Thermodynamic Analysis of n-Nonadecane (C19H40)/1-Octadecanol (C18H37OH) Blends
Abstract
1. Introduction
1.1. Research Backgrounds
1.2. Research Approaching
2. Results
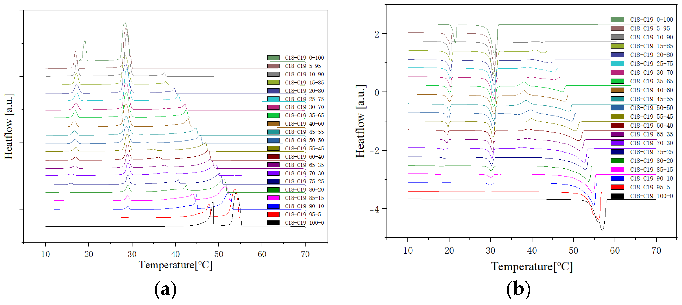
2.1. DSC Diagrams
2.1.1. Cooling Rate at 1 °C/min
2.1.2. Cooling Rate at 0.75 °C/min and 0.5 °C/min
2.1.3. Reproducibility
2.2. FTIR Spectra
2.3. Phase Diagram
2.3.1. Cooling Phase Diagram
2.3.2. Heating Phase Diagram
) Thermal profile of 1-Octadecanol from the liquid state to the R’IV phase, observed across varied proportions of 1-Octadecanol to n-Nonadecane, (
) Temperature trajectory of 1-Octadecanol during its phase transition from R’IV to the Monoclinic (γ) phase, (
) Temperature evolution of n-Nonadecane as it undergoes a phase shift from the liquid state to the R’I phase, (
) Thermal progression of n-Nonadecane during its transition from the R’I phase to the Orthorhombic (β) phase.
) Thermal profile of 1-Octadecanol from the liquid state to the R’IV phase, observed across varied proportions of 1-Octadecanol to n-Nonadecane, (
) Temperature trajectory of 1-Octadecanol during its phase transition from R’IV to the Monoclinic (γ) phase, (
) Temperature evolution of n-Nonadecane as it undergoes a phase shift from the liquid state to the R’I phase, (
) Thermal progression of n-Nonadecane during its transition from the R’I phase to the Orthorhombic (β) phase.
) Thermal profile of 1-Octadecanol from the liquid state to the R’IV phase, observed across varied proportions of 1-Octadecanol to n-Nonadecane, (
) Temperature evolution of n-Nonadecane as it undergoes a phase shift from the liquid state to the R’I phase, (
) Thermal progression of n-Nonadecane during its transition from the R’I phase to the Orthorhombic (β) phase, (
) Phase transitions undergone by 1-Octadecanol.
) Thermal profile of 1-Octadecanol from the liquid state to the R’IV phase, observed across varied proportions of 1-Octadecanol to n-Nonadecane, (
) Temperature evolution of n-Nonadecane as it undergoes a phase shift from the liquid state to the R’I phase, (
) Thermal progression of n-Nonadecane during its transition from the R’I phase to the Orthorhombic (β) phase, (
) Phase transitions undergone by 1-Octadecanol.
3. Materials and Methods
3.1. Mass Calculation
| Sample No. | Molar Fraction (C18OH/C19) | n-Nonadecane Mass (g) | 1-Octadecanol Mass (g) | Total Mass (g) |
|---|---|---|---|---|
| 1 | 0 | 0 | 0.03 | 0.03 |
| 2 | 5 | 0.001923 | 0.037107 | 0.03903 |
| 3 | 10 | 0.003846 | 0.035154 | 0.039 |
| 4 | 15 | 0.005769 | 0.033201 | 0.03897 |
| 5 | 20 | 0.007692 | 0.031248 | 0.03894 |
| 6 | 25 | 0.009615 | 0.029295 | 0.03891 |
| 7 | 30 | 0.011538 | 0.027342 | 0.03888 |
| 8 | 35 | 0.013461 | 0.025389 | 0.03885 |
| 9 | 40 | 0.015384 | 0.023436 | 0.03882 |
| 10 | 45 | 0.017307 | 0.021483 | 0.03879 |
| 11 | 50 | 0.01923 | 0.01953 | 0.03876 |
| 12 | 55 | 0.021153 | 0.017577 | 0.03873 |
