Exploring the CO2 Electrocatalysis Potential of 2D Metal–Organic Transition Metal–Hexahydroxytriquinoline Frameworks: A DFT Investigation
Abstract
1. Introduction
2. Results and Discussion
2.1. Characterization of the TM–HHTQ Structure
2.2. Stability of the TM–HHTQ Structure
2.3. Selectivity of TM–HHTQ for CO2RR and HER
2.4. Possible Product Pathways and Adsorption Energies
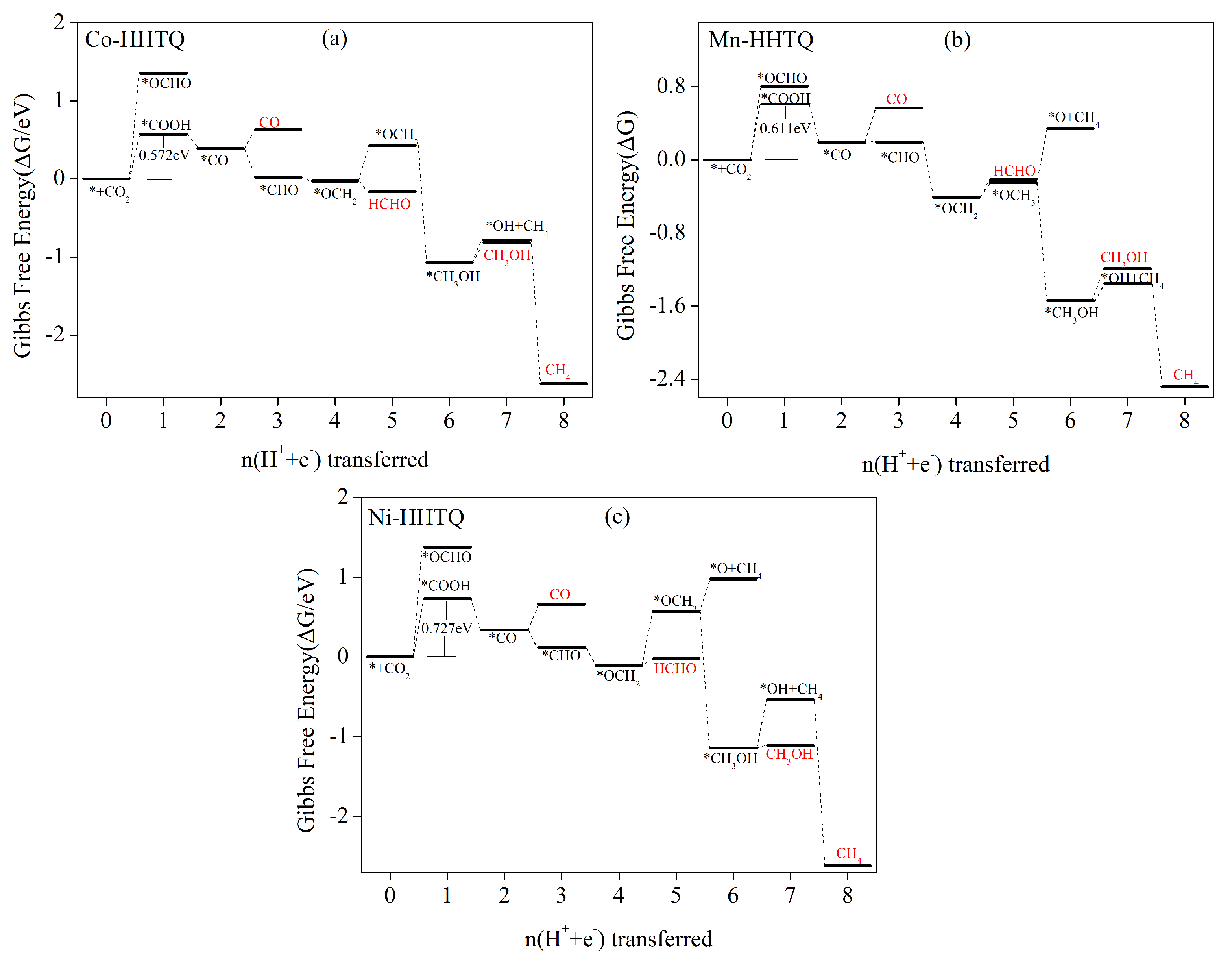
2.5. Reaction Pathways for Electrochemical Reduction of CO2
2.5.1. With CO as the Main Product
2.5.2. The Principal Product of Catalysis Is HCOOH
2.5.3. The Major Catalytic Product Is CH4
2.5.4. Main Product of Catalysis Is CH3OH
2.5.5. Simultaneous Generation of Two Products: HCHO and CH3OH
2.5.6. Formation of CO, HCHO, CH3OH, and CH4 as Products
2.5.7. Three Products, CO, HCHO, and CH4, Are Generated Simultaneously
2.6. Electronic Structure Analysis
3. Calculation Details
4. Conclusions
Supplementary Materials
Author Contributions
Funding
Institutional Review Board Statement
Informed Consent Statement
Data Availability Statement
Conflicts of Interest
References
- Karl, T.R.; Trenberth, K.E. Modern Global Climate Change. Science 2003, 302, 1719–1723. [Google Scholar] [CrossRef] [PubMed]
- Zhang, E.; Wang, T.; Yu, K.; Liu, J.; Chen, W.; Li, A.; Rong, H.; Lin, R.; Ji, S.; Zheng, X.; et al. Bismuth Single Atoms Resulting from Transformation of Metal-Organic Frameworks and Their Use as Electrocatalysts for CO2 Reduction. J. Am. Chem. Soc. 2019, 141, 16569–16573. [Google Scholar] [CrossRef] [PubMed]
- Zhao, C.; Dai, X.; Yao, T.; Chen, W.; Wang, X.; Wang, J.; Yang, J.; Wei, S.; Wu, Y.; Li, Y. Ionic Exchange of Metal-Organic Frameworks to Access Single Nickel Sites for Efficient Electroreduction of CO2. J. Am. Chem. Soc. 2017, 139, 8078–8081. [Google Scholar] [CrossRef] [PubMed]
- Nguyen, D.L.T.; Kim, Y.; Hwang, Y.J.; Won, D.H. Progress in development of electrocatalyst for CO2 conversion to selective CO production. Carbon Energy 2020, 2, 72–98. [Google Scholar] [CrossRef]
- Artz, J.; Müller, T.E.; Thenert, K.; Kleinekorte, J.; Meys, R.; Sternberg, A.; Bardow, A.; Leitner, W. Sustainable Conversion of Carbon Dioxide: An Integrated Review of Catalysis and Life Cycle Assessment. Chem. Rev. 2017, 118, 434–504. [Google Scholar] [CrossRef]
- Ye, L.; Liu, J.; Gao, Y.; Gong, C.; Addicoat, M.A.; Heine, T.; Wöll, C.; Sun, L. Highly oriented MOF thin film-based electrocatalytic device for the reduction of CO2 to CO exhibiting high faradaic efficiency. J. Mater. Chem. A 2016, 4, 15320–15326. [Google Scholar] [CrossRef]
