Activation of Peroxymonosulfate by Co-Ni-Mo Sulfides/CNT for Organic Pollutant Degradation
Abstract
1. Introduction
2. Results and Discussion
2.1. Characterization of Catalyst
2.2. Degradation Effect of Co-Ni-Mo/CNT
2.3. Influencing Factors of Rhodamine B Degradation
2.4. Identification of ROS in Co-Ni-Mo/CNT System
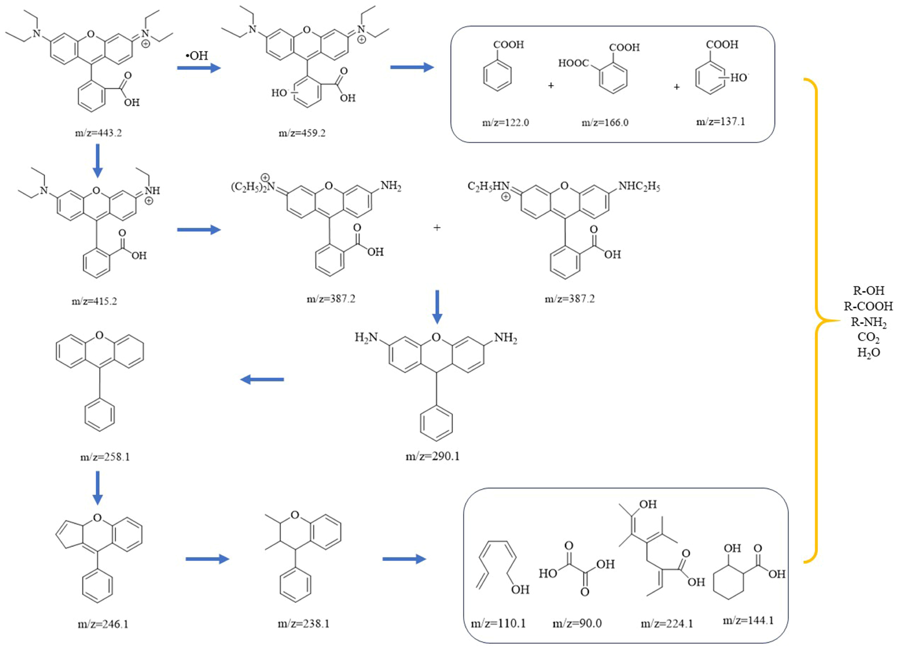
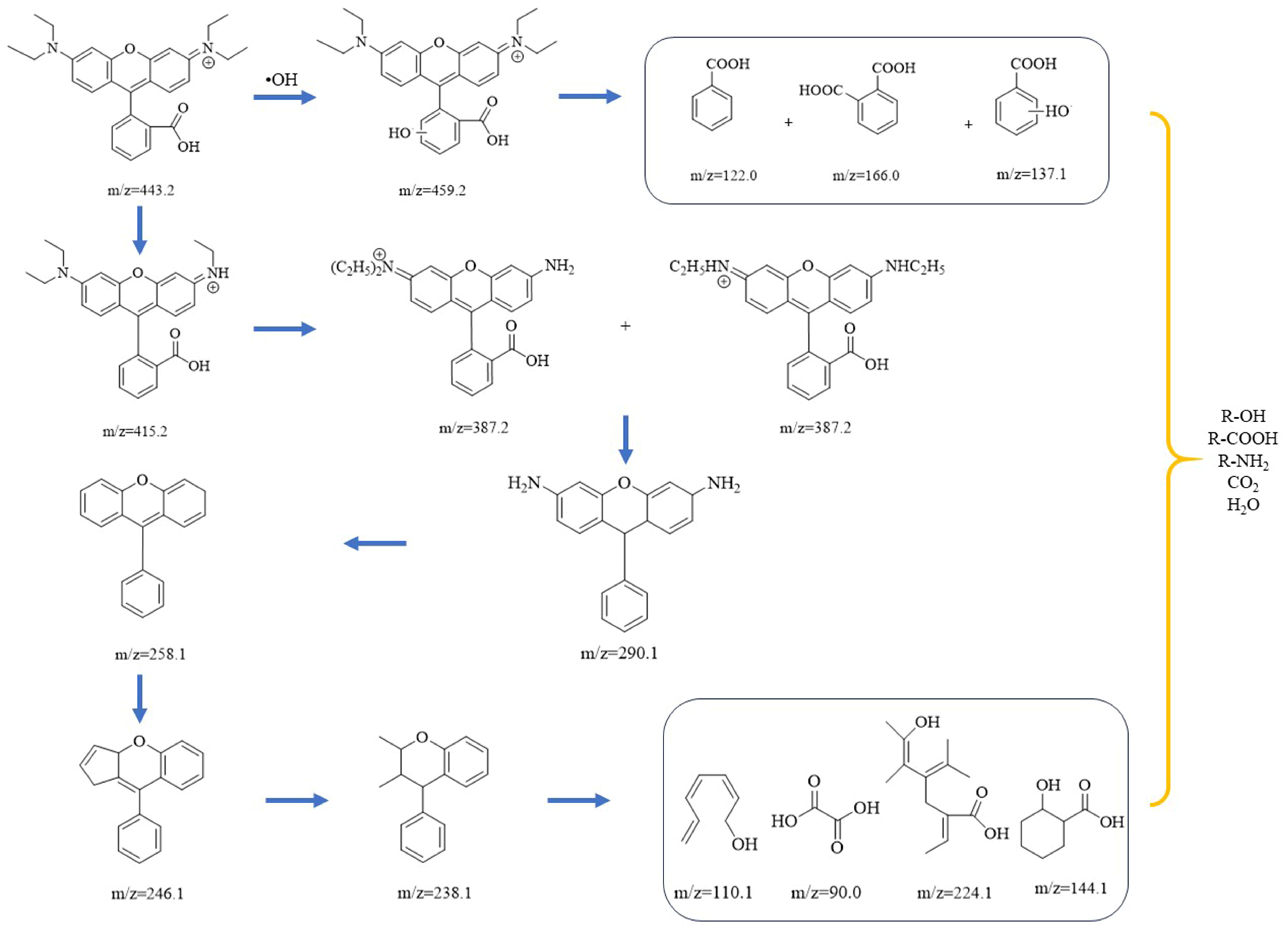
2.5. Degradation Pathway of Rhodamine B
2.6. Effect of Water Quality Matrix and Evaluation of Reusability
3. Materials and Methods
3.1. Chemicals
3.2. Preparation of Composite Materials
3.3. Characterization of Composite Materials
3.4. Degradation Process
4. Conclusions
Supplementary Materials
Author Contributions
Funding
Institutional Review Board Statement
Informed Consent Statement
Data Availability Statement
Acknowledgments
Conflicts of Interest
References
- Capodaglio, A.G. Critical Perspective on Advanced Treatment Processes for Water and Wastewater: AOPs, ARPs, and AORPs. Appl. Sci. 2020, 10, 4549. [Google Scholar] [CrossRef]
- Di, J.; Li, S.; Zhao, Z.; Huang, Y.; Jia, Y.A.; Zheng, H. Biomimetic CNT@TiO2 Composite with Enhanced Photocatalytic Properties. Chem. Eng. J. 2015, 281, 60–68. [Google Scholar] [CrossRef]
- Liu, Z.; Pan, S.; Xu, F.; Wang, Z.; Zhao, C.; Xu, X.; Gao, B.; Li, Q. Revealing the Fundamental Role of MoO2 in Promoting Efficient and Stable Activation of Persulfate by Iron Carbon Based Catalysts: Efficient Fe2+/Fe3+ Cycling to Generate Reactive Species. Water Res. 2022, 225, 119142. [Google Scholar] [CrossRef]
- Zhang, N.; Chen, J.; Fang, Z.; Pokeung, E. Ceria Accelerated Nanoscale Zerovalent Iron Assisted Heterogenous Fenton Oxidation of Tetracycline. Chem. Eng. J. 2019, 369, 588–599. [Google Scholar] [CrossRef]
- Deng, J.; Chen, Y.; Lu, Y.; Ma, X.; Feng, S. Synthesis of Magnetic CoFe2O4/Ordered Mesoporous Carbon Nanocomposites and Application in Fenton-like Oxidation of Rhodamine B. Environ. Sci. Pollut. Res. 2017, 24, 14396–14408. [Google Scholar] [CrossRef]
- Wang, C.; Shi, P.; Guo, C.; Guo, R.; Qiu, J. CuCo2O4/CF Cathode with Bifunctional and Dual Reaction Centers Exhibits High RhB Degradation in Electro-Fenton Systems. J. Electroanal. Chem. 2024, 956, 118072. [Google Scholar] [CrossRef]
- Ning, J.; Zhang, B.; Siqin, L.; Liu, G.; Wu, Q.; Shao, T.; Zhang, F.; Zhang, W.; Liu, X. Designing Advanced S-Scheme CdS QDs/La-Bi2WO6 Photocatalysts for Efficient Degradation of RhB. Exploration 2023, 3, 20230050. [Google Scholar] [CrossRef]
- Zanaty, M.; Zaki, A.H.; El-dek, S.I.; Nasser, H. Journal of Environmental Chemical Engineering Zeolitic Imidazolate Framework @ Hydrogen Titanate Nanotubes for Efficient Adsorption and Catalytic Oxidation of Organic Dyes and Microplastics. J. Environ. Chem. Eng. 2024, 12, 112547. [Google Scholar] [CrossRef]