| 13 | 60 | 0.023076 | 0.015624 | 0.0387 |
| 14 | 65 | 0.024999 | 0.013571 | 0.03857 |
| 15 | 70 | 0.026922 | 0.011718 | 0.03864 |
| 16 | 75 | 0.028845 | 0.009765 | 0.03861 |
| 17 | 80 | 0.030768 | 0.007812 | 0.03858 |
| 18 | 85 | 0.032691 | 0.005859 | 0.03855 |
| 19 | 90 | 0.034614 | 0.003906 | 0.03852 |
| 20 | 95 | 0.036537 | 0.001953 | 0.03849 |
| 21 | 100 | 0.03 | 0 | 0.03 |
3.2. Data Collection and Analysis
3.2.1. DSC
3.2.2. FTIR
4. Discussions and Prospects
Author Contributions
Funding
Institutional Review Board Statement
Informed Consent Statement
Data Availability Statement
Acknowledgments
Conflicts of Interest
References
- Anwar, M.; Turci, F.; Schilling, T. Crystallization mechanism in melts of short n-alkane chains. J. Chem. Phys. 2013, 139, 214904. [Google Scholar] [CrossRef] [PubMed]
- Dhanyalakshmi, K.; Soolanayakanahally, R.; Rahman, T.; Tanino, K.; Nataraja, K. Leaf Cuticular Wax, a Trait for Multiple Stress Resistance in Crop Plants; IntechOpen: London, UK, 2022; Available online: https://www.academia.edu/47867774/Leaf_Cuticular_Wax_a_Trait_for_Multiple_Stress_Resistance_in_Crop_Plants (accessed on 3 September 2022).
- Carey, F.; Giuliano, R. Synthesis of 7,9-DI-O-Methly-11-Oxosibirmoycinone. J. Org. Chem. 1981, 46, 1366–1371. [Google Scholar] [CrossRef]
- Maissara, M.; Devaure, J. Raman study of n-nonadecane and n-heneicosane mixtures in the solid state. J. Raman Spectrosc. 1987, 18, 425–428. [Google Scholar] [CrossRef]
- Buschhaus, C.; Jetter, R. Composition and Physiological Function of the Wax Layers Coating Arabidopsis Leaves: β-Amyrin Negatively Affects the Intracuticular Water Barrier. Plant Physiol. 2012, 160, 1120–1129. [Google Scholar] [CrossRef] [PubMed]
- Lehmler, H.; Bergosh, R.; Meier, M.; Carlson, R. A novel synthesis of branched high-molecular-weight (C-40(+)) long-chain alkanes. Biosci. Biotechnol. Biochem. 2002, 66, 523–531. [Google Scholar] [CrossRef] [PubMed]
- Ventolà, L.; Calvet, T.; Cuevas-Diarte, M.; Solans, X.; Mondieig, D.; Négrier, P.; van Miltenburg, J. Solid state equilibrium in the n-alkanols family: The stability of binary mixed samples. Phys. Chem. Chem. Phys. 2003, 5, 947–952. [Google Scholar] [CrossRef][Green Version]
- Koch, K.; Barthlott, W.; Koch, S.; Hommes, A.; Wandelt, K.; Mamdouh, W.; De-Feyter, S.; Broekmann, P. Structural analysis of wheat wax (Triticum aestivum, c.v. ‘Naturastar’ L.): From the molecular level to three dimensional crystals. Planta 2005, 223, 258–270. [Google Scholar] [CrossRef] [PubMed]
- PubChem. Available online: https://pubchem.ncbi.nlm.nih.gov/compound/8221 (accessed on 28 June 2022).
- HSDB. Available online: https://toxnet.nlm.nih.gov (accessed on 16 July 2022).
- Estimation of Henry’s Law Constant for a Diverse Set of Organic Compounds from Molecular Structure. Available online: https://cfpub.epa.gov/si/si_public_record_report.cfm?Lab=NERL&dirEntryId=191325 (accessed on 6 August 2022).
