Abstract
Various conjugates with rhodamines were prepared by starting with betulinic acid (BA) and platanic acid (PA). The molecules homopiperazine and piperazine, which were identified in earlier research, served as linkers between the rhodamine and the triterpene. The pentacyclic triterpene’s ring A was modified with two acetyloxy groups in order to possibly boost its cytotoxic activity. The SRB assays’ cytotoxicity data showed that conjugates 13–22, derived from betulinic acid, had a significantly higher cytotoxicity. Of these hybrids, derivatives 19 (containing rhodamine B) and 22 (containing rhodamine 101) showed the best values with EC50 = 0.016 and 0.019 μM for A2780 ovarian carcinoma cells. Additionally, based on the ratio of EC50 values, these two compounds demonstrated the strongest selectivity between malignant A2780 cells and non-malignant NIH 3T3 fibroblasts. A375 melanoma cells were used in cell cycle investigations, which showed that the cells were halted in the G1/G0 phase. Annexin V/FITC/PI staining demonstrated that the tumor cells were affected by both necrosis and apoptosis.
1. Introduction
The modification of natural products to discover and produce pharmaceutically active compounds remains an important aspect of modern drug research. Thereby, some classes of secondary natural products play an outstanding role, e.g., alkaloids or terpenes [1,2,3,4,5,6,7,8,9,10,11,12,13,14,15,16,17,18,19]. The pentacyclic triterpene betulinic acid (BA), for example, was first described in 1995 by E. Pisha [20] regarding its cytotoxic activity, and since then an almost innumerable number of investigations have been carried out on BA, its derivatives, and other triterpenes. Recently, pentacyclic triterpene rhodamine conjugates have been studied more intensively. These compounds are often characterized by a particularly high cytotoxicity, which in some cases lies even in the sub-nanomolar concentration range [21,22,23,24,25,26,27,28,29,30]. At the same time, some of these compounds also showed very good tumor cell/non-tumor cell selectivity, and demonstrated efficacy not only in 2D but also in 3D tumor cell spheroid models [21].
However, it was also shown that the cytotoxic activity of these conjugates depends on all three constituents that build them up: on the one hand, this is the choice of the “right” rhodamine, the suitable spacer between the rhodamine and the triterpene, as well as its type of linkage (amides proved to be better suited than esters; the spacer is preferably a cyclic, secondary amine) and the triterpene itself [25]. Regarding the latter, it was shown that pentacyclic triterpenes exhibit higher cytotoxicity when ring A carries not one but two hydroxyl groups (protected as acetates). Thus, derivatives of maslinic acid were always superior to those of oleanolic acid [31,32,33,34,35,36,37,38,39,40,41,42,43,44,45,46,47], and derivatives of corosolic acid were always better than those of ursolic acid [48,49,50,51,52]. It is therefore obvious to extend these investigations to the field of lupane-type triterpenes and to use differently substituted rhodamines. Since piperazine and homopiperazine spacers have proved particularly successful in the past [25,29], they should also be used in these studies. As an example, we also aimed to investigate how the replacement of the methylene group on betulinic acid with a keto group affects the cytotoxicity of the compounds, and what influence the replacement of an sp2-hybridised center on C-20 with an sp3-hybridised center has.
2. Results
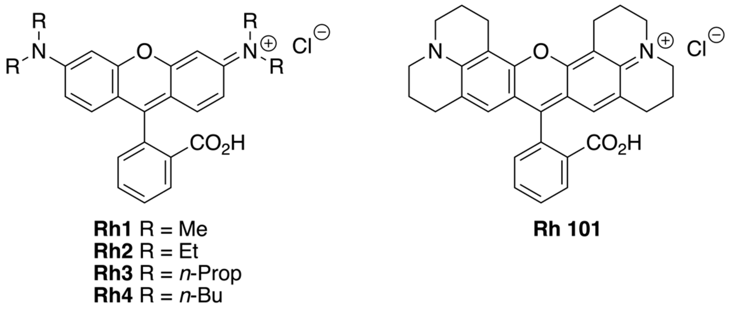
The synthesis of the differently substituted rhodamines Rh1–Rh4 has been described by us before using 3-aminophenol as a starting material [23,33]; their structures as well as those of commercially obtained rhodamine 101 (Rh101) are depicted in Figure 1.
Figure 1.
Structure of the rhodamines Rh1–Rh4 and of rhodamine 101 (Rh101).
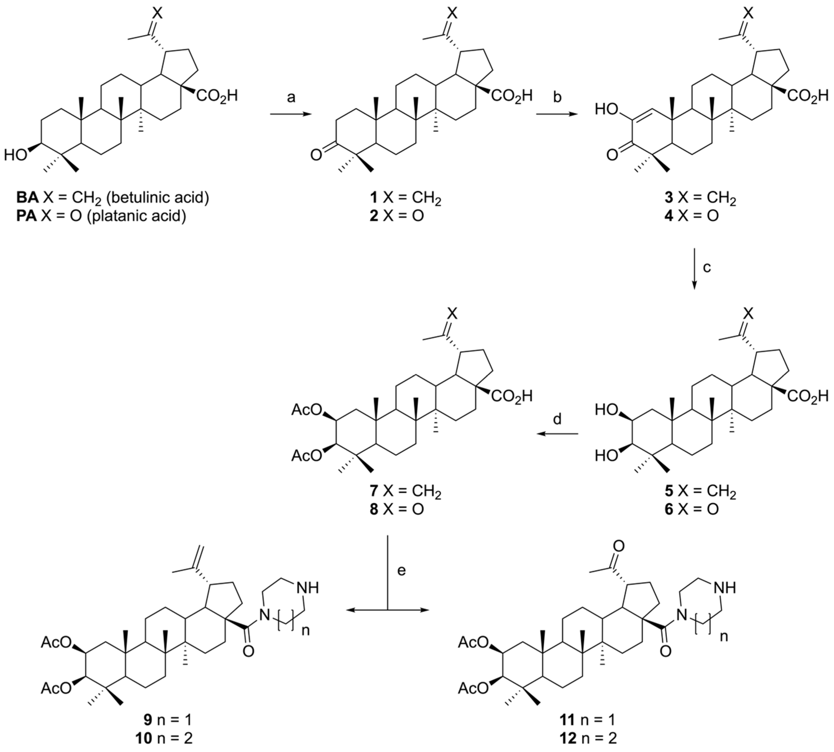
The synthesis of the conjugates was carried out starting from betulinic acid (BA) and platanic acid (PA, Scheme 1); the latter differs from BA in that the C-30 methylene group is replaced by a keto group. A silica-supported Jones oxidation of BA and PA gave products 1 and 2 in good yields [53,54,55]. These were reacted with t-BuOK/air in t-BuOH to produce the C-2 β-configured compounds 3 and 4 [56,57], the reduction of which with NaBH4 gave the 2β,3β-configured diols 5 and 6 [55]. Their acetylation [55] with acetic anhydride yielded the acetates 7 and 8 [55].
Scheme 1.
Reactions and conditions for the modification on the lupine framework (a) Jones oxidation, 76% for 1, 82% for 2; (b) tBuOK, tBuOH, THF, 3 h, 50 °C, air, 97% for 3, 75% for 4; (c) NaBH4, THF, MeOH, rt, 1 d, 79% (for 5), 87% (for 6); (d) Ac2O, NEt3, DMAP (cat.), DCM, rt, 1 d, 86% (for 7), 92% (for 8); (e) (COCl)2, DCM, rt, 30 min, then piperazine or homopiperazine, DCM, 3 h: yields: 9: 70%; 10: 85%; 11: 90%; 12: 70%.
These carboxylic acids were first reacted with oxalylic chloride, and the resulting in situ carboxylic acid chlorides were each treated with either piperazine or homopiperazine; this gave the BA-derived amides 9 and 10 and the PA-derived amides 11 and 12.
The activation of rhodamines Rh1–Rh4 and Rh101 was also carried out with oxalyl chloride/DMF (cat.); the carboxylic acid chlorides thus generated in situ were reacted with amines 9–12 to produce (Scheme 2) the corresponding conjugates 13–29. Thereby, compounds 30–37 have been included into this study to investigate the influence of the presence of a second acetyloxy moiety attached to ring A (as in 13–29).
Scheme 2.
Synthesis of the rhodamine-conjugates holding a lupane skeleton: (a) rhodamines Rh1–Rh4 and Rh101, oxalyl chloride, DMF (cat.), DCM, 0 °C → 21 °C, 2 h, then lupane amide, NEt3, DMAP (cat.), DCM, 21 °C, 24 h.
To further investigate the influence of a sp3- instead of an sp2-hybridized center on the cytotoxicity of the compounds, 38 was prepared from PA as previously described, (Scheme 3) followed by its acetylation to yield 39; this compound was converted into the piperazinyl and homopiperazinyl amides 40 and 41, respectively. Their coupling with some selected rhodamines led to the conjugates 42–44, respectively.
Scheme 3.
Synthesis of conjugates 38–44; reactions and conditions: (a) NaBH4, THF/MeOH, 21 °C, 3 d, 59% of 38; (b) Ac2O, NEt3, DMAP (cat.), DCM, 21 °C, 1 d, 86% of 39; (c) oxalyl chloride, NEt3, DMF (cat.), DCM, 21 °C, 30 min, then piperazine (→40, 82%) and homopiperazine (→41, 72%), DCM, NEt3, DMAP, 0 °C → 21 °C, 30 min; (d) rhodamines 3 or 4, oxalyl chloride, DMF (cat.), DCM, 0 °C → 21 °C, 1 h, then amide, NEt3, DMAP (cat.), DCM, 21 °C, 24 h; →42 (64%), 43 (60%), 44 (62%).
All triterpene rhodamine conjugates showed the typical purple color, proving that the compounds are in the cationic form. As previously shown, this is mandatory for obtaining cytotoxic activity. The cytotoxicity of the conjugates was determined by SRB assay on a representative selection of human cancer cell lines. For comparison, fibroblasts (murine, NIH 3T3) were used as non-malignant cell lines. The results of these assays are summarized in Table 1 and Figure 2 and Figure 3.
Table 1.
Results from the cytotoxicity assays (SRB; incubation for 72 h); IC50 values in μM (each value represents the mean value of three independent experiments each performed in triplicate; confidence interval CI = 95%); used human tumor cell lines: A375 (melanoma), HT29 (colorectal carcinoma), MCF-7 (breast adenocarcinoma), A2780 (ovarian carcinoma), HeLa (cervical carcinoma) and NIH 3T3 (murine fibroblasts, non-malignant). Doxorubicin (DX) has been used as positive standard; n.d. not determined; n.s. not soluble under the conditions of the assay.
Figure 2.
Cytotoxicity of selected compounds; SRB assay EC50 values [μM] after 72 h of treatment.
Figure 3.
Selectivity S = EC50 (NIH 3T3)/EC50 (tumor cell line) of selected compounds.
Evaluation of the results from the Annexin V/FITC/PI assays (Figure 4 and Figure 5) showed compounds 18, 19 and 22 as acting both via apoptosis and necrosis. An additional investigation of the cell cycle revealed in these compounds and A375 cells, after 1 day of incubation (Figure 4), a decrease in cells in the S and M phase together with an increase in G1/G0. After another 24 h (Figure 5), we observed a further decrease in cells in the S and M phase but an increase in cells in G1/G0 phase. Paralleling prior studies from our group, investigations of mitochondrial function and ATP synthesis from glycolysis and respiration showed these compounds to act as mitocans. Moreover, these experiments revealed a disturbance in cellular energy metabolism as the primary mode of action, thus distinguishing these conjugates from conventional chemotherapeutic drugs. This unique mechanism is responsible for the efficacy of the triterpene–rhodamine conjugates in surmounting resistance often observed for chemotherapeutic agents. Sufficient hydrolytic stability is mandatory for later in vivo applications. Under cell-like conditions, hydrolysis of the conjugates was not observed (a finding that is probably due to the robust amide bonds); however, upon prolonged incubation of the hybrids, partial de-acetylation was observed. However, the rhodamines as well as the parent triterpenoic acids were only of minor cytotoxicity.
Figure 4.
Annexin V-FITC/PI assay: treatment of A375 cells with 18, 19 and 22 (6.2 μM/4.8 μM/3.0 μM) for 24 h. Examples of density plots determined by flow cytometry (Attune® Cytometric Software v. 1.2.5). R1: necrotic, R2: secondary necrotic/late stage apoptotic, R3: vital, R4: apoptotic.
Figure 5.
Annexin V-FITC/PI assay: treatment of A375 cells with 18, 19 and 22 (6.2 μM/4.8 μM/3.0 μM) for 48 h. Examples of density plots determined by flow cytometry (Attune® Cytometric Software v. 1.2.5). R1: necrotic, R2: secondary necrotic/late stage apoptotic, R3: vital, R4: apoptotic.
From the results of a preliminary structure-activity relationship (SAR) analysis, it can be concluded that the hybrids derived from betulinic acid exhibited greater cytotoxicity than those derived from platanic acid. This finding seems primarily due to the lower solubility (and, as a consequence, a diminished bioavailability) of the latter. Consistent with our previous finding, homopiperazinyl spacered compounds demonstrated superior cytotoxic activity compared to those holding a piperazinyl spacer. The most selective and cytotoxic conjugates are most often those compounds incorporating either a rhodamine B or a rhodamine 101 unit.
3. Conclusions
Betulinic acid (BA) and platanic acid (PA) were used as starting materials to prepare different conjugates with rhodamines. The compounds piperazine and homopiperazine, known from previous studies, were used as linkers between the triterpene and the rhodamine. Two acetyloxy groups were introduced into ring A of the pentacyclic triterpene to potentially increase its cytotoxic activity. The cytotoxicity data (from SRB assays) revealed a significantly higher cytotoxicity for derivatives 13–22 derived from betulinic acid, with derivatives 19 (with rhodamine B) and 22 (with rhodamine 101); both of which were provided with a homopiperazinyl spacer; these hybrids showed the best values with EC50 = 0.016 and 0.019 μM for A2780 ovarian carcinoma cells. These two compounds also showed the highest selectivity (calculated from the ratio of EC50 values) between malignant A2780 cells and non-malignant NIH 3T3 fibroblasts. Cell cycle studies employing A375 melanoma cells revealed that the cells arrested in the G1/G0 phase, and Annexin/FITC/PI staining indicated that these compounds acted in both the apoptosis and necrosis of the tumor cells.
4. Experimental Procedure
4.1. General
NMR spectra were recorded using the Varian spectrometers (Darmstadt, Germany) DD2 and VNMRS (400 and 500 MHz, respectively). The MS spectra were taken on an Advion expressionL CMS mass spectrometer (Ithaca, NY, USA; positive ion polarity mode, solvent: methanol, solvent flow: 0.2 mL/min, spray voltage: 5.17 kV, source voltage: 77 V, APCI corona discharge: 4.2 μA, capillary temperature: 250 °C, capillary voltage: 180 V, sheath gas: N2). Thin-layer chromatography was performed on pre-coated silica gel plates supplied by Macherey-Nagel (Düren, Germany). IR spectra were recorded on a Spectrum 1000 FT-IR-spectrometer from Perkin Elmer (Rodgau, Germany). The UV/Vis-spectra were recorded on a Lambda 14 spectrometer from Perkin Elmer (Rodgau, Germany); optical rotations were measured at 20 °C using a JASCO-P2000 instrument (JASCO Germany GmbH, Pfungstadt, Germany) The melting points were determined using the Leica hot stage microscope Galen III (Leica Biosystems, Nussloch, Germany). Micro-analyses were performed with an Elementar Vario EL (CHNS) instrument (Elementar Analysensysteme GmbH, Elementar-Straße 1, D-63505, Langenselbold, Germany).
All compounds were fully characterized by spectroscopy as well as micro-analysis; since all spectroscopic data confirmed the proposed structure, low resolution mass spectrometry was regarded as sufficient for the completion of characterization. High-resolution mass spectrometry does not allow for any conclusion to be drawn about the presence of inorganic impurities. We refrained from measuring optical rotations for the hybrids, due to the deep color of the compounds. The NMR data for compounds 1–8 can be found in the literature [52,55,56,57]; the spectra measured for these compounds agreed perfectly with the reported data. A numbering scheme is provided in Figure 6.
Figure 6.
Numbering scheme for hybrids 21, 22 and 29.
Reactions using air- or moisture-sensitive reagents were carried out under an argon atmosphere in dried glassware. All dry solvents were distilled over their respective drying agents, except for DMF, which was distilled and stored under an argon and molecular sieve; Triethylamine was stored over potassium hydroxide. Chemicals and solvents were obtained from local vendors. Betulinic as well as platanic acid were bought from Betulinines (Strbrna Skalice, Czech Republic) and used as received.
Biological assays were performed as previously reported, the cell lines employed were obtained from the Department of Oncologyartin-Luther-University Halle Wittenberg; they were bought from ATCC. For the SRB assay, in short, cells were seeded into 96-well plates on day zero at appropriate cell densities to prevent confluence of the cells during the period of the experiment. After 24 h, the cells were treated with different concentrations, but the final concentration of DMSO/DMF never exceeded 0.5%, which was non-toxic to the cells. After 72 h of treatment, the supernatant from the 96-well plates was discarded, then the cells were fixed with 10% trichloroacetic acid and allowed to rest at 4 °C. After 24 h of fixation, the cells were washed in a strip washer and then dyed with SRB solution (200 μL, 10 mM) for 20 min. The plates were washed four times with 1% acetic acid to remove the excess of the dye and allowed to air-dry overnight. Tris base solution (200 μL, 10 mM) was added to each well. The absorbance was measured with a 96-well plate reader from Tecan Spectra (Tecan Germany GmbH, Crailsheim, Germany).
4.2. Syntheses
4.2.1. General Procedure for Acetylations (GPA)
Acetylations were performed in dry DCM (100 mL) with acetic anhydride in the presence of NEt3 and DMAP (catal.) for 24 h as previously described, followed by the usual aq. work-up and chromatography of the crude product to yield the corresponding acetates.
4.2.2. General Procedure for the Synthesis of (Homo)Piperazinyl Amides (GPB)
A solution of the corresponding carboxylic acid (0.9 mmol) in dry DCM (25 mL) was treated with oxalyl chloride (0.3 mL, 3.6 mmol)/DMF (catal.) for 30 min, followed by the evaporation of the volatiles; the residue was dissolved in dry DCM (20 mL) and allowed to react with a solution of (homo)piperazine (1.8 mmol) in dry DCM (8 mL)/DMAP (catal.) for 24 h. The usual work-up, followed by chromatography, furnished the (homo)piperazinyl amides.
4.2.3. General Procedure for the Synthesis of the Rhodamine Conjugates (GPC)
Reaction of the rhodamine (1.0 eq, 0.88 mmol) in dry DCM (25 mL) with oxalyl chloride (5 eq., 0.7 mL, 4.4 mmol) and DMAP (catal.) for 30 min, followed by adding a solution of the triterpenoic (homo)piperazinyl amide (1.0 eq., 0.8 mmol) in dry DCM (10 mL) in the presence of DMAP (catal.) and NEt3 (1.5 eq., 0.4 mL, 1.2 mmol), followed by stirring for 1 d at 21 °C, the usual work-up and chromatography gave the corresponding rhodamine conjugates.
