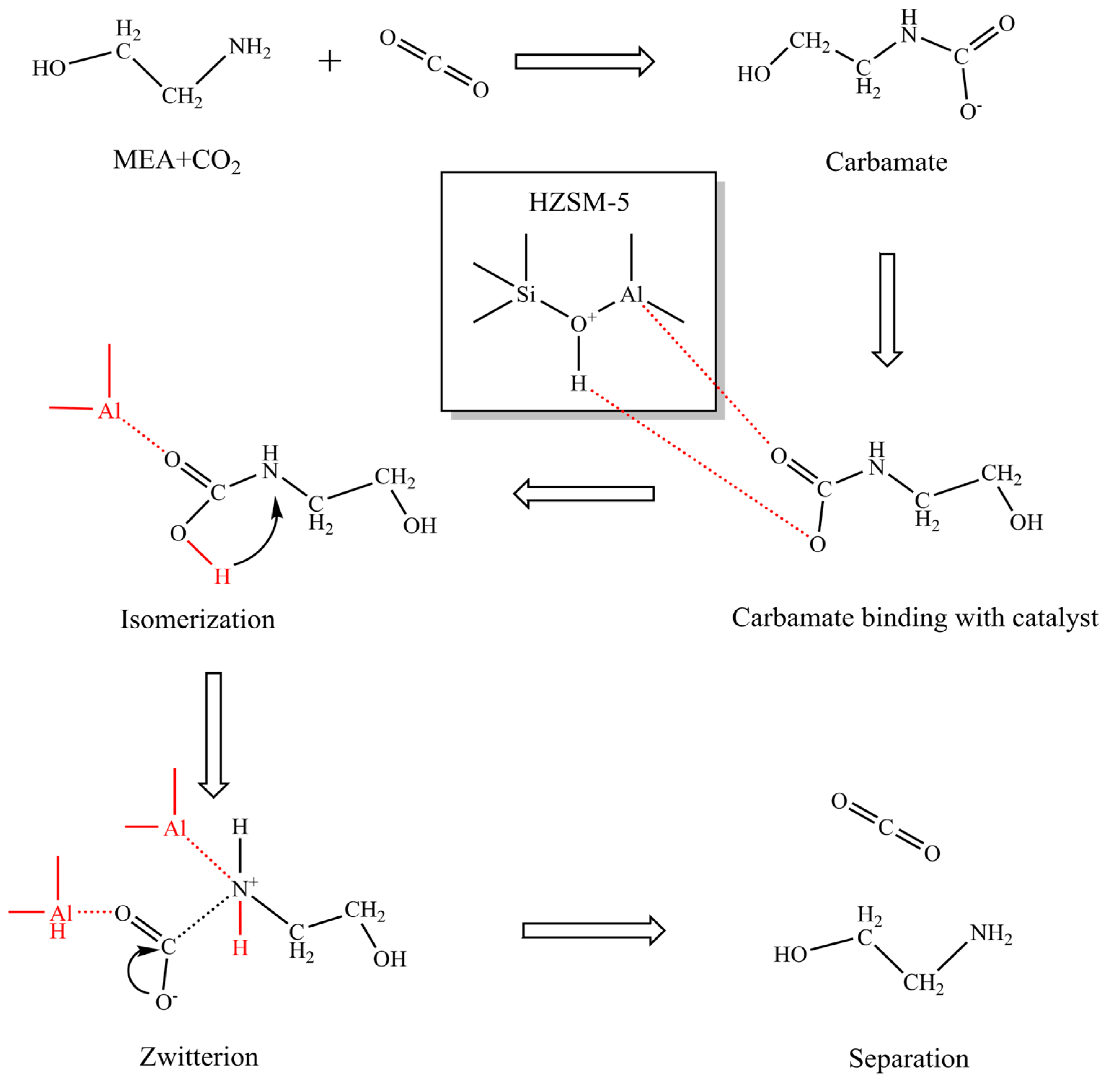
- Bhatti, U.H.; Shah, A.K.; Hussain, A.; Khan, H.A.; Park, C.Y.; Nam, S.C.; Baek, I.H. Catalytic Activity of Facilely Synt-hesized Mesoporous HZSM-5 Catalysts for Optimizing the CO2 Desorption Rate from CO2-Rich Amine Solutions. Chem. Eng. J. 2020, 389, 123439. [Google Scholar] [CrossRef]
- Lai, Q.; Toan, S.; Assiri, M.A.; Cheng, H.; Russell, A.G.; Adidharma, H.; Radosz, M.; Fan, M. Catalyst-TiO(OH)2 Coul-d Drastically Reduce the Energy Consumption of CO2 Capture. Nat. Commun. 2018, 9, 2672. [Google Scholar] [CrossRef] [PubMed]
- Bae, T.-H.; R. Hudson, M.; A. Mason, J.; L. Queen, W.; J. Dutton, J.; Sumida, K.; J. Micklash, K.; S. Kaye, S.; M. Brown, C.; R. Long, J. Evaluation of Cation -Exchanged Zeolite Adsorbents for Post- Combustion Carbon Dioxide Capture. Energy Environ. Sci. 2013, 6, 128–138. [Google Scholar] [CrossRef]











| Solvent | Structure | Vapor Pressure (kPa) | CO2 Absorption Capacity | Properties | Drawbacks |
|---|---|---|---|---|---|
| MEA | ![]() | 0.064 | 0.5 | Using up to 15–20 wt% | Corrosive Nonselective towards CO2 Low capacity for absorption High regeneration energy demand Thermal degradation |
| AMP | ![]() | 0.1333 | 0.96 | Higher CO2 absorption flux The least regeneration energy demand | High reaction heat |
| PZ | ![]() | 0.279 | 0.79 | Highest reactivity towards CO2 High reaction kinetic | - |
| MDEA | ![]() | 0.001 | 1.0 | Less corrosive Using up to 20–50 wt% Lower degradation rates More economic regeneration | Lower affinity for CO2 |
| DGA | ![]() | <0.001 | 0.23–0.35 | Using up to 40–60 wt% Low vapor pressure | High reaction heat to CO2 |
| DEA | ![]() | <0.001 | 0.7 | Using up to 35 wt% Less corrosive Lower heat of reaction More economic | Lower reactivity |
| DIPA | ![]() | 9.3 | 0.43–0.22 | Lower regeneration energy demand Lower corrosivity More degradation resistance | Lower reaction rate than MEA and DEA |
| N-(2-aminoethyl)ethanolamine (AEEA) | ![]() | - | 2.47 | Low cost Lower renewable energy consumption Not easy to degrade | - |
| DETA | ![]() | - | 5.15 | Faster absorption rate Higher CO2 absorption load | - |
| Amine | Measures for Performance Enhancement | Enhanced Performance | References |
|---|---|---|---|
| MEA | SnO2/ATP catalyst | Desorption rate and absorption rate increased Regeneration heat duty reduced | [50] |
| HZSM-5 catalyst | Absorption rate increased Regeneration energy consumption reduced | [51] | |
| Metal (Fe, Ni, Mo) supported activated carbon (AC) catalyst | Solvent regeneration capacity increased Desorption rate increased Heat duty reduced | [52] | |
| MDEA | Solid base catalyst | Absorption rate increased | [54] |
| DFILs promoter | CO2 loading rate increased Regeneration heat duty reduced Absorbent loss rate low | [55] | |
| MnO catalyst | CO2 absorption capacity increased CO2 absorption rate improved | [56] | |
| AMP | As a modulator for DA2MP | Solution viscosity reduced Regeneration energy consumption reduced | [58] |
