Antimicrobial Plants Used by Fang Populations and Phytochemical Profiling of Erismadelphus exsul
Abstract
1. Introduction
2. Results
- I.
- Diseases associated with infections: urinary tract infections, pneumoniae, gastrointestinal disorder, diarrhea, chronic diarrhea, malaria, pulmonary infection, anti-poison, dysentery, mycosis, ringworms, gonorrhea, body and mouth odor, sexual weaknesses, and sexual infections;
- II.
- Diseases associated with skin: eczema, wounds, and burns;
- III.
- Diseases related to digestive problems: hemorrhoids, abdominal pain, constipation, ulcers, and stomach pain;
- IV.
- Diseases associated with infertility: male infertility, female infertility, fallopian tube obstruction in women, and clogged trumpets;
- V.
- Diseases associated with fever and coughs: bronchitis, cough, chronic cough, rheumatism, and fever.
2.1. Identified Plants: Parts Used and Method of Preparation of Recipes
2.2. Molecular Networks of Erismadelphus exsul Leaf Extracts
2.3. Antioxidant Activity
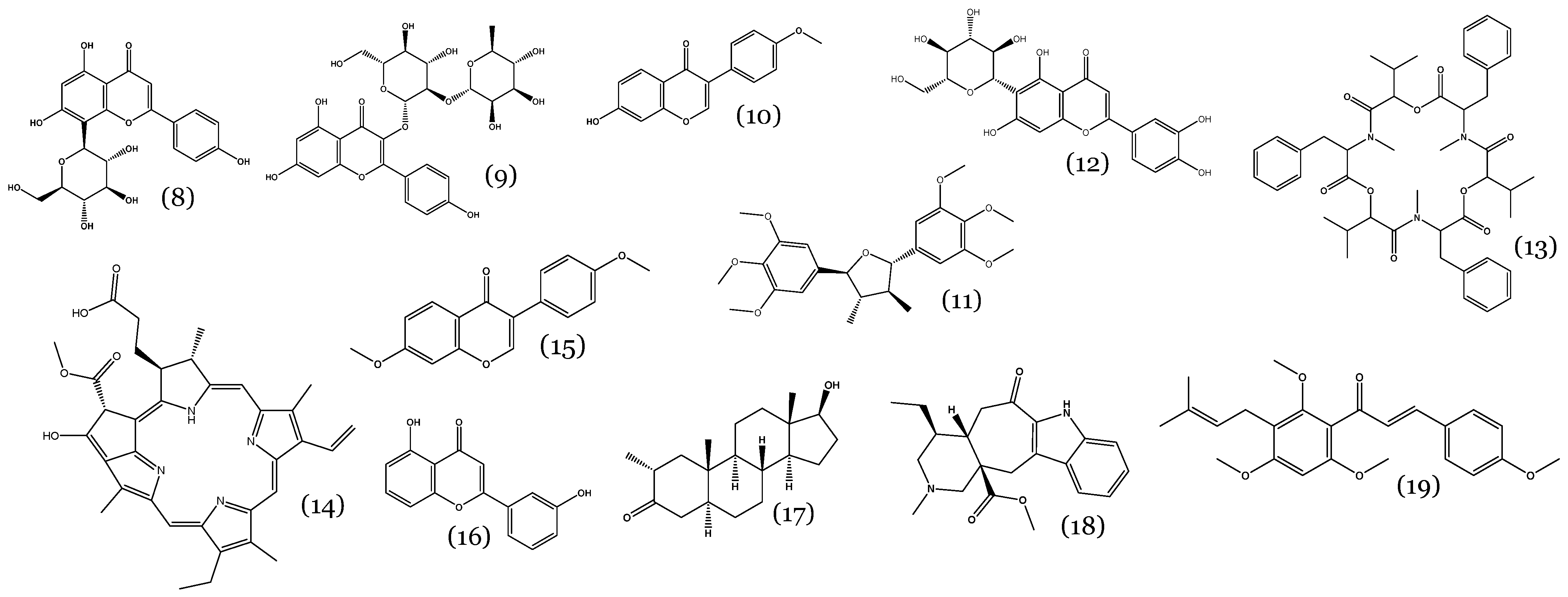
2.4. Identification of Antioxidant Molecules in Ethanolic Crude Extract
2.5. Antimicrobial Activity
2.6. Cytotoxicity of Crude Leaf and Bark Extracts of Erismadelphus exsul
3. Discussion
4. Materials and Methods
4.1. Study Area
4.2. Ethnopharmacological Survey
4.3. Collection and Species Identification
4.4. Quantitative Analysis of Ethnopharmacological Data
4.5. Extraction and Fractionation
4.6. Data-Dependent LC-HR-ESI-MS2 Analysis
4.7. Molecular Networking Parameters
4.8. Antioxidant Activity: FRAP and DPPH Assays
4.9. Bacterial Germs Tested
4.10. Antibacterial Test
4.11. Cell Culture
4.12. CCK-8 Cell Viability Assays
5. Conclusions
Author Contributions
Funding
Institutional Review Board Statement
Informed Consent Statement
Data Availability Statement
Conflicts of Interest
References
- Chen, X.; Li, H.; Lucero-Prisno, D.E.; Abdullah, A.S.; Huang, J.; Laurence, C.; Liang, X.; Ma, Z.; Mao, Z.; Ren, R.; et al. What Is Global Health? Key Concepts and Clarification of Misperceptions: Report of the 2019 GHRP Editorial Meeting. Glob. Health Res. Policy 2020, 5, 14. [Google Scholar] [CrossRef] [PubMed]
- Byk, C. Chapitre 5. Le droit international et la reconnaissance de la médecine traditionnelle. J. Int. Bioéthique Déthique Sci. 2021, 32, 87–96. [Google Scholar] [CrossRef]
- Assemblée mondiale de la Santé, 56. Médecine Traditionnelle: Rapport du Secrétariat; Organisation mondiale de la Santé: Geneva, Switzerland, 2003. [Google Scholar]
- Novais, M.H.; Santos, I.; Mendes, S.; Gomes, C. Studies on Pharmaceutical Ethnobotany in Arrabida Natural Park (Portugal). J. Ethnopharmacol. 2004, 93, 183–195. [Google Scholar] [CrossRef]