4.2.4. 3-Oxolup-20(29)-en-28-oic Acid (Betulonic Acid) (1)
A silica-supported Jones oxidation [Jones reagent freshly prepared from CrO3 (2.5 g, 25.1 mmol), H2SO4 (2.5 mL) and H2O (10 mL)] of BA (10.0 g, 21.9 mmol) in acetone (500 mL), followed by the usual work-up and Soxhlet extraction with ether (600 mL, 6 h) and chromatography (SiO2, hexanes/ethyl acetate, 8:2) gave 1 (6.23 g, 76%) as a colorless solid [23,33]; Rf = 0.42 (SiO2, hexanes/ethyl acetate, 7:1); m.p. = 246 °C (decomp.) (lit.: 249–250 °C); = +37.4° (c 0.283, CHCl3) (lit.: = +33.8° (c 0.33, CHCl3); MS (ESI, MeOH): m/z = 453.3 (36%, [M-H]−), 907.2 (100%, [2M-H]−), 930.1 (72%, [2M-2H+Na]−).
4.2.5. 3,20-Dioxo-30-Norlupan-28-oic Acid (2)
A silica-supported Jones oxidation of PA (10.0 g, 21.0 mmol), as described above, followed by chromatography (SiO2, hexanes/ethyl acetate, 8:2), gave 2 (7.3 g, 82%) as a colorless solid [55]; Rf = 0.64 (SiO2, hexanes/ethyl acetate, 1:1); m.p. = 230–232 °C (lit.: 230 °C); = +5.0° (c 0.05, CHCl3); (lit.: = +4.2° (c 0.308, CHCl3); MS (ESI, MeOH): m/z 455.7 (54%, [M-H]−), 911.5 (48%, [2M-H]−), 934.4 (100%, [2M-2H+Na]−).
4.2.6. 2-Hydroxy-3-oxolupa-1,20(29)-dien-28-oic Acid (3)
A solution of 1 (8.55 g, 18.8 mmol) in tert-butanol (500 mL) and dry THF (70 mL) was allowed to react with potassium t-butanolate (30.0 g, 0.267 mol) for 3 h at 50 °C with dry air continuously bubbling through the reaction mixture; the volatiles were removed under diminished pressure, and the residue was dissolved in ethyl acetate; washing with aq. HCl (5%, 20 mL) and the extraction of the aq. phase with DCM (3 × 10 mL), followed by a removal of the solvents and chromatography (SiO2, hexanes/ethyl acetate: ethyl acetate: 5% → 20%) gave 3 (7.41 g, 97%) as a colorless solid [56,57]; Rf = 0.68 (SiO2, hexanes/ethyl acetate, 3:1); m.p. = 200–203 °C (lit.: 203–205 °C); = +11.7° (c 0.5, CHCl3) (lit.: = 12.0° (c 0.56, CHCl3); MS (ESI, MeOH): m/z = 467.2 (76%, [M-H]−), 935.4 (100%, [2M-H]−), 958.1 (86%, [2M-2H+Na]−).
4.2.7. 2-Hydroxy-3,20-dioxo-30-norlup-1-en-28-oic Acid (4)
Reaction of 2 (7.3 g, 16 mmol) with tert-butanol (400 mL)/THF (80 mL) and potassium-tert-butanolate (25.8 g, 0.23 mol, 14 eq.)/air for 2 at 50 °C, as described above, gave 4 (4.88 g, 75%) as a viscous oil that was used without further purification; an analytical sample showed m.p. = 224–227 °C (lit.: [56] m.p. = 224–228 °C); = +9.0° (c 0.56, MeOH) (lit.: [56] = +9.2° (c 0.71, MeOH); MS (ESI, MeOH): m/z 472.3 (14%, [M+H]+), 493.1 (100%, [M+Na]+), 509.1 (32%, [M+K]+).
4.2.8. 2β,3β-Dihydroxylup-20(29)-en-28-oic Acid (5)
To a solution of 3 (8.53 g, 18.2 mmol) in THF (200 mL) and methanol (40 mL), NaBH4 (1.0 g, 26.4 mmol) was added in several portions, and the mixture was stirred at 21 °C for 2 days. The usual aq. work-up, followed by chromatography (SiO2, hexanes/ethyl acetate, ethyl acetate: 10% → 30%) gave 5 (5.79 g, 79%) as a colorless solid; Rf = 0.54 (SiO2, hexanes/ethyl acetate, 1:1); m.p. = 270–273 °C (decomp) (lit.: [55] 273–276 °C); = +32.4° (c 0.212, CHCl3) (lit.: = +31.1° (c 0.262, pyridine); MS (ESI, MeOH): m/z = 473.3 (18%, [M+H]+), 490.4 (10%, [M+NH4]+), 495.8 (100%, [M+Na]+).
4.2.9. 2β,3β-Dihydroxy-20-oxo-30-norlupan-28-acid (6)
Reduction of 4 (4.9 g, 10.4 mmol) with NaBH4 (1.6 g, 42 mmol) in THF (100 mL) and MeOH (20 mL) for 1 day at 21 °C followed by chromatography (SiO2, hexanes/ethyl acetate, 1:1) gave 6 (4.3 g, 87%) as a colorless solid; Rf = 0.31 (SiO2, hexanes/ethyl acetate, 1:1); m.p. = 264–268 °C (lit.: [55] 265–269 °C); = +10.7° (c 0.25, CHCl3) (lit.: [55] = +11.2° (c 0.130, CHCl3); MS (ESI, MeOH): m/z 473.1 (52%, [M-H]−), 947.3 (100%, [2M-H] −).
4.2.10. 2β,3β-Bis(acetyloxy)-lup-20(29)-en-28-oic Acid (7)
According to the GPA from 5 (8.53 g, 18.2 mmol), followed by chromatography (SiO2, hexanes/ethyl acetate, 8:2), 7 (8.6 g, 86%) was obtained as a colorless solid; Rf = 0.63 (SiO2, hexanes/ethyl acetate, 7:1); m.p. = 261–264 °C (lit.: [55] 260–265 °C); = +33.8° (c 0.2, CHCl3) (lit.: [55] = +34.6° (c 0.199, CHCl3); MS (ESI, MeOH): m/z = 437.1 (8%, [M+H-2HOAc]+), 497.5 (10%, [M+H-HOAc]+), 1135.1 (100%, [2M+Na]+).
4.2.11. 2β,3β-2,3-Bis(acetyloxy)-20-oxo-30-norlupan-28-oic Acid (8)
According to the GPA from 6 (4.3 g, 9.5 mmol), followed by chromatography (SiO2, hexanes/ethyl acetate, 8:2), 8 (4.9 g, 92%) was obtained as a colorless solid; Rf = 0.33 (SiO2, hexanes/ethyl acetate, 3:1); m.p. = 148–150 °C (lit.: 150 °C); = +6.7° (c 0.11, CHCl3) (lit.: = +6.9° (c 0.146, CHCl3); MS (ESI, MeOH): m/z 439.2 (28%, [M+H-HOAc]+), 499.3 (32%, [M+H-2HOAc]+), 576.4 (100%, [M+NH4]+), 581.1 (48%, [M+Na]+).
4.2.12. 2β,3β-Bis(acetyloxy)-28-(1-piperazinyl)lup-20(29)en-28-one (9)
According to the GPB from 7 (1.0 g, 2.0 mmol), followed by chromatography (SiO2, CHCl3/MeOH, 9:1), 9 (744 mg, 70%) was obtained as a colorless solid; Rf = 0.55 (SiO2, CHCl3/MeOH, 9:1); m.p. = 192 °C; = +14.95° (c 0.137, CHCl3); IR (ATR): ν = 2940m, 1740vs, 1624w, 1365s, 1245vs, 1189s, 1031m cm−1; 1H NMR (500 MHz, CDCl3): δ = 5.30 (dd, J = 7.1, 3.8 Hz, 1H, 2-H), 4.73–4.70 (m, 1H, 29-Ha), 4.60–4.57 (m, 2H, 29-Hb, 3-H), 2.98–2.89 (m, 9H, 19-H, 35-H, 36-H, 37-H, 38-H), 2.84 (td, J = 13.1, 3.4 Hz, 1H, 13-H), 2.08–2.05 (m, 1H, 16-Ha), 2.02 (s, 3H, 34-H), 2.01 (s, 3H, 32-H), 1.99–1.75 (m, 3H, 1-Ha, 22-Ha, 21-Ha), 1.74–1.64 (m, 4H, 12-Ha, 30-H), 1.60–1.44 (m, 4H, 6-H, 16-Hb, 18-H), 1.45–1.28 (m, 7H, 11-H, 21-Hb, 7-H, 22-Hb, 15-Ha), 1.30–1.19 (m, 3H, 1-Hb, 9-H, 15-Hb), 1.10 (s, 3H, 26-H), 1.01 (s, 3H, 25-H), 0.94 (s, 6H, 27-H, 24-H), 0.93–0.91 (m, 2H, 5-H, 12-Hb), 0.87 (s, 3H, 23-H) ppm; 13C NMR (125 MHz, CDCl3): δ = 173.7 (C-28), 170.9 (C-33), 170.4 (C-31), 151.1 (C-20), 109.5 (C-29), 78.1 (C-3), 69.8 (C-2), 55.5 (C-5), 54.7 (C-17), 52.8 (C-18), 51.4 (C-9), 45.8 (C-19), 45.5 (C-35, C-36, C-37, C-38), 42.4 (C-14), 42.2 (C-1), 40.9 (C-8), 37.5 (C-4), 37.2 (C-10), 37.0 (C-13), 36.0 (C-22), 34.4 (C-7), 32.7 (C-16), 31.4 (C-21), 29.9 (C-15), 29.1 (C-23), 25.7 (C-12), 21.4 (C-11), 21.4 (C-34), 21.0 (C-32), 19.8 (C-30), 18.2 (C-6), 17.6 (C-25), 16.9 (C-26), 16.4 (C-24), 14.7 (C-27) ppm; MS (ESI, MeOH/CHCl3): m/z 626.6 (100%, [M+H]+), 648.1 (35%, [M+Na]+); analysis calcd for C38H60N2O5 (624.91): C 73.04, H 9.68, N 4.48; found: C 72.83, H 9.85; N 4.17.
4.2.13. 2β,3β-Bis(acetyloxy)-28-(1-hexahydro-1H-1,4-diazepin-1-yl)lup-20(29)en-28-one (10)
According to the GPB from 7 (1.0 g, 2.0 mmol), followed by chromatography (SiO2, CHCl3/MeOH, 9:1), 10 (1.1 g, 85%) was obtained as a colorless solid; Rf = 0.5 (SiO2, CHCl3/MeOH, 9:1); m.p. = 149–153 °C; = +10.89° (c 0.064, CHCl3); IR (ATR): ν = 2941m, 1741s, 1625w, 1367s, 1231vs, 1188s, 1031m cm−1; 1H NMR (400 MHz, CDCl3): δ = 5.29–5.29 (m, 1H, 2-H), 4.73–4.69 (m, 1H, 29-Ha), 4.60–4.56 (m, 2H, 29-Hb, 3-H), 3.79–3.58 (m, 10H, 35-H, 36-H, 37-H, 38-H, 39-H), 3.00–2.83 (m, 2H, 19-H, 13-H), 2.15–2.08 (m, 1H, 16-Ha), 2.02 (s, 3H, 34-H), 2.01 (s, 4H, 32-H, 1-Ha), 1.98–1.94 (m, 1H, 22-Ha), 1.87–1.77 (m, 1H, 21-Ha), 1.75–1.62 (m, 1H, 12-Ha), 1.67 (s, 3H, 30-H), 1.60–1.44 (m, 4H, 16-Hb, 18-H, 6-H), 1.44–1.19 (m, 9H, 11-H, 15-Ha, 21-Hb, 7-H, 22-Hb, 1-Hb, 9-H), 1.19–1.03 (m, 1H, 15-H), 1.09 (s, 3H, 26-H), 1.01 (s, 3H, 25-H), 0.95 (s, 3H, 24-H), 0.94 (s, 3H, 27-H), 0.94–0.91 (m, 2H, 12-Hb, 5-H), 0.87 (s, 3H, 23-H) ppm; 13C NMR (125 MHz, CDCl3): δ = 174.8 (C-28), 170.9 (C-33), 170.4 (C-31), 151.1 (C-20), 109.5 (C-29), 78.1 (C-3), 69.8 (C-2), 55.5 (C-5), 55.1 (C-17), 53.0 (C-18), 51.5 (C-9), 47.0 (C-35, C-36, C-37, C-38, C-39), 45.8 (C-19), 42.4 (C-14), 42.3 (C-1), 41.0 (C-8), 37.5 (C-4), 37.2 (C-10), 37.0 (C-13), 36.3 (C-22), 34.4 (C-7), 32.4 (C-16), 31.5 (C-21), 29.9 (C-15), 29.1 (C-23), 25.7 (C-12), 21.4 (C-11), 21.4 (C-34), 21.0 (C-32), 19.9 (C-30), 18.2 (C-6), 17.6 (C-25), 16.9 (C-26), 16.4 (C-24), 14.8 (C-27) ppm; MS (ESI, MeOH/CHCl3): m/z 640.2 (100%, [M+H]+); analysis calcd for C39H62N2O5 (638.93): C 73.31, H 9.78, N 4.38; found: C 73.12, H 9.97; N 4.19.
4.2.14. 2β,3β-Bis(acetyloxy)-28-(1-piperazinyl)-30-norlupane-20,28-dione (11)
According to the GPB from 8 (1.0 g, 1.8 mmol), followed by chromatography (SiO2, CHCl3/MeOH, 9:1), 11 (1.25 g, 90%) was obtained as a colorless solid; Rf = 0.4 (SiO2, CHCl3/MeOH, 9:1); m.p. = 175–179 °C; = −0.75° (c 0.062, CHCl3); IR (ATR): ν = 2942m, 1740vs, 1629w, 1366s, 1245vs, 1192s, 1030s cm−1; 1H NMR (500 MHz, CDCl3): δ = 5.33–5.28 (m, 1H, 2-H), 4.59 (d, J = 3.9 Hz, 1H, 3-H), 3.30–3.16 (m, 1H, 19-H), 3.05–2.95 (m, 8H, 34-H, 35-H, 36-H, 37-H), 2.64 (td, J = 12.5, 3.9 Hz, 1H, 13-H), 2.16 (s, 3H, 29-H), 2.02 (s, 3H, 31-H), 2.01 (s, 3H, 33-H), 2.13–1.83 (m, 5H, 18-H, 16-Ha,1-Ha, 22-Ha, 21-Ha), 1.69–1.12 (m, 12H, 16-Hb, 6-H, 22-Hb, 21-Hb, 7-H, 11-H, 15-Ha, 1-Hb, 15-Hb), 1.09 (s, 3H, 25-H), 1.01 (s, 3H, 24-H), 1.07–0.94 (m, 2H, 12-H), 0.97 (s, 3H, 27-H), 0.92 (s, 3H, 26-H), 0.94–0.89 (m, 1H, 5-H), 0.87 (s, 3H, 27-H) ppm; 13C NMR (101 MHz, CDCl3): δ = 212.7 (C-20), 173.7 (C-28), 170.8 (C-32), 170.3 (C-30), 78.0 (C-3), 69.8 (C-2), 55.5 (C-5), 54.6 (C-17), 52.5 (C-18), 51.3 (C-9), 50.0 (C-19), 45.0 (C-35, C-36, C-38, C-39), 42.3 (C-14), 42.1 (C-1), 40.8 (C-8), 37.6 (C-4), 37.2 (C-10), 36.0 (C-13), 35.7 (C-22), 34.2 (C-7), 32.2 (C-16), 30.5 (C-29), 29.9 (C-15), 29.1 (C-23), 28.8 (C-21), 27.5 (C-12), 21.4 (C-11), 21.4 (C-33), 21.0 (C-31), 18.1 (C-6), 17.6 (C-24), 16.9 (C-25), 16.3 (C-26), 14.7 (C-27) ppm; MS (ESI, MeOH): m/z 627.7 (100%, [M+H]+), 1254.1 (20%, [2M+H]+); analysis calcd for C37H58N2O6 (626.88): C 70.89, H 9.33, N 4.47; found: C 70.63, H 9.54; N 4.19.
4.2.15. 2β,3β-Bis(acetyloxy)-28-(hexahydro-1H-1,4-diazepin-1-yl)-30-norlupane-20,28-dione (12)
According to the GPB from 8 (1.0 g, 1.8 mmol), followed by chromatography (SiO2, CHCl3/MeOH, 9:1), 12 (0.8 g, 70%) was obtained as a colorless solid; Rf = 0.2 (SiO2, CHCl3/MeOH, 9:1); m.p. = 185–189 °C; = −13.09° (c 0.067, CHCl3); IR (ATR): ν = 2940m, 1740vs, 1624w, 1365s, 1245vs, 1189s, 1031m cm−1; 1H NMR (500 MHz, CDCl3): δ = 5.32–5.28 (m, 1H, 2-H), 4.65–4.52 (m, 1H, 3-H), 3.99–3.43 (m, 8H, 34-H, 35-H, 36-H, 37-H), 3.33–3.14 (m, 1H, 19-H), 2.65 (td, J = 12.9, 12.4, 4.1 Hz, 1H, 13-H), 2.17 (s, 3H, 29-H), 2.21–2.03 (m, 2H, 16-Ha, 18-H), 2.02 (s, 3H, 31-H), 2.01 (s, 3H, 33-H), 2.04–1.77 (m, 3H, 1-Ha, 22-Ha, 21-Ha), 1.69–1.31 (m, 9H, 16-Hb, 6-H, 22-Hb, 21-Hb, 7-H, 11-H), 1.31–1.10 (m, 4H, 15-H, 9-H, 1-Hb), 1.09 (s, 3H, 25-H), 1.10–0.95 (m, 2H, 12-H), 1.01 (s, 3H, 24-H), 0.97 (s, 3H, 27-H), 0.93 (s, 3H, 26-H), 0.95–0.88 (m, 1H), 0.87 (s, 3H, 23-H) ppm; 13C NMR (101 MHz, CDCl3): δ = 212.7 (C-20), 175.0 (C-28), 170.8 (C-32), 170.3 (C-30), 78.0 (C-3), 69.8 (C-2), 55.5 (C-5), 55.0 (C-17), 52.6 (C-18), 51.3 (C-9), 50.0 (C-19), 46.8 (C-34, C-35, C-36, C-37), 42.3 (C-14), 42.1 (C-1), 40.9 (C-8), 37.5 (C-4), 37.4 (C-10), 36.0 (C-13), 35.9 (C-22), 34.2 (C-7), 31.8 (C-16), 30.5 (C-29), 30.0 (C-15), 29.1 (C-23), 28.9 (C-21), 27.4 (C-12), 21.4 (C-11), 21.4 (C-33), 21.0 (C-31), 18.1 (C-6), 17.6 (C-24), 16.9 (C-25), 16.3 (C-26), 14.8 (C-27) ppm; MS (ESI, MeOH/CHCl3): m/z 642.7 (100%, [M+H]+), 1282 (20%, [2M+H]+); analysis calcd for C38H60N2O6 (640.90): C 71.21, H 9.44, N 4.37; found: C 70.87, H 9.62; N 4.17.