- Deng, P.; Yang, F.; Wang, Z.; Chen, S.; Zhou, Y.; Zaman, S.; Xia, B.Y. Metal-Organic Frameworks-derived Carbon Nanorods Encapsulated Bismuth Oxides for Rapid and Selective CO2 Electroreduction to Formate. Angew. Chem. 2020, 59, 10807–10813. [Google Scholar] [CrossRef]
- Graciani, J.; Mudiyanselage, K.; Xu, F.; Baber, A.E.; Evans, J. Highly active copper-ceria and copper-ceria-titania catalysts for methanol synthesis from CO2. Science 2014, 345, 546–550. [Google Scholar] [CrossRef] [PubMed]
- Ouyang, T.; Huang, H.H.; Wang, J.; Zhong, D.C.; Lu, T. A Dinuclear Cobalt Cryptate as a Homogeneous Photocatalyst for Highly Selective and Efficient Visible-Light Driven CO2 Reduction to CO in CH3 CN/H2O Solution. Angew. Chem. 2017, 56, 738–743. [Google Scholar] [CrossRef]
- Schuchmann, K.; Müller, V. Direct and Reversible Hydrogenation of CO2 to Formate by a Bacterial Carbon Dioxide Reductase. Science 2013, 342, 1382–1385. [Google Scholar] [CrossRef]
- Birdja, Y.Y.; Pérez-Gallent, E.; Figueiredo, M.C.; Göttle, A.J.; Calle-Vallejo, F.; Koper, M.T.M. Advances and challenges in understanding the electrocatalytic conversion of carbon dioxide to fuels. Nat. Energy 2019, 4, 732–745. [Google Scholar] [CrossRef]
- Qiao, J.; Liu, Y.; Hong, F.F.; Zhang, J. A review of catalysts for the electroreduction of carbon dioxide to produce low-carbon fuels. Chem. Soc. Rev. 2014, 43, 631–675. [Google Scholar] [CrossRef] [PubMed]
- Ko, M.; Mendecki, L.; Mirica, K.A. Conductive two-dimensional metal-organic frameworks as multifunctional materials. Chem. Commun. 2018, 54, 7873–7891. [Google Scholar] [CrossRef] [PubMed]
- Sun, L.; Campbell, M.G.; Dincǎ, M. Electrically Conductive Porous Metal-Organic Frameworks. Angew. Chem. 2016, 55, 3566–3579. [Google Scholar] [CrossRef]
- Zhao, M.; Huang, Y.; Peng, Y.; Huang, Z.; Ma, Q.; Zhang, H. Two-dimensional metal-organic framework nanosheets: Synthesis and applications. Chem. Soc. Rev. 2018, 47, 6267–6295. [Google Scholar] [CrossRef] [PubMed]
- Wu, H.B.; Lou, X.W.D. Metal-organic frameworks and their derived materials for electrochemical energy storage and conversion: Promises and challenges. Sci. Adv. 2017, 3, eaap9252. [Google Scholar] [CrossRef]
- Wu, D.; Guo, Z.; Yin, X.; Pang, Q.; Tu, B.; Zhang, L.; Wang, Y.; Li, Q. Metal–Organic Frameworks as Cathode Materials for Li–O2 Batteries. Adv. Mater. 2014, 26, 3258–3262. [Google Scholar] [CrossRef]