- Soliman, A.I.A.; Abdelhamid, H.N. Hierarchical Porous Zeolitic Imidazolate Frameworks (ZIF-8) and ZnO@N-Doped Carbon for Selective Adsorption and Photocatalytic Degradation of Organic Pollutants. R. Soc. Chem. 2022, 12, 7075–7084. [Google Scholar] [CrossRef]
- Peng, Y.; Tang, H.; Yao, B.; Gao, X.; Yang, X.; Zhou, Y. Activation of Peroxymonosulfate (PMS) by Spinel Ferrite and Their Composites in Degradation of Organic Pollutants: A Review. Chem. Eng. J. 2021, 414, 128800. [Google Scholar] [CrossRef]
- Di, J.; Zhu, M.; Jamakanga, R.; Gai, X.; Li, Y.; Yang, R. Electrochemical Activation Combined with Advanced Oxidation on NiCo2O4 Nanoarray Electrode for Decomposition of Rhodamine B. J. Water Process Eng. 2020, 37, 101386. [Google Scholar] [CrossRef]
- Wang, Y.; Liu, C.; Zhang, Y.; Meng, W.; Yu, B.; Pu, S.; Yuan, D.; Qi, F.; Xu, B.; Chu, W. Sulfate Radical-Based Photo-Fenton Reaction Derived by CuBi2O4 and Its Composites with α-Bi2O3 under Visible Light Irradiation: Catalyst Fabrication, Performance and Reaction Mechanism. Appl. Catal. B Environ. 2018, 235, 264–273. [Google Scholar] [CrossRef]
- Wu, J.; Zhang, H.; Qiu, J. Degradation of Acid Orange 7 in Aqueous Solution by a Novel Electro/ Fe2+/Peroxydisulfate Process. J. Hazard. Mater. 2012, 215–216, 138–145. [Google Scholar] [CrossRef]
- Jia, Q.; Gao, Y.; Li, Y.; Fan, X.; Zhang, F.; Zhang, G.; Peng, W.; Wang, S. Cobalt Nanoparticles Embedded in N-Doped Carbon on Carbon Cloth as Free-Standing Electrodes for Electrochemically-Assisted Catalytic Oxidation of Phenol and Overall Water Splitting. Carbon N. Y. 2019, 155, 287–297. [Google Scholar] [CrossRef]
- Guo, X.; Zhu, Y.; Han, W.; Fan, X.; Li, Y.; Zhang, F.; Zhang, G.; Peng, W.; Wang, S. Nitrogen-Doped Graphene Quantum Dots Decorated Graphite Foam as Ultra-High Active Free-Standing Electrode for Electrochemical Hydrogen Evolution and Phenol Degradation. Chem. Eng. Sci. 2019, 194, 54–57. [Google Scholar] [CrossRef]
- Tsitonaki, A.; Smets, B.F.; Bjerg, P.L. Effects of Heat-Activated Persulfate Oxidation on Soil Microorganisms. Water Res. 2008, 42, 1013–1022. [Google Scholar] [CrossRef]
- Waldemer, R.H.; Tratnyek, P.G.; Johnson, R.L.; Nurmi, J.T. Oxidation of Chlorinated Ethenes by Heat-Activated Persulfate: Kinetics and Products. Environ. Sci. Technol. 2007, 41, 1010–1015. [Google Scholar] [CrossRef]
- Di, J.; Jamakanga, R.; Chen, Q.; Li, J.; Gai, X.; Li, Y.; Yang, R.; Ma, Q. Degradation of Rhodamine B by Activation of Peroxymonosulfate Using Co3O4-Rice Husk Ash Composites. Sci. Total Environ. 2021, 784, 147258. [Google Scholar] [CrossRef]
- Sheng, J.; Guo, S.; Yuan, C.; Nie, X.; Cui, P.; Jiang, H. Degradation Bensulfuron-Methyl by Magnetic CoFe Alloy@N-Doped Graphitized Carbon Derived from CoFe2O4 Activated by Peroxymonosulfate. Chem. Eng. J. 2023, 466, 143158. [Google Scholar] [CrossRef]
- Xu, X.; Li, Y.; Zhang, G.; Yang, F.; He, P. NiO-NiFe2O4-RGO Magnetic Nanomaterials for Activated Peroxymonosulfate Degradation of Rhodamine B. Water 2019, 11, 384. [Google Scholar] [CrossRef]