| As a modulator for TETA-based SLPCAs | CO2 loading capacity increased Absorbent regeneration efficiency improved Formation of gel products avoided | [59] | |
| PZ | As an activator for water-lean amine solvents | Regeneration efficiency improved Energy consumption reduced | [64] |
| PZ + MDEA | - | Reaction rate increased High regeneration efficiency Lower energy consumption compared to MEA solvent | [80,81] |
| PZ + TMBPA | 1.5 M TMBPA + 1.0 M PZ | Higher reaction rate Higher absorption rate; low cost | [83] |
| MEA + AMP | - | Reaction rate increased CO2 loading increased | [84] |
| MEA + MDEA + AMP | 7 wt% MEA + 3 wt% MDEA + 1 wt% AMP | Desorption rate increased Desorption energy consumption reduce | [85] |
| AMP + MDEA | Applied in ELM | Enhanced emulsion stability Increased CO2 removal rate | [86] |
| DMBA + DEEA | Biphasic absorbent | Regeneration energy consumption reduced Cost reduced | [92] |
| DEEA + HMDA | - | Higher CO2 solubility Lower absorption heat Smaller packing column volume required Lower equipment cost | [96] |
| AEEA + DEEA | AEEA as an activator for DEEA aqueous solutio | CO2 absorption rate increased | [97] |
| MEA + DEEA | With a molar ratio of 2.5:2. | CO2 cyclic capacity increased CO2 absorption rate increased | [98] |
| - | solid catalyst: HZSM-5,γ-Al2O3,TiO(OH)2 | CO2 absorption rate increased Regeneration energy consumption reduced | [103,104,105] |
Disclaimer/Publisher’s Note: The statements, opinions and data contained in all publications are solely those of the individual author(s) and contributor(s) and not of MDPI and/or the editor(s). MDPI and/or the editor(s) disclaim responsibility for any injury to people or property resulting from any ideas, methods, instructions or products referred to in the content. |
© 2024 by the authors. Licensee MDPI, Basel, Switzerland. This article is an open access article distributed under the terms and conditions of the Creative Commons Attribution (CC BY) license (https://creativecommons.org/licenses/by/4.0/).
Share and Cite
Jiang, W.; Lin, Y.; Sun, C.; Sun, Y.; Zhu, Y. Comparative Review for Enhancing CO2 Capture Efficiency with Mixed Amine Systems and Catalysts. Molecules 2024, 29, 4618. https://doi.org/10.3390/molecules29194618
Jiang W, Lin Y, Sun C, Sun Y, Zhu Y. Comparative Review for Enhancing CO2 Capture Efficiency with Mixed Amine Systems and Catalysts. Molecules. 2024; 29(19):4618. https://doi.org/10.3390/molecules29194618
Chicago/Turabian StyleJiang, Wenhao, Yuchen Lin, Chengqi Sun, Yin Sun, and Yunlong Zhu. 2024. "Comparative Review for Enhancing CO2 Capture Efficiency with Mixed Amine Systems and Catalysts" Molecules 29, no. 19: 4618. https://doi.org/10.3390/molecules29194618
APA StyleJiang, W., Lin, Y., Sun, C., Sun, Y., & Zhu, Y. (2024). Comparative Review for Enhancing CO2 Capture Efficiency with Mixed Amine Systems and Catalysts. Molecules, 29(19), 4618. https://doi.org/10.3390/molecules29194618