4.2.16. 9-[2-[[4-(2β,3β-Bis(acetyloxy)-lup-20(29)-en-28-oyl)-1-piperazinyl]carbonyl]phenyl]-3,6-bis(dimethylamino)-xanthylium Chloride (13)
According to the GPC from 9 (200 mg, 0.32 mmol), followed by chromatography (SiO2, CHCl3/MeOH, 9:1), 13 (233 mg, 71%) was obtained as a violet solid; Rf = 0.54 (SiO2, CHCl3/MeOH, 9:1); m.p. = 270 °C (decomp.); UV-Vis (MeOH): λmax (log ε) = 556 nm (4.97); IR (ATR): ν = 3395br, 2936w, 1738w, 1632m, 1592s, 1534w, 1493m, 1407m, 1365m, 1343s, 1284w, 1258m, 1232m, 1185s, 1134m, 1056w, 1031m, 1003m, 982w, 925m, 880w, 821w, 786m, 758w, 699m, 661w, 602w, 580w, 516m, 490w, 458w cm−1; 1H NMR (500 MHz, CDCl3): δ = 7.71–7.65 (m, 2H, 42-H, 44-H), 7.56–7.50 (m, 1H, 45-H), 7.40–7.33 (m, 1H, 43-H), 7.29–7.18 (m, 1H, 49-H), 7.12–6.98 (m, 1H, 48-H), 6.90–6.80 (m, 1H, 51-H), 5.31–5.26 (m, 1H, 2-H), 4.69–4.64 (m, 1H, 29-Ha), 4.59–4.52 (m, 2H, 29-Hb, 3-H), 3.34 (s, 6H, 53-H), 2.90–2.82 (m, 1H, 19-H), 2.78–2.68 (m, 1H, 13-H), 2.00 (s, 3H, 32-H), 1.99 (s, 3H, 34-H), 1.98–1.95 (m, 1H, 16-Ha), 1.95–1.92 (m, 1H, 1-Ha), 1.84–1.77 (m, 1H, 12-Ha), 1.75–1.57 (m, 5H, 21-Ha, 12-Ha, 30-H), 1.56–1.41 (m, 4H, 6-H, 16-Hb, 18-H), 1.40–1.17 (m, 10H, 22-Hb, 7-H, 21-H, 11-H, 15-Ha, 1-Hb, 9-H), 1.06 (s, 3H, 26-H), 0.99 (s, 3H, 25-H), 0.89 (s, 5H, 27-H, 12-Hb, 5-H), 0.87 (s, 3H, 24-H), 0.85 (s, 3H, 23-H) ppm; 13C NMR (125 MHz, CDCl3): δ = 174.3 (C-28), 170.8 (C-33), 170.3 (C-31), 167.7 (C-39), 157.6 (C-50), 157.5 (C-52), 157.5 (C-46), 151.0 (C-20), 135.2 (C-41), 132.1 (C-49), 130.6 (C-40), 130.4 (C-42, C-44), 130.2 (C-43), 127.7 (C-45), 114.6 (C-48), 114.0 (C-47), 109.5 (C-29), 96.9 (C-51), 78.1 (C-3), 69.7 (C-2), 55.4 (C-5), 54.7 (C-17), 52.6 (C-18), 51.3 (C-9), 45.8 (C-19), 42.3 (C-1), 42.1 (C-14), 41.3 (C-53), 40.9 (C-8), 37.5 (C-4), 37.1 (C-10), 36.9 (C-13), 35.9 (C-22), 34.3 (C-7), 32.6 (C-16), 31.3 (C-21), 29.8 (C-15), 29.0 (C-23), 25.5 (C-12), 21.3 (C-34), 21.3 (C-11), 20.9 (C-32), 19.6 (C-30), 18.1 (C-6), 17.6 (C-25), 16.9 (C-26), 16.3 (C-24), 14.6 (C-27) ppm; MS (ESI, MeOH/CHCl3): m/z 993.5 (100%, [M-Cl]+); analysis calcd for C62H81N4O7Cl (1029.80): C 72.31, H 7.93, N 5.44; found: C 72.05, H 8.06; N 5.20.
4.2.17. 9-[2-[[4-(2β,3β-Diacetoxy-lup-20(29)-en-28-oyl)-1-piperazinyl]carbonyl]phenyl]-3,6-bis(diethylamino)-xanthylium Chloride (14)
According to the GPC from 9 (260 mg, 0.42 mmol), followed by chromatography (SiO2, CHCl3/MeOH, 9:1), 14 (320 mg, 71%) was obtained as a violet solid; Rf = 0.53 (SiO2, CHCl3/MeOH, 9:1); m.p. = 265 °C (decomp.); UV-Vis (MeOH): λmax (log ε) = 560 nm (4.97); IR (ATR): ν = 2937br, 1737w, 1631m, 1586vs, 1528w, 1506w, 1466m, 1411s, 1335s, 1300w, 1272w, 1245s, 1179vs, 1131m, 1072m, 1031w, 1003m, 978m, 921m, 870w, 823m, 787w, 757w, 683m, 665w, 579w, 544w, 496w, 440w cm−1; 1H-NMR (400 MHz, CDCl3): δ = 7.71–7.62 (m, 2H, 42-H, 43-H), 7.55–7.49 (m, 1H, 45-H), 7.38–7.32 (m, 1H, 44-H), 7.32–7.21 (m, 1H, 49-H), 7.05–6.92 (m, 1H, 47-H), 6.85–6.77 (m, 1H, 51-H), 5.30–5.26 (m, 1H, 2-H), 4.68–4.65 (m, 1H, 29-Ha), 4.57 (d, J = 3.8 Hz, 1H, 3-H), 4.56–4.53 (m, 1H, 29-Hb), 3.73–3.23 (m, 10H, 53-H, 35-H, 36-H, 37-H, 38-H), 2.88 (dt, J = 11.2, 6.1 Hz, 1H, 19-H), 2.78–2.68 (m, 1H, 13-H), 2.00 (s, 3H, 32-H), 1.99 (s, 3H, 34-H), 2.05–1.90 (m, 2H, 16-Ha, 1-Ha), 1.86–1.78 (m, 1H, 22-Ha), 1.75–1.56 (m, 2H, 21-Ha, 12-Ha), 1.63 (s, 3H, 30-H), 1.56–1.43 (m, 4H, 6-H, 16-Hb, 18-H), 1.42–1.17 (m, 12H, 7-H, 22-Hb, 21-Hb, 11-H, 54-H, 1-Hb, 9-H, 15-Ha), 1.17–1.02 (m, 1H, 15-Hb, 12-Hb), 1.06 (s, 3H, 26-H), 0.99 (s, 3H, 25-H), 0.90 (s, 4H, 27-H, 5-H), 0.88 (s, 3H, 24-H), 0.86 (s, 3H, 23-H) ppm; 13C-NMR (100 MHz, CDCl3): δ = 174.3 (C-28), 170.8 (C-33), 170.4 (C-31), 167.8 (C-39), 157.9 (C-52), 155.8 (C-50), 155.7 (C-46), 151.0 (C-20), 135.1 (C-41), 132.4 (C-49), 130.8 (C-40), 130.5 (C-44), 130.4 (C-42), 130.3 (C-43), 127.7 (C-45), 114.5 (C-48), 114.0 (C-47), 109.6 (C-29), 96.6 (C-51), 78.1 (C-3), 69.7 (C-2), 55.4 (C-5), 54.8 (C-17), 52.6 (C-18), 51.3 (C-9), 46.4 (C-35, C-36, C-37, C-38), 46.4 (C-53), 45.8 (C-19), 42.3 (C-14), 42.2 (C-1), 40.9 (C-8), 37.5 (C-4), 37.1 (C-10), 37.0 (C-13), 36.0 (C-22), 34.3 (C-7), 32.6 (C-16), 31.3 (C-21), 29.8 (C-15), 29.1 (C-23), 25.6 (C-12), 21.4 (C-34), 21.3 (C-11), 21.0 (C-32), 19.6 (C-30), 18.1 (C-6), 17.6 (C-25), 16.9 (C-26), 16.3 (C-24), 14.6 (C-27), 12.8 (C-54) ppm; MS (ESI, MeOH): m/z 1050.1 (100%, [M-Cl]+); analysis calcd for C66H89N4O7Cl (1085.67): C 75.46, H 8.54, N 5.33; found: C 75.17, H 8.86, N 5.20.
4.2.18. 9-[2-[[4-(2β,3β-Diacetoxy-lup-20(29)-en-28-oyl)-1-piperazinyl]carbonyl]phenyl]-3,6-bis(dipropylamino)-xanthylium Chloride (15)
According to the GPC from 9 (120 mg, 0.19 mmol), followed by chromatography (SiO2, CHCl3/MeOH, 9:1), 15 (95 mg, 43%) was obtained as a purple solid; Rf = 0.3 (SiO2, EtOAc/MeOH, 9:1); m.p. = 228 °C; UV-Vis (MeOH): λmax (log ε) = 564 nm (5.02); IR (ATR): ν = 3373br, 2936w, 1737w, 1631m, 1587vs, 1467m, 1411m, 1337s, 1300w, 1252m, 1230s, 1177vs, 1132m, 1100m, 1031w, 1002w, 940m, 877w, 823w, 758w, 706w, 665w, 600w, 575w, 508w cm−1; 1H NMR (500 MHz, CDCl3): δ = 7.67–7.61 (m, 2H, 42-H, 43-H), 7.55–7.46 (m, 1H, 45-H), 7.36–7.29 (m, 1H, 44-H), 7.29–7.20 (m, 1H, 49-H), 7.07–6.86 (m, 1H, 48-H), 6.77–6.70 (m, 1H, 51-H), 5.30–5.24 (m, 1H, 2-H), 4.70–4.62 (m, 1H, 29-Ha), 4.58–4.52 (m, 2H, 29-Hb, 3-H), 3.56–3.23 (m, 10H, 35-H, 36-H, 37-H, 38-H, 53-H), 2.86 (td, J = 11.2, 5.0 Hz, 2H, 19-H), 2.72 (td, J = 12.8, 3.2 Hz, 1H, 13-H), 1.99 (s, 3H, 32-H), 1.98 (s, 3H, 34-H), 2.04–1.87 (m, 2H, 16-Ha, 1-Ha), 1.84–1.76 (m, 1H, 22-Ha), 1.76–1.65 (m, 4H, 54-H, 21-Ha, 12-Ha), 1.62 (s, 3H, 30-H), 1.56–1.38 (m, 4H, 6-H, 16-Hb, 18-H), 1.39–1.17 (m, 9H, 22-Hb, 7-H, 11-H, 21-Hb, 15-Ha, 1-Hb, 9-H), 1.12–1.01 (m, 1H, 15-Hb), 1.05 (s, 3H, 26-H), 1.01–0.95 (m, 6H, 55-H, 25-H), 0.94–0.87 (m, 2H, 12-Hb, 5-H), 0.89 (s, 3H, 27-H), 0.87 (s, 3H, 24-H), 0.84 (s, 3H, 23-H) ppm; 13C NMR (125 MHz, CDCl3): δ = 174.1 (C-28), 170.7 (C-33), 170.2 (C-31), 167.7 (C-39), 157.7 (C-52), 156.1 (C-50), 156.1 (C-46), 150.9 (C-20), 135.0 (C-41), 132.1 (C-49), 130.6 (C-40), 130.3 (C-44), 130.3 (C-42), 130.2 (C-43), 127.6 (C-45), 114.4 (C-48), 113.8 (C-47), 109.4 (C-29), 96.5 (C-51), 78.0 (C-3), 69.6 (C-2), 55.3 (C-5), 54.6 (C-17), 53.7 (C-35, C-36, C-37, C-38, C-53), 52.5 (C-18), 51.2 (C-9), 45.7 (C-19), 42.2 (C-1), 42.0 (C-14), 40.7 (C-8), 37.4 (C-4), 37.0 (C-10), 36.8 (C-13), 35.8 (C-22), 34.2 (C-7), 32.5 (C-16), 31.2 (C-21), 29.6 (C-15), 28.9 (C-23), 25.4 (C-12), 21.2 (C-34), 20.8 (C-32), 20.8, 20.8 (C-11, C-54), 19.4 (C-30), 18.0 (C-6), 17.5 (C-25), 16.7 (C-26), 16.2 (C-24), 14.5 (C-27), 11.3 (C-55) ppm; MS (ESI, MeOH): m/z 1114.4 (100%, [M-Cl]+); analysis calcd for C70H97N4O7Cl (1142.02): C 73.62, H 8.56, N 4.91; found: C 73.44, H 8.71; N 4.67.
4.2.19. 9-[2-[[4-(2β,3β)-Diacetoxy-lup-20(29)-en-28-oyl)-1-piperazinyl]carbonyl]phenyl]-3,6-bis(dibutylamino)-xanthylium Chloride (16)
According to the GPC from 9 (260 mg, 0.42 mmol), followed by chromatography (SiO2, CHCl3/MeOH, 9:1), 16 (320 mg, 71%) was obtained as a violet solid; Rf = 0.53 (SiO2, CHCl3/MeOH, 9:1); m.p. = 265 °C; UV-Vis (MeOH): λmax (log ε) = 560 nm (4.97); IR (ATR): ν = 2937br, 1737w, 1631m, 1586vs, 1528w, 1506w, 1466m, 1411s, 1335s, 1300w, 1272w, 1245s, 1179vs, 1131m, 1072m, 1031w, 1003m, 978m, 921m, 870w, 823m, 787w, 757w, 683m, 665w, 579w, 544w, 496w, 440w cm−1; 1H NMR (400 MHz, CDCl3): δ = 7.71–7.62 (m, 2H, 42-H, 43-H), 7.55–7.49 (m, 1H, 45-H), 7.38–7.32 (m, 1H, 44-H), 7.32–7.21 (m, 1H, 49-H), 7.05–6.92 (m, 1H, 47-H), 6.85–6.77 (m, 1H, 51-H), 5.30–5.26 (m, 1H, 2-H), 4.68–4.65 (m, 1H, 29-Ha), 4.57 (d, J = 3.8 Hz, 1H, 3-H), 4.56–4.53 (m, 1H, 29-Hb), 3.73–3.23 (m, 10H, 53-H, 35-H, 36-H, 37-H, 38-H), 2.88 (dt, J = 11.2, 6.1 Hz, 1H, 19-H), 2.78–2.68 (m, 1H, 13-H), 2.00 (s, 3H, 32-H), 1.99 (s, 3H, 34-H), 2.05–1.90 (m, 2H, 16-Ha, 1-Ha), 1.86–1.78 (m, 1H, 22-Ha), 1.75–1.56 (m, 2H, 21-Ha, 12-Ha), 1.63 (s, 3H, 30-H), 1.56–1.43 (m, 4H, 6-H, 16-Hb, 18-H), 1.42–1.17 (m, 12H, 7-H, 22-Hb, 21-Hb, 11-H, 54-H, 1-Hb, 9-H, 15-Ha), 1.17–1.02 (m, 1H, 15-Hb, 12-Hb), 1.06 (s, 3H, 26-H), 0.99 (s, 3H, 25-H), 0.90 (s, 4H, 27-H, 5-H), 0.88 (s, 3H, 24-H), 0.86 (s, 3H, 23-H) ppm; 13C NMR (100 MHz, CDCl3): δ = 174.3 (C-28), 170.8 (C-33), 170.4 (C-31), 167.8 (C-39), 157.9 (C-52), 155.8 (C-50), 155.7 (C-46), 151.0 (C-20), 135.1 (C-41), 132.4 (C-49), 130.8 (C-40), 130.5 (C-44), 130.4 (C-42), 130.3 (C-43), 127.7 (C-45), 114.5 (C-48), 114.0 (C-47), 109.6 (C-29), 96.6 (C-51), 78.1 (C-3), 69.7 (C-2), 55.4 (C-5), 54.8 (C-17), 52.6 (C-18), 51.3 (C-9), 46.4 (C-35, C-36, C-37, C-38), 46.4 (C-53), 45.8 (C-19), 42.3 (C-14), 42.2 (C-1), 40.9 (C-8), 37.5 (C-4), 37.1 (C-10), 37.0 (C-13), 36.0 (C-22), 34.3 (C-7), 32.6 (C-16), 31.3 (C-21), 29.8 (C-15), 29.1 (C-23), 25.6 (C-12), 21.4 (C-34), 21.3 (C-11), 21.0 (C-32), 19.6 (C-30), 18.1 (C-6), 17.6 (C-25), 16.9 (C-26), 16.3 (C-24), 14.6 (C-27), 12.8 (C-54) ppm; MS (ESI, MeOH): m/z 1050.7 (100%, [M-Cl]+); analysis calcd for C74H105N4O7Cl (1198.63): C 74.18, H 8.83, N 4.68; found: C 73.93, H 9.01; N 4.52.
4.2.20. 9-[2-[[4-(2β,3β-Diacetoxy-lup-20(29)-en-28-oyl)-1-piperazinyl]carbonyl]phenyl)]-2,3,6,7,12,13,16,17-octahydro-1H,5H,11H,15H-xantheno(2,3,4-ij:5,6,7-i’j’)diquinolizin-18-ium Chloride (17)
According to the GPC from 9 (370 mg, 0.59 mmol), followed by chromatography (SiO2, CHCl3/MeOH, 9:1), 17 (296 mg, 44%) was obtained as a purple solid; Rf = 0.6 (SiO2, CHCl3/MeOH, 9:1); m.p. = 286 °C (decomp.); UV-Vis (MeOH): λmax (log ε) = 582 nm (4.93); IR (ATR): ν = 2938br, 2864w, 1737m, 1630m, 1594s, 1542w, 1493s, 1459m, 1435m, 1361m, 1294vs, 1266s,1255s, 1181s, 1144w, 1099s, 1076w, 1034m, 1003m, 982w, 882w, 773w, 733w, 624w, 603w, 575w, 562w, 507w cm−1; 1H NMR (400 MHz, CDCl3): δ = 7.72–7.64 (m, 2H, 42-H, 43-H), 7.56–7.46 (m, 1H, 45-H), 7.35–7.28 (m, 1H, 44-H), 6.71–6.61 (m, 1H, 48-H), 5.32–5.25 (m, 1H, 2-H), 4.71–4.66 (m, 1H, 29-Ha), 4.60–4.54 (m, 2H, 3-H, 29-Hb), 3.65–3.24 (m, 12H, 55-H, 56-H, 35-H, 36-H, 37-H, 38-H), 3.07–2.96 (m, 2H, 53-H), 2.94–2.83 (m, 1H, 19-H), 2.81–2.60 (m, 3H, 13-H, 58-H), 2.20–1.86 (m, 6H, 54-H, 16-Ha, 57-H, 1-Ha), 2.01 (s, 3H, 32-H), 2.00 (s, 3H, 34-H), 1.85–1.58 (m, 3H, 22-Ha, 21-Ha, 12-Ha), 1.65 (s, 3H, 30-H), 1.58–1.15 (m, 13H, 6-H, 16-Hb, 18-H, 7-H, 22-Hb, 21-Hb, 11-H, 15-Ha, 1-Hb, 9-H), 1.15–1.09 (m, 1H, 15-Hb), 1.08 (s, 3H, 25-H), 1.00 (s, 3H, 24-H), 0.92 (s, 3H, 27-H), 0.90 (s, 5H, 26-H, 12-Hb, 5-H), 0.86 (s, 3H, 23-H) ppm; 13C NMR (100 MHz, CDCl3): δ = 174.2 (C-28), 170.8 (C-33), 170.4 (C-31), 168.0 (C-39), 152.1 (C-52), 151.4 (C-46), 150.9 (C-20), 134.9 (C-40), 132.0 (C-41), 130.9 (C-44), 130.4 (C-42), 129.9 (C-43), 127.6 (C-45), 126.6 (C-48), 123.7 (C-49), 113.3 (C-47), 109.7 (C-29), 105.6 (C-51), 78.1 (C-3), 69.7 (C-2), 55.4 (C-5), 54.8 (C-17), 52.6 (C-18), 51.3 (C-9), 51.1 (C-56), 50.7 (C-55), 47.7 (C-36, C-38), 45.8 (C-19), 42.3 (C-14), 42.2 (C-1), 42.0 (C-35, C-37), 40.9 (C-8), 37.5 (C-4), 37.1 (C-10), 37.0 (C-13), 36.0 (C-22), 34.4 (C-7), 32.7 (C-16), 31.4 (C-21), 29.8 (C-15), 29.1 (C-23), 25.6 (C-12), 21.4 (C-34), 21.4 (C-11), 21.0 (C-32), 20.8 (C-57), 20.0 (C-53), 19.8 (C-54), 19.6 (C-30), 18.1 (C-6), 17.6 (C-24), 16.9 (C-25), 16.3 (C-26), 14.7 (C-27) ppm; MS (ESI, MeOH/CHCl3): m/z 1098.4 (100%, [M-Cl]+); analysis calcd for C70H89N4O7Cl (1133.95): C 74.15, H 7.91, N 4.94; found: C 73.96, H 8.13; N 4.77.
