An Evaluation of the Corrosion Inhibition Performance of Chitosan Modified by Quaternary Ammonium Salt for Carbon Steel in Stone Processing Wastewater
Abstract
1. Introduction
2. Results
2.1. Measurement of Weight Loss
2.2. Electrochemical Measurements
2.2.1. Open-Circuit Potential
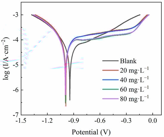
2.2.2. Potentiodynamic Polarization Tests
2.2.3. Electrochemical Impedance
2.3. Surface Topography Analysis
2.3.1. SEM Measurement
2.3.2. AFM Analysis
2.3.3. Contact Angle Measurement
2.4. Inhibition Mechanism
2.4.1. XPS Analysis
2.4.2. Quantum Chemical Computing
3. Discussion
4. Materials and Methods
4.1. Materials
4.2. Synthesis
4.2.1. Synthesis of the Water-Soluble Chitosan
4.2.2. Synthesis of Water-Soluble Chitosan from Quaternary Ammonium Salts (QWSC)
4.3. Methods
4.3.1. Weight Loss Method
4.3.2. Electrochemical Test Method
4.3.3. Quantum Chemical Calculations Method
4.4. Surface Analysis
5. Conclusions
Author Contributions
Funding
Institutional Review Board Statement
Informed Consent Statement
Data Availability Statement
Conflicts of Interest
References
- Liu, S.; Zhou, J.; Liang, G.; Peng, S.; Lyu, X.; Zhou, F. Evaluation of corrosion inhibition efficiency of chitosan oligosaccharide-derived quaternary ammonium vanillyl aldehyde oligosaccharide derivative for CO2 corrosion control. Colloids Surf. A 2024, 683, 133061. [Google Scholar] [CrossRef]
- Zhang, Q.H.; Hou, B.S.; Li, Y.Y.; Zhu, G.Y.; Liu, H.F.; Zhang, G.A. Effective corrosion inhibition of mild steel by eco-friendly thiourea functionalized glucosamine derivatives in acidic solution. J. Colloid Interface Sci. 2021, 585, 355–367. [Google Scholar] [CrossRef] [PubMed]
- Kumar, A.M.; Rajesh, T.; Obot, I.B.; Sharfan, I.I.B.; Abdulhamid, M.A. Water-soluble chitosan salt as ecofriendly corrosion inhibitor for N80 pipeline steel in artificial sea water: Experimental and theoretical approach. Int. J. Biol. Macromol. 2024, 254, 127697. [Google Scholar] [CrossRef] [PubMed]
- Zhang, Q.H.; Xu, N.; Jiang, Z.N.; Liu, H.F.; Zhang, G.A. Chitosan derivatives as promising green corrosion inhibitors for carbon steel in acidic environment: Inhibition performance and interfacial adsorption mechanism. J. Colloid Interface Sci. 2023, 640, 1052–1067. [Google Scholar] [CrossRef] [PubMed]
- Verma, C.; Quraishi, M.A.; Alfantazi, A.; Rhee, K.Y. Corrosion inhibition potential of chitosan based Schiff bases: Design, performance and applications. Int. J. Biol. Macromol. 2021, 184, 135–143. [Google Scholar] [CrossRef] [PubMed]
- Al Kiey, S.A.; Mohamed-Ezzat, R.A.; Dacrory, S. Eco-friendly anti-corrosion performance of chitosan modified with fused heterocyclic compound on mild steel in acidic medium. Int. J. Biol. Macromol. 2024, 263, 130133. [Google Scholar] [CrossRef] [PubMed]
- Liu, H.; Zhu, Z.; Hu, J.; Lai, X.; Qu, J. Inhibition of Q235 corrosion in sodium chloride solution by chitosan derivative and its synergistic effect with ZnO. Carbohydr. Polym. 2022, 296, 119936. [Google Scholar] [CrossRef] [PubMed]
- Sangeetha, Y.; Meenakshi, S.; SairamSundaram, C. Corrosion mitigation of N-(2-hydroxy-3-trimethyl ammonium)propyl chitosan chloride as inhibitor on mild steel. Int. J. Biol. Macromol. 2015, 72, 1244–1249. [Google Scholar] [CrossRef] [PubMed]
- Xiang, J.; Peng, H.; Li, L.; Liu, H.; Zhu, Q.; Huang, Y.; Wang, Y.; Fan, G.; Zhang, L. Inhibition performance of benzotriazole-based composite inhibitor against carbon steel corrosion in stone processing wastewater. Desalin. Water Treat. 2023, 289, 197–205. [Google Scholar] [CrossRef]