- Jetter, R.; Riederer, M. Localization of the Transpiration Barrier in the Epi- and Intra-cuticular Waxes of Eight Plant Species: Water Transport Resistances Are Associated with Fatty Acyl Rather Than Alicyclic Components. Plant Physiol. 2022, 170, 921–934. [Google Scholar] [CrossRef] [PubMed]
- Janardhanaiah, M.; Gangadhar, S.; Govinda, V.; Sreenivasulu, K.; Venkateswarlu, P. Effect of alkanol chain length on excess thermodynamic properties of p-cresol with 1-alkanol (C3–C8) at 298.15, 303.15, 308.15 and 313.15 K. J. Mol. Liq. 2015, 211, 169–177. [Google Scholar] [CrossRef]
- Van Maarseveen, C.; Han, H.; Jetter, R. Development of the cuticular wax during growth of Kalanchoe daigremontiana (Hamet et Perr. de la Bathie) leaves. Plant Cell Environ. 2009, 32, 73–81. [Google Scholar] [CrossRef]
- Lee, T.; Greenkorn, R.; Chao, K. Statistical thermodynamics of group interaction in n-alkane-n-alkanol and n-alkanol-n-alkanol solutions. Chem. Eng. Sci. 1973, 28, 1005–1011. [Google Scholar] [CrossRef]
- Yeats, T.; Rose, J. The Formation and Function of Plant Cuticles. Plant Physiol. 2013, 163, 5–20. [Google Scholar] [CrossRef]
- Koornneef, M.; Hanhart, C.; Hilhorst, H.; Karssen, C. In Vivo Inhibition of Seed Development and Reserve Protein Accumulation in Recombinants of Abscisic Acid Biosynthesis and Responsiveness Mutants in Arabidopsis thaliana. Plant Physiol. 1989, 90, 463–469. [Google Scholar] [CrossRef]
- Lee, Y.H.; Dean, R.A. Hydrophobicity of contact surface induces appressorium formation in Magnaporthe grisea. FEMS Microbiol. Lett. 1994, 115, 71–75. [Google Scholar] [CrossRef]
- Gilbert, S.; Opitz, J.; Raff, R. Resynthesizing Evolutionary and Developmental Biology. Dev. Biol. 1996, 173, 357–372. [Google Scholar] [CrossRef] [PubMed]
- Bessire, M.; Chassot, C.; Jacquat, A.; Humphry, M.; Borel, S.; Petétot, J.; Métraux, J.; Nawrath, C. A permeable cuticle in Arabidopsis leads to a strong resistance to Botrytis cinerea. EMBO J. 2007, 26, 2158–2168. [Google Scholar] [CrossRef] [PubMed]
- Delventhal, R.; Falter, C.; Strugala, R.; Zellerhoff, N.; Schaffrath, U. Ectoparasitic growth of Magnaporthe on barley triggers expression of the putative barley wax biosynthesis gene CYP96B22 which is involved in penetration resistance. BMC Plant Biol. 2014, 14, 26. [Google Scholar] [CrossRef] [PubMed]
- Hen-Avivi, S.; Savin, O.; Racovita, R.; Lee, W.; Adamski, N.; Malitsky, S. A Metabolic Gene Cluster in the Wheat W1 and the Barley Cer-cqu Loci Determines β-Diketone Biosynthesis and Glaucousness. Plant Cell 2016, 28, 1440–1460. [Google Scholar] [CrossRef] [PubMed]
- Heredia-Guerrero, J.; BenÃtez, J.; DomÃnguez, E.; Bayer, I.; Cingolani, R.; Athanassiou, A.; Heredia, A. Infrared and Raman spectroscopic features of plant cuticles: A review. Front. Plant Sci. 2014, 5, 305. [Google Scholar] [CrossRef]
- Liu, J.; Sheng, L.; Xu, Y.; Li, J.; Yang, Z.; Huang, H.; Xu, L. WOX11 and 12 Are Involved in the First-Step Cell Fate Transition during de Novo Root Organogenesis in Arabidopsis. Plant Cell 2014, 26, 1081–1093. [Google Scholar] [CrossRef]
- Riederer, M.; Muller, C. Biology of the Plant Cuticle. Annu. Plant Rev. 2006, 23, 250–272. [Google Scholar]
- Rajabalee, F.; Espeau, P.; Haget, Y. n-octane plus n-decane: A eutectic system in the n-alkane family; Experimental phase diagram and thermodynamic analysis. Mol. Cryst. Liq. Cryst. 1995, 269, 165–173. [Google Scholar] [CrossRef]