4.2.21. 9-[2-[[4-(2β,3β-Diacetoxy-lup-20(29)-en-28-oyl)-1 -(exahydro-1H-1,4-diazepin-1-yl)]carbonyl]phenyl]-3,6-bis(dimethylamino)-xanthylium Chloride (18)
According to the GPD from 10 (220 mg, 0.34 mmol), followed by chromatography (SiO2, CHCl3/MeOH, 9:1), 18 (252 mg, 70%) was obtained as a violet solid; Rf = 0.56 (SiO2 CHCl3/MeOH, 9:1); m.p. = 274 °C (decomp.); UV-Vis (MeOH): λmax (log ε) = 557 nm (4.93); IR (ATR): ν = 2935w, 1738m, 1591s, 1493m, 1407m, 1342s, 1251m, 1184s, 1133m, 1031w, 925m, 820w, 699m, 516m cm−1; 1H NMR (500 MHz, CDCl3): δ = 7.67–7.56 (m, 2H, 44-H, 45-H), 7.44–7.39 (m, 1H, 46-H), 7.36–7.29 (m, 1H, 43-H), 7.29–7.16 (m, 1H, 50-H), 7.13–6.89 (m, 1H, 49-H), 6.87–6.73 (m, 1H, 52-H), 5.29–5.23 (m, 1H, 2-H), 4.73–4.65 (m, 1H, 29-Ha), 4.61–4.50 (m, 2H, 3-H, 29-Hb), 3.37–3.27 (m, 6H, 54-H), 3.00–2.90 (m, 1H, 19-H), 2.87–2.76 (m, 1H, 13-H), 2.12–2.03 (m, 1H, 16-Ha), 1.99 (s, 3H, 32-H), 1.97 (s, 3H, 34-H), 1.97–1.83 (m, 2H, 1-Ha, 22-Ha), 1.81–1.65 (m, 2H, 21-Ha, 12-Ha), 1.62 (s, 3H, 30-H), 1.55–1.40 (m, 4H, 6-H, 18-H, 16-Hb), 1.39–1.14 (m, 10H, 21-Hb, 11-H, 7-H, 22-Hb, 15-H, 1-Hb, 9-H), 1.06 (s, 3H, 25-H), 0.98 (s, 3H, 24-H), 0.90 (s, 5H, 26-H, 12-Hb, 5-H), 0.87 (s, 3H, 27-H), 0.83 (s, 3H, 23-H) ppm; 13C NMR (125 MHz, CDCl3): δ = 170.7 (C-33), 170.2 (C-31), 168.6 (C-40), 157.5 (C-53), 157.3 (C-51), 151.3 (C-47), 151.0 (C-20), 136.2 (C-42), 132.2 (C-50), 130.1 (C-43), 130.0 (C-44), 129.6 (C-45), 126.7 (C-46), 114.2 (C-49), 113.7 (C-48), 109.3 (C-29), 96.9 (C-52), 78.0 (C-3), 69.6 (C-2), 55.3 (C-5), 55.0 (C-17), 52.9 (C-18), 51.2 (C-9), 45.8 (C-19), 42.2 (C-14), 42.1 (C-1), 41.2 (C-54), 40.8 (C-8), 37.4 (C-4), 37.0 (C-10), 36.7 (C-13), 36.1 (C-22), 34.3 (C-7), 32.4 (C-16), 31.4 (C-21), 29.6 (C-15), 28.9 (C-23), 25.5 (C-12), 21.3 (C-11), 21.2 (C-32), 20.8 (C-34), 19.5 (C-30), 18.0 (C-6), 17.5 (C-24), 16.7 (C-25), 16.3 (C 26), 14.6 (C-27) ppm; MS (ESI, MeOH/CHCl3): m/z 1007.2 (100%, [M-Cl]+); analysis calcd for C63H83N4O7Cl (1043.83): C 72.49, H 8.02, N 3.40; found: C 72.19, H 8.26; N 3.17.
4.2.22. 9-[2-[[4-(2β,3β-Diacetoxy-lup-20(29)-en-28-oyl)-1-(hexahydro-1H-1,4-diazepin-1-yl)]carbonyl]phenyl]-3,6-bis(diethylamino)-xanthylium Chloride (19)
According to the GPD from 10 (400 mg, 0.63 mmol), followed by chromatography (SiO2, CHCl3/MeOH, 9:1), 19 (485 mg, 70%) was obtained as a violet solid; Rf = 0.4 (SiO2, CHCl3/MeOH 9:1); m.p. = 264 °C (decomp.); UV-Vis (MeOH): λmax (log ε) = 562 nm (4.98); IR (ATR): ν = 2936br, 2869w, 1738m, 1625m, 1586vs, 1528w, 1481w, 1467m, 1411s, 1377w 1335s, 1272w, 1245s, 1179vs, 1132m, 1095w, 1072m, 1031w, 1010w, 978w, 921m, 870w, 822m, 788w, 754m, 683m, 665w, 629w, 620w, 602w, 579w, 497w cm−1; 1H-NMR (400 MHz, CDCl3): δ = 7.67–7.56 (m, 2H, 45-H, 44-H), 7.43 (d, J = 7.3 Hz, 1H, 46-H), 7.33–7.17 (m, 2H, 43-H, 50-H), 6.84–6.70 (m, 1H, 52-H), 5.30–5.25 (m, 1H, 2-H), 4.74–4.66 (m, 1H, 29-Ha), 4.60–4.53 (m, 2H, 29-Hb, 3-H), 3.93–3.15 (m, 12H, 35-H, 36-H, 37-H, 38-H, 39-H, 54-H), 2.96 (d, J = 19.0 Hz, 1H, 19-H), 2.90–2.78 (m, 1H, 13-H), 2.00 (s, 3H, 32-H), 1.98 (s, 3H, 34-H), 2.06–1.84 (m, 3H, 16-Ha, 1-Ha, 22-Ha), 1.83–1.56 (m, 6H, 21-Ha, 12-H, 30-H), 1.56–1.16 (m, 15H, 6-H, 18-H, 16-Hb, 21-Hb, 7-H, 22-Hb, 11-H, 55-H, 15-Ha, 1-Hb, 9-H), 1.15–1.03 (m, 1H, 15-Hb), 1.07 (s, 3H, 25-H), 0.99 (s, 3H, 24-H), 0.91 (s, 4H, 26-H, 5-H), 0.89 (s, 3H, 27-H), 0.85 (s, 3H, 23-H) ppm; 13C-NMR (100 MHz, CDCl3): δ = 175.7 (C-28), 170.8 (C-33), 170.4 (C-31), 168.4 (C-40), 157.8 (C-53), 156.0 (C-47), 155.8 (C-51), 155.7 (C-20), 136.1 (C-42), 131.9 (C-50), 130.7 (C-41), 130.3 (C-43), 130.0 (C-44), 129.7 (C-45), 126.8 (C-46), 113.9 (C-49), 113.7 (C-48), 109.3 (C-29), 96.6 (C-52), 78.1 (C-3), 69.7 (C-2), 55.5 (C-5), 55.1 (C-17), 53.1 (C-18), 51.4 (C-9), 46.4 (C-39), 46.3 (C-35, C-36, C-37, C-38, C-54), 46.0 (C-19), 42.3 (C-1), 42.2 (C-14), 40.9 (C-8), 37.5 (C-4), 37.1 (C-10), 36.9 (C-13), 36.1 (C-22), 34.4 (C-7), 32.0 (C-16), 31.6 (C-21), 29.9 (C-15), 29.0 (C-23), 25.6 (C-12), 21.4 (C-11), 21.3 (C-32), 21.0 (C-34), 19.6 (C-30), 18.1 (C-6), 17.6 (C-24), 16.9 (C-25), 16.4 (C-26), 14.7 (C-27), 12.8 (C-55) ppm; MS (ESI, MeOH): m/z 1064.4 (100%, [M-Cl]+); analysis calcd for C67H91N4O7Cl (1063.69): C 75.60, H 8.62, N 5.26; found: C 75.36, H 8.91, N 5.07.
4.2.23. 9-[2-[[4-(2β,3β-Diacetoxy-lup-20(29)-en-28-oyl)-1-(hexahydro-1H-1,4-diazepin-1-yl)]carbonyl]phenyl]-3,6-bis(dipropylamino)-xanthylium Chloride (20)
According to the GPD from 10 (250 mg, 0.39 mmol), followed by chromatography (SiO2, CHCl3/MeOH, 9:1), 20 (264 mg, 60%) was obtained as a purple solid; Rf = 0.61 (SiO2, CHCl3/MeOH, 9:1); m.p. = 212 °C; UV-Vis (MeOH): λmax (log ε) = 565 nm (4.98); IR (ATR): ν = 2935br, 2872w, 1739m, 1625m, 1587vs, 1527w, 1507w, 1468m, 1411m, 1376w, 1337s, 1300m,1251m, 1230s, 1177vs, 1132m, 1099m, 1074w, 1031w, 981w, 939m, 917w, 877w, 822m, 779w, 757w, 706w, 665w, 599w, 574w, 562w, 507w, 457w cm−1; 1H NMR (500 MHz, CDCl3): δ = 7.66–7.55 (m, 2H, 44-H, 43-H), 7.42 (d, J = 6.7 Hz, 1H, 46-H), 7.32–7.15 (m, 2H, 45-H, 50-H), 6.95–6.77 (m, 1H, 49-H), 6.77–6.64 (m, 1H, 52-H), 5.30–5.25 (m, 1H, 2-H), 4.70 (d, J = 10.7 Hz, 1H, 29-Ha), 4.61–4.49 (m, 2H, 3-H, 29-Hb), 3.63–3.29 (m, 12H, 54-H, 35-H, 36-H, 37-H, 38-H, 39-H), 3.02–2.90 (m, 1H, 19-H), 2.88–2.78 (m, 1H, 13-H), 2.13–2.06 (m, 1H, 16-Ha), 1.99 (s, 3H, 32-H), 1.98 (s, 3H, 34-H), 1.97–1.84 (m, 2H, 1-Ha, 22-Ha), 1.80–1.64 (m, 5H, 21-Ha, 55-H, 12-Ha, 11-Ha), 1.63 (s, 3H, 30-H), 1.56–1.41 (m, 4H, 6-H, 18-H, 16-Hb), 1.40–1.17 (m, 9H, 21-Hb, 7-H, 11-Hb, 22-Hb, 15-H, 1-Hb, 9-H), 1.06 (s, 3H, 26-H), 0.98 (s, 6H, 56-H, 25-H), 0.90 (s, 4H, 24-H, 12-Hb), 0.88 (s, 4H, 27-H, 5-H), 0.84 (s, 3H, 23-H) ppm; 13C NMR (125 MHz, CDCl3): δ = 170.8 (C-33), 170.3 (C-31), 157.8 (C-53), 156.2 (C-47), 156.1 (C-51), 151.4 (C-20), 135.2 (C-42), 131.3 (C-50), 130.3 (C-45), 130.0 (C-43), 129.7 (C-44), 126.8 (C-46), 114.5 (C-49), 113.5 (C-48), 109.0 (C-29), 96.4 (C-52), 78.1 (C-3), 69.7 (C-2), 55.4 (C-5), 55.1 (C-17), 53.9 (C-39, C-54), 53.8 (C-35, C-36, C-37, C-38), 52.7 (C-18), 51.3 (C-9), 45.9 (C-19), 42.3 (C-14), 42.2 (C-1), 40.9 (C-8), 37.5 (C-4), 37.1 (C-10), 36.8 (C-13), 36.2 (C-22), 34.3 (C-7), 32.7 (C-16), 31.6 (C-21), 29.8 (C-15), 29.0 (C-23), 25.6 (C-12), 21.4 (C-11), 21.3 (C-34), 20.9 (C-32), 20.9 (C-55), 19.6 (C-30), 18.1 (C-6), 17.6 (C-25), 16.8 (C-26), 16.3 (C-24), 14.6 (C-27), 11.4 (C-56) ppm; MS (ESI, MeOH/CHCl3): m/z 1120.1 (100%, [M-Cl]+); analysis calcd for C71H99N4O7Cl (1156.04): C 73.77, H 8.63, N 4.85; found: C 73.54, H 8.90; N 4.61.
4.2.24. 9-[2-[[4-(2β,3β-Diacetoxy-lup-20(29)-en-28-oyl)-1-(hexahydro-1H-1,4-diazepin-1-yl)]carbonyl]phenyl]-3,6-bis(dibutylamino)-xanthylium Chloride (21)
According to the GPC from 10 (250 mg, 0.39 mmol), followed by chromatography (SiO2, CHCl3/MeOH, 9:1), 21 (244 mg, 0.2 mmol, 52%) was obtained as a purple solid; Rf = 0.61 (SiO2, CHCl3/MeOH, 9:1); m.p. = 216 °C; UV-Vis (MeOH): λmax (log ε) = 568 nm (5.04); IR (ATR): ν = 2932br, 2869w 1739m, 1625m, 1586vs, 1528w, 1507w, 1461m, 1411s, 1339s, 1291w, 1250m, 1218s, 1175vs, 1132m, 1109w, 1054w, 1031w, 982w, 921m, 881w, 822m, 755w, 704m, 664w, 601w, 569w, 509w, 488w, 461w cm−1; 1H NMR (400 MHz, CDCl3): δ = 7.67–7.55 (m, 2H, 43-H, 44-H), 7.46–7.42 (m, 1H, 46-H), 7.33–7.17 (m, 2H, 50-H, 45-H), 6.96–6.78 (m, 1H, 49-H), 6.78–6.66 (m, 1H, 52-H), 5.29 (d, J = 4.3 Hz, 1H, 2-H), 4.75–4.68 (m, 1H, 29-Ha), 4.61–4.54 (m, 2H, 3-H, 29-Hb), 3.90–3.23 (m, 12H, 35-H, 36-H, 37-H, 38-H, 39-H, 54-H), 3.05–2.93 (m, 1H, 19-H), 2.91–2.78 (m, 1H, 13-H), 2.17–2.05 (m, 1H, 16-Ha), 2.01 (s, 3H, 32-H), 2.00 (s, 3H, 34-H), 1.99–1.87 (m, 2H, 1-Ha, 22-Ha), 1.85–1.65 (m, 4H, 21-Ha, 12-Ha, 55-H), 1.65 (s, 3H, 30-H), 1.57–1.15 (m, 15H, 6-H, 18-H, 56-H, 21-Hb, 11-H, 7-H, 22-Hb, 15-Ha, 1-Hb, 9-H), 1.14–1.11 (m, 1H, 15-Hb), 1.08 (s, 3H, 26-H), 1.00 (s, 3H, 25-H), 0.98 (s, 3H, 57-H), 0.92 (s, 4H, 24-H, 12-Hb), 0.90 (s, 4H, 27-H, 5-H), 0.86 (s, 3H, 23-H) ppm; 13C NMR (100 MHz, CDCl3): δ = 175.6 (C-28), 170.8 (C-33), 170.4 (C-31), 168.8 (C-40), 157.7 (C-53), 156.2 (C-47), 156.1 (C-51), 151.2 (C-20), 136.2 (C-42), 131.9 (C-50), 130.3 (C-45), 130.1 (C-44), 129.6 (C-43), 126.9 (C-46), 114.5 (C-49), 113.8 (C-48), 109.4 (C-29), 96.6 (C-52), 78.1 (C-3), 69.8 (C-2), 55.5 (C-5), 55.2 (C-17), 53.1 (C-18), 52.1 (C-35, C-36, C-37, C-38, C-39, C-54), 51.4 (C-9), 46.0 (C-19), 42.3 (C-14), 42.2 (C-1), 40.9 (C-8), 37.5 (C-4), 37.1 (C-10), 36.9 (C-13), 36.0 (C-22), 34.4 (C-7), 32.1 (C-16), 31.6 (C-21), 29.7 (C-15), 29.6 (C-55), 29.1 (C-23), 25.7 (C-12), 21.4 (C-11), 21.4 (C-34), 21.0 (C-32), 20.3 (C-56), 19.5 (C-30), 18.1 (C-6), 17.6 (C-25), 16.9 (C-26), 16.4 (C-24), 14.7 (C-27), 14.0 (C-57) ppm; MS (ESI, MeOH/CHCl3): m/z 1176.3 (100%, [M-Cl]+); analysis calcd for C75H107N4O7Cl (1212.15): C 74.32, H 8.90, N 4.62; found: C 74.08, H 9.16; N 4.46.
4.2.25. 9-[2-[[4-(2β,3β-Diacetoxy-lup-20(29)-en-28-oyl)-1-(hexahydro-1H-1,4-diazepin-1-yl)]carbonyl]phenyl)]-2,3,6,7,12,13,16,17-octahydro-1H,5H,11H,15H-xantheno(2,3,4-ij:5,6,7-i’j’)diquinolizin-18-ium Chloride (22)
According to the GPC from 10 (277 mg, 0.43 mmol), followed by chromatography (SiO2, CHCl3/MeOH, 9:1), 22 (332 mg, 66%) was obtained as a purple solid; Rf = 0.34 (SiO2, CHCl3/MeOH, 9:1); m.p. = 290 °C (decomp.); UV-Vis (MeOH): λmax (log ε) = 583 nm (4.90); IR (ATR): ν = 2939br, 1736m, 1595s, 1493s, 1361m, 1294vs, 1181s, 1099s, 1034m, 420s cm−1; 1H NMR (500 MHz, CDCl3): δ = 7.70–7.54 (m, 2H; 43-H, 44-H), 7.48–7.39 (m, 1H, 46-H), 7.33–7.18 (m, 1H, 45-H), 6.81–6.61 (m, 1H, 49-H), 5.34–5.24 (m, 1H, 2-H), 4.79–4.66 (m, 1H, 29-Ha), 4.64–4.53 (m, 2H, 3-H, 29-Hb), 3.71–3.38 (m, 4H, 56-H, 57-H), 3.07–2.94 (m, 3H, 54-H, 19-H), 2.94–2.79 (m, 1H, 13-H), 2.78–2.63 (m, 2H, 59-H), 2.17–2.04 (m, 3H, 55-H, 16-Ha), 2.01 (s, 3H, 32-H), 2.00 (s, 3H, 34-H), 1.99–1.85 (m, 4H, 58-H, 1-Ha, 22-Ha), 1.85–1.61 (m, 2H, 12-Ha, 21-Ha), 1.65 (s, 3H, 30-H), 1.59–1.43 (m, 4H, 6-H, 16-Hb, 18-H), 1.43–1.18 (m, 9H, 21-Hb, 7-H, 11-H, 22-Hb, 15-Ha, 1-Hb, 9-H), 1.16–1.10 (m, 1H, 15-Hb), 1.08 (s, 3H, 25-H), 1.00 (s, 3H, 24-H), 0.97–0.88 (m, 8H, 26-H, 27-H, 12-Hb, 5-H), 0.86 (s, 3H, 23-H) ppm; 13C NMR (125 MHz, CDCl3): δ = 174.8 (C-28), 170.8 (C-33), 170.4 (C-31), 152.1 (C-53), 151.4 (C-47), 151.1 (C-20), 132.0 (C-42), 130.6 (C-45), 130.0 (C-43), 129.7 (C-44), 127.8 (C-46), 126.6 (C-49), 113.5 (C-48), 109.5 (C-29), 105.4 (C-52), 78.1 (C-3), 69.7 (C-2), 55.5 (C-5), 55.2 (C-17), 52.8 (C-18), 51.4 (C-9), 51.1 (C-57), 50.7 (C-56), 45.7 (C-19), 42.4 (C-14), 42.2 (C-1), 40.9 (C-8), 37.5 (C-4), 37.1 (C-10), 36.9 (C-13), 36.2 (C-22), 34.4 (C-7), 32.2 (C-16), 31.5 (C-21), 29.9 (C-15), 29.1 (C-23), 27.8 (C-59), 25.6 (C-12), 21.4 (C-11), 21.4 (C-34), 21.0 (C-32), 20.8 (C-58), 20.1 (C-54), 19.9 (C-55), 19.6 (C-30), 18.1 (C-6), 17.6 (C-24), 16.9 (C-25), 16.3 (C-26), 14.7 (C-27) ppm; MS (ESI, MeOH): m/z 1111.0 (100%, [M-Cl]+); analysis calcd for C71H91N4O7Cl (1147.98): C 74.29, H 7.99, N 4.88; found: C 74.03, H 8.18; N 4.67.