- Jin, Z.; Li, Q.; Tang, P.; Li, G.; Liu, L.; Chen, D.; Wu, J.; Chai, Z.; Huang, G.; Chen, X. Copper-Doped Carbon Dots with Enhanced Fenton Reaction Activity for Rhodamine B Degradation. Nanoscale Adv. 2022, 4, 3073–3082. [Google Scholar] [CrossRef]
- Zhou, H.; Lai, L.; Wan, Y.; He, Y.; Yao, G.; Lai, B. Molybdenum Disulfide (MoS2): A Versatile Activator of Both Peroxymonosulfate and Persulfate for the Degradation of Carbamazepine. Chem. Eng. J. 2020, 384, 123264. [Google Scholar] [CrossRef]
- Sun, Y.; Li, H.; Zhang, S.; Hua, M.; Qian, J.; Pan, B. Revisiting the Heterogeneous Peroxymonosulfate Activation by MoS2: A Surface Mo-Peroxymonosulfate Complex as the Major Reactive Species. ACS Environ. Sci. Technol. Water 2022, 2, 376–384. [Google Scholar] [CrossRef]
- Pan, C.; Fu, L.; Ding, Y.; Peng, X.; Mao, Q. Homogeneous Catalytic Activation of Peroxymonosulfate and Heterogeneous Reductive Regeneration of Co2+ by MoS2: The Pivotal Role of PH. Sci. Total Environ. 2020, 712, 136447. [Google Scholar] [CrossRef]
- Chen, Y.; Zhang, G.; Ji, Q.; Liu, H.; Qu, J. Triggering of Low-Valence Molybdenum in Multiphasic MoS2 for Effective Reactive Oxygen Species Output in Catalytic Fenton-like Reactions. ACS Appl. Mater. Interfaces 2019, 11, 26781–26788. [Google Scholar] [CrossRef]
- Sheng, B.; Yang, F.; Wang, Y.; Wang, Z.; Li, Q.; Guo, Y.; Lou, X.; Liu, J. Pivotal Roles of MoS2 in Boosting Catalytic Degradation of Aqueous Organic Pollutants by Fe(II)/PMS. Chem. Eng. J. 2019, 375, 121989. [Google Scholar] [CrossRef]
- Xing, M.; Xu, W.; Dong, C.; Bai, Y.; Zeng, J.; Zhou, Y.; Zhang, J.; Yin, Y. Metal Sulfides as Excellent Co-Catalysts for H2O2 Decomposition in Advanced Oxidation Processes. Chem 2018, 4, 1359–1372. [Google Scholar] [CrossRef]
- You, Y.; He, Z. Phenol Degradation in Iron-Based Advanced Oxidation Processes through Ferric Reduction Assisted by Molybdenum Disulfide. Chemosphere 2023, 312, 137278. [Google Scholar] [CrossRef]
- Yi, C.; He, Z.; Hu, Y.; Liang, D.; Zhang, Y.; Chen, Y. FeOOH@MoS2 as a Highly Effective and Stable Activator of Peroxymonosulfate-Based Advanced Oxidation Processes for Pollutant Degradation. Surf. Interfaces 2021, 27, 101465. [Google Scholar] [CrossRef]
- Zhao, Q.M.; Jiang, H.; Wang, Z. Electrochemical-Enhanced MoS2/Fe3O4 Peroxymonosulfate (E/ MoS2/Fe3O4/PMS) for Degradation of Sulfamerazine. Chemosphere 2022, 307, 136198. [Google Scholar] [CrossRef]
- Chen, X.; Liu, L. PMS Activation over MoS2/Co0.75Mo3S3.75 for RhB Pollutant Oxidation Removal in Fuel Cell System. J. Environ. Chem. Eng. 2022, 10, 107449. [Google Scholar] [CrossRef]
- Peng, X.; Yang, Z.; Hu, F.; Tan, C.; Pan, Q.; Dai, H. Mechanistic Investigation of Rapid Catalytic Degradation of Tetracycline Using CoFe2O4@MoS2 by Activation of Peroxymonosulfate. Sep. Purif. Technol. 2022, 287, 120525. [Google Scholar] [CrossRef]