- Metivaud, V.; Rajabalee, F.; Cuevas-Diarte, M.A.; Calvet, T.; Mondieig, D.; Haget, Y. The “low temperature” structural behaviour of the binary system octadecane (C18H38) plus nonadecane (C19H40). Experimental equilibrium phase diagram. An. Quim.-Int. Ed. 1998, 94, 396. [Google Scholar]
- Metivaud, V.; Rajabalee, F.; Cuevas-Diarte, M.A.; Mondieig, D.; Haget, Y. Solid-solid and solid-liquid equilibria in the heneicosane-docosane binary system. Chem. Mater. 1999, 11, 117. [Google Scholar] [CrossRef]
- Rajabalee, F.; Me’tivaud, V.; Mondieig, D.; Oonk, H.A.J.; Haget, Y. Thermodynamic analysis of solid-solid and solid-liquid equilibria in binary systems composed of n-alkanes: Application to the system tricosane (C23H48) plus pentacosane (C25H52). Chem. Mater. 1999, 11, 2788. [Google Scholar] [CrossRef]
- Rajabalee, F.; Métivaud, V.; Mondieig, D.; Oonk, H.A.J.; Haget, Y. Structural and energetic behavior of mixed samples in the hexacosane (n-C26H54)/octacosane (n-C28H58) system: Solid-solid and solid-liquid equilibria. Helv. Chim. Acta 1999, 82, 1916. [Google Scholar] [CrossRef]
- Mondieig, D.; Rajabalee, F.; Metivaud, V.; Oonk, H.A.J.; Cuevas-Diarte, M.A. n-alkane binary molecular alloys. Chem. Mater. 2004, 16, 786–798. [Google Scholar] [CrossRef]
- Rajabalee, F.; Métivaud, V.; Mondieig, D.; Haget, Y.; Cuevas-Diarte, M.A. New insights on the crystalline forms in binary systems of n-alkanes: Characterization of the solid ordered phases in the phase diagram tricosane plus pentacosane. J. Mater. Researh 1999, 14, 2644. [Google Scholar] [CrossRef][Green Version]
- Hastie, G.P.; Roberts, K.J. Investigation of inter- and intra-molecular packing in the solid state for crystals of normal alkanes and homologous mixtures using FT-IR spectroscopy. J. Mater. Sci. 1994, 29, 1915–1919. [Google Scholar] [CrossRef]
- Gorce, J.; Spells, S. FTIR studies of conformational disorder: Crystal perfecting in long chain n-alkane. Polymer 2004, 45, 3297–3303. [Google Scholar] [CrossRef]
- Dirand, M.; Bouroukba, M.; Chevallier, V.; Petitjean, D.; Behar, E.; Ruffier-Meray, V. Normal Alkanes, Multialkane Synthetic Model Mixtures, and Real Petroleum Waxes: Crystallographic Structures, Thermodynamic Properties, and Crystallization. J. Chem. Eng. Data 2002, 47, 115–143. [Google Scholar] [CrossRef]
- Cholakova, D.; Tsvetkova, K.; Tcholakova, S.; Denkov, N. Rheological properties of rotator and crystalline phases of alkanes. Colloids Surf. A Physicochem. Eng. Asp. 2022, 634, 127926. [Google Scholar] [CrossRef]
- Cuevas-Diarte, M.À.; Haget, Y.; Chanh, N.B.; Oonk, H.A.J. Molecular Mixed Crystals, 1st ed.; Springer: Cham, Switzerland, 2021; Volume 3, pp. 9–46. [Google Scholar]
- Cholakova, D.; Denkov, N. Rotator phases in alkane systems: In bulk, surface layers and micro/nano-confinements. Adv. Colloid Interface Sci. 2019, 269, 7–24. [Google Scholar] [CrossRef] [PubMed]
- Pascal, S.; Bernard, A.; Deslous, P.; Gronnier, J.; Fournier-Goss, A.; Domergue, F.; Rowland, O.; Joubès, J. Arabidopsis CER1-LIKE1 functions in a cuticular very-long-chain alkane forming complex. Plant Physiol. 2019, 179, 416. [Google Scholar] [CrossRef] [PubMed]
