Degradation Acyclovir Using Sodium Hypochlorite: Focus on Byproducts Analysis, Optimal Conditions and Wastewater Application
Abstract
1. Introduction
2. Results and Discussion
2.1. Degradation Experiments
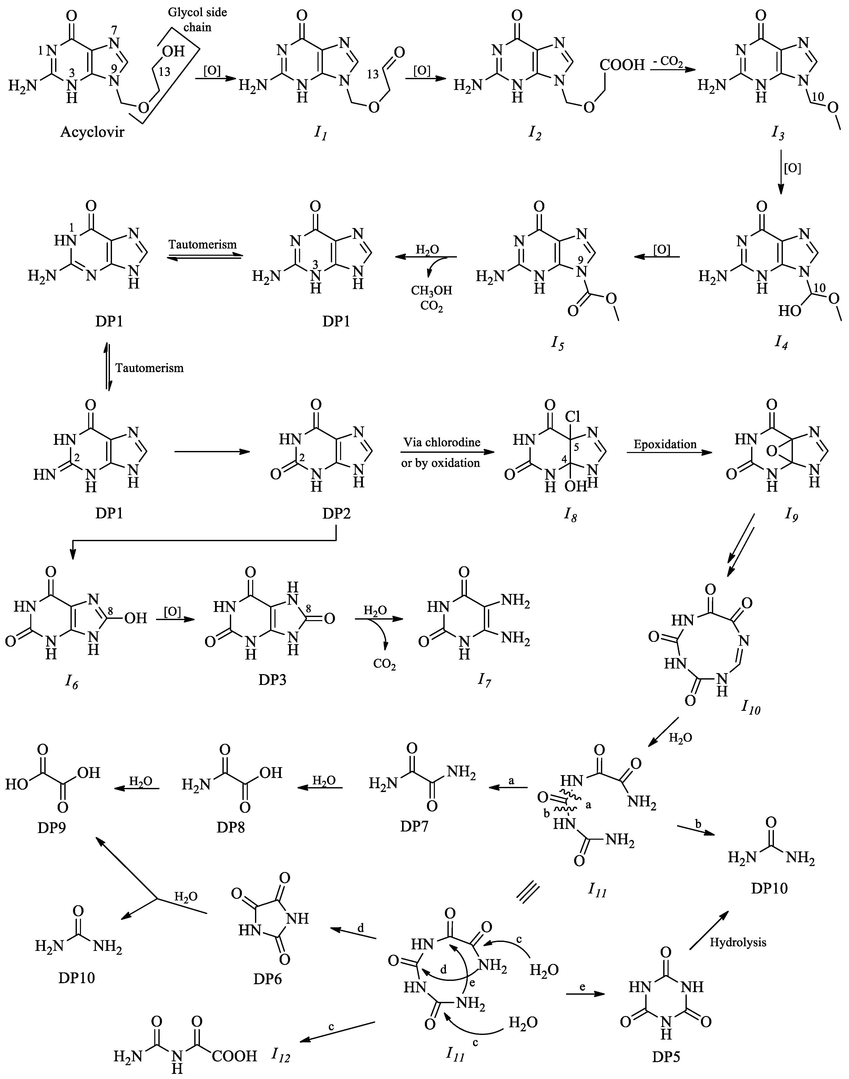
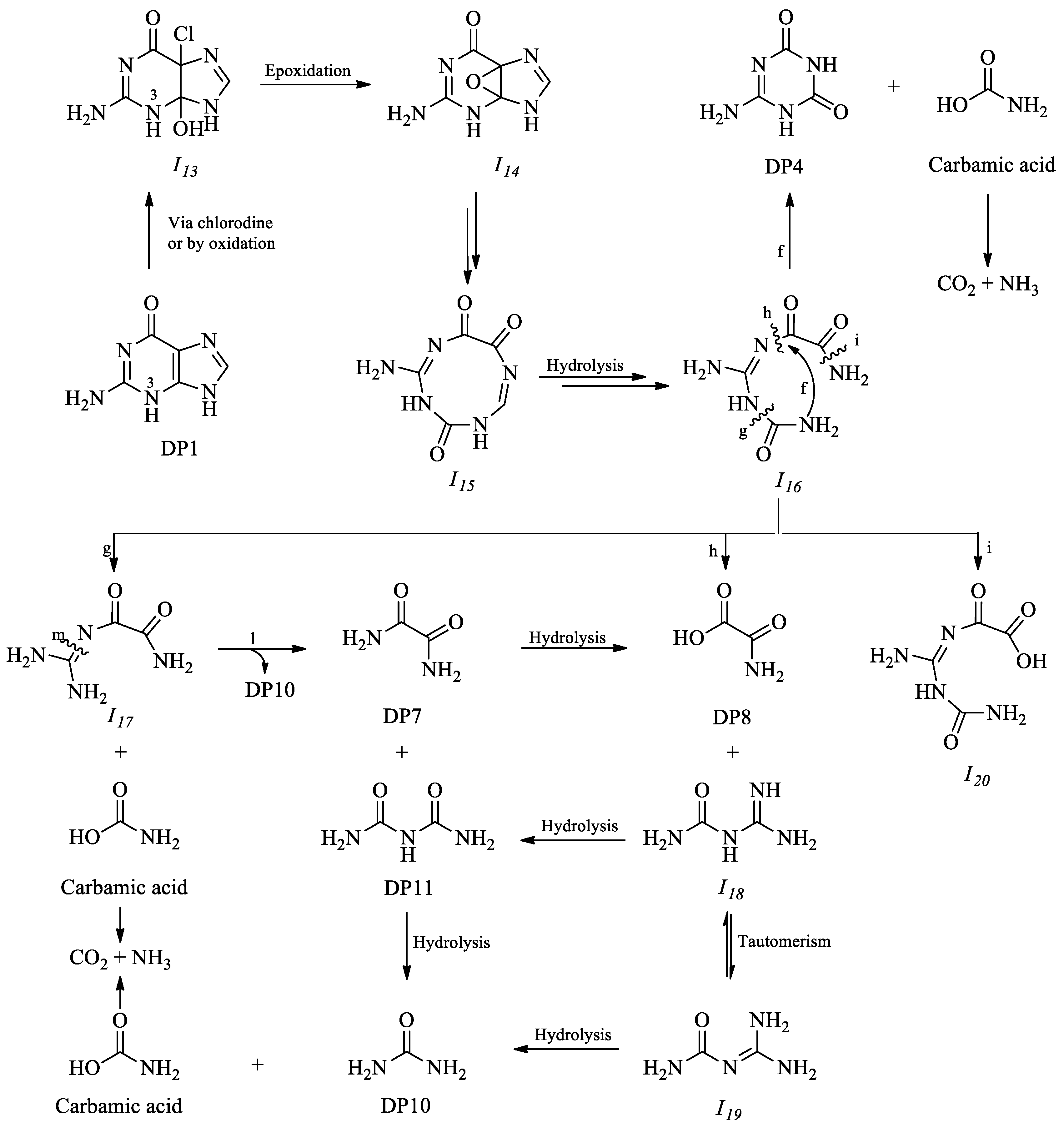
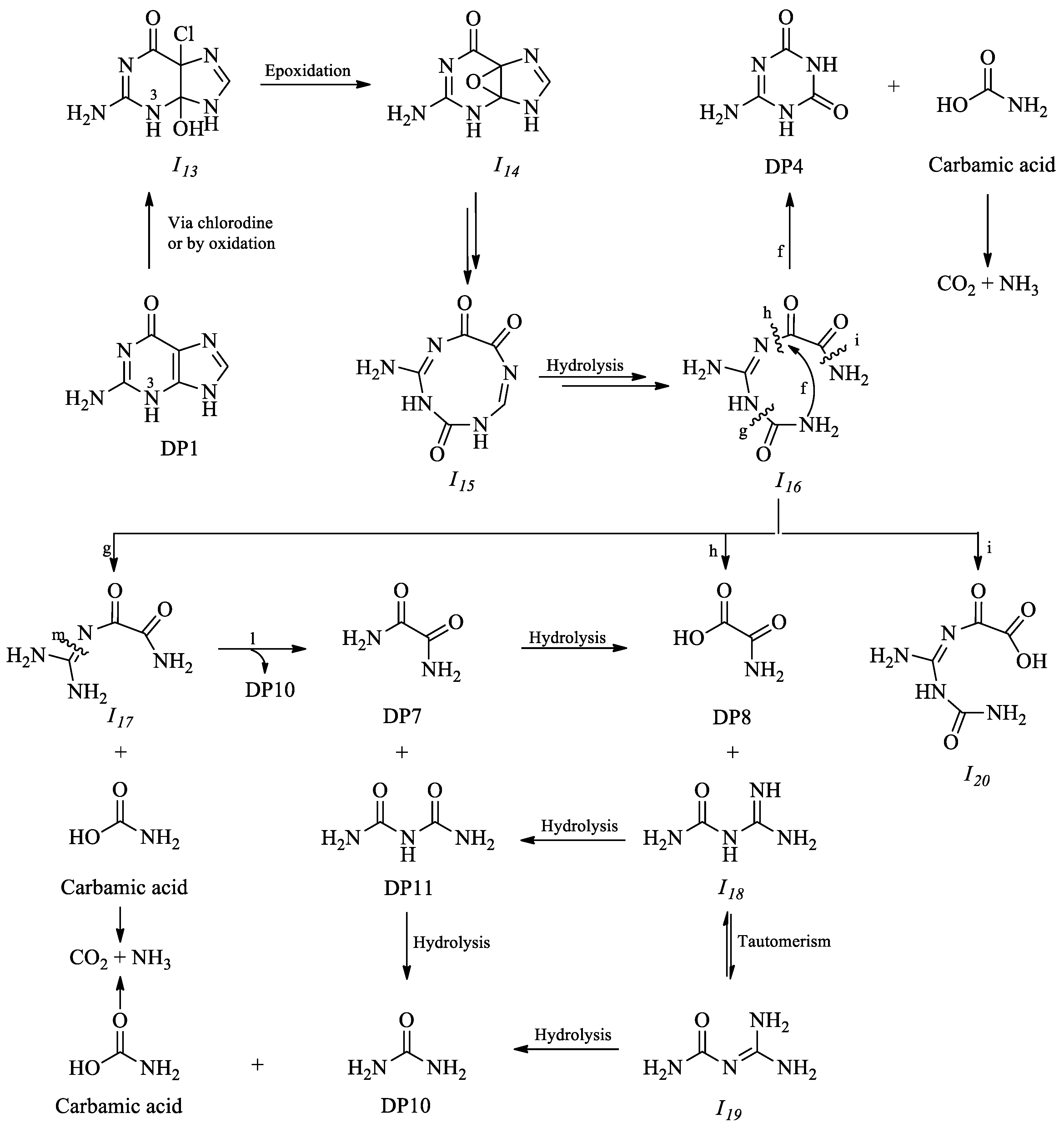
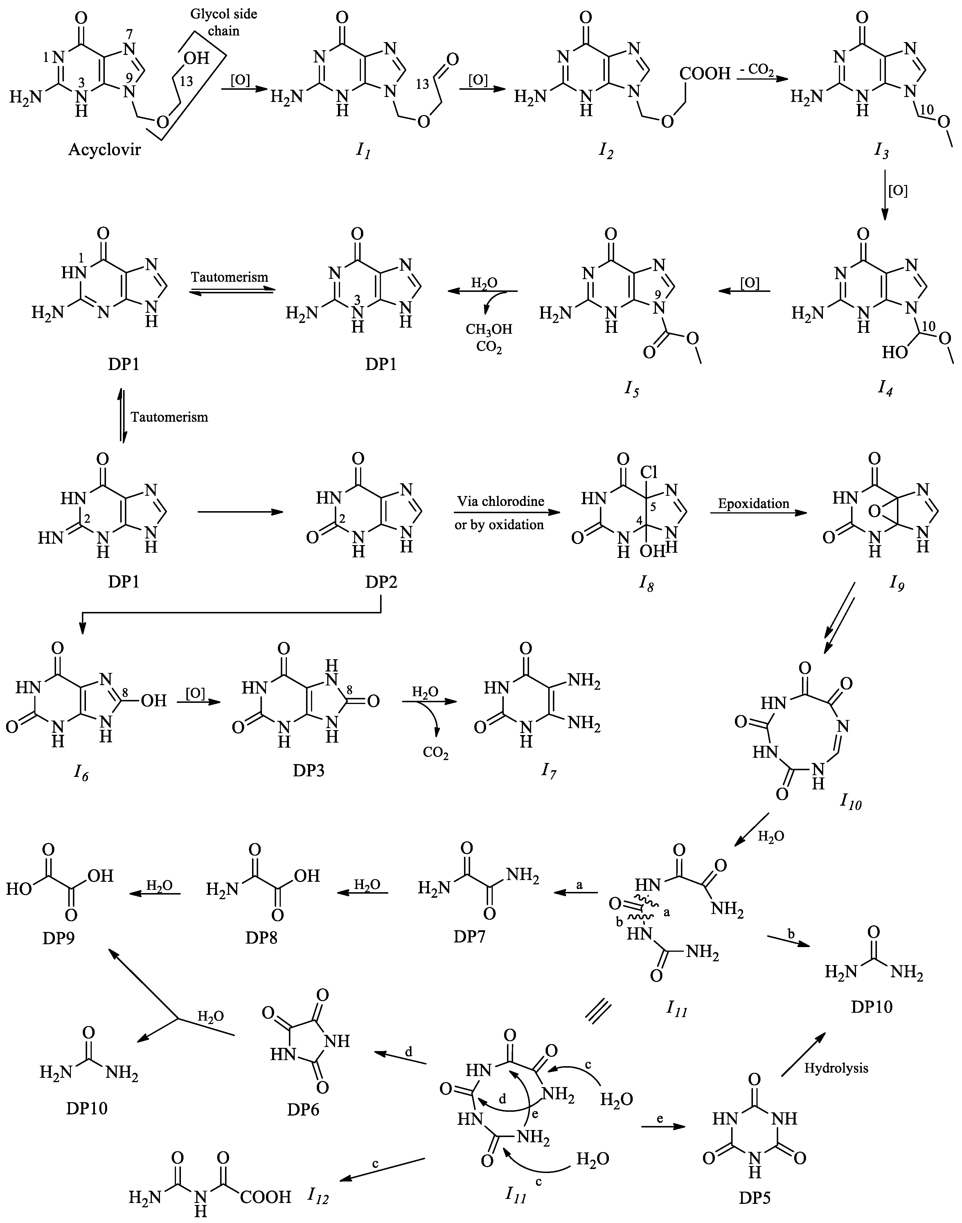
2.2. Structure Elucidation of Degradation Byproducts DP1–DP11
2.3. Spectral Data and Description of the Isolated Byproducts
2.4. Degration Using Different HOCl:ACV Ratios and in Wastewater
3. Materials and Methods
3.1. Drug and Reagents
3.2. Apparatus and Equipment
3.3. Chlorination Reaction
3.4. Product Isolation Procedure
4. Conclusions
Supplementary Materials
Author Contributions
Funding
Institutional Review Board Statement
Informed Consent Statement