- Bai, R.; Yan, W.; Xiao, Y.; Wang, S.; Tian, X.; Li, J.; Xiao, X.; Lu, X.; Zhao, F. Acceleration of Peroxymonosulfate Decomposition by a Magnetic MoS2/CuFe2O4 Heterogeneous Catalyst for Rapid Degradation of Fluoxetine. Chem. Eng. J. 2020, 397, 125501. [Google Scholar] [CrossRef]
- Yu, F.; Zhu, F.; Zhang, H.; Komarneni, S.; Ma, J. Efficient Activation of K2S2O8 by MoS2-ZnFe2O4 Composite for the Rapid Degradation of Tetracycline. Mater. Lett. 2022, 318, 132204. [Google Scholar] [CrossRef]
- Liu, Y.R.; Hu, W.H.; Li, X.; Dong, B.; Shang, X.; Han, G.Q.; Chai, Y.M.; Liu, Y.Q.; Liu, C.G. Facile One-Pot Synthesis of CoS2-MoS2 /CNTs as Efficient Electrocatalyst for Hydrogen Evolution Reaction. Appl. Surf. Sci. 2016, 384, 51–57. [Google Scholar] [CrossRef]
- Zhang, H.; Li, Y.; Xu, T.; Wang, J.; Huo, Z.; Wan, P.; Sun, X. Amorphous Co-Doped MoS2 Nanosheet Coated Metallic CoS2 Nanocubes as an Excellent Electrocatalyst for Hydrogen Evolution. J. Mater. Chem. A 2015, 3, 15020–15023. [Google Scholar] [CrossRef]
- Yuan, G.; Wang, G.; Wang, H.; Bai, J. Half-Cell and Full-Cell Investigations of 3D Hierarchical MoS2/Graphene Composite on Anode Performance in Lithium-Ion Batteries. J. Alloys Compd. 2016, 660, 62–72. [Google Scholar] [CrossRef]
- Musajan, Z.; Xiao, P. Facile Fabrication of Mesoporous Carbon-Anchored Cobalt Ferrite Nanoparticles as a Heterogeneous Activator of Peroxymonosulfate for Efficient Degradation of Congo Red. Environ. Sci. Pollut. Res. 2023, 30, 48088–48106. [Google Scholar] [CrossRef]
- Wang, Q.; Ren, F.; Dong, H.; Wang, Y. Novel (1×1)-Reconstructions and Native Defects of TiO2 Anatase (101) Surface. Appl. Surf. Sci. 2017, 405, 205–208. [Google Scholar] [CrossRef]
- Hossain, S.A.; Sugahara, Y.; Yamauchi, Y. Mesoporous Iron-Doped MoS2/CoMo2S4 Heterostructures through Organic—Metal Cooperative Interactions on Spherical Micelles for Electrochemical Water Splitting. ACS Nano 2020, 14, 4141–4152. [Google Scholar] [CrossRef]
- Kumaran, Y.; Maiyalagan, T.; Yi, S.C. An Efficient CoMoS2 Nanosheets on Nitrogen, Sulfur Dual Doped Reduced Graphene Oxide as an Electrocatalyst for the Hydrogen Evolution Reaction. Int. J. Energy Res. 2021, 45, 17397–17407. [Google Scholar] [CrossRef]
- Yang, M.; Jiang, Y.; Qu, M.; Qin, Y.; Wang, Y.; Shen, W.; He, R.; Su, W.; Li, M. Strong Electronic Couple Engineering of Transition Metal Phosphides-Oxides Heterostructures as Multifunctional Electrocatalyst for Hydrogen Production. Appl. Catal. B Environ. 2020, 269, 118803. [Google Scholar] [CrossRef]
- Liu, Y.; Jiang, S.; Li, S.; Zhou, L.; Li, Z.; Li, J.; Shao, M. Interface Engineering of (Ni, Fe)S2@MoS2 Heterostructures for Synergetic Electrochemical Water Splitting. Appl. Catal. B Environ. 2019, 247, 107–114. [Google Scholar] [CrossRef]
- Zhang, Y.; Guo, H.; Song, M.; Qiu, Z.; Wang, S.; Sun, L. Hierarchical Interfaces Engineering-Driven of the CoS2/MoS2/Ni3S2/NF Electrode for High-Efficient and Stable Oxygen Evolution and Urea Oxidation Reactions. Appl. Surf. Sci. 2023, 617, 156621. [Google Scholar] [CrossRef]