4.2.26. 9-[2-[[4-(2β,3β-Diacetoxy-20-oxo-30-norlupan-28-oyl)-1-piperazinyl]carbonyl]phenyl]-3,6-bis(dimethylamino)-xanthylium Chloride (23)
According to the GPC from 11 (175 mg, 0.27 mmol), followed by chromatography (SiO2, CHCl3/MeOH, 9:1), 23 (180 mg, 63%) was obtained as a purple solid; Rf = 0.55 (SiO2, CHCl3/MeOH 9:1); m.p.: = 310–314 °C; UV-Vis (MeOH): λmax (log ε) = 556 nm (4.94); IR (ATR): ν = 2937br, 1736m, 1591vs, 1534w, 1493m, 1407s, 1364s, 1343vs, 1259m, 1185vs, 1134m, 1031w, 1003m, 926m, 821w, 699m, 580w, 517w cm−1; 1H-NMR (500 MHz, CDCl3): δ = 7.71–7.62 (m, 2H, 42-H, 43-H), 7.54–7.49 (m, 1H, 44-H), 7.38–7.29 (m, 1H, 41-H), 7.27–7.20 (m, 1H, 48-H), 7.09–6.99 (m, 1H, 47-H), 6.90–6.80 (m, 1H, 50-H), 5.30–5.25 (m, 1H, 2-H), 4.55 (d, J = 3.8 Hz, 2H, 3-H), 3.51–3.21 (m, 20H, 53-H, 34-H, 35-H, 36-H, 37-H), 3.16–3.07 (m, 1H, 19-H), 2.55 (td, J = 12.5, 3.5 Hz, 1H, 13-H), 2.10 (s, 3H, 29-H), 2.03–1.98 (m, 1H, 18-H), 1.99 (s, 3H, 33-H), 1.98 (s, 3H, 31-H), 2.01–1.91 (m, 2H, 16-Ha, 1-Ha), 1.90–1.77 (m, 2H, 22-Ha, 21-Ha), 1.63–1.15 (m, 12H, 16-Hb, 6-H, 22-Hb, 21-Hb, 7-H, 11-H, 9-H, 15-Ha, 1-Hb), 1.14–1.07 (m, 1H, 15-Hb), 1.05 (s, 3H, 26-H), 0.98 (s, 3H, 25-H), 1.02–0.93 (m, 2H, 12-H), 0.91 (s, 3H, 27-H), 0.88–0.86 (m, 1H, 5-H), 0.85 (s, 3H, 24-H), 0.84 (s, 3H, 23-H) ppm; 13C-NMR (125 MHz, CDCl3): δ = 212.7 (C-20), 174.2 (C-28), 170.7 (C-32), 170.3 (C-30), 167.7 (C-38), 157.6 (C-51), 157.5 (C-49), 156.1 (C-45), 135.1 (C-40), 132.0 (C-48), 130.7 (C-39), 130.4 (C-43), 130.4 (C-42), 130.3 (C-41), 127.7 (C-44), 114.7 (C-47), 114.0 (C-46), 97.0 (C-50), 78.0 (C-3), 69.7 (C-2), 55.4 (C-5), 54.6 (C-17), 52.5 (C-18), 51.2 (C-9), 50.1 (C-19), 42.2 (C-1), 42.0 (C-14), 41.4 (C-52, C-34, C-35, C-36, C-37), 40.7 (C-8), 37.5 (C-4), 37.1 (C-10), 35.9 (C-13), 35.7 (C-22), 34.2 (C-7), 32.1 (C-16), 30.2 (C-29), 29.8 (C-15), 29.0 (C-23), 28.8 (C-21), 27.4 (C-12), 21.3 (C-33), 21.3 (C-11), 18.0 (C-6), 17.6 (C-25), 16.8 (C-26), 16.2 (C-24), 14.6 (C-27) ppm; MS (ESI, MeOH): m/z 996.5 (100%, [M-Cl]+); analysis calcd for C61H79N4O8Cl (995.59): C 73.54, H 7.99, N 5.62; found: C 73.81, H 8.39, N 4.32.
4.2.27. 9-[2-[[4-(2β,3β-Diacetoxy-20-oxo-30-norlupan-28-oyl)-1-piperazinyl]carbonyl]phenyl]-3,6-bis(diethylamino)-xanthylium Chloride (24)
According to the GPC from 11 (500 mg, 0.8 mmol), followed by chromatography (SiO2, CHCl3/MeOH, 9:1), 24 (504 mg, 59%) was obtained as a purple solid; Rf = 0.35 (SiO2, CHCl3/MeOH, 9:1); m.p. = 265–269 °C; UV-Vis (MeOH): λmax (log ε) = 561 nm (5.02); IR (ATR): ν = 2934w, 1736m, 1630m, 1586vs, 1528w, 1466m, 1411s, 1335s, 1245s, 1177vs, 1131s, 1072s, 1003s, 921m, 822m, 683s, 497w cm−1; 1H NMR (500 MHz, CDCl3): δ = 7.70–7.62 (m, 2H, 42-H, 43-H), 7.54–7.48 (m, 1H, 44-H), 7.35–7.29 (m, 1H, 41-H), 7.26–7.29 (m, 2H, 48-H), 7.09–6.92 (m, 2H, 47-H), 6.82–6.76 (m, 2H, 50-H), 3.73–3.52 (m, 1H, 2-H), 4.54 (d, J = 3.7 Hz, 1H, 3-H), 3.73–3.52 (m, 16H, 37-H, 36-H, 35-H, 34-H, 52-H), 3.10 (td, J = 11.2, 3.6 Hz, 1H, 19-H), 2.55 (td, J = 12.5, 3.5 Hz, 1H, 13-H), 2.09 (s, 3H, 29-H), 2.04–2.00 (m, 1H, 18-H), 1.98 (s, 3H, 33-H), 1.97 (s, 3H, 31-H), 2.05–1.88 (m, 2H, 16-Ha, 1-Ha), 1.89–1.70 (m, 2H, 22-Ha, 21-Ha), 1.64–1.37 (m, 5H, 16-Hb, 6-H, 22-Hb, 21-Hb), 1.29 (dd, J = 14.5, 6.8 Hz, 12H, 53-H), 1.37–1.14 (m, 7H, 7-H, 11-H, 19-H, 15-Ha, 1-Hb), 1.04 (s, 3H, 25-H), 1.13–0.87 (m, 3H, 15-Hb, 12-H), 0.98 (s, 3H, 24-H), 0.90 (s, 3H, 27-H), 0.84 (s, 3H, 26-H), 0.83 (s, 3H, 23-H), 0.80–0.77 (m, 1H, 5-H) ppm; 13C NMR (101 MHz, CDCl3): δ = 212.6 (C-20), 174.0 (C-28), 170.7 (C-32), 170.3 (C-30), 167.7 (C-38), 157.8 (C-51), 155.8 (C-45), 155.7 (C-49), 135.0 (C-40), 132.2 (C-48), 130.9 (C-39), 130.4 (C-41), 130.3 (C-42, C-43), 127.7 (C-44), 114.5 (C-47) 113.8 (C-46), 96.5 (C-50), 78.0 (C-3), 69.6 (C-2), 55.3 (C-5), 54.6 (C-17), 52.4 (C-18), 51.1 (C-9), 50.1 (C-19), 46.3 (C-37, C-36, C-35, C-34, C-52), 42.2 (C-1), 41.9 (C-14), 40.7 (C-8), 37.4 (C-4), 37.1 (C-10), 35.9 (C-13), 35.7 (C-22), 34.1 (C-7), 32.1 (C-16), 30.2 (C-29), 29.7 (C-15), 29.0 (C-23), 28.7 (C-21), 27.3 (C-12), 21.3 (C-33), 21.3 (C-11), 20.9 (C-31), 18.0 (C-6), 17.5 (C-24), 16.8 (C-25), 16.2 (C-26), 14.6 (C-27), 12.8 (C-53) ppm; MS (ESI, MeOH/CHCl3): m/z 1052.4 (100%, [M-Cl]+); analysis calcd for C65H87N4O8Cl (1087.88): C 71.76, H 8.06, N 5.15; found: C 71.54, H 8.29; N 4.97.
4.2.28. 9-[2-[[4-(2β,3β-Diacetoxy-20-oxo-30-norlupan-28-oyl)-1-piperazinyl]carbonyl]phenyl]-3,6-bis(dipropylamino)-xanthylium Chloride (25)
According to the GPC from 11 (175 mg, 0.28 mmol), followed by chromatography (SiO2, CHCl3/MeOH, 9:1), 25 (145 mg, 46%) was obtained as a purple solid; Rf = 0.52 (SiO2, CHCl3/MeOH, 9:1); m.p. = 204–208 °C; UV-Vis (MeOH): λmax (log ε) = 564 nm (5.04); IR (ATR): ν = 2935br, 1739m, 1633m, 1587vs, 1469m, 1412m, 1337s, 1301w, 1231s, 1177vs, 1132m, 1100m, 1031m, 1003m, 940w, 823w, 756w, 706w, 666w, 563w, 507w cm−1; 1H NMR (500 MHz, CDCl3): δ = 7.71–7.64 (m, 2H, 42-H, 43-H), 7.57–7.51 (m, 1H, 44-H), 7.38–7.33 (m, 1H, 41-H), 7.32–7.21 (m, 1H, 48-H), 7.07–6.95 (m, 1H, 47-H), 6.82–6.69 (m, 1H, 50-H), 5.29 (dd, J = 3.7 Hz, 1H, 2-H), 4.58 (d, J = 3.7 Hz, 1H, 3-H), 3.68–3.27 (m, 16H, 52-H, 34-H, 35-H, 36-H, 37-H), 3.20–3.09 (m, 1H, 19-H), 2.58 (td, J = 12.3, 3.0 Hz, 1H, 13-H), 2.12 (s, 3H, 29-H), 2.06–1.92 (m, 3H, 18-H, 16-Ha, 1-Ha), 2.01 (s, 3H, 33-H), 2.00 (s, 3H, 31-H), 1.92–1.81 (m, 2H, 22-Ha, 21-Ha), 1.80–1.66 (m, 8H, 53-H), 1.65–1.18 (m, 12H, 16-Hb, 6-H, 22-Hb, 21-Hb, 7-H, 11-H, 15-Ha, 1-Hb, 9-H), 1.16–1.09 (m, 1H, 15-Hb), 1.07 (s, 3H, 26-H), 1.04–0.98 (m, 17H, 25-H, 54-H, 12-H), 0.93 (s, 3H, 27-H), 0.92–0.91 (m, 1H, 5-H), 0.88 (s, 3H, 24-H), 0.86 (s, 3H, 23-H) ppm; 13C NMR (126 MHz, CDCl3): δ = 212.7 (C-20), 174.2 (C-28), 170.8 (C-32), 170.3 (C-30), 167.8 (C-38), 157.8 (C-51), 156.2 (C-49), 155.7 (C-45), 135.1 (C-40), 132.2 (C-48), 130.9 (C-39), 130.6 (C-43), 130.4 (C-42), 130.4 (C-41), 127.8 (C-44), 114.5 (C-47), 114.0 (C-46), 96.6 (C-50), 78.0 (C-3), 69.7 (C-2), 55.4 (C-5), 54.7 (C-17), 53.9 (C-52), 52.6 (C-18), 51.2 (C-9), 50.2 (C-19), 45.1 (C-34, C-35, C-36, C-37), 42.3 (C-14), 42.0 (C-1), 40.8 (C-8), 37.5 (C-4), 37.1 (C-10), 36.0 (C-13), 35.8 (C-22), 34.2 (C-7), 32.2 (C-16), 30.2 (C-29), 29.8 (C-15), 29.1 (C-23), 28.8 (C-21), 27.4 (C-12), 21.4 (C-11), 21.4 (C-33), 21.0 (C-31), 20.9 (C-53), 18.1 (C-6), 17.6 (C-25), 16.9 (C-26), 16.3 (C-24), 14.7 (C-27), 11.5 (C-54) ppm; MS (ESI, MeOH): m/z 1108.6 (100%, [M-Cl]+); analysis calcd for C70H97N4O7Cl (1142.02): C 73.62, H 8.56, N 4.91; found: C 73.41, H 8.78; N 4.75.
4.2.29. 9-[2-[[4-(2β,3β-Diacetoxy-20-oxo-30-norlupan-28-oyl)-1-piperazinyl]carbonyl]phenyl]-2,3,6,7,12,13,16,17-octahydro-1H,5H,11H,15H-xantheno(2,3,4-ij:5,6,7-i’j’)diquinolizin-18-ium Chloride (26)
According to the GPD from 11 (80 mg, 0.13 mmol), followed by chromatography (SiO2, CHCl3/MeOH, 9:1), 26 (102 mg, 69%) was obtained as a purple solid; Rf = 0.3 (SiO2, CHCl3/MeOH, 9:1); m.p. = 250–254 °C; UV-Vis (MeOH): λmax (log ε) = 583 nm (4.58); IR (ATR): ν = 2940m, 1739m, 1595m, 1494m, 1297vs, 1252s, 1187s, 1099s, 1033s, 623w, 421s, cm−1; 1H NMR (500 MHz, CDCl3): δ = 7.69–7.64 (m, 2H, 44-H + 45-H), 7.52–7.47 (m, 1H, 46-H), 7.31–7.27 (m, 1H, 43-H), 6.69–6.63 (m, 2H, 49-H), 5.31–5.25 (m, 1H, 2-H), 4.56 (d, J = 3.6 Hz, 1H, 3-H), 3.58–3.44 (m, 8H, 56-H, 57-H), 3.21–3.09 (m, 1H, 19-H), 3.10–2.95 (m, 12H, 34-H, 35-H, 36-H, 37-H, 54-H), 2.78–2.49 (m, 5H, 59-H, 13-H), 2.13 (s, 3H, 29-H), 2.12–1.75 (m, 13H, 55-H, 18-H, 16-Ha, 1-Ha, 58-H, 22-Ha, 21-Ha), 1.99 (s, 3H, 31-H), 1.98 (s, 3H, 33-H), 1.68–1.07 (m, 13H, 16-Hb, 6-H, 22-Hb, 21-Hb, 7-H, 11-H, 15-H, 9-H, 1-Hb), 1.07 (s, 3H, 25-H), 0.99 (s, 3H, 24-H), 1.06–0.88 (m, 2H, 12-H), 0.93 (s, 3H, 27-H), 0.89 (s, 3H, 26-H), 0.91–0.86 (m, 1H, 5-H), 0.85 (s, 3H, 23-H) ppm; 13C NMR (125 MHz, CDCl3): δ = 212.9 (C-20), 173.5 (C-28), 170.7 (C-32), 170.3 (C-30), 167.9 (C-40), 152.1 (C-47), 151.4 (C-51), 151.3 (C-53), 134.8 (C-41), 132.0 (C-42), 130.8 (C-43), 130.3 (C-45), 129.9 (C-44), 127.6 (C-46), 126.6 (C-49), 123.7 (C-50), 113.3 (C-48), 105.5 (C-52), 78.1 (C-3), 69.7 (C-2), 55.4 (C-5), 54.5 (C-17), 52.5 (C-18), 51.2 (C-9), 51.1 (C-57), 50.6 (C-56), 50.1 (C-19), 44.5 (C-34, C-35, C-36, C-37), 42.3 (C-14), 42.0 (C-1), 40.8 (C-8), 37.5 (C-4), 37.1 (C-10), 35.9 (C-13), 35.6 (C-22), 34.1 (C-7), 32.1 (C-16), 30.4 (C-29), 29.9 (C-15), 29.0 (C-23), 28.8 (C-21), 27.8 (C-59), 27.5 (C-12), 21.4 (C-11), 21.3 (C-31), 20.9 (C-31), 20.7 (C-58), 20.0 (C-54), 19.7 (C-55), 18.1 (C-6), 17.6 (C-24), 16.8 (C-25), 16.2 (C-26), 14.6 (C-27) ppm; MS (ESI, MeOH): m/z 1100.2 (100%, [M-Cl]+); analysis calcd for C69H87N4O7Cl (1135.62): C 72.96, H 7.72, N 4.93; found: C 72.69, H 7.97; N 4.76.
4.2.30. 9-[2-[[4-(2β,3β-Diacetoxy-20-oxo-30-norlupan-28-oyl)-1-(hexahydro-1H-1,4-diazepin-1-yl)]carbonyl]phenyl]-3,6-bis(dimethylamino)-xanthylium Chloride (27)
According to the GPC from 12 (90 mg, 0.14 mmol), followed by chromatography (SiO2, CHCl3/MeOH, 9:1), 27 (90 mg, 63%) was obtained as a purple solid; Rf = 0.52 (SiO2, CHCl3/MeOH, 9:1); m.p. = 265–269 °C; UV-Vis (MeOH): λmax (log ε) = 555 nm (4.93); IR (ATR): ν = 2932br, 1737m, 1592vs, 1493m, 1407s, 1341s, 1251m, 1185vs, 1132m, 1031w, 925m, 820w, 699m, 579w, 516w cm−1; 1H NMR (500 MHz, CDCl3): δ = 7.69–7.48 (m, 2H, 43-H, 42-H), 7.47–7.38 (m, 1H, 45-H), 7.37–7.29 (m, 1H, 44-H), 7.31–7.03 (m, 1H, 49-H), 7.00–6.65 (m, 2H, 48-H, 51-H), 5.29–5.27 (m, 1H, 2-H), 4.59–4.55 (m, 1H, 3-H), 3.38–3.30 (m, 22H, 34-H, 35-H, 36-H, 37-H, 38-H, 53-H), 3.24–3.20 (m, 1H, 19-H), 2.71–2.61 (m, 1H, 13-H), 2.14 (s, 4H, 29-H, 16-Ha), 2.01 (s, 3H, 33-H), 2.00–1.99 (m, 4H, 31-H, 18-H, 1-Ha), 1.96–1.90 (m, 1H, 22-Ha), 1.88–1.76 (m, 1H, 21-Ha), 1.64–1.17 (m, 12H, 16-Hb, 6-H, 21-Hb, 22-Hb, 7-H, 11-H, 15-Ha, 1-Hb, 9-H), 1.08 (s, 4H, 26-H, 15-Hb), 1.00 (s, 5H, 25-H, 12-H), 0.94 (s, 3H, 27-H), 0.92 (s, 4H, 24-H, 5-H), 0.85 (s, 3H, 23-H) ppm; 13C NMR (126 MHz, CDCl3): δ = 212.9 (C-20), 174.5 (C-28), 173.7 (C-39), 170.7 (C-32), 170.2 (C-30), 157.5 (C-52), 157.3 (C-50), 155.5 (C-46), 138.2 (C-41), 137.5 (C-40), 132.0 (C-49), 130.1 (C-44), 129.6 (C-43), 127.7 (C-42), 126.5 (C-45), 114.1 (C-47), 113.7 (C-48), 96.7 (C-51), 77.9 (C-3), 69.6 (C-2), 55.3 (C-5), 54.9 (C-17), 52.9 (C-18), 52.1 (C-36, C-38) 51.1 (C-9), 50.1 (C-19), 47.5 (C-34, C-35), 42.2 (C-1), 42.0 (C-14), 41.3 (C-53), 40.7 (C-8), 37.4 (C-4), 37.0 (C-10), 35.8 (C-13), 35.5 (C-22), 34.1 (C-7), 31.9 (C-16), 30.7 (C-37), 30.2 (C-29), 29.7 (C-15), 28.9 (C-23), 28.7 (C-21), 27.2 (C-12), 21.3 (C-11), 20.8 (C-31), 18.0 (C-6), 17.5 (C-25), 16.7 (C-26), 16.2 (C-24), 14.6 (C-27) ppm; MS (ESI, MeOH): m/z 1010.3 (100%, [M-Cl]+); analysis calcd for C63H83N4O7Cl (1043.83): C 72.49, H 8.02, N 7.40; found: C 72.19, H 8.31; N 7.26.