Data Availability Statement
Acknowledgments
Conflicts of Interest
References
- WHO Model List of Essential Medicines 18th list (April 2013) (Final Amendments–October 2013). Available online: https://iris.who.int/bitstream/handle/10665/93142/EML_18_en?sequence=1 (accessed on 15 March 2024).
- Available online: https://nida.nih.gov/research-topics/commonly-used-drugs-charts (accessed on 15 March 2024).
- Hoyett, Z. Pharmaceuticals and Personal Care Products: Risks, Challenges, and Solutions; InTech: London, UK, 2018. [Google Scholar] [CrossRef]
- Anand, U.; Adelodun, B.; Cabreros, C.; Kumar, P.; Suresh, S.; Dey, A.; Ballesteros, F.; Bontempi, E. Occurrence, transformation, bioaccumulation, risk and analysis of pharmaceutical and personal care products from wastewater: A review. Environ. Chem. Lett. 2020, 20, 3883–3904. [Google Scholar] [CrossRef]
- More, S.J. European perspectives on efforts to reduce antimicrobial usage in food animal production. Ir. Vet. J. 2020, 73, 2. [Google Scholar] [CrossRef] [PubMed]
- Tiseo, K.; Huber, L.; Gilbert, M.; Robinson, T.P.; Van Boeckel, T.P. Global trends in antimicrobial use in food animals from 2017 to 2030. Antibiotics 2020, 9, 918. [Google Scholar] [CrossRef]
- Van Boeckel, T.P.; Brower, C.; Gilbert, M.; Grenfell, B.T.; Levin, S.A.; Robinson, T.P.; Teillant, A.; Laxminarayan, R. Global trends in antimicrobial use in food animals. Proc. Natl. Acad. Sci. USA 2015, 112, 5649–5654. [Google Scholar] [CrossRef]
- Lompo, P.; Agbobli, E.; Heroes, A.S.; Van den Poel, B.; Kühne, V.; Kpossou, C.M.G.; Zida, A.; Tinto, H.; Affolabi, B.; Jacobs, J. Bacterial contamination of antiseptics, disinfectants, and hand hygiene products used in healthcare settings in low-and middle-income countries—A systematic review. Hygiene 2023, 3, 93–124. [Google Scholar] [CrossRef]
- Broza, Y.Y.; Zhou, X.; Yuan, M.; Qu, D.; Zheng, Y.; Vishinkin, R.; Khatib, M.; Wu, W.; Haick, H. Disease detection with molecular biomarkers: From chemistry of body fluids to nature-inspired chemical sensors. Chem. Rev. 2019, 119, 11761–11817. [Google Scholar] [CrossRef] [PubMed]
- Rathi, B.S.; Kumar, P.S.; Vo, D.V.N. Critical review on hazardous pollutants in water environment: Occurrence, monitoring, fate, removal technologies and risk assessment. Sci. Total Environ. 2021, 797, 149134. [Google Scholar] [CrossRef] [PubMed]
- Available online: https://www.epa.gov/international-cooperation/persistent-organic-pollutants-global-issue-global-response (accessed on 15 March 2024).