- Xue, Z.; Yang, C.; Tao, K.; Han, L. Heterostructure of Metal–Organic Framework-Derived Straw-Bundle-like CeO2 Decorated with (Ni, Co)3S4 Nanosheets for High-Performance Supercapacitor. Appl. Surf. Sci. 2022, 592, 153231. [Google Scholar] [CrossRef]
- Liu, G.; Liu, Y.; Chen, D.; Wang, C.; Guan, W. Activation of Peroxymonosulfate by Co-Mg-Fe Layered Doubled Hydroxide for Efficient Degradation of Rhodamine B. Environ. Sci. Pollut. Res. 2023, 30, 37634–37645. [Google Scholar] [CrossRef]
- Wang, Z.; Yang, L.; Shan, Z.; Tang, L.; Chen, C.; Lan, Y.; Li, W. Fabrication of Magnetic Cobalt-iron Composite Moored on Carbon Derived from Cigarette Butts (Co–Fe@CCB) for Peroxymonosulfate Activation to Efficiently Degrade Rhodamine B. J. Water Process Eng. 2023, 53, 103845. [Google Scholar] [CrossRef]
- Chen, X.; Zhou, J.; Yang, H.; Wang, H.; Li, H.; Wu, S.; Yang, W. PMS Activation by Magnetic Cobalt-N-Doped Carbon Composite for Ultra-Efficient Degradation of Refractory Organic Pollutant: Mechanisms and Identification of Intermediates. Chemosphere 2022, 287, 132074. [Google Scholar] [CrossRef]
- Liu, H.; Deng, S.; Xu, J.; Liu, L.; Chen, C.; Lan, Y.; Li, Y.; Li, W. Rapid Removal of High-Concentration Rhodamine B by Peroxymonosulfate Activated with Co3O4-Fe3O4 Composite Loaded on Rice Straw Biochar. Environ. Sci. Pollut. Res. 2022, 30, 37646–37658. [Google Scholar] [CrossRef]
- Cao, J.; Sun, S.; Li, X.; Yang, Z.; Xiong, W.; Wu, Y.; Jia, M.; Zhou, Y.; Zhou, C.; Zhang, Y. Efficient Charge Transfer in Aluminum-Cobalt Layered Double Hydroxide Derived from Co-ZIF for Enhanced Catalytic Degradation of Tetracycline through Perox- Ymonosulfate Activation. Chem. Eng. J. 2020, 382, 122802. [Google Scholar] [CrossRef]
- Nguyen, T.B.; Le, V.R.; Huang, C.P.; Chen, C.W.; Chen, L.; Dong, C. Di Construction of Ternary NiCo2O4/MnOOH/GO Composite for Peroxymonosulfate Activation with Enhanced Catalytic Activity toward Ciprofloxacin Degradation. Chem. Eng. J. 2022, 446, 137326. [Google Scholar] [CrossRef]
- Kanakaraju, D.; Motti, C.A.; Glass, B.D.; Oelgemöller, M. TiO2 Photocatalysis of Naproxen: Effect of the Water Matrix, Anions and Diclofenac on Degradation Rates. Chemosphere 2015, 139, 579–588. [Google Scholar] [CrossRef]
- Yuan, R.; Hu, L.; Yu, P.; Wang, H.; Wang, Z.; Fang, J. Nanostructured Co3O4 Grown on Nickel Foam: An Efficient and Readily Recyclable 3D Catalyst for Heterogeneous Peroxymonosulfate Activation. Chemosphere 2018, 198, 204–215. [Google Scholar] [CrossRef]
- Abdul Nasir Khan, M.; Kwame Klu, P.; Wang, C.; Zhang, W.; Luo, R.; Zhang, M.; Qi, J.; Sun, X.; Wang, L.; Li, J. Metal-Organic Framework-Derived Hollow Co3O4/Carbon as Efficient Catalyst for Peroxymonosulfate Activation. Chem. Eng. J. 2019, 363, 234–246. [Google Scholar] [CrossRef]