- Xiang, J.; Lu, Z.; Zhu, Q.; Li, L.; Huang, Y.; Wang, Y.; Song, G.; Zhang, L. Study on the corrosion inhibition performance of composite inhibitor on carbon steel in stone processing wastewater. Asia-Pac. J. Chem. Eng. 2023, 19, e2975. [Google Scholar] [CrossRef]
- Yan, H.; Zhang, Y.; Niu, X.; Wang, J.; Yang, C.; Luo, F.; Qu, M.; Shi, Y.; Wang, R. Study on the surface interaction mechanism, corrosion inhibition effect and the synergistic action of potassium oleate and fatty alcohol polyoxy ethylene ether on copper film chemical mechanical polishing for giant large scale integrated circuit. Thin Solid Films 2023, 774, 139843. [Google Scholar] [CrossRef]
- Wang, C.; Chen, J.; Hu, B.; Liu, Z.; Wang, C.; Han, J.; Su, M.; Li, Y.; Li, C. Modified chitosan-oligosaccharide and sodium silicate as efficient sustainable inhibitor for carbon steel against chloride-induced corrosion. J. Clean. Prod. 2019, 238, 117823. [Google Scholar] [CrossRef]
- Zhu, Y.; Free, M.L.; Yi, G. Electrochemical measurement; modeling, and prediction of corrosion inhibition efficiency of ternary mixtures of homologous surfactants in salt solution. Corros. Sci. 2015, 98, 417–429. [Google Scholar] [CrossRef]
- Saraswat, V.; Sarkar, T.K.; Yadav, M. Evaluation on corrosion mitigation capabilities of nitrogen doped carbon dots as corrosion inhibitors for mild steel in descaling solution. Mater. Chem. Phys. 2024, 313, 128678. [Google Scholar] [CrossRef]
- Umoren, S.A.; AlAhmary, A.A.; Gasem, Z.M.; Solomon, M.M. Evaluation of chitosan and carboxymethyl cellulose as ecofriendly corrosion inhibitors for steel. Int. J. Biol. Macromol. 2018, 117, 1017–1028. [Google Scholar] [CrossRef] [PubMed]
- Zhou, T.; Yuan, J.; Zhang, Z.; Xin, X.; Xu, G. The comparison of imidazolium Gemini surfactant [C14-4-C14im]Br2 and its corresponding monomer as corrosion inhibitors for A3 carbon steel in hydrochloric acid solutions: Experimental and quantum chemical studies. Colloids Surf. A 2019, 575, 57–65. [Google Scholar] [CrossRef]
- Sukul, D.; Pal, A.; Saha, S.K.; Satpati, S.; Adhikari, U.; Banerjee, P. Newly synthesized quercetin derivatives as corrosion inhibitors for mild steel in 1 M HCl: Combined experimental and theoretical investigation. Phys. Chem. Chem. Phys. 2018, 20, 6562–6574. [Google Scholar] [CrossRef] [PubMed]
- Li, Y.; Xu, W.; Li, H.; Lai, J.; Qiang, S. Corrosion inhibition mechanism of Xanthium sibiricum inhibitor and its comprehensive effect on concrete performance: Experimental analysis and theoretical calculation. Constr. Build. Mater. 2022, 348, 128672. [Google Scholar] [CrossRef]
- Liu, Y.; Song, Z.; Wang, W.; Jiang, L.; Zhang, Y.; Guo, M.; Song, F.; Xu, N. Effect of ginger extract as green inhibitor on chloride-induced corrosion of carbon steel in simulated concrete pore solutions. J. Clean. Prod. 2019, 214, 298–307. [Google Scholar] [CrossRef]
- Wang, L.; Wang, H.; Seyeux, A.; Zanna, S.; Pailleret, A.; Nesic, S.; Marcus, P. Adsorption mechanism of quaternary ammonium corrosion inhibitor on carbon steel surface using ToF-SIMS and XPS. Corros. Sci. 2023, 213, 110952. [Google Scholar] [CrossRef]
- Liao, B.; Luo, Z.; Wan, S.; Chen, L. Insight into the anti-corrosion performance of Acanthopanax senticosus leaf extract as eco-friendly corrosion inhibitor for carbon steel in acidic medium. J. Ind. Eng. Chem. 2023, 117, 238–246. [Google Scholar] [CrossRef]