- Al-Rifai, A.; Aqel, A.; Al-Warhi, T.; Wabaidur, S.M.; Al-Othman, Z.A.; Badjah-Hadj-Ahmed, A.Y. Antibacterial, Antioxidant Activity of Ethanolic Plant Extracts of Some Convolvulus Species and Their DART-ToF-MS Profiling. Evid. Based Complement. Alternat. Med. 2017, 2017, 1–9. [Google Scholar] [CrossRef] [PubMed]
- World Health Organization. Programme on Traditional Medicine. In General Guidelines for Methodologies on Research and Evaluation of Traditional Medicine; World Health Organization: Geneva, Switzerland, 2000. [Google Scholar]
- Bading Taika, B.; Bouckandou, M.; Souza, A.; Bourobou Bourobou, H.P.; MacKenzie, L.S.; Lione, L. An Overview of Anti-Diabetic Plants Used in Gabon: Pharmacology and Toxicology. J. Ethnopharmacol. 2018, 216, 203–228. [Google Scholar] [CrossRef] [PubMed]
- Ngoua-Meye-Misso, R.-L.; Sima-Obiang, C.; Ndong, J.D.L.C.; Ndong-Atome, G.-R.; Ondo, J.P.; Ovono Abessolo, F.; Obame-Engonga, L.-C. Medicinal Plants Used in Management of Cancer and Other Related Diseases in Woleu-Ntem Province, Gabon. Eur. J. Integr. Med. 2019, 29, 100924. [Google Scholar] [CrossRef]
- Towns, A.M.; Ruysschaert, S.; van Vliet, E.; van Andel, T. Evidence in Support of the Role of Disturbance Vegetation for Women’s Health and Childcare in Western Africa. J. Ethnobiol. Ethnomed. 2014, 10, 42. [Google Scholar] [CrossRef] [PubMed]
- Towns, A.M.; Quiroz, D.; Guinee, L.; de Boer, H.; van Andel, T. Volume, Value and Floristic Diversity of Gabon׳s Medicinal Plant Markets. J. Ethnopharmacol. 2014, 155, 1184–1193. [Google Scholar] [CrossRef] [PubMed]
- Beniddir, M.A.; Kang, K.B.; Genta-Jouve, G.; Huber, F.; Rogers, S.; van der Hooft, J.J.J. Advances in Decomposing Complex Metabolite Mixtures Using Substructure- and Network-Based Computational Metabolomics Approaches. Nat. Prod. Rep. 2021, 38, 1967–1993. [Google Scholar] [CrossRef]
- Abedini, A.; Roumy, V.; Mahieux, S.; Biabiany, M.; Standaert-Vitse, A.; Rivière, C.; Sahpaz, S.; Bailleul, F.; Neut, C.; Hennebelle, T. Rosmarinic Acid and Its Methyl Ester as Antimicrobial Components of the Hydromethanolic Extract of Hyptis Atrorubens Poit. (Lamiaceae). Evid.-Based Complement. Altern. Med. ECAM 2013, 2013, 604536. [Google Scholar] [CrossRef]
- Al-Adhroey, A.H.; Al-Abhar, Y.M.; Noman, N.M.; Al-Mekhlafi, H.M. Ethnopharmacological Survey of Herbal Remedies Used for Treating Malaria in Yemen. J. Herb. Med. 2020, 21, 100332. [Google Scholar] [CrossRef]