- Su, S.; Guo, W.; Leng, Y.; Yi, C.; Ma, Z. Heterogeneous Activation of Oxone by CoxFe3−xO4 Nanocatalysts for Degradation of Rhodamine B. J. Hazard. Mater. 2013, 244–245, 736–742. [Google Scholar]
- Shi, X.; Hong, P.; Huang, H.; Yang, D.; Zhang, K.; He, J.; Li, Y.; Wu, Z.; Xie, C.; Liu, J.; et al. Enhanced Peroxymonosulfate Activation by Hierarchical Porous Fe3O4/Co3S4 Nanosheets for Efficient Elimination of Rhodamine B: Mechanisms, Degradation Pathways and Toxicological Analysis. J. Colloid Interface Sci. 2022, 610, 751–765. [Google Scholar] [CrossRef]
- Yang, S.; Duan, X.; Liu, J.; Wu, P.; Li, C.; Dong, X.; Zhu, N.; Dionysiou, D.D. Efficient Peroxymonosulfate Activation and Bisphenol A Degradation Derived from Mineral-Carbon Materials: Key Role of Double Mineral-Templates. Appl. Catal. B Environ. 2020, 267, 118701. [Google Scholar] [CrossRef]
- Ren, Y.; Lin, L.; Ma, J.; Yang, J.; Feng, J.; Fan, Z. Sulfate Radicals Induced from Peroxymonosulfate by Magnetic Ferrospinel MFe2O4 (M=Co, Cu, Mn, and Zn) as Heterogeneous Catalysts in the Water. Appl. Catal. B Environ. 2015, 165, 572–578. [Google Scholar] [CrossRef]
- Qin, J.F.; Yang, M.; Chen, T.S.; Dong, B.; Hou, S.; Ma, X.; Zhou, Y.N.; Yang, X.L.; Nan, J.; Chai, Y.M. Ternary Metal Sulfides MoCoNiS Derived from Metal Organic Frameworks for Efficient Oxygen Evolution. Int. J. Hydrogen Energy 2020, 45, 2745–2753. [Google Scholar] [CrossRef]
- Xu, H.; Wang, D.; Ma, J.; Zhang, T.; Lu, X.; Chen, Z. A Superior Active and Stable Spinel Sulfide for Catalytic Peroxymonosulfate Oxidation of Bisphenol S. Appl. Catal. B Environ. 2018, 238, 557–567. [Google Scholar] [CrossRef]
- Chow, P.K.; Singh, E.; Viana, B.C.; Gao, J.; Luo, J.; Li, J.; Lin, Z.; Elías, A.L.; Shi, Y.; Wang, Z.; et al. Wetting of Mono and Few-Layered WS2 and MoS2 Films Supported on Si/SiO2 Substrates. ACS Nano 2015, 9, 3023–3031. [Google Scholar] [CrossRef]
- Hoang, A.T.; Nižetić, S.; Duong, X.Q.; Rowinski, L.; Nguyen, X.P. Advanced Super-Hydrophobic Polymer-Based Porous Absorbents for the Treatment of Oil-Polluted Water. Chemosphere 2021, 277, 130274. [Google Scholar] [CrossRef]
- Li, S.; Chen, X.; Li, M.; Xue, C.; Long, Y.; Liu, W.; Cao, Z.; Tong, X.; Huang, W.; Liu, D. Hollow Co3S4 Polyhedron Decorated with Interlayer-Expanded MoS2 Nanosheets for Efficient Tetracycline Removal from Aqueous Solution. Chem. Eng. J. 2022, 441, 136006. [Google Scholar] [CrossRef]
- Yun, E.T.; Moon, G.H.; Lee, H.; Jeon, T.H.; Lee, C.; Choi, W.; Lee, J. Oxidation of Organic Pollutants by Peroxymonosulfate Activated with Low-Temperature-Modified Nanodiamonds: Understanding the Reaction Kinetics and Mechanism. Appl. Catal. B Environ. 2018, 237, 432–441. [Google Scholar] [CrossRef]
- Yao, Y.; Lian, C.; Wu, G.; Hu, Y.; Wei, F.; Yu, M.; Wang, S. Synthesis of “Sea Urchin”-like Carbon Nanotubes/Porous Carbon Superstructures Derived from Waste Biomass for Treatment of Various Contaminants. Appl. Catal. B Environ. 2017, 219, 563–571. [Google Scholar] [CrossRef]