- Ventolà, L.; Ramírez, M.; Calvet, T.; Solans, X.; Cuevas-Diarte, M.A.; Negrier, P.; Mondieig, D.; van Miltenburg, J.C.; Oonk, H.A.J. Polymorphism of N-alkanols: 1-heptadecanol, 1-octadecanol, 1-nonadecanol, and 1-eicosanol. Chem. Mater. 2002, 14, 508–517. [Google Scholar] [CrossRef]
- Van Miltenburg, J.C.; Oonk, H.A.J.; Ventola, L. Heat capacities and derived thermodynamic functions of 1-octadecanol, 1-nonadecanol, 1-eicosanol, and 1-docosanol between 10 K and 370 K. J. Chem. Eng. Data 2001, 46, 90–97. [Google Scholar] [CrossRef]
- Michaud, F.; Ventolà, L.; Calvet, M.T.; Cuevas-Diarte, M.A.; Solans, X.; Font-Bardía, M. The γ-form of n-eicosanol. Acta Crystallogr. Sect. C-Struct. Chem. 2000, 56, 219–221. [Google Scholar] [CrossRef] [PubMed]
- Cuevas-Diarte, M.À.; Harry, Y.; Oonk, A.J. Molecular Mixed Crystals, 2nd ed.; Springer: Cham, Switzerland, 2021; pp. 27–39. [Google Scholar]
- Zhang, X. Cuticle Wax and Its Correlation with Drought in Camellia sinensis Leaves. Master’s Thesis, Fujian Agriculture and Forestry University, Fuzhou, China, May 2018. [Google Scholar]
- Skamnioti, P.; Gurr, S.J. Magnaporthe grisea cutinase 2 mediates appressorium differentiation and host penetration and is required for full virulence. Plant Cell 2007, 19, 2674. [Google Scholar] [CrossRef]
- Isaacson, T.; Kosma, D.; Matas, A.; Buda, G.; He, Y.; Yu, B.; Pravitasari, A.; Batteas, J.; Stark, R.; Jenks, M.; et al. Cutin deficiency in the tomato fruit cuticle consistently affects resistance to microbial infection and biomechanical properties, but not transpirational water loss. Plant J. 2009, 60, 363–377. [Google Scholar] [CrossRef]




) Exothermic reaction phases of 1-Octadecanol, (
) Endothermic reaction phases. The horizontal coordinate is the time, and the vertical coordinate is the weight difference of the sample.
) Exothermic reaction phases of 1-Octadecanol, (
) Endothermic reaction phases. The horizontal coordinate is the time, and the vertical coordinate is the weight difference of the sample.
): 1, (
): 0.75, (
): 0.5.
): 1, (
): 0.75, (
): 0.5.
): 1, (
): 0.75, (
): 0.5.
): 1, (
): 0.75, (
): 0.5.
): 1, (
): 0.75, (
): 0.5.
): 1, (
): 0.75, (
): 0.5.
): Samples in Table 3, (
): 1st Reproduction, (
): 2nd Reproduction.
): Samples in Table 3, (
): 1st Reproduction, (
): 2nd Reproduction.



| Cn | Molar Mass (g/mol) | Tm (K) | ΔHm (kJ/mol) | TR-C (K) | ΔHR-C (kJ/mol) | ΔHtotal (kJ/mol) | Reference |
|---|---|---|---|---|---|---|---|
| 18 | 270.49 | 330.3 | - | 328.00 | - | - | Miquel Àngel, 2021 [37] |
| 328.2 | 44.742 | 321.78 | 15.756 | 60.498 | This study | ||
| 19 | 268.52 | 304.9 | 45.580 | 295.5 | 13.750 | 59.330 | Dirand et al., 2002 [35] |
| 305.1 | 46.047 | 294.5 | 13.801 | 59.848 | Cholakova et al., 2019 [38] | ||
| 303.6 | 31.417 | 294.2 | 9.134 | 40.551 | This study |
| Composition (C18OH %) | Mw (g/mol) | Tm (K) | ΔHm (kJ/mol) | TR-γ (K) | ΔHR-γ (kJ/mol) | TL-RI (K) | ΔHL-RI (kJ/mol) | TR-Oi (K) | ΔHR-Oi (kJ/mol) | ΔHtotal (kJ/mol) |
|---|---|---|---|---|---|---|---|---|---|---|
| 0 | 268.5200 | 303.60 | 9.134 | - | - | 301.79 | 31.417 | - | - | 40.551 |
| 5 | 268.6185 | 305.02 | 7.211 | - | - | 301.89 | 31.093 | - | - | 38.304 |
| 10 | 268.7170 | 308.33 | 3.727 | - | - | 302.03 | 28.532 | 290.27 | 6.909 | 39.168 |
| 15 | 268.8155 | 316.75 | 4.449 | - | - | 301.71 | 27.107 | 290.18 | 6.804 | 38.36 |
| 20 | 268.9140 | 318.38 | 6.868 | - | - | 301.81 | 26.061 | 290.30 | 6.4619 | 39.391 |