- Feuya Tchouya, G.R.; Souza, A.; Tchouankeu, J.C.; Yala, J.-F.; Boukandou, M.; Foundikou, H.; Nguema Obiang, G.D.; Fekam Boyom, F.; Mabika Mabika, R.; Zeuko´o Menkem, E.; et al. Ethnopharmacological Surveys and Pharmacological Studies of Plants Used in Traditional Medicine in the Treatment of HIV/AIDS Opportunistic Diseases in Gabon. J. Ethnopharmacol. 2015, 162, 306–316. [Google Scholar] [CrossRef]
- Tjeck, O.P.; Souza, A.; Mickala, P.; Lepengue, A.N.; M’Batchi, B. Bio-Efficacy of Medicinal Plants Used for the Management of Diabetes Mellitus in Gabon: An Ethnopharmacological Approach. J. Intercult. Ethnopharmacol. 2017, 6, 206–217. [Google Scholar] [CrossRef] [PubMed]
- Obiang, C.S.; Misso, R.-L.N.M.; Mba, T.N.; Ondo, J.P.; Engonga, L.C.O.; Emvo, E.N. Ethnopharmacological Survey of Aromatic Medicinal Plants Used in the Treatment of the Most Recurrent Diseases in the Locality of Oyem, Gabon. Adv. Tradit. Med. 2023, 24, 191–210. [Google Scholar] [CrossRef]
- Essono Mintsa, M.; Otogo N’nang, E.; Choque, É.; Siah, A.; Jacquin, J.; Muchembled, J.; Molinié, R.; Roulard, R.; Cailleu, D.; Beniddir, M.A.; et al. Combined LC-MS/MS and Molecular Networking Approach Reveals Antioxidant and Antimicrobial Compounds from Erismadelphus Exsul Bark. Plants 2022, 11, 1505. [Google Scholar] [CrossRef] [PubMed]
- Ames, B.D.; Liu, X.; Walsh, C.T. Enzymatic Processing of Fumiquinazoline F: A Tandem Oxidative-Acylation Strategy for the Generation of Multicyclic Scaffolds in Fungal Indole Alkaloid Biosynthesis. Biochemistry 2010, 49, 8564–8576. [Google Scholar] [CrossRef] [PubMed]
- Wibowo, J.T.; Kellermann, M.Y.; Versluis, D.; Putra, M.Y.; Murniasih, T.; Mohr, K.I.; Wink, J.; Engelmann, M.; Praditya, D.F.; Steinmann, E.; et al. Biotechnological Potential of Bacteria Isolated from the Sea Cucumber Holothuria Leucospilota and Stichopus Vastus from Lampung, Indonesia. Mar. Drugs 2019, 17, 635. [Google Scholar] [CrossRef]
- Callow, R.K.; Taylor, D.A.H. 429. The Cardio-Active Glycosides of Strophanthus Sarmentosus P.DC. “Sarmentoside B” and Its Relation to an Original Sarmentobioside. J. Chem. Soc. Resumed 1952, 2299–2304. [Google Scholar] [CrossRef]
- Ma, L.; Tang, L.; Yi, Q. Salvianolic Acids: Potential Source of Natural Drugs for the Treatment of Fibrosis Disease and Cancer. Front. Pharmacol. 2019, 10, 97. [Google Scholar] [CrossRef]
- Wang, Q.; Hu, Z.; Li, X.; Wang, A.; Wu, H.; Liu, J.; Cao, S.; Liu, Q. Salviachinensines A–F, Antiproliferative Phenolic Derivatives from the Chinese Medicinal Plant Salvia Chinensis. J. Nat. Prod. 2018, 81, 2531–2538. [Google Scholar] [CrossRef]