- Zhao, R.; Liang, Z.; Zou, R.; Xu, Q. Metal-Organic Frameworks for Batteries. Joule 2018, 2, 2235–2259. [Google Scholar] [CrossRef]
- Yuan, S.; Feng, L.; Wang, K.; Pang, J.; Bosch, M.; Lollar, C.T.; Sun, Y.; Qin, J.; Yang, X.; Zhang, P.; et al. Stable Metal–Organic Frameworks: Design, Synthesis, and Applications. Adv. Mater. 2018, 30, 1704303. [Google Scholar] [CrossRef]
- Zhao, S.; Wang, Y.; Dong, J.; He, C.; Yin, H.; An, P.; Zhao, K.; Zhang, X.; Gao, C.; Zhang, L.; et al. Ultrathin metal–organic framework nanosheets for electrocatalytic oxygen evolution. Nat. Energy 2016, 1, 16184. [Google Scholar] [CrossRef]
- Park, J.; Hinckley, A.C.; Huang, Z.; Feng, D.; Yakovenko, A.A.; Lee, M.; Chen, S.; Zou, X.; Bao, Z. Synthetic routes for a 2D semiconductive copper hexahydroxybenzene metal—Organic framework. J. Am. Chem. Soc. 2018, 140, 14533–14537. [Google Scholar] [CrossRef] [PubMed]
- Dong, R.; Han, P.; Arora, H.; Ballabio, M.; Karakus, M.; Zhang, Z.; Shekhar, C.; Adler, P.; Petkov, P.S.; Erbe, A.; et al. High-mobility band-like charge transport in a semiconducting two-dimensional metal–organic framework. Nat. Mater. 2018, 17, 1027–1032. [Google Scholar] [CrossRef] [PubMed]
- Day, R.W.; Bediako, D.K.; Rezaee, M.; Parent, L.R.; Parent, L.R.; Skorupskii, G.; Arguilla, M.Q.; Hendon, C.H.; Stassen, I.; Gianneschi, N.C.; et al. Single Crystals of Electrically Conductive Two-Dimensional Metal–Organic Frameworks: Structural and Electrical Transport Properties. ACS Cent. Sci. 2019, 5, 1959–1964. [Google Scholar] [CrossRef] [PubMed]
- Sheberla, D.; Sun, L.; Blood-Forsythe, M.A.; Er, S.; Wade, C.R.; Brozek, C.K.; Aspuru-Guzik, A.; Dincǎ, M. High electrical conductivity in Ni3(2,3,6,7,10,11-hexaiminotriphenylene)2, a semiconducting metal-organic graphene analogue. J. Am. Chem. Soc. 2014, 136, 8859–8862. [Google Scholar] [CrossRef]
- Cui, Y.; Yan, J.; Chen, Z.; Xing, W.; Ye, C.; Li, X.; Zou, Y.; Sun, Y.; Liu, C.; Xu, W.; et al. Synthetic Route to a Triphenylenehexaselenol-Based Metal Organic Framework with Semi-conductive and Glassy Magnetic Properties. iScience 2019, 23, 100812. [Google Scholar] [CrossRef] [PubMed]
- Wada, K.; Sakaushi, K.; Sasaki, S.; Nishihara, H. Multielectron-Transfer-based Rechargeable Energy Storage of Two-Dimensional Coordination Frameworks with Non-Innocent Ligands. Angew. Chem. 2018, 57, 8886–8890. [Google Scholar] [CrossRef]