4.2.31. 9-[2-[[4-(2β,3β-Diacetoxy-20-oxo-30-norlupan-28-oyl)-1-(hexahydro-1H-1,4-diazepin-1-yl)]carbonyl]phenyl]-3,6-bis(diethylamino)-xanthylium Chloride (28)
According to the GPC from 12 (400 mg, 0.6 mmol), followed by chromatography (SiO2, CHCl3/MeOH, 9:1), 28 (501 mg, 76%) was obtained as a purple solid; Rf = 0.25 (SiO2, CHCl3/MeOH, 9:1); m.p. = 250–255 °C; UV-Vis (MeOH): λmax (log ε) = 561 nm (4.85); IR (ATR): ν = 2937br, 1738m, 1586vs, 1528w, 1467m, 1411s, 1335s, 1245s, 1179vs, 1131m, 1072m, 1073w, 1011m, 975w, 920w, 822w, 683m cm−1; 1H NMR (500 MHz, CDCl3) δ = 7.69–7.58 (m, 4H, 44-H, 43-H), 7.46–7.39 (m, 2H, 45-H), 7.35–6.87 (m, 4H, 42-H, 49-H, 48-H), 6.84–6.69 (m, 2H, 51-H), 5.32–5.26 (m, 1H, 2-H), 4.60–4.55 (m, 1H, 3-H), 3.82–3.46 (m, 12H, 34-H, 35-H, 36-H, 37-H, 53-H, 38-H), 3.46–3.11 (m, 1H, 19-H), 2.73–2.62 (m, 1H, 13-H), 2.18–2.08 (m, 4H, 29-H, 16-Ha), 2.01 (s, 3H, 31-H), 2.00 (s, 3H, 33-H), 2.08–1.89 (m, 3H, 18-H, 1-Ha, 22-Ha), 1.90–1.70 (m, 1H, 21-Ha), 1.62–1.18 (m, 14H, 16-Hb, 6-H, 21-Hb, 22-Hb, 7-H, 11-H, 38-H, 9-H, 15-Ha, 1-Hb), 1.34–1.29 (m, 12H, 54-H), 1.09 (s, 3H, 25-H), 1.01 (s, 3H, 26-H), 0.95 (s, 3H, 27-H), 0.93–0.87 (m, 1H, 5-H), 0.92 (s, 3H, 26-H), 0.86 (s, 3H, 23-H) ppm; 13C NMR (126 MHz, CDCl3) δ = 213.1 (C-20), 179.2 (C-28), 170.8 (C-32), 170.3 (C-30), 168.7 (C-39), 157.9 (C-52), 155.9 (C-46), 155.7 (C-50), 138.0 (C-41), 132.5 (C-49), 130.7 (C-40), 130.4 (C-42), 130.0 (C-43), 129.7 (C-44), 126.6 (C-45), 115.3 (C-48), 115.3 (C-47), 96.3 (C-51), 78.0 (C-3), 70.7 (C-53), 69.8 (C-2), 55.4 (C-5), 55.1 (C-17), 52.9 (C-18), 51.3 (C-9), 50.3 (C-19), 46.4 (C-35), 46.3 (C-34), 42.3 (C-14), 42.1 (C-1), 40.8 (C-8), 37.5 (C-4), 37.1 (C-10), 36.0 (C-13), 35.7 (C-22), 34.3 (C-7), 31.6 (C-16), 30.3 (C-29), 30.0 (C-15), 29.9 (C-38), 29.1 (C-23), 28.6 (C-21), 27.4 (C-12), 21.4 (C-11), 21.4 (C-33), 21.0 (C-31), 18.1 (C-6), 17.6 (C-24), 16.9 (C-25), 16.4 (C-26), 14.7 (C-27), 12.8 (C-54) ppm; MS (ESI, MeOH): m/z 1066.7 (100%, [M-Cl]+); analysis calcd for C66H89N4O8Cl (1101.91): C 71.94, H 8.14, N 5.08; found: C 71.69, H 8.34; N 5.31.
4.2.32. 9-[2-[[4-(2β,3β-Diacetoxy-20-oxo-30-norlupan-28-oyl)-1-(hexahydro-1H-1,4-diazepin-1-yl)]carbonyl]phenyl)]-2,3,6,7,12,13,16,17-octahydro-1H,5H,11H,15H-xantheno(2,3,4-ij:5,6,7-i’j’)diquinolizin-18-ium Chloride (29)
According to the GPC from 12 (186 mg, 0.29 mmol), followed by chromatography (SiO2, CHCl3/MeOH, 9:1), 29 (240 mg, 70%) was obtained as a purple solid; Rf = 0.3 (SiO2, CHCl3/MeOH, 9:1); m.p. = 260–267 °C; UV-Vis (MeOH): λmax (log ε) = 578 nm (5.00); IR (ATR): ν = 3373br, 2937w, 1714w, 1593s, 1492s, 1460m, 1361m, 1292vs, 1265vs, 1179vs, 1093s, 1073w, 1035m, 894w, 772w, 730w, 507br, 420s cm−1; 1H NMR (500 MHz, CDCl3): δ = 7.67–7.56 (m, 2H, 43-H, 44-H), 7.47–7.35 (m, 1H, 45-H), 7.32–7.12 (m, 1H, 43-H), 6.75–6.58 (m, 2H, 48-H), 5.31–5.26 (m, 1H, 2-H), 4.60–4.55 (m, 1H, 3-H), 3.77–3.36 (m, 8H, 55-H, 56-H), 3.35–3.12 (m, 1H, 19-H), 3.09–2.89 (m, 4H, 53-H), 2.83–2.58 (m, 5H, 58-H, 13-H), 2.14 (s, 3H, 29-H), 2.21–1.86 (m, 12H, 54-H, 16-Ha, 18-H, 1-Ha, 22-Ha, 57-H), 2.01 (s, 3H, 33-H), 1.99 (s, 3H, 31-H), 1.85–1.63 (m, 1H, 21-Ha), 1.62–1.12 (m, 13H, 16-Hb, 6-H, 21-Hb, 22-Hb, 7-H, 11-H, 15-H, 1-Hb, 9-H), 1.07 (s, 3H, 25-H), 1.00 (s, 3H, 24-H), 0.94 (s, 3H, 27-H), 0.91 (s, 3H, 26-H), 0.90–0.87 (m, 1H, 5-H), 0.85 (s, 3H, 23-H) ppm; 13C NMR (125 MHz, CDCl3): δ = 213.1 (C-20), 174.8 (C-28), 170.8 (C-32), 170.3 (C-30), 152.0 (C-46), 151.5 (C-50), 151.4 (C-52), 136.3 (C-40), 131.3 (C-41), 130.5 (C-42), 129.9 (C-44), 129.6 (C-43), 126.9 (C-48), 126.4 (C-45), 123.7 (C-49), 113.0 (C-47), 105.4 (C-51), 78.0 (C-3), 69.7 (C-2), 55.4 (C-5), 55.1 (C-17), 52.9 (C-18), 51.3 (C-9), 51.0 (C-56), 50.6 (C-55), 50.3 (C-19), 42.3 (C-14), 42.1 (C-1), 40.8 (C-8), 37.5 (C-4), 37.1 (C-10), 35.9 (C-13), 35.6 (C-22), 34.3 (C-7), 32.0 (C-16), 30.3 (C-29), 29.8 (C-15), 29.0 (C-23), 28.8 (C-21), 27.6 (C-58), 27.4 (C-12), 21.4 (C-11), 21.3 (C-33), 21.0 (C-31), 20.7 (C-57), 20.0 (C-53), 19.8 (C-54), 18.1 (C-6), 17.6 (C-24), 16.8 (C-25), 16.3 (C-26), 14.7 (C-27) ppm; MS (ESI, MeOH): m/z 1114.5 (100%, [M-Cl]+); analysis calcd for C70H89N4O8Cl (1149.95): C 73.11, H 7.80, N 4.87; found: C 72.97, H 8.02; N 4.60.
4.2.33. 9-[2-[[4-(3β-Acetyloxy-lup-20(29)en-28-oyl)-1-piperazinyl]carbonyl]phenyl]-3,6-bis(diethylamino)-xanthylium Chloride (30)
Compound 30 was synthesized as previously reported and obtained as a purple solid; yield: 66%; Rf = 0.4 (SiO2, CHCl3/MeOH, 9:1); m.p.: 245–249 °C (lit.: [28] 246–250 °C); MS (ESI, MeOH): m/z 991.5 (100%, [M-Cl]+).
4.2.34. 9-[2-[[4-[(3β)-Acetyloxy-20(29)en-28-oxo-lup-28-yl]-1-homopiperazinyl]carbonyl]phenyl]-3,6-bis(diethylamino)-xanthylium Chloride (31)
Compound 31 was synthesized as previously reported and obtained as a purple solid; yield: 58%; Rf = 0.50 (SiO2, MeCN/CH2Cl2/H2O, 10:1:1); m.p.: 258–262 °C (lit.: [29] 256–260 °C); MS (ESI, MeOH): m/z 1005.6 (100%, [M-Cl]+).
4.2.35. 3β-Acetyloxy-28-[4-[3-(2,3,6,7,12,13,16,17-octahydro-1H,5H,11H,15H-pyrido[3,2,1-ij] pyrido[1″,2″,3″:1′,8′]quinolino[6′,5′:5,6]pyrano[2,3-f]quinolin-4-ium-9-yl)benzoyl]piperazine-1-yl]-28-oxo-lup-20(29)-en chloride (32)
Compound 32 was synthesized as previously reported and obtained as a purple solid; yield: 52%; Rf = 0.38 (SiO2, CHCl3/MeOH, 9:1); m.p.: >300 °C (lit: [24] > 300 °C); MS (ESI, MeOH): m/z 1039.4 (100%, [M-Cl]+).
4.2.36. 3β-Acetyloxy-28-[4-[3-(2,3,6,7,12,13,16,17-octahydro-1H,5H,11H,15H-pyrido[3,2,1-ij] pyrido[1″,2″,3″:1′,8′]quinolino[6′,5′:5,6]pyrano[2,3-f]quinolin-4-ium-9-yl)benzoyl]homopiperazine-1-yl]-28-oxo-lup-20(29)-en Chloride (33)
Compound 33 was synthesized as previously reported and obtained as a purple solid; yield: 68%; Rf = 0.38 (SiO2, CHCl3/MeOH, 9:1); m.p.: >300 °C (lit: [24] > 300 °C); MS (ESI, MeOH): m/z 1052.8 (100%, [M-Cl]+).
4.2.37. 9-[2-[[4-(3β-Acetyloxy-20-oxo-norlupan-28-oyl)-1-piperazinyl]carbonyl]phenyl]-3,6-bis(diethylamino)-xanthylium Chloride (34)
Compound 34 was synthesized as previously reported and obtained as a purple solid; yield: 70%; Rf = 0.38 (SiO2, CHCl3/MeOH, 9:1); m.p.: 236–242 °C (lit.: [28] 235–243 °C); MS (ESI, MeOH): m/z 993.6 (100%, [M-Cl]+).
4.2.38. 9-[2-[[4-(3β-Acetyloxy-20,28-dioxo-30-norlupan-28-yl)-1-homopiperazinyl]carbonyl]phenyl]-3,6-bis(diethylamino)-xanthylium Chloride (35)
Compound 35 was synthesized as previously reported and obtained as a purple solid; yield: 87%; Rf = 0.33 (SiO2, CHCl3/MeOH, 9:1); m.p.: 245–248 °C (lit.: [24] 248–250 °C); MS (ESI, MeOH): m/z 1007.64 (100%, [M-Cl]+).
4.2.39. 3β-Acetyloxy-28-[4-[3-(2,3,6,7,12,13,16,17-octahydro-1H,5H,11H,15H-pyrido[3,2,1-ij]pyrido[1″,2″,3″:1′,8′]quinolino[6′,5′:5,6]pyrano[2,3-f]quinolin-4-ium-9-yl)benzoyl]piperazine-1-yl]-20,28-dioxo-30-norlupan-12-en Chloride (36)
Compound 36 was synthesized as previously reported and obtained as a purple solid; yield: 65%; Rf = 0.45 (SiO2, CHCl3/MeOH, 9:1); m.p.: >300 °C (lit.: [24] > 300 °C); MS (ESI, MeOH): m/z 1041.5 (100%, [M-Cl]+).
4.2.40. 3β-Acetyloxy-28-[4-[3-(2,3,6,7,12,13,16,17-octahydro-1H,5H,11H,15H-pyrido[3,2,1-ij]pyrido[1″,2″,3″:1′,8′]quinolino[6′,5′:5,6]pyrano[2,3-f]quinolin-4-ium-9-yl)benzoyl]homopiperazine-1-yl]-20,28-dioxo-30-norlupan-12-en Chloride (37)
Compound 37 was synthesized as previously reported and obtained as a purple solid; yield: 66%; Rf = 0.45 (SiO2, CHCl3/MeOH, 9:1); m.p.: > 300 °C (lit.: [24] > 300 °C); MS (ESI, MeOH): m/z 1055.2 (100%, [M-Cl]+).
4.2.41. (3β, 20R)-Dihydroxy-30-norlupan-28-oic Acid (38)
To a solution of PA (4.7 g, 10 mmol) in THF (200 mL) and methanol (150 mL), NaBH4 (2.64 g, 70.0 mmol) was added in several portions, and the mixture was stirred at 21 °C for 3 days. The usual aq. work-up, followed by chromatography (SiO2, hexanes/EtOAc, EtOAc: 10% → 30%) gave 38 (2.70 g, 59%) as a colorless solid; Rf = 0.38 (SiO2, hexanes/ethyl acetate, 6:4); m.p. = 289–292 °C; = −37.27° (c 0.134, MeOH); IR (ATR): ν = 3452m, 2940s, 2666m, 1698s, 1673s, 1629w, 1452m, 1377m, 1359w, 1320w, 1291w, 1277w, 1233w, 1182s, 1131m, 1105m, 1078w, 1032s, 984m, 973w, 945w, 921w, 977w, 853m, 798w, 749w, 484m, 453m cm−1;1H-NMR (500 MHz, CD3OD): δ = 3.82 (q, J = 6.3 Hz, 1H, 20-H), 3.14 (dd, J = 11.4, 4.9 Hz, 1H, 3-H), 2.31 (td, J = 12.1, 3.6 Hz, 1H, 13-H), 2.25–2.14 (m, 2H, 16-Ha, 19-H), 1.81–1.68 (m, 3H, 22-Ha, 21-Ha, 1-Ha), 1.68–1.48 (m, 8H, 18-H, 11-H, 21-Hb, 12-Ha, 2-Ha, 6-Ha, 15-Ha), 1.48–1.20 (m, 8H, 6-Hb, 7-H, 16-Hb, 22-Hb, 9-H, 2-Hb, 12-Hb), 1.16 (d, J = 13.5 Hz, 1H, 15-Hb), 1.11 (d, J = 6.4 Hz, 3H, 29-H), 1.01 (s, 3H, 27-H), 0.97 (s, 3H, 25-H), 0.96 (s, 3H, 23-H), 0.95–0.90 (m, 1H, 1-Hb), 0.87 (s, 3H, 26-H), 0.76 (s, 3H, 24-H), 0.72 (d, J = 9.8 Hz, 1H, 5-H) ppm; 13C-NMR (126 MHz, CD3OD): δ = 179.04 (C-28), 78.26 (C-3), 68.22 (C-20), 56.51 (C-17), 55.45 (C-5), 50.37 (C-9), 47.37 (C-18), 45.74 (C-19), 42.26 (C-14), 40.50 (C-8), 38.70 (C-1), 38.54 (C-4), 38.11 (C-13), 36.92 (C-10), 36.86 (C-22), 34.25 (C-7), 31.53 (C-16), 29.53 (C-15), 27.21 (C-23), 26.96 (C-12), 26.63 (C-11), 21.97 (C-21), 21.82 (C-29), 20.79 (C-2), 18.05 (C-6), 15.28 (C-25), 15.28 (C-26), 14.71 (C-24), 13.70 (C-27) ppm; MS (ESI, MeOH): m/z = 559.1 (100%, [M-H]−), analysis calcd for C29H48O4 (460.36): C 75.61, H 10.50; found: C 72.51, H 9.91.
4.2.42. (3β, 20R)-Bis(acetyloxy)-30-norlupan-28-oic Acid (39)
Acetylation of 38 (4.0 g, 8.7 mmol) according to the GPA, followed by chromatography (SiO2, CHCl3/MeOH, 9:1) gave 39 (3.89 g, 82%) as a colorless solid; Rf = 0.50 (SiO2, hexanes/ethyl acetate, 7:3); m.p. = 275–277 °C; = −22.7° (c 0.109, CHCl3); IR (ATR): ν = 2946m, 1736s, 1684m, 1454w, 1372m, 1243vs, 1136w, 1023m, 980w, 949w, 608w cm−1; 1H NMR (500 MHz, CDCl3): δ = 5.05 (q, J = 6.0 Hz, 1H, 20-H), 4.48 (dd, J = 11.2, 5.1 Hz, 1H, 3-H), 2.34–2.22 (m, 2H, 19-H, 16-Ha), 2.20–2.10 (m, 1H, 13-H), 2.05 (s, 3H, 31-H), 2.04 (s, 3H, 33-H), 1.90 (dd, J = 12.3, 7.2 Hz, 1H, 22-Ha), 1.87–1.72 (m, 2H, 21-H), 1.71–1.68 (m, 1H, 1-Ha), 1.68–1.55 (m, 3H, 2-H, 12-Ha), 1.54–1.45 (m, 3H, 6-Ha, 11-Ha, 15-Ha), 1.44–1.23 (m, 9H, 6-Hb, 7-H, 22-Hb, 16-Hb, 12-Hb, 11-Hb, 18-H, 9-H), 1.17 (d, J = 6.4 Hz, 3H, 29-H), 1.16 –1.13 (m, 1H, 15-Hb), 1.02–0.94 (m, 1H, 1-Hb), 0.91 (s, 3H, 25-H), 0.87 (s, 3H, 27-H), 0.85 (s, 3H, 26-H), 0.84 (s, 3H, 24-H), 0.82 (s, 3H, 23-H), 0.78 (d, J = 10.1 Hz, 1H, 5-H) ppm; 13C NMR (125 MHz, CDCl3): δ = 181.8 (C-28), 171.1 (C-32), 171.1 (C-35), 81.0 (C-3), 77.4, 77.2, 76.9, 72.6 (C-20), 56.7 (C-17), 55.5 (C-5), 50.1 (C-9), 48.1 (C-18), 44.2 (C-19), 42.5 (C-14), 40.8 (C-8), 38.5 (C-1), 38.1 (C-13), 38.0 (C-4), 37.3 (C-22), 36.8 (C-10), 34.4 (C-7), 32.0 (C-16), 29.8 (C-15), 28.1 (C-23), 26.7 (C-12), 23.8 (C-2), 23.7 (C-21), 21.5 (C-33), 21.4 (C-31), 20.9 (C-11), 19.9 (C-29), 18.3 (C-6), 16.7 (C-24), 16.3 (C-25), 16.2 (C-26), 14.5 (C-27) ppm; MS (ESI, MeOH/CHCl3): m/z = 567.1 (75%, [M+Na]+), 1113.3 (100%, [2M+Na]+); analysis calcd for C35H52O6 (544.77): C 72.76, H 9.62; found: C 72.51, H 9.91.
