Recent Progress on Multi-Component Reactions Involving Nucleophile, Arynes and CO2
Abstract
1. Introduction
2. Nucleophilic Addition Reactions of Aromatic Alkynes Involving CO2
2.1. Nucleophilic Addition Reactions of Aromatic Alkynes with N-Compounds Involving CO2
2.2. Nucleophilic Addition Reactions of Aromatic Alkynes with O-Containing Compounds Involving CO2
2.3. Nucleophilic Addition Reactions of Aromatic Alkynes with P-Containing Compounds Involving CO2
2.4. Nucleophilic Addition Reactions of Aromatic Alkynes with Halogens Involving CO2
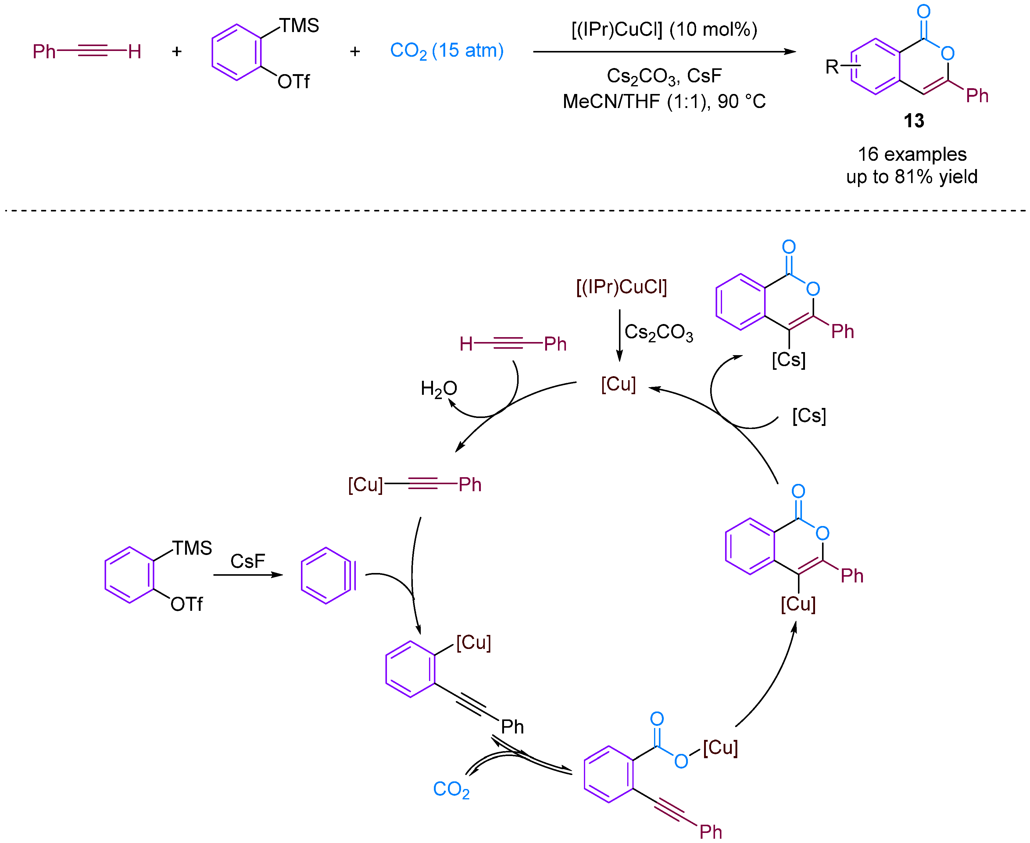
2.5. Nucleophilic Addition Reactions of Aromatic Alkynes with Terminal Alkynes Involving CO2
3. Conclusions
Author Contributions
Funding
Institutional Review Board Statement
Informed Consent Statement
Data Availability Statement
Conflicts of Interest
References
- Sakakura, T.; Choi, J.C.; Yasuda, H. Transformation of Carbon Dioxide. Chem. Rev. 2007, 107, 2365–2387. [Google Scholar] [CrossRef]
- Louie, J. Transition Metal Catalyzed Reactions of Carbon Dioxide and Other Heterocumulenes. Curr. Org. Chem. 2005, 9, 605–623. [Google Scholar] [CrossRef]
- Zhang, Z.; Deng, Y.; Zhang, Q.F.; Yu, D.G. Visible Light-driven Carboxylation with CO2. Chem. J. Chin. Univ. 2022, 43, 20220255. [Google Scholar] [CrossRef]
- Asare Bediako, B.B.; Qian, Q.; Han, B. Synthesis of C2+ Chemicals from CO2 and H2 via C–C Bond Formation. Acc. Chem. Res. 2021, 54, 2467–2476. [Google Scholar] [CrossRef] [PubMed]
- Song, L.; Jiang, Y.X.; Zhang, Z.; Gui, Y.Y.; Zhou, X.Y.; Yu, D.G. CO2 = CO + [O]: Recent advances in carbonylation of C–H bonds with CO2. Chem. Commun. 2020, 56, 8355–8367. [Google Scholar] [CrossRef]
- Arshadi, S.; Banaei, A.; Ebrahimiasl, S.; Monfared, A.; Vessally, E. Solvent-free incorporation of CO2 into 2-oxazolidinones: A review. RSC Adv. 2019, 9, 19465–19482. [Google Scholar] [CrossRef]
- Liu, Q.; Wu, L.; Jackstell, R.; Beller, M. Using carbon dioxide as a building block in organic synthesis. Nat. Commun. 2015, 6, 5933. [Google Scholar] [CrossRef] [PubMed]
- Zhang, Z.; Chen, X.L.; Xie, X.M.; Gao, T.Y.; Qin, J.; Li, J.J.; Feng, C.; Yu, D.G. Iron-promoted carbonylation–rearrangement of α-aminoaryl-tethered alkylidenecyclopropanes with CO2: Facile synthesis of quinolinofurans. Chin. Chem. Lett. 2024, 110056. [Google Scholar] [CrossRef]
- Cai, B.; Cheo, H.W.; Liu, T.; Wu, J. Light-Promoted Organic Transformations Utilizing Carbon-Based Gas Molecules as Feedstocks. Angew. Chem. Int. Ed. Engl. 2021, 60, 18950–18980. [Google Scholar] [CrossRef]
- Shi, Y.; Xia, C.; Huang, Y.; He, L. Electrochemical Approaches to Carbonylative Coupling Reactions. Chem. Asian J. 2021, 16, 2830–2841. [Google Scholar] [CrossRef]