- Wei, C.; Song, B.; Yuan, J.; Feng, Z.; Jia, G.; Li, C. Luminescence and Raman Spectroscopic Studies on the Damage of Tryptophan, Histidine and Carnosine by Singlet Oxygen. J. Photochem. Photobiol. A Chem. 2007, 189, 39–45. [Google Scholar] [CrossRef]
- Zhang, Y.; Zhou, J.; Cai, W.; Zhou, J.; Li, Z. Enhanced Photocatalytic Performance and Degradation Pathway of Rhodamine B over Hierarchical Double-Shelled Zinc Nickel Oxide Hollow Sphere Heterojunction. Appl. Surf. Sci. 2017, 430, 549–560. [Google Scholar] [CrossRef]
- Wu, Y.; Cai, S.; Lu, L.; Zhang, L.; Cheng, F.; Muddassir, M. Photocatalytic Performance and Mechanism of Rhodamine B with Two New Zn(II)-Based Coordination Polymers under UV-Light. J. Mol. Struct. 2022, 1249, 131681. [Google Scholar] [CrossRef]
- Ren, Y.; Wang, J.; Qu, G.; Ren, N.; Lu, P.; Chen, X.; Wang, Z.; Yang, Y.; Hu, Y. Study on the Mechanism of High Effective Mineralization of Rhodamine B in Three Dimensional Electrochemical System with γ-Fe2O3 @ CNTs Particle Electrodes. Sep. Purif. Technol. 2023, 314, 123616. [Google Scholar] [CrossRef]
- Chen, Y.; Wu, C.; Xie, H.; Den, Z.; Liu, Y.; Zhang, Y.; Huang, Z.; Hu, H.; Gan, T. Fe-Co/Fe3C Dual Active Sites Catalysts Supported on Nitrogen-Doped Graphitic Carbon for Ultrafast Degradation of High Concentration Rhodamine B. J. Alloys Compd. 2023, 963, 171220. [Google Scholar] [CrossRef]
- Yang, J.C.E.; Zhu, M.P.; Duan, X.; Wang, S.; Yuan, B.; Fu, M.L. The Mechanistic Difference of 1T-2H MoS2 Homojunctions in Persulfates Activation: Structure-Dependent Oxidation Pathways. Appl. Catal. B Environ. 2021, 297, 120460. [Google Scholar] [CrossRef]
- Nie, C.; Wang, J.; Cai, B.; Lai, B.; Wang, S.; Ao, Z. Multifunctional Roles of MoS2 in Persulfate-Based Advanced Oxidation Processes for Eliminating Aqueous Organic Pollutants: A Review. Appl. Catal. B Environ. 2024, 340, 123173. [Google Scholar] [CrossRef]
- Liu, H.; Tian, Z.; Huang, C.; Wang, P.; Huang, S.; Yang, X.; Cheng, H.; Zheng, X.; Tian, H.; Liu, Z. A Novel 3D Co/Mo Co-Catalyzed Graphene Sponge-Mediated Peroxymonosulfate Activation for the Highly Efficient Pollutants Degradation. Sep. Purif. Technol. 2022, 301, 122035. [Google Scholar] [CrossRef]
- Sun, H.; Kwan, C.K.; Suvorova, A.; Ang, H.M.; Tadé, M.O.; Wang, S. Catalytic Oxidation of Organic Pollutants on Pristine and Surface Nitrogen-Modified Carbon Nanotubes with Sulfate Radicals. Appl. Catal. B Environ. 2014, 154–155, 134–141. [Google Scholar] [CrossRef]
- Dan, J.; Rao, P.; Wang, Q.; Dong, L.; Chu, W.; Zhang, M.; He, Z.; Gao, N.; Deng, J.; Chen, J. MgO-Supported CuO with Encapsulated Structure for Enhanced Peroxymonosulfate Activation to Remove Thiamphenicol. Sep. Purif. Technol. 2022, 280, 119782. [Google Scholar] [CrossRef]