| 25 | 269.0125 | 319.15 | 8.248 | - | - | 301.97 | 24.074 | 290.21 | 5.617 | 37.939 |
| 30 | 269.1110 | 319.62 | 9.368 | - | - | 301.86 | 22.662 | 290.11 | 5.253 | 37.283 |
| 35 | 269.2095 | 321.05 | 11.853 | - | - | 301.91 | 21.542 | 289.87 | 4.937 | 38.332 |
| 40 | 269.3080 | 321.55 | 13.024 | - | - | 301.84 | 21.203 | 289.69 | 4.551 | 38.778 |
| 45 | 269.4065 | 322.61 | 13.899 | - | - | 301.80 | 18.306 | 1289.83 | 3.483 | 35.688 |
| 50 | 269.5050 | 323.3 | 15.669 | 305.48 | 2.647 | 301.87 | 15.402 | 289.98 | 3.339 | 37.057 |
| 55 | 269.6035 | 324.42 | 17.565 | 307.68 | 4.341 | 302.02 | 13.270 | 290.07 | 2.879 | 38.055 |
| 60 | 269.7020 | 325.25 | 18.127 | 309.11 | 5.453 | 302.09 | 11.373 | 289.97 | 2.368 | 37.321 |
| 65 | 269.8005 | 325.62 | 19.431 | 310.47 | 6.904 | 302.07 | 10.279 | 289.78 | 1.983 | 38.597 |
| 70 | 269.8990 | 326.41 | 20.569 | 312.95 | 9.471 | 302.15 | 8.461 | 289.16 | 1.636 | 40.137 |
| 75 | 269.9975 | 326.55 | 19.872 | 313.68 | 9.080 | 302.14 | 5.989 | 289.91 | 1.237 | 36.178 |
| 80 | 270.0960 | 327.27 | 21.454 | 315.56 | 11.590 | 302.11 | 4.303 | - | - | 37.347 |
| 85 | 270.1945 | 328.26 | 21.983 | 317.07 | 13.839 | 302.04 | 3.132 | - | - | 38.954 |
| 90 | 270.2930 | 328.42 | 22.891 | 318.07 | 13.836 | - | - | - | - | 36.727 |
| 95 | 270.3915 | 329.6 | 26.114 | 320.77 | 15.407 | - | - | - | - | 41.521 |
| 100 | 270.4900 | 329.86 | 44.742 | 321.85 | 15.756 | - | - | - | - | 60.498 |
| Sample No. | Molar Fraction (C18OH/C19) | Crucible Weight (Empty)/mg | Crucible Weight (Full)/mg | Sample Weight (mg) |
|---|---|---|---|---|
| Re-1 (1) | 0 | 48.38 | 58.07 | 9.69 |
| Re-1 (11) | 50 | 48.63 | 58.54 | 9.91 |
| Re-1 (21) | 100 | 48.43 | 56.57 | 8.14 |
| Re-2 (1) | 0 | 48.26 | 56.19 | 7.93 |
| Re-2 (11) | 50 | 48.59 | 55.06 | 6.47 |
| Re-2 (21) | 100 | 49.19 | 59.61 | 7.93 |
Disclaimer/Publisher’s Note: The statements, opinions and data contained in all publications are solely those of the individual author(s) and contributor(s) and not of MDPI and/or the editor(s). MDPI and/or the editor(s) disclaim responsibility for any injury to people or property resulting from any ideas, methods, instructions or products referred to in the content. |
© 2024 by the authors. Licensee MDPI, Basel, Switzerland. This article is an open access article distributed under the terms and conditions of the Creative Commons Attribution (CC BY) license (https://creativecommons.org/licenses/by/4.0/).
Share and Cite
Guo, W.; Xing, Y.; Wen, W.; Su, W.; Hou, C.; Li, G.; Ye, L. Thermodynamic Analysis of n-Nonadecane (C19H40)/1-Octadecanol (C18H37OH) Blends. Molecules 2024, 29, 2722. https://doi.org/10.3390/molecules29122722
Guo W, Xing Y, Wen W, Su W, Hou C, Li G, Ye L. Thermodynamic Analysis of n-Nonadecane (C19H40)/1-Octadecanol (C18H37OH) Blends. Molecules. 2024; 29(12):2722. https://doi.org/10.3390/molecules29122722
Chicago/Turabian StyleGuo, Wentao, Yi Xing, Wei Wen, Wei Su, Changjiang Hou, Guotao Li, and Lyumeng Ye. 2024. "Thermodynamic Analysis of n-Nonadecane (C19H40)/1-Octadecanol (C18H37OH) Blends" Molecules 29, no. 12: 2722. https://doi.org/10.3390/molecules29122722
APA StyleGuo, W., Xing, Y., Wen, W., Su, W., Hou, C., Li, G., & Ye, L. (2024). Thermodynamic Analysis of n-Nonadecane (C19H40)/1-Octadecanol (C18H37OH) Blends. Molecules, 29(12), 2722. https://doi.org/10.3390/molecules29122722