- Nielsen, D.U.; Hu, X.-M.; Daasbjerg, K.; Skrydstrup, T. Chemically and electrochemically catalysed conversion of CO2 to CO with follow-up utilization to value-added chemicals. Nat. Catal. 2018, 1, 244–254. [Google Scholar] [CrossRef]
- Chen, Y.; Ji, S.; Chen, C.; Peng, Q.; Wang, D.; Li, Y. Single-Atom Catalysts: Synthetic Strategies and Electrochemical Applications. Joule 2018, 2, 1242–1264. [Google Scholar] [CrossRef]
- Aped, P.; Allinger, N.L. A molecular mechanics study of cyclopropanes within the MM2 and MM3 force fields. J. Am. Chem. Soc. 1992, 114, 1–16. [Google Scholar] [CrossRef]
- Berry, R.S.; Clardy, J.; Schafer, M.E. Benzyne. J. Am. Chem. Soc. 1964, 86, 2738–2739. [Google Scholar] [CrossRef]
- Shi, J.; Li, L.; Li, Y. o-Silylaryl Triflates: A Journey of Kobayashi Aryne Precursors. Chem. Rev. 2021, 121, 3892–4044. [Google Scholar] [CrossRef]
- Bhojgude, S.S.; Bhunia, A.; Biju, A.T. Employing Arynes in Diels–Alder Reactions and Transition-Metal-Free Multicomponent Coupling and Arylation Reactions. Acc. Chem. Res. 2016, 49, 1658–1670. [Google Scholar] [CrossRef]
- Rondan, N.G.; Domelsmith, L.N.; Houk, K.N.; Bowne, A.T.; Levin, R.H. ChemInform Abstract: The Relative Rates of Electron-Rich and Electron-Deficient Alkene Cycloadditions to Benzyne. Enhanced Electrophilicity as a Consequence of Alkyne Bending Distortions. Chem. Informationsdienst 1979, 10, 3237. [Google Scholar] [CrossRef]
- Himeshima, Y.; Sonoda, T.; Kobayashi, H. Fluoride-induced 1,2-elimination of o-trimethylsilylphenyl triflate to benzyne under mild conditions. Chem. Lett. 1983, 12, 1211–1214. [Google Scholar] [CrossRef]
- Yoshida, H.; Hiroyuki, F.; Ohshita, J.; Kunai, A. CO2 Incorporation Reaction Using Arynes: Straightforward Access to Benzoxazinone. J. Am. Chem. Soc. 2006, 128, 11040–11041. [Google Scholar] [CrossRef]
- Sabet-Sarvestani, H.; Eshghi, H.; Izadyar, M. Substituent effects and mechanism studies in CO2 transformation to benzoxazinone derivatives as worthwhile N-containing heterocycles: Insight from Density functional theory. Int. J. Quantum Chem. 2021, 121, e26784. [Google Scholar] [CrossRef]
- Yoshida, H.; Takami, M.; Morishita, T.; Ohshita, J. Direct Access to Anthranilic Acid Derivatives via CO2 Incorporation Reaction Using Arynes. Org. Lett. 2008, 10, 3845–3847. [Google Scholar] [CrossRef] [PubMed]
- Kaicharla, T.; Thangaraj, M.; Biju, A.T. Practical Synthesis of Phthalimides and Benzamides by a Multicomponent Reaction Involving Arynes, Isocyanides, and CO2/H2O. Org. Lett. 2014, 16, 1728–1731. [Google Scholar] [CrossRef] [PubMed]