- Deng, X.; Li, R.; Wu, S.; Wang, L.; Hu, J.; Ma, J.; Jiang, W.; Zhang, N.; Zheng, X.; Gao, C.; et al. Metal-Organic Framework Coating Enhances the Performance of Cu2O in Photoelectrochemical CO2 Reduction. J. Am. Chem. Soc. 2019, 141, 10924. [Google Scholar] [CrossRef]
- Trickett, C.A.; Helal, A.; Al-Maythalony, B.A.; Yamani, Z.H.; Cordova, K.E.; Yaghi, O.M. The chemistry of metal–organic frameworks for CO2 capture, regeneration and conversion. Nat. Rev. Mater. 2017, 2, 17045. [Google Scholar] [CrossRef]
- Zhou, H.; Long, J.R.; Yaghi, O.M. Introduction to metal-organic frameworks. Chem. Rev. 2012, 112, 673–674. [Google Scholar] [CrossRef]
- Furukawa, H.; Cordova, K.E.; O’Keeffe, M.; Yaghi, O.M. The Chemistry and Applications of Metal-Organic Frameworks. Science 2013, 341, 1230444. [Google Scholar] [CrossRef]
- Nam, D.H.; Bushuyev, O.S.; Li, J.; de Luna, P.; Seifitokaldani, A.; Dinh, C.T.; de Arquer, F.P.G.; Wang, Y.; Liang, Z.; Proppe, A.H.; et al. Metal-Organic Frameworks Mediate Cu Coordination for Selective CO2 Electroreduction. J. Am. Chem. Soc. 2018, 140, 11378–11386. [Google Scholar] [CrossRef] [PubMed]
- Xu, H.Q.; Hu, J.; Wang, D.; Li, Z.; Zhang, Q.; Luo, Y.; Yu, S.; Jiang, H. Visible-Light Photoreduction of CO2 in a Metal-Organic Framework: Boosting Electron-Hole Separation via Electron Trap States. J. Am. Chem. Soc. 2015, 137, 13440. [Google Scholar] [CrossRef] [PubMed]
- Li, J.; Yu, J.; Lu, W.; Sun, L.B.; Sculley, J.P.; Balbuena, P.B.; Zhou, H. Porous materials with pre-designed single-molecule traps for CO2 selective adsorption. Nat. Commun. 2013, 4, 1538. [Google Scholar] [CrossRef] [PubMed]
- Liu, J.; Chen, L.; Cui, H.; Zhang, J.; Zhang, L.; Su, C. Applications of metal-organic frameworks in heterogeneous supramolecular catalysis. Chem. Soc. Rev. 2014, 43, 6011–6061. [Google Scholar] [CrossRef] [PubMed]
- Cui, Y.; Xu, H.; Yue, Y.; Guo, Z.; Yu, J.; Chen, Z.; Gao, J.; Yang, Y.; Qian, G.; Chen, B. A luminescent mixed-lanthanide metal-organic framework thermometer. J. Am. Chem. Soc. 2012, 134, 3979–3982. [Google Scholar] [CrossRef] [PubMed]
- Tian, Y.; Zhu, C.; Yan, L.; Zhao, J.; Su, Z. Two-dimensional π-conjugated metal bis(dithiolene) nanosheets as promising electrocatalysts for carbon dioxide reduction: A computational study. J. Mater. Chem. A 2019, 7, 15341–15346. [Google Scholar] [CrossRef]
- Mao, X.; Tang, C.; He, T.; Wijethunge, D.; Yan, C.; Zhu, Z.; Du, A. Computational screening of MN4 (M = Ti-Cu) based metal organic frameworks for CO2 reduction using the d-band centre as a descriptor. Nanoscale 2020, 12, 6188–6194. [Google Scholar] [CrossRef] [PubMed]