4.2.43. (3β, 20R)-Bis(acetyloxy)-28-(1-piperazinyl)-30-norlupan-28-one (40)
According to the GPB from 39 (1.0 g, 1.8 mmol), followed by chromatography (SiO2, CHCl3/MeOH, 9:1), 40 (922 mg, 82%) was obtained as a colorless solid; Rf = 0.6 (SiO2, CHCl3/MeOH, 9:1); m.p. = 180–183 °C; = −14.2° (c 0.049, CHCl3); IR (ATR): ν = 2941m, 1734s, 1633m, 1455w, 1370m, 1244vs, 1190m, 1134w, 1008m cm−1; 1H NMR (500 MHz, CDCl3): δ = 5.04 (d, J = 6.1 Hz, 1H; 20-H), 4.47 (dd, J = 10.8, 5.5 Hz, 1H, 3-H), 3.73–3.50 (m, 4H, 34-H, 36-H), 3.30–3.09 (m, 4H, 37-H, 38-H), 2.90–2.81 (m, 1H, 13-H), 2.28–2.15 (m, 1H, 19-H), 2.11–2.04 (m, 1H, 16-Ha), 2.03 (s, 6H, 31-H, 33-H), 1.92–1.75 (m, 2H, 22-Ha, 21-Ha), 1.72–1.64 (m, 1H, 1-Ha), 1.64–1.43 (m, 8H, 2-H, 12-Ha, 21-Hb, 6-H, 11-Ha, 16-Hb), 1.41–1.17 (m, 7H, 7-H, 22-Hb, 15-Ha, 11-Hb, 18-H, 9-H, 12-Hb), 1.16–1.12 (m, 3H, 29-H), 1.11–1.08 (m, 1H, 15-Hb), 0.98–0.94 (m, 1H, 1-Hb), 0.92–0.89 (m, 3H, 25-H), 0.85 (s, 3H, 27-H), 0.84 (s, 3H, 26-H), 0.83 (s, 3H, 24-H), 0.82 (s, 3H, 23-H), 0.80–0.74 (m, 1H, 5-H) ppm; 13C NMR (125 MHz, CDCl3): δ = 173.8 (C-28), 171.1 (C-30), 171.0 (C-32), 81.0 (C-3), 73.1 (C-20), 55.6 (C-5), 55.0 (C-17), 51.6 (C-9), 50.4 (C-18), 46.3 (C-37, C-41), 43.8 (C-38, C-40), 43.0 (C-19), 41.9 (C-14), 40.8 (C-8), 38.5 (C-1), 38.0 (C-4), 37.3 (C-10), 36.5 (C-13), 36.1 (C-22), 34.5 (C-7), 32.4 (C-16), 29.9 (C-15), 28.1 (C-23), 27.0 (C-12), 24.4 (C-21), 23.8 (C-2), 21.5 (C-33), 21.4 (C-31), 21.2 (C-11), 19.9 (C-29), 18.3 (C-6), 16.7 (C-24), 16.3 (C-25), 16.2 (C-26), 14.4 (C-27) ppm; MS (ESI, MeOH/CHCl3): m/z 614 (100%, [M+H]+), 636.1 (60%, [M+Na]+), 1227.4 (60%, [2M+H]+); analysis calcd for C37H60N2O5 (612.90): C 72.51, H 9.87, N 4.57; found: C 72.30, H 10.03; N 4.29.
4.2.44. (3β, 20R)-Bis(acetyloxy)-28-(hexahydro-1H-1,4-diazepin1-yl)-30-norlupan-28-one (41)
According to the GPB from 39 (1.0 g, 1.8 mmol), followed by chromatography (SiO2, CHCl3/MeOH, 9:1), 41 (813 mg, 72%) was obtained as a colorless solid; Rf = 0.57 (SiO2, CHCl3/MeOH, 9:1); m.p. = 158–162 °C; = −27.5° (c 0.094, CHCl3); IR (ATR): ν = 2940m, 1732s, 1624m, 1455w, 1370m, 1243vs, 1189w, 1134w, 1024m, 979w, 607w cm−1; 1H NMR (500 MHz, CDCl3): δ = 5.05–4.99 (m, 1H, 20-H), 4.46 (dd, J = 10.8, 5.5 Hz, 1H, 3-H), 3.78–3.57 (m, 10H, 34-H, 35-H, 36-H, 37-H, 38-H), 2.96–2.83 (m, 1H, 13-H), 2.28–2.20 (m, 1H, 19-H), 2.15–2.08 (m, 1H, 16-Ha), 2.03 (s, 3H, 31-H), 2.02 (s, 3H, 33-H), 1.93–1.73 (m, 2H, 22-Ha, 21-Ha), 1.67 (d, J = 13.2 Hz, 1H, 1-Ha), 1.64–1.40 (m, 7H, 2-H, 12-Ha, 21-Hb, 11-Ha, 6-H, 16-Hb), 1.41–1.17 (m, 8H, 7-H, 15-Ha, 11-Hb, 18-H, 22-Hb, 12-Hb, 9-H), 1.15 (d, J = 6.4 Hz, 3H, 29-H), 1.11–1.08 (m, 1H, 15-Hb), 0.97–0.92 (m, 1H, 1-Hb), 0.91 (s, 3H, 25-H), 0.85 (s, 3H, 27-H), 0.83 (s, 3H, 26-H), 0.82 (s, 3H, 24-H), 0.81 (s, 3H, 23-H), 0.79–0.74 (m, 1H, 5-H) ppm; 13C NMR (125 MHz, CDCl3): δ = 174.8 (C-28), 171.1 (C-32), 171.0 (C-30), 81.0 (C-3), 73.0 (C-20), 55.6 (C-5), 55.4 (C-17), 51.9 (C-9), 50.5 (C-18), 46.9 (C-34, C-35, C-36, C-37, C-38), 43.0 (C-19), 42.0 (C-8), 40.8 (C-14), 38.5 (C-1), 38.0 (C-4), 37.3 (C-10), 36.5 (C-13), 36.3 (C-22), 34.5 (C-7), 32.1 (C-16), 30.0 (C-15), 28.1 (C-23), 26.9 (C-12), 24.5 (C-21), 23.8 (C-2), 21.5 (C-33), 21.4 (C-31), 21.2 (C-11), 19.9 (C-29), 18.3 (C-6), 16.6 (C-24), 16.3 (C-25), 16.2 (C-26), 14.4 (C-27) ppm; MS (ESI, MeOH/CHCl3): m/z 627.6 (70%, [M-OAc+H]+), 685 (15%, [M+H]+); analysis calcd for C40H64N2O7 (684.96): C 70.14, H 9.42, N 4.09; found: C 69.88, H 9.64; N 3.81.
4.2.45. 9-[2-[[4-(2β,20-Diacetoxy-30-norlupan-28-oyl)-1-homopiperazinyl]carbonyl]phenyl]-3,6-bis(dipropylamino)-xanthylium Chloride (42)
According to the GPC from 41 (175 mg, 0.28 mmol), followed by chromatography (SiO2, CHCl3/MeOH, 9:1), 42 (202 mg, 64%) was obtained as a purple solid; Rf = 0.48 (SiO2, CHCl3/MeOH, 9:1); m.p. = 217–221 °C; UV-Vis (MeOH): λmax (log ε) = 566 nm (5.01); IR (ATR): 2935br, 1730m, 1625m, 1587vs, 1527w, 1468m, 1412m, 1338s, 1300w, 1231s, 1178s, 1133m, 1100m, 940w, 823w, 750w, 706w, 508w cm−1; 1H NMR (500 MHz, CDCl3) δ = 7.70–7.56 (m, 2H, 42-H, 43-H), 7.47–7.39 (m, 1H, 45-H), 7.36–7.15 (m, 2H, 44-H, 49-H), 7.05–6.65 (m, 2H, 48-H, 51-H), 5.03–4.95 (m, 1H, 20-H), 4.48–4.41 (m, 1H, 3-H), 3.88–3.23 (m, 13H, 34-H, 35-H, 36-H, 37-H, 38-H, 53-H), 2.94–1.79 (m, 1H, 13-H), 2.35–2.14 (m, 2H, 19-H, 16-Ha), 2.01 (s, 3H, 33-H), 1.99 (s, 3H, 31-H), 1.97–1.94 (m, 1H, 22-Ha), 1.91–1.64 (m, 4H, 21-Ha, 15-Ha, 54-H), 1.64–1.49 (m, 5H, 1-Ha, 2-H, 12-Ha, 21-Hb), 1.50–1.30 (m, 7H, 6-H, 11-H, 16-Hb, 7-H), 1.30–1.17 (m, 5H, 15-Hb, 22-Hb, 18-H, 12-Hb, 9-H), 1.18–1.11 (m, 3H, 29-H), 1.05–0.96 (m, 3H, 55-H), 0.95–0.89 (m, 1H, 1-Hb), 0.88–0.72 (m, 16H, 27-H, 26-H, 25-H, 24-H, 23-H, 5-H) ppm; 13C NMR (126 MHz, CDCl3): δ = 174.1 (C-28), 173.7 (C-39), 171.1 (C-30), 171.0 (C-32), 157.7 (C-52), 156.3 (C-50), 156.2 (C-46), 138.2 (C-41), 137.5 (C-40), 132.5 (C-49), 130.3 (C-44), 130.1 (C-43), 129.7 (C-42), 126.8 (C-45), 114.0 (C-47), 113.5 (C-48), 96.5 (C-51), 81.0 (C-3), 73.1 (C-20), 55.5 (C-5), 55.4 (C-17), 53.9 (C-53), 53.9 (C-34, C-35, C-36, C-37, C-38), 52.1 (C-9), 50.4 (C-18), 43.1 (C-19), 42.0 (C-14), 40.8 (C-8), 38.4 (C-1), 37.9 (C-4), 37.2 (C-10), 36.4 (C-13), 36.3 (C-22), 34.5 (C-7), 31.9 (C-16), 29.8 (C-15), 28.0 (C-23), 27.0 (C-12), 24.6 (C-21), 23.8 (C-2), 21.4 (C-31, C-33), 21.2 (C-11), 20.9 (C-54), 19.9 (C-29), 18.3 (C-6), 17.6 (C-24), 16.6 (C-25), 16.3 (C-26), 13.6 (C-27), 11.4 (C-55) ppm; MS (ESI, MeOH): m/z 1108.3 (100%, [M-Cl]+); analysis calcd for C70H99N4O7Cl (1144.72): C 73.49, H 8.72, N 4.90; found: C 73.21, H 8.90; N 4.77.
4.2.46. 9-[2-[[4-(2β,20-Diacetoxy-30-norlupan-28-oyl)-1-piperazinyl]carbonyl]phenyl]-3,6-bis(dibutylamino)-xanthylium Chloride (43)
According to the GPC from 40 (200 mg, 0.28 mmol), followed by chromatography (SiO2, CHCl3/MeOH, 9:1), 43 (240 mg, 60%) was obtained as a purple solid; Rf = 0.52 (SiO2, CHCl3/MeOH, 9:1); m.p. = 204–207 °C; UV-Vis (MeOH): λmax (log ε) = 567 nm (5.02); IR (ATR): ν = 2931br, 1730m, 1633m, 1587vs, 1528w, 1461m, 1411m, 1339s, 1289m, 1248s, 1218s, 1175s, 1132m, 1109m, 1002m, 921w, 822w, 749w, 704w, 509w cm−1; 1H NMR (500 MHz, CDCl3): δ = 7.71–7.61 (m, 2H, 42-H, 43-H), 7.56–7.46 (m, 1H, 44-H), 7.37–7.31 (m, 1H, 41-H), 7.31–7.19 (m, 1H, 45-H), 7.02–6.67 (m, 2H, 47-H, 50-H), 4.99 (d, J = 6.2 Hz, 1H, 20-H), 4.44 (dd, J = 11.0, 5.1 Hz, 1H, 3-H), 3.65–3.21 (m, 10H, 34-H, 35-H, 36-H, 37-H, 52-H), 2.78–2.67 (m, 1H, 13-H), 2.22–2.11 (m, 1H, 19-H), 2.01 (s, 3H, 33-H), 2.00 (s, 3H, 31-H), 1.99–1.98 (m, 1H, 16-Ha), 1.85–1.72 (m, 3H, 22-Ha, 21-Ha, 15-Ha), 1.68–1.62 (m, 3H, 53-H, 1-Ha), 1.61–1.56 (m, 2H, 2-H), 1.56–1.50 (m, 1H, 12-Ha), 1.47–1.36 (m, 6H, 54-H, 6-H, 21-Hb, 16-Hb), 1.36–1.13 (m, 8H, 7-H, 11-H, 22-Hb, 18-H, 9-H, 15-Hb, 12-Hb), 1.09 (d, J = 6.4 Hz, 3H, 29-H), 0.97 (t, J = 7.1 Hz, 3H, 55-H), 0.93–0.89 (m, 1H, 1-Hb), 0.87–0.82 (m, 6H, 27-H, 25-H), 0.82–0.77 (m, 9H, 26-H, 24-H, 23-H), 0.76–0.71 (m, 1H, 5-H) ppm; 13C NMR (126 MHz, CDCl3): δ = 174.4 (C-28), 171.0 (C-32), 171.0 (C-30), 167.8 (C-38), 157.8 (C-49), 156.1 (C-51), 156.0 (C-45), 135.1 (C-40), 132.3 (C-48), 130.7 (C-39), 130.5 (C-42), 130.4 (C-41), 130.3 (C-43), 127.7 (C-44), 114.5 (C-47), 114.0 (C-46), 96.5 (C-50), 81.0 (C-3), 72.8 (C-20), 55.5 (C-5), 55.0 (C-17), 52.1 (C-34, C-35, C-36, C-37, C-52), 51.5 (C-9), 50.3 (C-18), 42.9 (C-19), 41.9 (C-8), 40.7 (C-14), 38.4 (C-1), 37.9 (C-4), 37.2 (C-10), 36.4 (C-13), 36.0 (C-22), 34.4 (C-7), 32.3 (C-16), 29.8 (C-15), 29.8 (C-53), 28.0 (C-23), 26.9 (C-12), 24.3 (C-21), 23.8 (C-2), 21.4 (C-33), 21.4 (C-31), 21.1 (C-11), 20.3 (C-54), 19.8 (C-29), 18.3 (C-6), 16.6 (C-24), 16.3 (C-25), 16.2 (C-26), 14.3 (C-27), 14.0 (C-55) ppm; MS (ESI, MeOH): m/z 1150.4 (100%, [M-Cl]+); analysis calcd for C73H105N4O7Cl (1186.77): C 73.92, H 8.92, N 4.72; found: C 73.66, H 9.15; N 4.56.
4.2.47. 9-[2-[[4-(2β,20-Diacetoxy-30-norlupan-28-oyl)-1-homopiperazinyl]carbonyl]phenyl]-3,6-bis(dibutylamino)-xanthylium Chloride (44)
According to the GPC from 41 (175 mg, 0.28 mmol), followed by chromatography (SiO2, CHCl3/MeOH, 9:1), 44 (209 mg, 62%) was obtained as a purple solid; Rf = 0.55 (SiO2, CHCl3/MeOH, 9:1); m.p. = 198–201 °C; UV-Vis (MeOH): λmax (log ε) = 568 nm (4.99); IR (ATR): ν = 2932br, 1731m, 1626m, 1587vs, 1463m, 1411m, 1338s, 1291m, 1246s, 1218s, 1175s, 1132m, 1109m, 1020w, 921m, 822w, 750w, 704w, 604w, 508w cm−1; 1H NMR (500 MHz, CDCl3): δ = 7.68–7.54 (m, 2H, 42-H, 43-H), 7.49–7.39 (m, 1H, 45-H), 7.38–7.12 (m, 2H, 44-H, 49-H), 6.79–6.63 (m, 2H, 51-H, 48-H), 5.02–4.97 (m, 1H, 20-H), 4.49–4.41 (m, 1H, 3-H), 3.86–3.23 (m, 12H, 52-H, 34-H, 35-H, 36-H, 37-H, 38-H), 2.96–2.83 (m, 1H, 13-H), 2.44–2.20 (m, 1H, 19-H), 2.16–2.08 (m, 1H, 16-Ha), 2.02 (s, 3H, 33-H), 2.00 (s, 3H, 31-H), 1.93–1.84 (m, 1H, 22-Ha), 1.84–1.75 (m, 1H, 21-Ha), 1.74–1.62 (m, 4H, 54-H, 15-Ha, 1-Ha), 1.63–1.43 (m, 4H, 2-H, 21-Hb,12-Ha), 1.48–1.38 (m, 6H, 6-H, 55-H, 11-H), 1.37–1.19 (m, 8H, 16-Hb, 7-H, 15-Hb, 22-Hb, 18-H, 12-Hb, 9-H), 1.18–1.11 (m, 3H, 29-H), 0.98 (t, J = 7.2 Hz, 3H, 56-H), 0.96–0.91 (m, 1H, 1-Hb), 0.89–0.84 (m, 3H, 25-H), 0.84–0.78 (m, 13H, 27-H, 24-H, 26-H, 23-H, 5-H) ppm; 13C NMR (126 MHz, CDCl3): δ = 174.4 (C-28), 171.0 (C-32), 171.0 (C-30), 167.8 (C-39), 157.7 (C-50), 156.1 (C-52), 156.0 (C-46), 135.0 (C-41), 132.3 (C-49), 130.7 (C-40), 130.5 (C-43), 130.4 (C-42), 130.3 (C-44), 127.7 (C-45), 114.5 (C-48), 113.9 (C-47), 96.5 (C-51), 80.9 (C-3), (C-20), 55.5 (C-5), 55.0 (C-17), 53.2 (C-53), 52.0 (C-34, C-35, C-36, C-37, C-38), 51.4 (C-9), 50.3 (C-18), 42.8 (C-19), 41.9 (C-8), 40.7 (C-14), 38.4 (C-1), 37.9 (C-4), 37.2 (C-10), 36.4 (C-13), 36.0 (C-22), 34.4 (C-7), 32.3 (C-16), 30.5 (C-54), 29.7 (C-15), 28.0 (C-23), 26.9 (C-12), 24.3 (C-21), 23.8 (C-2), 21.4 (C-33), 21.4 (C-31), 21.1 (C-11), 20.3 (C-55), 19.8 (C-29), 18.2 (C-6), 16.6 (C-24), 16.2 (C-25), 16.1 (C-26), 14.3 (C-27), 14.0 (C-56) ppm; MS (ESI, MeOH): m/z 1164.1 (100%, [M-Cl]+); analysis calcd for C74H107N4O7Cl (1200.14): C 74.06, H 8.99, N 4.67; found: C 73.86, H 9.14; N 4.51.