- Mira, L.; Tereza Fernandez, M.; Santos, M.; Rocha, R.; Helena Florêncio, M.; Jennings, K.R. Interactions of Flavonoids with Iron and Copper Ions: A Mechanism for Their Antioxidant Activity. Free Radic. Res. 2002, 36, 1199–1208. [Google Scholar] [CrossRef] [PubMed]
- Li, H.; Cao, D.; Yi, J.; Cao, J.; Jiang, W. Identification of the Flavonoids in Mungbean (Phaseolus radiatus L.) Soup and Their Antioxidant Activities. Food Chem. 2012, 135, 2942–2946. [Google Scholar] [CrossRef] [PubMed]
- Essono Mintsa, M.; Kumulungui, B.S.; Obiang, C.S.; Dussert, E.; Choque, E.; Herfurth, D.; Ravallec, R.; Ondo, J.-P.; Mesnard, F. Cytotoxicity and Identification of Antibacterial Compounds from Baillonella Toxisperma Bark Using a LC-MS/MS and Molecular Networking Approach. Metabolites 2023, 13, 599. [Google Scholar] [CrossRef] [PubMed]
- Zghaib, Z. Etude Des Effets Cytotoxique et Antitubuline Des Imidazoquinoxalines: Etude Du Mécanisme d’action Par Une Analyse Transcriptomique. Ph.D. Thesis, The University of Montpellier, Montpellier, France, 2016. [Google Scholar]
- Mu, H.; Bai, Y.-H.; Wang, S.-T.; Zhu, Z.-M.; Zhang, Y.-W. Research on Antioxidant Effects and Estrogenic Effect of Formononetin from Trifolium Pratense (Red Clover). Phytomedicine Int. J. Phytother. Phytopharm. 2009, 16, 314–319. [Google Scholar] [CrossRef]
- Djéki, J. Espace, territoire et communications au Gabon: Analyse des dysfonctionnements des voies de communication en zone équatoriale. NETCOM Réseaux Commun. Territ. Netw. Commun. Stud. 1997, 11, 300–312. [Google Scholar] [CrossRef]
- Wilks, C. La Conservation des Ecosystèmes Forestiers du Gabon; IUCN: Gland, Switzerland, 1990; ISBN 978-2-88032-988-4. [Google Scholar]
- Wilson, E.O.; Peter, F.M. Screening Plants for New Medicines. In Biodiversity; National Academies Press: Washington, DC, USA, 1988. [Google Scholar]
- Qureshi, R. Floristic and Ethno Botanical Study of Desert-Nara Region, Sindh; ResearchGate GmbH: Berlin, Germany, 2004. [Google Scholar]
- Tahira, I.; Sultana, N.; Hanif, N. Identification of Aflatoxins and Ochratoxin A in Selected Imported Pet Food. J. Bioresour. Manag. 2015, 2, 5. [Google Scholar] [CrossRef]
- Vitalini, S.; Iriti, M.; Puricelli, C.; Ciuchi, D.; Segale, A.; Fico, G. Traditional Knowledge on Medicinal and Food Plants Used in Val San Giacomo (Sondrio, Italy)—An Alpine Ethnobotanical Study. J. Ethnopharmacol. 2013, 145, 517–529. [Google Scholar] [CrossRef]
- Obiang, C.S.; Misso, R.L.N.M.; Atome, G.R.N.; Obame, R.B.M.; Ondo, J.P.; Engonga, L.C.O.; Emvo, E.N. Antimicrobial, Antioxidant, Anti-Inflammatory and Cytotoxic Study of Extracts of Guibourtia tessmanii (Harms) J. Léonard from Gabon. Clin. Phytosci. 2021, 7, 45. [Google Scholar] [CrossRef]