- Zhu, Q.; Yang, D.; Liu, H.; Sun, X.; Chen, C.; Bi, J.; Liu, J.; Wu, H.; Han, B. Hollow metal organic framework-mediated in-situ architecture of copper dendrites for enhanced CO2 electroreduction. Angew. Chem. 2020, 59, 8896–8901. [Google Scholar] [CrossRef] [PubMed]
- Kang, X.; Li, L.; Sheveleva, A.M.; Han, X.; Li, J.; Liu, L.; Tuna, F.; McInnes, E.J.L.; Han, B.; Yang, S.; et al. Electro-reduction of carbon dioxide at low over-potential at a metal–organic framework decorated cathode. Nat. Commun. 2020, 11, 5464. [Google Scholar] [CrossRef]
- Dou, S.; Song, J.; Xi, S.; Du, Y.; Wang, J.; Huang, Z.; Xu, Z.J.; Wang, X. Boosting Electrochemical CO2 Reduction on Metal-Organic Frameworks via Ligand Doping. Angew. Chem. 2019, 58, 4041–4045. [Google Scholar] [CrossRef]
- Yi, J.; Si, D.; Xie, R.; Yin, Q.; Zhang, M.; Wu, Q.; Chai, G.; Huang, Y.; Cao, R. Conductive Two-Dimensional Phthalocyanine-based Metal-Organic Framework Nanosheets for Efficient Electroreduction of CO2. Angew. Chem. 2021, 60, 17108–17114. [Google Scholar] [CrossRef] [PubMed]
- Zhong, H.; Ghorbani-Asl, M.; Ly, K.H.; Zhang, J.; Ge, J.; Wang, M.; Liao, Z.; Makarov, D.; Zschech, E.; Brunner, E.; et al. Synergistic electroreduction of carbon dioxide to carbon monoxide on bimetallic layered conjugated metal-organic frameworks. Nat. Commun. 2020, 11, 1409. [Google Scholar] [CrossRef] [PubMed]
- Matheu, R.; Gutiérrez-Puebla, E.; Monge, M.Á.; Diercks, C.S.; Kang, J.; Prévot, M.S.; Pei, X.; Hanikel, N.; Zhang, B.; Yang, P.; et al. Three-Dimensional Phthalocyanine Metal-Catecholates for High Electrochemical Carbon Dioxide Reduction. J. Am. Chem. Soc. 2019, 141, 17081–17085. [Google Scholar] [CrossRef] [PubMed]
- Meng, Z.; Luo, J.; Li, W.; Mirica, K.A. Hierarchical Tuning of the Performance of Electrochemical Carbon Dioxide Reduction Using Conductive Two-Dimensional Metallophthalocyanine Based Metal-Organic Frameworks. J. Am. Chem. Soc. 2020, 142, 21656–21669. [Google Scholar] [CrossRef] [PubMed]
- Buyukcakir, O.; Yuksel, R.; Jiang, Y.; Lee, S.H.; Seong, W.K.; Chen, X.; Ruoff, R.S. Synthesis of Porous Covalent Quinazoline Networks (CQNs) and Their Gas Sorption Properties. Angew. Chem. 2019, 58, 872–876. [Google Scholar] [CrossRef] [PubMed]
- Kumar, S.; Wachtel, E.J.; Keinan, E. Hexaalkoxytricycloquinazolines: New discotic liquid crystals. J. Org. Chem. 1993, 58, 3821–3827. [Google Scholar] [CrossRef]