- Yoshihiko, I.; Toshiro, K.; Syotaro, F.; Junichiro, S.; Takeo, S. Reaction of 2-Halo-1-Olefin-1-Carboxylic Acid with Cu2O and Isonitrile. Bull. Chem. Soc. Jpn. 1975, 48, 115–117. [Google Scholar] [CrossRef]
- Sauers, C.K.R.; Howard, M. Carbon-13 and proton magnetic resonance study of syn-anti isomerism in maleisoimides and succinisoimides. J. Am. Chem. Soc. 1973, 95, 7731–7736. [Google Scholar] [CrossRef]
- Fang, Y.; Wang, S.Y.; Ji, S.J. Synthesis of phthalimides through 1,3-dipolar cycloaddition of CO2 with isocyanides and arynes. Tetrahedron 2015, 71, 2768–2771. [Google Scholar] [CrossRef]
- Bhojgude, S.S.; Roy, T.; Gonnade, R.G.; Biju, A.T. Substrate-Controlled Selectivity Switch in the Three-Component Coupling Involving Arynes, Aromatic Tertiary Amines, and CO2. Org. Lett. 2016, 18, 5424–5427. [Google Scholar] [CrossRef]
- Snape, T.J. A truce on the Smiles rearrangement: Revisiting an old reaction—The Truce–Smiles rearrangement. Chem. Soc. Rev. 2008, 37, 2452–2458. [Google Scholar] [CrossRef] [PubMed]
- Liu, S.; Zhang, K.; Meng, Y.; Xu, J.; Chen, N. Aryne and CO2 based formal [2 + 2 + 2] annulation to access tetrahydroisoquinoline-fused benzoxazinones. Org. Biomol. Chem. 2023, 21, 6892–6897. [Google Scholar] [CrossRef] [PubMed]
- Zhang, K.; Liu, S.; Wang, L.; Liu, X.; Xu, J.; Chen, N. Annuloselectivity of Dibenzoxazepines and Arynes in the Presence of CO2: [2 + 2] vs [2 + 2 + 2] Annulation. ChemistrySelect 2024, 9, e202304458. [Google Scholar] [CrossRef]
- Bhattacharjee, S.; Deswal, S.; Manoj, N.; Jindal, G.; Biju, A.T. Aryne Three-Component Coupling Involving CS2 for the Synthesis of S-Aryl Dithiocarbamates. Org. Lett. 2021, 23, 9083–9088. [Google Scholar] [CrossRef]
- Liu, H.; Jiang, H.; Qi, C. Macrocyclization of carbon dioxide with 3-triflyloxybenzynes and tetrahydrofuran: Straightforward access to 14-membered macrolactones. Chem. Commun. 2024, 60, 6639–6642. [Google Scholar] [CrossRef] [PubMed]
- Li, H.; Liu, H.; Guo, H. Recent Advances in Phosphonium Salt Catalysis. Adv. Synth. Catal. 2021, 363, 2023–2036. [Google Scholar] [CrossRef]
- Olivier-Bourbigou, H.; Magna, L.; Morvan, D. Ionic liquids and catalysis: Recent progress from knowledge to applications. Appl. Catal. A Gen. 2010, 373, 1–56. [Google Scholar] [CrossRef]
- Bhattacharjee, S.; Raju, A.; Gaykar, R.N.; Gonnade, R.G.; Roy, T.; Biju, A.T. Rapid Synthesis of Zwitterionic Phosphonium Benzoates by a Three-Component Coupling Involving Phosphines, Arynes and CO2. Chem. Asian J. 2020, 15, 2203–2207. [Google Scholar] [CrossRef]