- Zheng, T.; Liu, J.; Wang, M.; Liu, Q.; Wang, J.; Chong, Y.; Jia, G. Synergistic corrosion inhibition effects of quaternary ammonium salt cationic surfactants and thiourea on Q235 steel in sulfuric acid: Experimental and theoretical research. Corros. Sci. 2022, 199, 110199. [Google Scholar] [CrossRef]
- Dao, T.-B.-N.; Huynh, T.L.; Tran, N.Q.; Nguyen, V.K.; Panaitescu, C.; Pham, T.T.; Hoai, N.T.; Dang, N.N. Self-forming barrier layer for carbon dioxide corrosion protection of mild steel in NaCl solution containing hydroxychavicol isolated from Piper betle L. leaf. Chem. Eng. J. 2024, 491, 151717. [Google Scholar] [CrossRef]
- Anadebe, V.C.; Chukwuike, V.I.; Selvaraj, V.; Pandikumar, A.; Barik, R.C. Sulfur-doped graphitic carbon nitride (S-g-C3N4) as an efficient corrosion inhibitor for X65 pipeline steel in CO2-saturated 3.5% NaCl solution: Electrochemical, XPS and Nanoindentation Studies. Process Saf. Environ. Prot. 2022, 164, 715–728. [Google Scholar] [CrossRef]
- Galai, M.; Dahmani, K.; Kharbouch, O.; Rbaa, M.; Alzeqri, N.; Guo, L.; AlObaid, A.A.; Hmada, A.; Dkhireche, N.; Ech-chihbi, E.; et al. Surface analysis and interface properties of a newly synthesized quinoline-derivative corrosion inhibitor for mild steel in acid pickling bath: Mechanistic exploration through electrochemical, XPS, AFM, contact angle, SEM/EDS, and computational studies. J. Phys. Chem. Solids 2024, 184, 111681. [Google Scholar] [CrossRef]
- Makino, T.; Tsuda, Y.; Yoshigoe, A.; Diño, W.A.; Okada, M.; Dissociation, C. CH3 abstraction, and Cl adsorption from the dissociative scattering of supersonic CH3Cl on Cu(111) and Cu(410). Appl. Surf. Sci. 2024, 642, 158568. [Google Scholar] [CrossRef]
- Cui, G.; Guo, J.; Zhang, Y.; Zhao, Q.; Fu, S.; Han, T.; Zhang, S.; Wu, Y. Chitosan oligosaccharide derivatives as green corrosion inhibitors for P110 steel in a carbon-dioxide-saturated chloride solution. Carbohydr. Polym. 2019, 203, 386–395. [Google Scholar] [CrossRef]
- Liu, J.; Niu, X.; Jia, Y.; Zhan, N.; Zou, Y.; Shi, Y.; Zhou, J. Corrosion inhibition mechanisms of triazole derivatives on copper chemical mechanical polishing: Combined experiment and DFT study. Appl. Surf. Sci. 2024, 654, 159469. [Google Scholar] [CrossRef]
- Zhang, J.; Lu, T. Efficient evaluation of electrostatic potential with computerized optimized code. Phys. Chem. Chem. Phys. 2021, 23, 20323–20328. [Google Scholar] [CrossRef]
- Lai, X.; Hu, J.; Ruan, T.; Zhou, J.; Qu, J. Chitosan derivative corrosion inhibitor for aluminum alloy in sodium chloride solution: A green organic/inorganic hybrid. Carbohydr. Polym. 2021, 265, 118074. [Google Scholar] [CrossRef]
- Long, W.-J.; Li, X.-Q.; Zheng, S.-Y.; He, C. A novel effective carbon dots-based inhibitor for carbon steel against chloride corrosion: From inhibition behavior to mechanism. Carbon 2024, 218, 118708. [Google Scholar] [CrossRef]
- Galai, M.; Rbaa, M.; Serrar, H.; Ouakki, M.; Ech-chebab, A.; Abousalem, A.S.; Ech-chihbi, E.; Dahmani, K.; Boukhris, S.; Zarrouk, A.; et al. S-Thiazine as effective inhibitor of mild steel corrosion in HCl solution: Synthesis, experimental, theoretical and surface assessment. Colloids Surf. A 2021, 613, 126127. [Google Scholar] [CrossRef]
- Zhang, Q.H.; Xu, N. Developing two amino acid derivatives as high-efficient corrosion inhibitors for carbon steel in the CO2-containing environment. Ind. Crops Prod. 2023, 201, 116883. [Google Scholar] [CrossRef]