- Song, X.; Wang, X.; Li, Y.; Zheng, C.; Zhang, B.; Di, C.; Li, F.; Jin, C.; Mi, W.; Chen, L.; et al. 2D Semiconducting Metal-Organic Framework Thin Films for Organic Spin Valves. Angew. Chem. 2019, 59, 1118–1123. [Google Scholar] [CrossRef] [PubMed]
- Hmadeh, M.; Lu, Z.; Liu, Z.; Gándara, F.; Furukawa, H.; Wan, S.; Augustyn, V.; Chang, R.; Liao, L.; Zhou, F.; et al. New Porous Crystals of Extended Metal-Catecholates. Chem. Mater. 2012, 24, 3511–3513. [Google Scholar] [CrossRef]
- Fernández-Herrera, M.A.; Barroso-Flores, J.; Merino, G. Seeking the most stable isomer of azahomocubanes. RSC Adv. 2023, 13, 27672–27675. [Google Scholar] [CrossRef]
- Murillo, F.; Quintal, A.; Dzib, E.; Zarate, X.; Fernández-Herrera, M.A.; Merino, G. Revisiting the Formation Mechanism of Diarylamines via Smiles Rearrangement. J. Phys. Org. Chem. 2022, 35, e4427. [Google Scholar] [CrossRef]
- Hernández-Juárez, G.; Vásquez-Espinal, A.; Murillo, F.; Quintal, A.; Ortíz-Chi, F.; Zarate, X.; Barroso, J.; Merino, G. Unveiling the electronic and structural consequences of removing two electrons from B12H122. Dalton Trans. 2023, 52, 17398–17406. [Google Scholar] [CrossRef] [PubMed]
- Zeng, X.; Liao, L.; Wang, M.; Wang, H. Rare-earth metal-N6 centers in porous carbon for electrocatalytic CO2 reduction. Phys. Chem. Chem. Phys. PCCP 2023, 25, 20381–20394. [Google Scholar] [CrossRef] [PubMed]
- Liu, J.H.; Yang, L.; Ganz, E. Electrocatalytic reduction of CO2 by two-dimensional transition metal porphyrin sheets. J. Mater. Chem. A 2019, 7, 11944–11952. [Google Scholar] [CrossRef]
- Zeng, X.; Liao, L.; Wang, M.; Wang, H. Density functional calculation of two-dimensional transition metal-hexaiminotriphenylene (TM-HITP) electrocatalytic CO2 reduction. Catal. Sci. Technol. 2023, 13, 5351–5364. [Google Scholar] [CrossRef]
- Zeng, X.; Liao, L.; Yu, Q.; Wang, M.; Wang, H. Theoretical Prediction of Electrocatalytic Reduction of CO2 Using a 2D Catalyst Composed of 3d Transition Metal and Hexaamine Dipyrazino Quinoxaline. Chemistry 2023, 29, e202302232. [Google Scholar] [CrossRef]
- Zeng, X.; Tu, Z.J.; Yuan, Y.; Liao, L.; Xiao, C.; Wen, Y.; Xiong, K. Two-Dimensional Transition Metal-Hexaaminobenzene Monolayer Single-Atom Catalyst for Electrocatalytic Carbon Dioxide Reduction. Nanomaterials 2022, 12, 4005. [Google Scholar] [CrossRef] [PubMed]
- Zeng, X.; Xiao, C.; Liao, L.; Tu, Z.J.; Lai, Z.; Xiong, K.; Wen, Y. Two-Dimensional (2D) TM-Tetrahydroxyquinone Metal–Organic Framework for Selective CO2 Electrocatalysis: A DFT Investigation. Nanomaterials 2022, 12, 4049. [Google Scholar] [CrossRef] [PubMed]