| Variable | Categories | Number of Traditional Practitioners | Percentage (%) |
|---|---|---|---|
| Level of Education | Uneducated | 2 | 10 |
| Primary school | 3 | 15 | |
| High school | 7 | 35 | |
| College | 3 | 15 | |
| Postgraduate qualification | 5 | 25 | |
| Age (years) | <20 | 3 | 15 |
| (20–40) | 2 | 10 | |
| (40–50) | 12 | 60 | |
| (60–70) | 3 | 15 | |
| >30 | 1 | 5 | |
| Experience (years) | >20 | 5 | 25 |
| <10 | 14 | 70 | |
| Gender | Male | 12 | 60 |
| Female | 8 | 40 |
| Categories | Nur | Nt | ICF |
|---|---|---|---|
| I Diseases associated with infections | 18 | 12 | 0.35 |
| II Diseases associated with skin | 13 | 3 | 0.83 |
| III Diseases related to digestive problems | 7 | 6 | 0.16 |
| IV Diseases associated with fever and coughs | 9 | 5 | 0.50 |
| V Diseases associated with infertility | 6 | 4 | 0.40 |
| Species | Family | Vernacular Names a | Parts Used | Recipes Preparation | Mode of Administration | Indication of Disease Treated | RCF |
|---|---|---|---|---|---|---|---|
| Erismadelphus exsul Mildbr | Vochysiaceae | Essang afane | BL | Decoction | Oral and dermal route | Urinary tract infections, pneumoniae, bronchitis, and sexually transmitted diseases | 0.59 |
| Baillonella toxisperma Pierre | Sapotaceae | Adzap | BL | Decoction | Oral route | Fever, gastrointestinal pain, and urinary diseases, rheumatic pains, mycosis, ringworms, wounds, and malaria | 0.39 |
| Morinda lucida Benth | Rubiaceae | Akeng | BL | Decoction | Oral route | Internal hemorrhoids and pulmonary infections | 0.25 |
| Petersianthus macrocarpus P. Beauv | Lecythidaceae | Abing | BL | Decoction | Oral route | Cough, fever, and sexually transmitted diseases | 0.15 |
| Entandrophragma cylindricum (Sprague) Sprague | Meliaceae | Assiée | BL | Decoction | Oral route | Stomach pain and abdominal pain | 0.05 |
| Ongokea gore (Hua) Pierre | Olacaceae | Angeukk | B | Decoction | Oral route | Constipation | 0.25 |
| Trichoscypha acuminate Engl. | Anacardiaceae | Amvout | BL | Decoction | Oral and rectal route | Male infertility and dysentery | 0.25 |
| Pentaclethra macrophylla Benth. | Mimosaceae | Ebeigne | B | Decoction | Oral route | Diarrhea | 0.10 |
| Unidentified | Unidentified | Mebamane Elé’e | B | Decoction | Oral route | Anti-poison and fever | 0.40 |
| Omphalocarpum elatum Miers | Sapotaceae | Mebeignemegône | B | Maceration | Oral route | Male infertility and chronic diarrhea | 0.40 |
| Pycnanthus angolesis (Welw.) Warb. | Myristicaceae | Eteng | B | Infusion | Oral route | Powerful antibiotic against sexual diseases and gonorrhea | 0.10 |