- Xie, P.; Yang, S.; Guo, Y.; Cai, Z.; Dai, B.; He, L. Multicomponent Reaction of Phosphines, Benzynes, and CO2: Facile Synthesis of Stable Zwitterionic Phosphonium Inner Salts. J. Org. Chem. 2020, 85, 8872–8880. [Google Scholar] [CrossRef]
- Jiang, H.; Zhang, Y.; Xiong, W.; Cen, J.; Wang, L.; Cheng, R.; Qi, C.; Wu, W. A Three-Phase Four-Component Coupling Reaction: Selective Synthesis of o-Chloro Benzoates by KCl, Arynes, CO2, and Chloroalkanes. Org. Lett. 2018, 21, 345–349. [Google Scholar] [CrossRef]
- Zhang, Y.; Xiong, W.; Cen, J.; Yan, W.; Wu, Y.; Qi, C.; Wu, W.; Jiang, H. Direct bromocarboxylation of arynes using allyl bromides and carbon dioxide. Chem. Commun. 2019, 55, 12304–12307. [Google Scholar] [CrossRef] [PubMed]
- Yoo, W.J.; Nguyen, T.V.Q.; Kobayashi, S. Synthesis of Isocoumarins through Three-Component Couplings of Arynes, Terminal Alkynes, and Carbon Dioxide Catalyzed by an NHC–Copper Complex. Angew. Chem. Int. Ed. Engl. 2014, 53, 10213–10217. [Google Scholar] [CrossRef]
- Li, X.; Chianese, A.R.; Vogel, T.; Crabtree, R.H. Intramolecular Alkyne Hydroalkoxylation and Hydroamination Catalyzed by Iridium Hydrides. Org. Lett. 2005, 7, 5437–5440. [Google Scholar] [CrossRef]















Disclaimer/Publisher’s Note: The statements, opinions and data contained in all publications are solely those of the individual author(s) and contributor(s) and not of MDPI and/or the editor(s). MDPI and/or the editor(s) disclaim responsibility for any injury to people or property resulting from any ideas, methods, instructions or products referred to in the content. |
© 2024 by the authors. Licensee MDPI, Basel, Switzerland. This article is an open access article distributed under the terms and conditions of the Creative Commons Attribution (CC BY) license (https://creativecommons.org/licenses/by/4.0/).
Share and Cite
Gong, S.; Xie, X.; Sun, H.; Liu, Y.; Li, J.; Zhang, Z. Recent Progress on Multi-Component Reactions Involving Nucleophile, Arynes and CO2. Molecules 2024, 29, 3152. https://doi.org/10.3390/molecules29133152
Gong S, Xie X, Sun H, Liu Y, Li J, Zhang Z. Recent Progress on Multi-Component Reactions Involving Nucleophile, Arynes and CO2. Molecules. 2024; 29(13):3152. https://doi.org/10.3390/molecules29133152
Chicago/Turabian StyleGong, Shaoxuan, Xiumei Xie, Hongxia Sun, Yuting Liu, Junjie Li, and Zhen Zhang. 2024. "Recent Progress on Multi-Component Reactions Involving Nucleophile, Arynes and CO2" Molecules 29, no. 13: 3152. https://doi.org/10.3390/molecules29133152
APA StyleGong, S., Xie, X., Sun, H., Liu, Y., Li, J., & Zhang, Z. (2024). Recent Progress on Multi-Component Reactions Involving Nucleophile, Arynes and CO2. Molecules, 29(13), 3152. https://doi.org/10.3390/molecules29133152