- Jones, K.C. Persistent organic pollutants (POPs) and related chemicals in the global environment: Some personal reflections. Environ. Sci. Technol. 2021, 55, 9400–9412. [Google Scholar] [CrossRef]
- Goldan, E.; Nedeff, V.; Barsan, N.; Culea, M.; Panainte-Lehadus, M.; Mosnegutu, E.; Tomozei, C.; Chitimus, D.; Irimia, O. Assessment of manure compost used as soil amendment—A review. Processes 2023, 11, 1167. [Google Scholar] [CrossRef]
- Urra, J.; Alkorta, I.; Garbisu, C. Potential benefits and risks for soil health derived from the use of organic amendments in agriculture. Agronomy 2019, 9, 542. [Google Scholar] [CrossRef]
- Palma, D.; Parlanti, E.; Sourzac, M.; Voldoire, O.; Beauger, A.; Sleiman, M.; Richard, C. Fluorescence analysis allows to predict the oxidative capacity of humic quinones in dissolved organic matter: Implication for pollutant degradation. Environ. Chem. Lett. 2021, 19, 1857–1863. [Google Scholar] [CrossRef]
- Jain, S.; Kumar, P.; Vyas, R.K.; Pandit, P.; Dalai, A.K. Adsorption optimization of acyclovir on prepared activated carbon. Can. J. Chem. Eng. 2014, 92, 1627–1635. [Google Scholar] [CrossRef]
- Sadat Hosseini Nasr, A.; Akbarzadeh, H.; Tayebee, R. Adsorption mechanism of different acyclovir concentrations on 1–2 nm sized magnetite nanoparticles: A molecular dynamics study. J. Mol. Liq. 2018, 254, 64–69. [Google Scholar] [CrossRef]
- Russo, D.; Siciliano, A.; Guida, M.; Galdiero, E.; Amoresano, A.; Andreozzi, R.; Reis, N.M.; Li Puma, G.; Marotta, R. Photodegradation and ecotoxicology of acyclovir in water under UV254 and UV254/H2O2 processes. Water Res. 2017, 122, 591–602. [Google Scholar] [CrossRef] [PubMed]
- Palma, D.; Deganello, F.; Liotta, L.F.; La Parola, V.; Bianco Prevot, A.; Malandrino, M.; Laurenti, E.; Boffa, V.; Magnacca, G. Main Issues in the Synthesis and Testing of Thermocatalytic Ce-Doped SrFeO3 Perovskites for Wastewater Pollutant Removal. Inorganics 2023, 11, 85. [Google Scholar] [CrossRef]
- Prasse, C.; Wagner, M.; Schulz, R.; Ternes, T.A. Oxidation of the antiviral drug acyclovir and its biodegradation product carboxy acyclovir with ozone: Kinetics and identification of oxidation products. Environ. Sci. Technol. 2012, 46, 2169–2178. [Google Scholar] [CrossRef] [PubMed]
- Vallés, I.; Santos Juanes, L.; Amat, A.M.; Palma, D.; Laurenti, E.; Bianco Prevot, A.; Arques, A. Humic acids as complexing agents to drive photo-Fenton at mild pH in saline matrices: Process performance and mechanistic studies. J. Environ. Chem. Eng. 2023, 11, 111391. [Google Scholar] [CrossRef]
- Zhang, Y.; Zhu, H.; Szewzyk, U.; Lübbecke, S.; Uwe Geissen, S. Removal of emerging organic contaminants with a pilot-scale biofilter packed with natural manganese oxides. Chem. Eng. J. 2017, 317, 454–460. [Google Scholar] [CrossRef]
- Zarrelli, A.; DellaGreca, M.; Parolisi, A.; Iesce, M.R.; Cermola, F.; Temussi, F.; Isidori, M.; Lavorgna, M.; Passananti, M.; Previtera, L. Chemical fate and genotoxic risk associated with hypochlorite treatment of nicotine. Sci. Total Environ. 2012, 426, 132–138. [Google Scholar] [CrossRef]