| Erythrophleum ivorense A. Chev | Fabaceae | Elone | B | Decoction | Dermal and oral route | Eczema, burns, and ulcers | 0.45 |
| Unidentified | Unidentified | Ngône | B | Maceration | Oral and dermal route | Eczema, wounds, and gonorrhea | 0.15 |
| Parkia bicolor A. Chev | Mimosaceae | Essang | B | Infusion | Rectal and oral route | Hemorrhoids and chronic coughs | 0.10 |
| Chlorophora exceisa (Welw) Benth. | Moraceae | Abang Elé’e | B | Maceration | Oral route | Fever and diarrhea | 0.20 |
| Guibourtia tessmannii (Harms) J. Leonard | Fabaceae | Oveng | BL | Infusion | Oral route | Sexual weaknesses and sexually transmitted diseases | 0.40 |
| Unidentified | Unidentified | Abèe | BL | Powder | Rectal route | Female infertility and fallopian tube obstruction in women | 0.15 |
| Bobgunnia fistuloides (Harms) J.H. Kirkbr. & Wiersema | Mimosaceae | Akok Elé’e | B | Maceration | Anal route | Hemorrhoids | 0.20 |
| Unidentified | Unidentified | Akora Elé’e | BL | Maceration | Oral route | Body and mouth odor due to bacteria | 0.10 |
| Cylicodiscus gabunensis Harms | Mimosaceae | Edoum | B | Powder | Oral route | Sexual infections | 0.25 |
| Ceiba pentandra (L.) Gaertn. | Malvaceae | Doum | B | Decoction | Oral route | Clogged trumpets | 0.15 |
| Precursor m/z | Exact Mass | Molecular Formula | Adduct | Cosine Score | Compound Name | Superclass |
|---|---|---|---|---|---|---|
| 433.110 | 432.106 | C21H20O10 | [M + H]+ | 0.94 | Vitexin | Flavonoids |
| 595.168 | 594.163 | C27H30O15 | [M + H]+ | 0.90 | Kaempferol 3-neohesperidoside | Flavonoids |
| 665.317 | 663.647 | C34H48O13 | [M + H]+ | 0.87 | Sarmentoside B | Steroids |
| 269.081 | 268.640 | C16H12O4 | [M + H]+ | 0.86 | Formononetin | Isoflavonoids |
| 801.445 | 801.444 | C45H57N3O9 | [M + NH4]+ | 0.85 | Beauvericin | Oligopeptides |
| 433.222 | 433.231 | C24H32O7 | [M + H]+ | 0.83 | Grandisin | Lignans |
| 449.108 | 449.111 | C21H20O11 | [M + H]+ | 0.82 | Isoorientin | Flavonoids |
| 593.274 | 593.27 | C35H36N4O5 | [M + H]+ | 0.82 | Pheophorbide A | Tryptophan alkaloids |
| 445.212 | 444.205 | C27H28N2O4 | [M + H]+ | 0.81 | Asperglaucide | Small peptides |
| 283.091 | 282.089 | C17H14O4 | [M + H]+ | 0.81 | 4′,7-Dimethoxyisoflavone | Isoflavonoids |
| 327.229 | 304.240 | C20H32O2 | [M + Na]+ | 0.80 | Drostanolone | Steroids |
| 355.202 | 354.194 | C21H26N2O3 | [M + H]+ | 0.73 | Ervatamine | Tryptophan alkaloids |
| 337.060 | 314.079 | C17H14O6 | [M + Na]+ | 0.73 | Salvianolic acid F | Stilbenoids/Lignans |
| 333.029 | 334.022 | C14H14Cl2O5 | [M + H]+ | 0.73 | 3-(3,3-dichloro-2-hydroxypropyl)-6,8-dimethoxyisochromen-1-one | Coumarins |