- Li, C.; Wu, J.; Peng, W.; Fang, Z.; Liu, J. Peroxymonosulfate Activation for Efficient Sulfamethoxazole Degradation by Fe3O4/β-FeOOH Nanocomposites: Coexistence of Radical and Non-Radical Reactions. Chem. Eng. J. 2019, 356, 904–914. [Google Scholar] [CrossRef]
- Lu, J.; Zhou, Y.; Zhou, Y. Efficiently Activate Peroxymonosulfate by Fe3O4@MoS2 for Rapid Degradation of Sulfonamides. Chem. Eng. J. 2021, 422, 130126. [Google Scholar] [CrossRef]
- Gong, C.; Chen, F.; Yang, Q.; Luo, K.; Yao, F.; Wang, S.; Wang, X.; Wu, J.; Li, X.; Wang, D.; et al. Heterogeneous Activation of Peroxymonosulfate by Fe-Co Layered Doubled Hydroxide for Efficient Catalytic Degradation of Rhoadmine B. Chem. Eng. J. 2017, 321, 222–232. [Google Scholar] [CrossRef]











| Catalyst | PMS Concentration | Dye Concentration | Catalyst Dosages | Degradation Rate | Reference |
|---|---|---|---|---|---|
| CoFe2O4/OMC | 1.5 mM | 100 mg/L | 0.05 g/L | Almost complete degradation @ 100 min | [5] |
| CoMgFe-LDH | 1.2 mM | 90 μM | 0.8 g/L | 94.3% @ 10 min | [46] |
| CoFe@CCB | 0.3 mM | 50 mg/L | 0.04 g/L | 99% @ 15 min | [47] |
| Co-NC-x | 0.025 mM | 80 mg/L | 0.8 g/L | 25% @ 8 min | [48] |
| MoS2/Co0.75 Mo3S3.75 | 0.06 mM | 50 mg/L | 0.3 g/L | 21% @ 98 min | [31] |
| Co3O4-Fe3O4 | 0.5 mM | 180 mg/L | 0.1 g/L | 98% @ 15 min | [49] |
| Co-Ni-Mo/CNT | 2g/L | 100 mg/L | 0.1 g/L | Almost complete degradation @ 20 min | This study |
Disclaimer/Publisher’s Note: The statements, opinions and data contained in all publications are solely those of the individual author(s) and contributor(s) and not of MDPI and/or the editor(s). MDPI and/or the editor(s) disclaim responsibility for any injury to people or property resulting from any ideas, methods, instructions or products referred to in the content. |
© 2024 by the authors. Licensee MDPI, Basel, Switzerland. This article is an open access article distributed under the terms and conditions of the Creative Commons Attribution (CC BY) license (https://creativecommons.org/licenses/by/4.0/).
Share and Cite
You, S.; Di, J.; Zhang, T.; Chen, Y.; Yang, R.; Gao, Y.; Li, Y.; Gai, X. Activation of Peroxymonosulfate by Co-Ni-Mo Sulfides/CNT for Organic Pollutant Degradation. Molecules 2024, 29, 3633. https://doi.org/10.3390/molecules29153633
You S, Di J, Zhang T, Chen Y, Yang R, Gao Y, Li Y, Gai X. Activation of Peroxymonosulfate by Co-Ni-Mo Sulfides/CNT for Organic Pollutant Degradation. Molecules. 2024; 29(15):3633. https://doi.org/10.3390/molecules29153633
Chicago/Turabian StyleYou, Shihao, Jing Di, Tao Zhang, Yufeng Chen, Ruiqin Yang, Yesong Gao, Yin Li, and Xikun Gai. 2024. "Activation of Peroxymonosulfate by Co-Ni-Mo Sulfides/CNT for Organic Pollutant Degradation" Molecules 29, no. 15: 3633. https://doi.org/10.3390/molecules29153633
APA StyleYou, S., Di, J., Zhang, T., Chen, Y., Yang, R., Gao, Y., Li, Y., & Gai, X. (2024). Activation of Peroxymonosulfate by Co-Ni-Mo Sulfides/CNT for Organic Pollutant Degradation. Molecules, 29(15), 3633. https://doi.org/10.3390/molecules29153633