- Romanucci, V.; Siciliano, A.; Guida, M.; Libralato, G.; Saviano, L.; Luongo, G.; Previtera, L.; Di Fabio, G.; Zarrelli, A. Disinfection by-products and ecotoxic risk associated with hypochlorite treatment of irbesartan. Sci. Total Environ. 2020, 712, 135625. [Google Scholar] [CrossRef]
- Ladhari, A.; La Mura, G.; Di Marino, C.; Di Fabio, G.; Zarrelli, A. Sartans: What They Are for, How They Degrade, Where They Are Found and How They Transform. Sustain. Chem. Pharm. 2021, 20, 100409. [Google Scholar] [CrossRef]
- Luongo, G.; Previtera, L.; Ladhari, A.; Di Fabio, G.; Zarrelli, A. Peracetic acid vs. sodium hypochlorite: Degradation and transformation of drugs in wastewater. Molecules 2020, 25, 2294. [Google Scholar] [CrossRef]
- Temussi, F.; Cermola, F.; DellaGreca, M.; Iesce, M.R.; Passananti, M.; Previtera, L.; Zarrelli, A. Determination of photostability and photodegradation products of indomethacin in aqueous media. J. Pharm. Biomed. Anal. 2011, 56, 678–683. [Google Scholar] [CrossRef] [PubMed]
- Derco, J.; Dudáš, J.; Valičková, M.; Šimovičová, K.; Kecskés, J. Removal of micropollutants by ozone-based processes. Chem. Eng. Process. 2015, 94, 78–84. [Google Scholar] [CrossRef]
- Ragab, D.; Gomaa, H.G.; Sabouni, R.; Salem, M.; Ren, M.; Zhu, J. Micropollutants removal from water using microfiltration membrane modified with ZIF-8 metal organic frameworks (MOFs). Chem. Eng. J. 2016, 300, 273–279. [Google Scholar] [CrossRef]
- Gupta, A.; Vyas, R.K.; Gupta, A.B. Occurrence of acyclovir in the aquatic environment, its removal and research perspectives: A review. J. Water Process Eng. 2021, 39, 101855. [Google Scholar] [CrossRef]
- Niedobitek, G.; Agathanggelou, A.; Steven, N.; Young, L.S. Epstein-Barr virus (EBV) in infectious mononucleosis: Detection of the virus in tonsillar B lymphocytes but not in desquamated oropharyngeal epithelial cells. Mol. Pathol. 2000, 53, 37. [Google Scholar] [CrossRef]
- O’Brien, J.J.; Campoli-Richards, D.M. Acyclovir: An updated review of its antiviral activity, pharmacokinetic properties and therapeutic efficacy. Drugs 1989, 37, 233–309. [Google Scholar] [CrossRef] [PubMed]
- Monicha, E.; Andayani, R.; Rivai, H. Review of acyclovir analysis in pharmaceutical preparations and biological matrices. World J. Pharm. Pharm. Sci. 2020, 9, 849–875. [Google Scholar]
- Wei, Y.P.; Yao, L.Y.; Wu, Y.Y.; Liu, X.; Peng, L.H.; Tian, Y.L.; Ding, J.-H.; Li, K.-H.; He, Q.G. Critical review of synthesis, toxicology and detection of acyclovir. Molecules 2021, 26, 6566. [Google Scholar] [CrossRef]
- Kłysik, K.; Pietraszek, A.; Karewicz, A.; Nowakowska, M. Acyclovir in the treatment of herpes viruses–A review. Curr. Med. Chem. 2020, 27, 4118–4137. [Google Scholar] [CrossRef] [PubMed]
- Heidary, F.; Madani, S.; Gharebaghi, R.; Asadi-Amoli, F. Acyclovir as a potential add-on treatment for COVID-19: A narrative review. SSRN Electron. J. 2021, 10, 3767875. [Google Scholar] [CrossRef]