| 255.065 | 255.070 | C15H10O4 | [M + H]+ | 0.70 | 5,3′-Dihydroxyflavone | Flavonoids |
| 438.228 | 396.194 | C24H28O5 | [M + ACN + H]+ | 0.84 | (E)-3-(4-methoxyphenyl)-1-[2,4,6-trimethoxy-3-(3-methylbut-2-enyl)phenyl]prop-2-en-1-one | Flavonoids |
| 507.019 | 507.232 | C32H30N2O4 | [M + H]+ | 0.94 | Asperphenamate | Small peptides |
| 402.213 | 403.207 | C25H26N2O3 | [M + H]+ | 0.84 | Aurantiamide | Small peptides |
| Sample | FRAP (µM TE/g DW) | DPPH (µM TE/g DW) |
|---|---|---|
| EE EtOH LCe | 1023.09 ± 11.53 | 40.56 ± 1.31 |
| EE EtOH LF1 | 200.28 ± 9.15 | 48.54 ± 2.72 |
| EE EtOH LF2 | 112.82 ± 4.55 | 46.18 ± 6.34 |
| EE EtOH LF3 | 231.15 ± 72.77 | 180.43 ± 24.03 |
| EE EtOH LF4 | 510.08 ± 2.65 | 123.88 ± 39.61 |
| EE EtOH LF5 | 482.72 ± 31.27 | 209.05 ± 5.57 |
| Ascorbic Acid | 631.99 ± 39.08 | 1261.79 ± 150.68 |
| Inhibition Zone Diameter (IZD, mm) | |||||
|---|---|---|---|---|---|
| Sample | Bacterial Strains | ||||
| E. coli ATCC 25922 | E. coli ATCC 8739 | K. p MDR | S. enterica | E. coli ESBL | |
| EE EtOH BCe | 11.67 ± 0.47 | 21.33 ± 0.47 | 12.33 ± 0.47 | 13.33 ± 0.47 | 14.33 ± 0.47 |
| EE EtOH BF1 | Na | Na | Na | 24.67 ± 0.47 | Na |
| EE EtOH BF2 | 10 ± 0.00 | 11 ± 0.00 | 13.33 ± 0.47 | 12 ± 0.00 | 9 ± 0.00 |
| EE EtOH BF3 | 11 ± 0.00 | 11.33 ± 0.47 | 9 ± 0.00 | 9.33 ± 0.47 | 9.33 ± 0.94 |
| EE EtOH BF4 | 20 ± 1.41 | 18 ± 0.94 | 22.67 ± 0.47 | 9 ± 0.00 | 10 ± 0.00 |
| EE EtOH BF5 | 10 ± 0.82 | Na | 11.33 ± 0.94 | 13 ± 0.00 | 12.67 ± 0.47 |
| EE EtOH LCe | 12 ± 0.82 | 17 ± 0.47 | 11.33 ± 0.47 | 17.33 ± 0.47 | 20.33 ± 0.94 |
| EE EtOH LF1 | Na | 10 ± 0.00 | 22.33 ± 0.47 | 10.33 ± 0.94 | 20.67 ± 0.44 |
| EE EtOH LF2 | 13.33 ± 0.47 | 9.67 ± 0.47 | 12.33 ± 0.82 | 9.00 ± 0.00 | 14.67 ± 0.44 |
| EE EtOH LF3 | 9.00 ± 0.00 | Na | Na | Na | 8.00 ± 0.00 |
| EE EtOH LF4 | 12 ± 0.00 | Na | 8.33 ± 0.47 | Na | Na |
| EE EtOH LF5 | 14.33 ± 0.47 | 17.67 ± 1.70 | 22 ± 0.00 | 17.67 ± 0.47 | 27.67 ± 0.47 |
| Ticarcillin | 19.33 ± 0.47 | 21.33 ± 0.47 | 20 ± 0.00 | 20 ± 0.00 | Na |
| Gentamicin | 30 ± 0.00 | 23 ± 0.00 | 21 ± 0.00 | 22.33 ± 0.47 | 22 ± 0.00 |
| Tetracycline | Na | Na | 12 ± 0.00 | Na | Na |
| 1% DMSO | Na | Na | Na | Na | Na |
| MIC and MBC (mg/mL) | ||||||||||
|---|---|---|---|---|---|---|---|---|---|---|
| Sample | E. coli ATCC 25922 | E. coli ATCC 8739 | K. p MDR | S. enterica | E. coli ESBL | |||||
| MIC | MBC | MIC | MBC | MIC | MBC | MIC | MBC | MIC | MBC | |
| EE EtOH BCe | 1.25 | 5 | 1.25 | 2.5 | 0.62 | 5 | 0.62 | 5 | 1.25 | 2.5 |
| EE EtOH BF1 | Nt | Nt | Nt | Nt | Nt | Nt | 1.25 | 1.25 | Nt | Nt |