Author Contributions
Conceptualization, R.C.; validation, R.C.; investigation: N.V.H., T.C.D., S.H. and R.C.; writing—original draft preparation, R.C. and T.C.D. writing—review and editing, T.C.D., N.V.H., S.H. and R.C. All authors have read and agreed to the published version of the manuscript.
Funding
This research received no external funding.
Institutional Review Board Statement
Not applicable.
Informed Consent Statement
Not applicable.
Data Availability Statement
The data presented in this study are available on request from the corresponding author.
Acknowledgments
We would like to thank Th. Schmidt for the measurement of the ASAP-MS spectra and M. Schneider, for measuring the IR spectra and the optical rotations, as well as performing the micro-analyses. The NMR spectra have been measured by D. Ströhl, Y. Schiller, and S. Ludwig.
Conflicts of Interest
The authors declare no conflicts of interest.
References
- Ahmed, H.M.; Nabavi, S.; Behzad, S. Herbal Drugs and Natural Products in the light of Nanotechnology and Nanomedicine for Developing Drug Formulations. Mini-Rev. Med. Chem. 2021, 21, 302–313. [Google Scholar] [CrossRef] [PubMed]
- Bai, R.; Yao, C.; Zhong, Z.; Ge, J.; Bai, Z.; Ye, X.; Xie, T.; Xie, Y. Discovery of natural anti-inflammatory alkaloids: Potential leads for the drug discovery for the treatment of inflammation. Eur. J. Med. Chem. 2021, 213, 113165. [Google Scholar] [CrossRef] [PubMed]
- Blahova, J.; Martiniakova, M.; Babikova, M.; Kovacova, V.; Mondockova, V.; Omelka, R. Pharmaceutical drugs and natural therapeutic products for the treatment of type 2 diabetes mellitus. Pharmaceuticals 2021, 14, 806. [Google Scholar] [CrossRef] [PubMed]
- Cazzaniga, G.; Mori, M.; Chiarelli, L.R.; Gelain, A.; Meneghetti, F.; Villa, S. Natural products against key Mycobacterium tuberculosis enzymatic targets: Emerging opportunities for drug discovery. Eur. J. Med. Chem. 2021, 224, 113732. [Google Scholar] [CrossRef] [PubMed]
- Ge, J.; Liu, Z.; Zhong, Z.; Wang, L.; Zhuo, X.; Li, J.; Jiang, X.; Ye, X.-Y.; Xie, T.; Bai, R. Natural terpenoids with anti-inflammatory activities: Potential leads for anti-inflammatory drug discovery. Bioorg. Chem. 2022, 124, 105817. [Google Scholar] [CrossRef] [PubMed]
- Huang, B.; Zhang, Y. Teaching an old dog new tricks: Drug discovery by repositioning natural products and their derivatives. Drug Discov. Today 2022, 27, 1936–1944. [Google Scholar] [CrossRef] [PubMed]
- Jayawardene, K.L.T.D.; Palombo, E.A.; Boag, P.R. Natural Products Are a Promising Source for Anthelmintic Drug Discovery. Biomolecules 2021, 11, 1457. [Google Scholar] [CrossRef]
- Lu, W.-Y.; Li, H.-J.; Li, Q.-Y.; Wu, Y.-C. Application of marine natural products in drug research. Bioorg. Med. Chem. 2021, 35, 116058. [Google Scholar] [CrossRef] [PubMed]
- Maitra, U.; Stephen, C.; Ciesla, L.M. Drug discovery from natural products—Old problems and novel solutions for the treatment of neurodegenerative diseases. J. Pharm. Biomed. Anal. 2022, 210, 114553. [Google Scholar] [CrossRef]
- Majhi, S.; Das, D. Chemical derivatization of natural products: Semisynthesis and pharmacological aspects—A decade update. Tetrahedron 2021, 78, 131801. [Google Scholar] [CrossRef]
- Mir, R.H.; Shah, A.J.; Mohi-ud-din, R.; Pottoo, F.H.; Dar, M.A.; Jachak, S.M.; Masoodi, M.H. Natural Anti-inflammatory Compounds as Drug Candidates in Alzheimer’s Disease. Curr. Med. Chem. 2021, 28, 4799–4825. [Google Scholar] [CrossRef] [PubMed]
- Naeem, A.; Hu, P.; Yang, M.; Zhang, J.; Liu, Y.; Zhu, W.; Zheng, Q. Natural Products as Anticancer Agents: Current Status and Future Perspectives. Molecules 2022, 27, 8367. [Google Scholar] [CrossRef]
- Porras, G.; Chassagne, F.; Lyles, J.T.; Marquez, L.; Dettweiler, M.; Salam, A.M.; Samarakoon, T.; Shabih, S.; Farrokhi, D.R.; Quave, C.L. Ethnobotany and the Role of Plant Natural Products in Antibiotic Drug Discovery. Chem. Rev. 2021, 121, 3495–3560. [Google Scholar] [CrossRef] [PubMed]
- Siddiqui, A.J.; Jahan, S.; Singh, R.; Saxena, J.; Ashraf, S.A.; Khan, A.; Choudhary, R.K.; Balakrishnan, S.; Badraoui, R.; Bardakci, F.; et al. Plants in anticancer drug discovery: From molecular mechanism to chemoprevention. BioMed Res. Int. 2022, 2022, 5425485. [Google Scholar] [CrossRef] [PubMed]
- Talib, W.H.; Alsayed, A.R.; Barakat, M.; Abu-Taha, M.I.; Mahmod, A.I. Targeting Drug Chemo-Resistance in Cancer Using Natural Products. Biomedicines 2021, 9, 1353. [Google Scholar] [CrossRef] [PubMed]
- Thomas, E.; Stewart, L.E.; Darley, B.A.; Pham, A.M.; Esteban, I.; Panda, S.S. Plant-Based Natural Products and Extracts: Potential Source to Develop New Antiviral Drug Candidates. Molecules 2021, 26, 6197. [Google Scholar] [CrossRef] [PubMed]
- Yang, L.; Wang, Z. Natural products, alone or in combination with FDA-approved drugs, to treat COVID-19 and lung cancer. Biomedicines 2021, 9, 689. [Google Scholar] [CrossRef] [PubMed]
- Yao, C.-L.; Zhang, J.-Q.; Li, J.-Y.; Wei, W.-L.; Wu, S.-F.; Guo, D.-A. Traditional Chinese medicine (TCM) as a source of new anticancer drugs. Nat. Prod. Rep. 2021, 38, 1618–1633. [Google Scholar] [CrossRef] [PubMed]
- Young, R.J.; Flitsch, S.L.; Grigalunas, M.; Leeson, P.D.; Quinn, R.J.; Turner, N.J.; Waldmann, H. The Time and Place for Nature in Drug Discovery. JACS Au 2022, 2, 2400–2416. [Google Scholar] [CrossRef]
- Pisha, E.; Chai, H.; Lee, I.-S.; Chagwedera, T.E.; Farnsworth, N.R.; Cordell, G.A.; Beecher, C.W.W.; Fong, H.H.S.; Kinghorn, A.D. Discovery of betulinic acid as a selective inhibitor of human melanoma that functions by induction of apoptosis. Nat. Med. 1995, 1, 1046–1051. [Google Scholar] [CrossRef]
- Heise, N.; Becker, S.; Mueller, T.; Bache, M.; Csuk, R.; Guettler, A. Mitochondria-Targeting 1,5-Diazacyclooctane-Spacered Triterpene Rhodamine Conjugates Exhibit Cytotoxicity at Sub-Nanomolar Concentration against Breast Cancer Cells. Int. J. Mol. Sci. 2023, 24, 10695. [Google Scholar] [CrossRef]
- Heise, N.; Hoenke, S.; Simon, V.; Deigner, H.-P.; Al-Harrasi, A.; Csuk, R. Type and position of linkage govern the cytotoxicity of oleanolic acid rhodamine B hybrids. Steroids 2021, 172, 108876. [Google Scholar] [CrossRef] [PubMed]
- Heise, N.V.; Denner, T.C.; Becker, S.; Hoenke, S.; Csuk, R. Developing an Amide-Spacered Triterpenoid Rhodamine Hybrid of Nano-Molar Cytotoxicity Combined with Excellent Tumor Cell/Non-Tumor Cell Selectivity. Molecules 2023, 28, 6404. [Google Scholar] [CrossRef] [PubMed]
- Heise, N.V.; Major, D.; Hoenke, S.; Kozubek, M.; Serbian, I.; Csuk, R. Rhodamine 101 Conjugates of Triterpenoic Amides Are of Comparable Cytotoxicity as Their Rhodamine B Analogs. Molecules 2022, 27, 2220. [Google Scholar] [CrossRef] [PubMed]
- Hoenke, S.; Serbian, I.; Deigner, H.-P.; Csuk, R. Mitocanic Di- and triterpenoid rhodamine B conjugates. Molecules 2020, 25, 5443. [Google Scholar] [CrossRef]
- Kahnt, M.; Wiemann, J.; Fischer, L.; Sommerwerk, S.; Csuk, R. Transformation of asiatic acid into a mitocanic, bimodal-acting rhodamine B conjugate of nanomolar cytotoxicity. Eur. J. Med. Chem. 2018, 159, 143–148. [Google Scholar] [CrossRef] [PubMed]
- Li, M.; Yuan, L.; Chen, Y.; Ma, W.; Ran, F.; Zhang, L.; Zhou, D.; Xiao, S. Rhodamine B-based fluorescent probes for molecular mechanism study of the anti-influenza activity of pentacyclic triterpenes. Eur. J. Med. Chem. 2020, 205, 112664. [Google Scholar] [CrossRef]
- Sommerwerk, S.; Heller, L.; Kerzig, C.; Kramell, A.E.; Csuk, R. Rhodamine B conjugates of triterpenoic acids are cytotoxic mitocans even at nanomolar concentrations. Eur. J. Med. Chem. 2017, 127, 1–9. [Google Scholar] [CrossRef] [PubMed]
- Wolfram, R.K.; Fischer, L.; Kluge, R.; Stroehl, D.; Al-Harrasi, A.; Csuk, R. Homopiperazine-rhodamine B adducts of triterpenoic acids are strong mitocans. Eur. J. Med. Chem. 2018, 155, 869–879. [Google Scholar] [CrossRef] [PubMed]
- Wolfram, R.K.; Heller, L.; Csuk, R. Targeting mitochondria: Esters of rhodamine B with triterpenoids are mitocanic triggers of apoptosis. Eur. J. Med. Chem. 2018, 152, 21–30. [Google Scholar] [CrossRef]
- Heise, N.V.; Heisig, J.; Hoehlich, L.; Hoenke, S.; Csuk, R. Synthesis and cytotoxicity of diastereomeric benzylamides derived from maslinic acid, augustic acid and bredemolic acid. Results Chem. 2023, 5, 100805. [Google Scholar] [CrossRef]
- Kahnt, M.; Loesche, A.; Serbian, I.; Hoenke, S.; Fischer, L.; Al-Harrasi, A.; Csuk, R. The cytotoxicity of oleanane derived aminocarboxamides depends on their aminoalkyl substituents. Steroids 2019, 149, 108422. [Google Scholar] [CrossRef] [PubMed]
- Kozubek, M.; Denner, T.C.; Eckert, M.; Hoenke, S.; Csuk, R. On the influence of the rhodamine substituents onto the cytotoxicity of mitocanic maslinic acid rhodamine conjugates. Results Chem. 2023, 5, 100708. [Google Scholar] [CrossRef]
- Petrenko, M.; Guettler, A.; Pflueger, E.; Serbian, I.; Kahnt, M.; Eiselt, Y.; Kessler, J.; Funtan, A.; Paschke, R.; Csuk, R.; et al. MSBA-S—A pentacyclic sulfamate as a new option for radiotherapy of human breast cancer cells. Eur. J. Med. Chem. 2021, 224, 113721. [Google Scholar] [CrossRef] [PubMed]
- Sommerwerk, S.; Heller, L.; Kuhfs, J.; Csuk, R. Selective killing of cancer cells with triterpenoic acid amides—The substantial role of an aromatic moiety alignment. Eur. J. Med. Chem. 2016, 122, 452–464. [Google Scholar] [CrossRef]
- Sommerwerk, S.; Heller, L.; Kuhfs, J.; Csuk, R. Urea derivates of ursolic, oleanolic and maslinic acid induce apoptosis and are selective cytotoxic for several human tumor cell lines. Eur. J. Med. Chem. 2016, 119, 1–16. [Google Scholar] [CrossRef] [PubMed]
- Choudhary, N.; Singh, N.; Singh, A.P.; Singh, A.P. Medicinal uses of maslinic acid: A review. J. Drug Deliv. Ther. 2021, 11, 237–240. [Google Scholar] [CrossRef]
- Deng, J.; Wang, H.; Mu, X.; He, X.; Zhao, F.; Meng, Q. Advances in Research on the Preparation and Biological Activity of Maslinic Acid. Mini-Rev. Med. Chem. 2021, 21, 79–89. [Google Scholar] [CrossRef] [PubMed]
- Jing, Z.; Rui, W.; Li, R.; Hao, Y.; Fang, H. Review of the Biological Activity of Maslinic Acid. Curr. Drug Targets 2021, 22, 1496–1506. [Google Scholar] [CrossRef]
- Lin, X.; Ozbey, U.; Sabitaliyevich, U.Y.; Attar, R.; Ozcelik, B.; Zhang, Y.; Guo, M.; Liu, M.; Alhewairini, S.S.; Farooqi, A.A. Maslinic acid as an effective anticancer agent. Cell. Mol. Biol. 2018, 64, 87–91. [Google Scholar] [CrossRef]
- Lozano-Mena, G.; Sanchez-Gonzalez, M.; Juan, M.E.; Planas, J.M. Maslinic acid, a natural phytoalexin-type triterpene from olives—A promising nutraceutical? Molecules 2014, 19, 11538. [Google Scholar] [CrossRef] [PubMed]
- Nistor, G.; Trandafirescu, C.; Prodea, A.; Milan, A.; Cristea, A.; Ghiulai, R.; Racoviceanu, R.; Mioc, A.; Mioc, M.; Ivan, V.; et al. Semisynthetic Derivatives of Pentacyclic Triterpenes Bearing Heterocyclic Moieties with Therapeutic Potential. Molecules 2022, 27, 6552. [Google Scholar] [CrossRef] [PubMed]
- Ooi, K.X.; Poo, C.L.; Subramaniam, M.; Cordell, G.A.; Lim, Y.M. Maslinic acid exerts anticancer effects by targeting cancer hallmarks. Phytomedicine 2023, 110, 154631. [Google Scholar] [CrossRef] [PubMed]
- Qian, X.-P.; Zhang, X.-H.; Sun, L.-N.; Xing, W.-F.; Wang, Y.; Sun, S.-Y.; Ma, M.-Y.; Cheng, Z.-P.; Wu, Z.-D.; Xing, C.; et al. Corosolic acid and its structural analogs: A systematic review of their biological activities and underlying mechanism of action. Phytomedicine 2021, 91, 153696. [Google Scholar] [CrossRef] [PubMed]
- Sharma, H.; Kumar, P.; Deshmukh, R.R.; Bishayee, A.; Kumar, S. Pentacyclic triterpenes: New tools to fight metabolic syndrome. Phytomedicine 2018, 50, 166–177. [Google Scholar] [CrossRef] [PubMed]
- Yan, R.; Liu, L.; Huang, X.; Quan, Z.-S.; Shen, Q.-K.; Guo, H.-Y. Bioactivities and Structure-Activity Relationships of Maslinic acid Derivatives: A Review. Chem. Biodivers. 2024, 21, e202301327. [Google Scholar] [CrossRef] [PubMed]
- Yu, L.; Xie, X.; Cao, X.; Chen, J.; Chen, G.; Chen, Y.; Li, G.; Qin, J.; Peng, F.; Peng, C. The Anticancer Potential of Maslinic Acid and Its Derivatives: A Review. Drug Des. Devel. Ther. 2021, 15, 3863–3879. [Google Scholar] [CrossRef]
- Chan, E.W.C.; Wong, S.K. Corosolic acid: A synopsis on its anticancer properties. Asian J. Pharm. Clin. Res. 2018, 11, 32–36. [Google Scholar] [CrossRef]
- Park, C.; Lee, J.-S. Review on corosolic acid:based on various pharmaceutical effects. Asian J. Pharm. Res. Dev. 2019, 7, 104–107. [Google Scholar] [CrossRef]
- Sivakumar, G.; Vail, D.R.; Nair, V.; Medina-Bolivar, F.; Lay, J.O., Jr. Plant-based corosolic acid: Future anti-diabetic drug? Biotechnol. J. 2009, 4, 1704–1711. [Google Scholar] [CrossRef]
- Stohs, S.J.; Miller, H.; Kaats, G.R. A Review of the Efficacy and Safety of Banaba (Lagerstroemia speciosa L.) and Corosolic Acid. Phytother. Res. 2012, 26, 317–324. [Google Scholar] [CrossRef] [PubMed]
- Heise, N.; Lehmann, F.; Csuk, R.; Mueller, T. Targeted theranostics: Near-infrared triterpenoic acid-rhodamine conjugates as prerequisites for precise cancer diagnosis and therapy. Eur. J. Med. Chem. 2023, 259, 115663. [Google Scholar] [CrossRef] [PubMed]
- Ruzicka, L.; Rey, E.; Triterpenes, L.X. Oxidations of the alcohol groups of betulin. Helv. Chim. Acta 1941, 24, 529–536. [Google Scholar] [CrossRef]
- Fukuda, Y.; Sakai, K.; Matsunaga, S.; Tokuda, H.; Tanaka, R. Cancer chemopreventive effect of orally administrated lupane-type triterpenoid on ultraviolet light B induced photocarcinogenesis of hairless mouse. Cancer Lett. 2006, 240, 94–101. [Google Scholar] [CrossRef] [PubMed]
- Hoenke, S.; Heise, N.V.; Kahnt, M.; Deigner, H.-P.; Csuk, R. Betulinic acid derived amides are highly cytotoxic, apoptotic and selective. Eur. J. Med. Chem. 2020, 207, 112815. [Google Scholar] [CrossRef] [PubMed]
- Kahnt, M.; Heller, L.; Al-Harrasi, A.; Schaefer, R.; Kluge, R.; Wagner, C.; Otgonbayar, C.; Csuk, R. Platanic acid-derived methyl 20-amino-30-norlupan-28-oates are potent cytotoxic agents acting by apoptosis. Med. Chem. Res. 2018, 27, 1757–1769. [Google Scholar] [CrossRef]
- Urban, M.; Sarek, J.; Tislerova, I.; Dzubak, P.; Hajduch, M. Influence of esterification and modification of A-ring in a group of lupane acids on their cytotoxicity. Bioorg. Med. Chem. 2005, 13, 5527–5535. [Google Scholar] [CrossRef]
Disclaimer/Publisher’s Note: The statements, opinions and data contained in all publications are solely those of the individual author(s) and contributor(s) and not of MDPI and/or the editor(s). MDPI and/or the editor(s) disclaim responsibility for any injury to people or property resulting from any ideas, methods, instructions or products referred to in the content. |
© 2024 by the authors. Licensee MDPI, Basel, Switzerland. This article is an open access article distributed under the terms and conditions of the Creative Commons Attribution (CC BY) license (https://creativecommons.org/licenses/by/4.0/).