- Akimsheva, E.Y.; Dolinina, E.S.; Parfenyuk, E.V. Interactions of sol-gel encapsulated acyclovir with silica matrix. Colloid. Surf. B Biointerfaces 2019, 178, 103–110. [Google Scholar] [CrossRef] [PubMed]
- Mascolo, G.; Balest, L.; Cassano, D.; Laera, G.; Lopez, A.; Pollice, A.; Salerno, C. Biodegradability of pharmaceutical industrial wastewater and formation of recalcitrant organic compounds during aerobic biological treatment. Bioresour. Technol. 2010, 101, 2585–2591. [Google Scholar] [CrossRef] [PubMed]
- Azuma, T.; Arima, N.; Tsukada, A.; Hirami, S.; Matsuoka, R.; Moriwake, R.; Ishiuchi, H.; Inoyama, T.; Teranishi, Y.; Yamaoka, M.; et al. Science of the total environment detection of pharmaceuticals and phytochemicals together with their metabolites in hospital effluents in Japan, and their contribution to sewage treatment plant influents. Sci. Total Environ. 2016, 548–549, 189–197. [Google Scholar] [CrossRef] [PubMed]
- Seitz, W.; Winzenbacher, R. A survey on trace organic chemicals in a German water protection area and the proposal of relevant indicators for anthropogenic influences. Environ. Monit. Assess. 2017, 6, 189–244. [Google Scholar] [CrossRef]
- Peng, X.; Wang, C.; Zhang, K.; Wang, Z.; Huang, Q.; Yu, Y.; Ou, W. Profile and behavior of antiviral drugs in aquatic environments of the Pearl River Delta, China. Sci. Total Environ. 2014, 466–467, 755–761. [Google Scholar] [CrossRef]
- Bradley, P.M.; Barber, L.B.; Duris, J.W.; Foreman, W.T.; Furlong, E.T.; Hubbard, L.E.; Hutchinson, K.J.; Keefe, S.H.; Kolpin, D.W. Riverbank filtration potential of pharmaceuticals in a wastewater-impacted stream. Environ. Pollut. 2014, 193, 173–180. [Google Scholar] [CrossRef]
- Prasse, C.; Schlüsener, M.P.; Schulz, R.; Ternes, T.A. Antiviral drugs in wastewater and surface waters: A new pharmaceutical class of environmental relevance? Environ. Sci. Technol. 2010, 44, 1728–1735. [Google Scholar] [CrossRef]
- Medici, A.; Sarakha, M.; Di Fabio, G.; Brigante, M.; Zarrelli, A. Efficient Nimesulide degradation via chlorination and sun-simulated radiation: Kinetic insights, reactive species formation, and application to real wastewater. J. Environ. Chem. Eng. 2024, 12, 113247. [Google Scholar] [CrossRef]
- Dagdu, K.V.; Gadhave, M.; Bhujbal, S.; Shrinath, B. Area under curve by UV spectrophotometric method for determination albendazole in bulk. J. Drug Deliv. Ther. 2019, 9, 47–50. [Google Scholar] [CrossRef]
- Langenfeld, N.J.; Payne, L.E.; Bugbee, B. Colorimetric determination of urea using diacetyl monoxime with strong acids. PLoS ONE 2021, 16, e0259760. [Google Scholar] [CrossRef] [PubMed]
- Hojjatie, M.M.; Abrams, D. Validation for the determination of biuret in water-soluble, urea-based commercial inorganic fertilizer materials, urea solutions, and sulfur-coated urea products by reversed-phase liquid chromatography: Single-laboratory validation of an extension of AOAC Official method SM 2003.14. J. AOAC Int. 2014, 97, 712–720. [Google Scholar] [CrossRef] [PubMed]





| DP | 1st Chlorination % * | 2nd Chlorination % * |
|---|---|---|
| ACV | ~34 | ~4 |
| 1 | 4.2 | 0.9 |
| 2 | 3.8 | 1.5 |