| EE EtOH BF2 | 1.25 | 5 | 1.25 | 5 | 0.62 | 2.5 | 0.62 | 2.5 | 2.5 | 5 |
| EE EtOH BF3 | 2.5 | 5 | 2.5 | >5 | 5 | >5 | 2.5 | >5 | 2.5 | 5 |
| EE EtOH BF4 | 1.25 | 2.5 | 0.62 | 1.25 | 1.25 | 2.5 | 1.25 | 2.5 | 0.62 | 2.5 |
| EE EtOH BF5 | 2.5 | >5 | Nt | Nt | 2.5 | >5 | 1.25 | 2.5 | 1.25 | 2.5 |
| EE EtOH LCe | 0.62 | 5 | 1.25 | 2.5 | 0.62 | 5 | 1.25 | 2.5 | 1.25 | 2.5 |
| EE EtOH LF1 | Nt | Nt | Nt | Nt | 1.25 | 2.5 | 0.62 | 5 | 1.25 | 1.25 |
| EE EtOH LF2 | 1.25 | 2.5 | 0.62 | 2.5 | 2.5 | >5 | 0.31 | 5 | 0.62 | 2.5 |
| EE EtOH LF3 | 2.5 | >5 | Nt | Nt | Nt | Nt | Nt | Nt | 2.5 | >5 |
| EE EtOH LF4 | 2.5 | 0.62 | Nt | Nt | 0.62 | 5 | Nt | Nt | Nt | Nt |
| EE EtOH LF5 | 1.25 | 1.25 | 1.25 | 1.25 | 1.25 | 1.25 | 1.25 | 1.25 | 1.25 | 1.25 |
Disclaimer/Publisher’s Note: The statements, opinions and data contained in all publications are solely those of the individual author(s) and contributor(s) and not of MDPI and/or the editor(s). MDPI and/or the editor(s) disclaim responsibility for any injury to people or property resulting from any ideas, methods, instructions or products referred to in the content. |
© 2024 by the authors. Licensee MDPI, Basel, Switzerland. This article is an open access article distributed under the terms and conditions of the Creative Commons Attribution (CC BY) license (https://creativecommons.org/licenses/by/4.0/).
Share and Cite
Mintsa, M.E.; Obiang, C.S.; Choque, E.; Dussert, E.; Ravallec, R.; Ondo, J.-P.; Belloncle, C.; Kumulungui, B.S.; Mesnard, F. Antimicrobial Plants Used by Fang Populations and Phytochemical Profiling of Erismadelphus exsul. Molecules 2024, 29, 3503. https://doi.org/10.3390/molecules29153503
Mintsa ME, Obiang CS, Choque E, Dussert E, Ravallec R, Ondo J-P, Belloncle C, Kumulungui BS, Mesnard F. Antimicrobial Plants Used by Fang Populations and Phytochemical Profiling of Erismadelphus exsul. Molecules. 2024; 29(15):3503. https://doi.org/10.3390/molecules29153503
Chicago/Turabian StyleMintsa, Morel Essono, Cédric Sima Obiang, Elodie Choque, Elodie Dussert, Rozenn Ravallec, Joseph-Privat Ondo, Christophe Belloncle, Brice Serge Kumulungui, and François Mesnard. 2024. "Antimicrobial Plants Used by Fang Populations and Phytochemical Profiling of Erismadelphus exsul" Molecules 29, no. 15: 3503. https://doi.org/10.3390/molecules29153503
APA StyleMintsa, M. E., Obiang, C. S., Choque, E., Dussert, E., Ravallec, R., Ondo, J.-P., Belloncle, C., Kumulungui, B. S., & Mesnard, F. (2024). Antimicrobial Plants Used by Fang Populations and Phytochemical Profiling of Erismadelphus exsul. Molecules, 29(15), 3503. https://doi.org/10.3390/molecules29153503