- Parul Dohare, D.S.; Chauhan, A.A.; Sorour, M.A. Quraishi, DFT and experimental studies on the inhibition potentials of expired Tramadol drug on mild steel corrosion in hy-drochloric acid. Mater. Discov. 2017, 9, 30–41. [Google Scholar] [CrossRef]
- Chauhan, D.S.; Mazumder, M.A.J.; Quraishi, M.A.; Ansari, K.R. Chitosan-cinnamaldehyde Schiff base: A bioinspired macromolecule as corrosion inhibitor for oil and gas industry. Int. J. Biol. Macromol. 2020, 158, 127–138. [Google Scholar] [CrossRef]
- Zhang, Q.H.; Hou, B.S.; Li, Y.Y.; Lei, Y.; Wang, X.; Liu, H.F.; Zhang, G.A. Two amino acid derivatives as high efficient green inhibitors for the corrosion of carbon steel in CO2-saturated formation water. Corros. Sci. 2021, 189, 109596. [Google Scholar] [CrossRef]














| C mg·L−1 | Ecorr mV | icorr µA·cm−2 | θ |
|---|---|---|---|
| 0 | −944 | 0.448 | — |
| 20 | −989 | 0.387 | 0.136 |
| 40 | −994 | 0.265 | 0.409 |
| 60 | −994 | 0.180 | 0.598 |
| 80 | −994 | 0.215 | 0.520 |
| c mg·L−1 | Rs Ω·cm2 | Rct Ω·cm2 | IEEIS% |
|---|---|---|---|
| 0 | 169.5 | 675.7 | - |
| 20 | 191.3 | 757.9 | 10.85 |
| 40 | 193.2 | 1052 | 35.77 |
| 60 | 193.0 | 1654 | 59.15 |
| 80 | 189.8 | 1568 | 56.91 |
| Inhibitors | WSC | QWSC |
|---|---|---|
| EHOMO | −6.6439 | −5.8540 |
| ELUMO | 0.0521 | 0.0229 |
| ΔE | 6.6961 | 5.8769 |
| χ | 3.2959 | 2.9156 |
| ω | 1.6222 | 1.4464 |
| ɛ | 0.6164 | 0.6914 |
| η | 3.3481 | 2.9385 |
| σ | 0.2987 | 0.3403 |
| µ | −3.2959 | −2.9156 |
| ΔN | 0.5532 | 0.6950 |
Disclaimer/Publisher’s Note: The statements, opinions and data contained in all publications are solely those of the individual author(s) and contributor(s) and not of MDPI and/or the editor(s). MDPI and/or the editor(s) disclaim responsibility for any injury to people or property resulting from any ideas, methods, instructions or products referred to in the content. |
© 2024 by the authors. Licensee MDPI, Basel, Switzerland. This article is an open access article distributed under the terms and conditions of the Creative Commons Attribution (CC BY) license (https://creativecommons.org/licenses/by/4.0/).
Share and Cite
Xiang, J.; Mo, C.; Peng, C.; Yang, L.; Wan, T.; Song, Y.; Lei, X.; Liu, P.; Gao, B.; Ren, D.; et al. An Evaluation of the Corrosion Inhibition Performance of Chitosan Modified by Quaternary Ammonium Salt for Carbon Steel in Stone Processing Wastewater. Molecules 2024, 29, 3401. https://doi.org/10.3390/molecules29143401
Xiang J, Mo C, Peng C, Yang L, Wan T, Song Y, Lei X, Liu P, Gao B, Ren D, et al. An Evaluation of the Corrosion Inhibition Performance of Chitosan Modified by Quaternary Ammonium Salt for Carbon Steel in Stone Processing Wastewater. Molecules. 2024; 29(14):3401. https://doi.org/10.3390/molecules29143401
Chicago/Turabian StyleXiang, Jingjing, Chaofan Mo, Chao Peng, Lin Yang, Tingtao Wan, Yuntian Song, Xuanhui Lei, Pu Liu, Bo Gao, Dajun Ren, and et al. 2024. "An Evaluation of the Corrosion Inhibition Performance of Chitosan Modified by Quaternary Ammonium Salt for Carbon Steel in Stone Processing Wastewater" Molecules 29, no. 14: 3401. https://doi.org/10.3390/molecules29143401
APA StyleXiang, J., Mo, C., Peng, C., Yang, L., Wan, T., Song, Y., Lei, X., Liu, P., Gao, B., Ren, D., Zhao, C., Huang, Y., Wang, Y., & Zhang, L. (2024). An Evaluation of the Corrosion Inhibition Performance of Chitosan Modified by Quaternary Ammonium Salt for Carbon Steel in Stone Processing Wastewater. Molecules, 29(14), 3401. https://doi.org/10.3390/molecules29143401