- Shi, C.; Chan, K.; Yoo, J.S.; Nørskov, J.K. Barriers of Electrochemical CO2 Reduction on Transition Metals. Org. Process. Res. Dev. 2016, 20, 1424–1430. [Google Scholar] [CrossRef]
- Delley, B. From molecules to solids with the DMol3 approach. J. Chem. Phys. 2000, 113, 7756–7764. [Google Scholar] [CrossRef]
- Perdew, J.P.; Ernzerhof, M.; Burke, K. Rationale for mixing exact exchange with density functional approximations. J. Chem. Phys. 1996, 105, 9982–9985. [Google Scholar] [CrossRef]
- Delley, B. Hardness conserving semilocal pseudopotentials. Phys. Rev. B 2002, 66, 155125. [Google Scholar] [CrossRef]
- Grimme, S. Semiempirical GGA-type density functional constructed with a long-range dispersion correction. J. Comput. Chem. 2006, 27, 1787–1799. [Google Scholar] [CrossRef] [PubMed]
- Sun, Q.; Sun, C.; Du, A.; Dou, S.X.; Li, Z. In-plane graphene/boron-nitride heterostructures as an efficient metal-free electrocatalyst for the oxygen reduction reaction. Nanoscale 2016, 8, 14084–14091. [Google Scholar] [CrossRef] [PubMed]
- Qin, G.; Du, A.; Sun, Q. A theoretical insight into a feasible strategy for the fabrication of borophane. Phys. Chem. Chem. Phys. PCCP 2018, 20, 16216–16221. [Google Scholar] [CrossRef] [PubMed]
- Qin, G.; Cui, Q.; Yun, B.; Sun, L.; Du, A.; Sun, Q. High capacity and reversible hydrogen storage on two dimensional C2N monolayer membrane. Int. J. Hydrogen Energy 2018, 43, 9895–9901. [Google Scholar] [CrossRef]
- Klamt, A.; Schüürmann, G. COSMO: A new approach to dielectric screening in solvents with explicit expressions for the screening energy and its gradient. J. Chem.-Soc.-Perkin Trans. 2 1993, 2, 799–805. [Google Scholar] [CrossRef]













| TM-THQ | /e | Spin-TM | /e | /Å |
|---|---|---|---|---|
| Sc | 0.954 | 0.000 | −0.240 | 2.074 |
| Ti | 0.796 | 0.564 | −0.210 | 1.985 |
| V | 0.604 | 1.851 | −0.192 | 1.951 |
| Cr | 0.632 | 3.290 | −0.217 | 1.957 |
| Mn | 0.525 | 3.576 | −0.189 | 1.907 |
| Fe | 0.414 | 2.440 | −0.172 | 1.897 |
| Co | 0.273 | 1.219 | −0.162 | 1.884 |
| Ni | 0.241 | 0.000 | −0.158 | 1.896 |
| Cu | 0.475 | 0.506 | −0.214 | 1.960 |
| Zn | 0.580 | 0.000 | −0.2187 | 2.060 |
| TM–HHTQ | Rate-Determining Step | Product | ||
|---|---|---|---|---|
| Sc | * + CO2 + H+ + e− → *COOH | −1.173 | CO | 1.067 |
| HCHO | 1.103 | |||
| CH4 | 1.342 | |||
| Ti | *OCHOH → * + HCOOH | −0.856 | HCOOH | 0.606 |