| 3 | 2.5 | 1.0 |
| 4 | 2.4 | 0.5 |
| 5 | 2.3 | 1.1 |
| 6 | 2.1 | 0.6 |
| 7 | 3.1 | 3.3 |
| 8 | 2.8 | 3.3 |
| 9 | 1.6 | 2.1 |
| 10 | 3.5 | 4.9 |
| 11 | 0.5 | 0.3 |
| Transformation Σ%DPs | ≥29 | ≥19 |
| DP | Name | Physical Aspect | Chemical Formula | m/z Calculated [M]+ | m/z Found [M + H]+ |
|---|---|---|---|---|---|
| ACV | 2-Amino-9-((2-hydro xyethoxy)me thyl)-3H-purin-6(9H)-one | Grey powder | C8H11N5O3 | 225.20 | 226.08 (88%) |
| DP1 | 2-Amino-3H- purin-6(9H)-one | Grey powder | C5H5N5O | 151.05 | 152.12 (55%) |
| DP2 | 1H-Purine- 2,6(3H,9H)-dione. | Grey powder | C5H4N4O2 | 152.03 | 153.13 (66%) |
| DP3 | 1H-Purine-2,6,8(3H,7H,9H)-trione | Grey powder | C5H4N4O3 | 168.03 | 169.12 (38%) |
| DP4 | 6-Amino-1,3,5-triazine-2,4(1H,3H)-dione | White powder | C3H4N4O2 | 128.03 | 129.09 (41%) |
| DP5 | 1,3,5-Triazinane- 2,4,6-trione | White powder | C3H3N3O3 | 129.02 | 130.07 (42%) |
| DP6 | Imidazolidine- 2,4,5-trione | White powder | C3H2N2O3 | 114.01 | 115.06 (51%) |
| DP7 | Oxalamide | Grey powder | C2H4N2O2 | - | - |
| DP8 | 2-Amino-2-oxoacetic acid | Grey powder | C2H3NO3 | - | - |
| DP9 | Oxalic acid | Grey powder | C2H2O4 | - | - |
| DP10 | Urea | Grey powder | CH4N2O | - | - |
| DP11 | Carbamylurea | Grey powder | C2H5N3O2 | - | - |
Disclaimer/Publisher’s Note: The statements, opinions and data contained in all publications are solely those of the individual author(s) and contributor(s) and not of MDPI and/or the editor(s). MDPI and/or the editor(s) disclaim responsibility for any injury to people or property resulting from any ideas, methods, instructions or products referred to in the content. |
© 2024 by the authors. Licensee MDPI, Basel, Switzerland. This article is an open access article distributed under the terms and conditions of the Creative Commons Attribution (CC BY) license (https://creativecommons.org/licenses/by/4.0/).
Share and Cite
Medici, A.; De Nisco, M.; Luongo, G.; Di Fabio, G.; Brigante, M.; Zarrelli, A. Degradation Acyclovir Using Sodium Hypochlorite: Focus on Byproducts Analysis, Optimal Conditions and Wastewater Application. Molecules 2024, 29, 3783. https://doi.org/10.3390/molecules29163783
Medici A, De Nisco M, Luongo G, Di Fabio G, Brigante M, Zarrelli A. Degradation Acyclovir Using Sodium Hypochlorite: Focus on Byproducts Analysis, Optimal Conditions and Wastewater Application. Molecules. 2024; 29(16):3783. https://doi.org/10.3390/molecules29163783
Chicago/Turabian StyleMedici, Antonio, Mauro De Nisco, Giovanni Luongo, Giovanni Di Fabio, Marcello Brigante, and Armando Zarrelli. 2024. "Degradation Acyclovir Using Sodium Hypochlorite: Focus on Byproducts Analysis, Optimal Conditions and Wastewater Application" Molecules 29, no. 16: 3783. https://doi.org/10.3390/molecules29163783
APA StyleMedici, A., De Nisco, M., Luongo, G., Di Fabio, G., Brigante, M., & Zarrelli, A. (2024). Degradation Acyclovir Using Sodium Hypochlorite: Focus on Byproducts Analysis, Optimal Conditions and Wastewater Application. Molecules, 29(16), 3783. https://doi.org/10.3390/molecules29163783