| V | *CO + H2O + H+ + e− → *CHO + H2O | −0.506 | CH4 | 0.675 |
| Cr | *OCHOH → * + HCOOH | −0.486 | HCOOH | 0.236 |
| Mn | * + CO2 + H+ + e− → *COOH | −0.611 | CO | 0.505 |
| HCHO | 0.541 | |||
| CH3OH | 0.627 | |||
| CH4 | 0.78 | |||
| Fe | * + CO2 + H+ + e− →*COOH | −0.412 | HCHO | 0.342 |
| Co | * + CO2 + H+ + e− → *COOH | −0.572 | CO | 0.428 |
| HCHO | 0.466 | |||
| CH3OH | 0.502 | |||
| CH4 | 0.588 | |||
| Ni | * + CO2 + H+ + e− → *COOH | −0.727 | CO | 0.741 |
| HCHO | 0.621 | |||
| CH3OH | 0.657 | |||
| CH4 | 0.743 | |||
| Cu | * + CO2 + H+ + e− → *OCHO | −1.030 | CH3OH | 0.96 |
| Zn | * + CO2 + H+ + e− →*COOH | −0.860 | CO | 1.046 |
Disclaimer/Publisher’s Note: The statements, opinions and data contained in all publications are solely those of the individual author(s) and contributor(s) and not of MDPI and/or the editor(s). MDPI and/or the editor(s) disclaim responsibility for any injury to people or property resulting from any ideas, methods, instructions or products referred to in the content. |
© 2024 by the authors. Licensee MDPI, Basel, Switzerland. This article is an open access article distributed under the terms and conditions of the Creative Commons Attribution (CC BY) license (https://creativecommons.org/licenses/by/4.0/).
Share and Cite
Wen, Y.; Jiang, D.; Lai, Z.; Zeng, X.; Liu, B.; Xiao, Y.; Ruan, W.; Xiong, K. Exploring the CO2 Electrocatalysis Potential of 2D Metal–Organic Transition Metal–Hexahydroxytriquinoline Frameworks: A DFT Investigation. Molecules 2024, 29, 2896. https://doi.org/10.3390/molecules29122896
Wen Y, Jiang D, Lai Z, Zeng X, Liu B, Xiao Y, Ruan W, Xiong K. Exploring the CO2 Electrocatalysis Potential of 2D Metal–Organic Transition Metal–Hexahydroxytriquinoline Frameworks: A DFT Investigation. Molecules. 2024; 29(12):2896. https://doi.org/10.3390/molecules29122896
Chicago/Turabian StyleWen, Yufeng, Daguo Jiang, Zhangli Lai, Xianshi Zeng, Bo Liu, Yanan Xiao, Wen Ruan, and Kai Xiong. 2024. "Exploring the CO2 Electrocatalysis Potential of 2D Metal–Organic Transition Metal–Hexahydroxytriquinoline Frameworks: A DFT Investigation" Molecules 29, no. 12: 2896. https://doi.org/10.3390/molecules29122896
APA StyleWen, Y., Jiang, D., Lai, Z., Zeng, X., Liu, B., Xiao, Y., Ruan, W., & Xiong, K. (2024). Exploring the CO2 Electrocatalysis Potential of 2D Metal–Organic Transition Metal–Hexahydroxytriquinoline Frameworks: A DFT Investigation. Molecules, 29(12), 2896. https://doi.org/10.3390/molecules29122896

