Mesoporous Drug Delivery System: From Physical Properties of Drug in Solid State to Controlled Release
Abstract
1. Introduction
2. Nano-Confinement Effect of Mesoporous Materials on the Molecular Dynamics of Amorphous Drug and Crystallization
2.1. Nano-Confinement Effect on Molecular Dynamics
2.2. Crystallization under Nano-Confinement
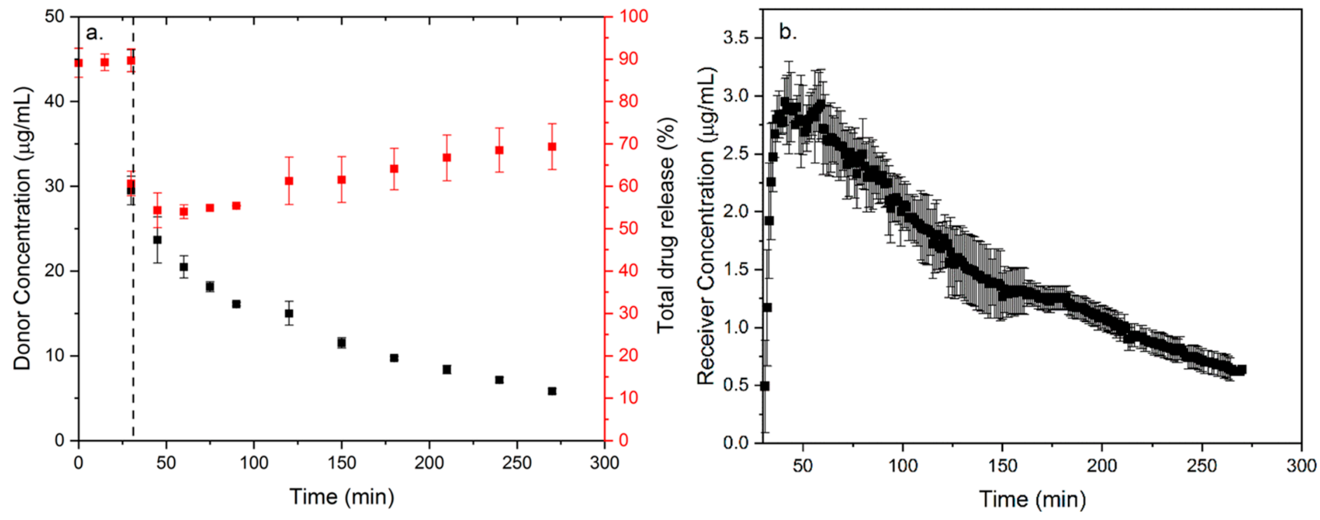
3. In Vitro and In Vivo Performance of Mesoporous Drug Delivery Systems
4. Modification and Design of Mesoporous Systems and Its Implication for Drug Release Control
5. Conclusions and Future Outlook
Author Contributions
Funding
Acknowledgments
Conflicts of Interest
References
- Kalepu, S.; Nekkanti, V. Insoluble drug delivery strategies: Review of recent advances and business prospects. Acta Pharm. Sin. B 2015, 5, 442–453. [Google Scholar] [CrossRef] [PubMed]
- Maleki, A.; Kettiger, H.; Schoubben, A.; Rosenholm, J.M.; Ambrogi, V.; Hamidi, M. Mesoporous silica materials: From physico-chemical properties to enhanced dissolution of poorly water-soluble drugs. J. Control. Release 2017, 262, 329–347. [Google Scholar] [CrossRef] [PubMed]
- Qian, K.K.; Bogner, R.H. Application of mesoporous silicon dioxide and silicate in oral amorphous drug delivery systems. J. Pharm. Sci. 2012, 101, 444–463. [Google Scholar] [CrossRef]
- Shi, Q.; Li, F.; Yeh, S.; Moinuddin, S.M.; Xin, J.; Xu, J.; Chen, H.; Ling, B. Recent advances in enhancement of dissolution and supersaturation of poorly water-soluble drug in amorphous pharmaceutical solids: A review. AAPS PharmSciTech 2021, 23, 16. [Google Scholar] [CrossRef] [PubMed]
- McCarthy, C.A.; Ahern, R.J.; Dontireddy, R.; Ryan, K.B.; Crean, A.M. Mesoporous silica formulation strategies for drug dissolution enhancement: A review. Expert Opin. Drug Deliv. 2016, 13, 93–108. [Google Scholar] [CrossRef]
- Riikonen, J.; Xu, W.; Lehto, V.P. Mesoporous systems for poorly soluble drugs—Recent trends. Int. J. Pharm. 2018, 536, 178–186. [Google Scholar] [CrossRef]
- Muller, R.H.; Hespeler, D.; Jin, N.; Pyo, S.M. smartPearls—Novel physically stable amorphous delivery system for poorly soluble dermal actives. Int. J. Pharm. 2019, 555, 314–321. [Google Scholar] [CrossRef]
- Croissant, J.G.; Fatieiev, Y.; Almalik, A.; Khashab, N.M. Mesoporous silica and organosilica nanoparticles: Physical chemistry, biosafety, delivery strategies, and biomedical applications. Adv. Healthc. Mater. 2018, 7, 1700831. [Google Scholar] [CrossRef]
- Baumgartner, A.; Planinsek, O. Application of commercially available mesoporous silica for drug dissolution enhancement in oral drug delivery. Eur. J. Pharm. Sci. 2021, 167, 106015. [Google Scholar] [CrossRef]
- Zhang, C.; Sha, Y.; Zhang, Y.; Cai, T.; Li, L.; Zhou, D.; Wang, X.; Xue, G. Nanostructures and dynamics of isochorically confined amorphous drug mediated by cooling rate, interfacial, and intermolecular interactions. J. Phys. Chem. B 2017, 121, 10704–10716. [Google Scholar] [CrossRef]
- Nartowski, K.P.; Malhotra, D.; Hawarden, L.E.; Fabian, L.; Khimyak, Y.Z. Nanocrystallization of rare tolbutamide form V in mesoporous MCM-41 silica. Mol. Pharm. 2018, 15, 4926–4932. [Google Scholar] [CrossRef] [PubMed]
- Hamilton, B.D.; Ha, J.-M.; Hillmyer, M.A.; Ward, M.D. Manipulating crystal growth and polymorphism by confinement in nanoscale crystallization chambers. Acc. Chem. Res. 2012, 45, 414–423. [Google Scholar] [CrossRef] [PubMed]
- Jiang, Q.; Ward, M.D. Crystallization under nanoscale confinement. Chem. Soc. Rev. 2014, 43, 2066–2079. [Google Scholar] [CrossRef] [PubMed]
- Shi, Q.; Li, F.; Yeh, S.; Wang, Y.; Xin, J. Physical stability of amorphous pharmaceutical solids: Nucleation, crystal growth, phase separation and effects of the polymers. Int. J. Pharm. 2020, 590, 119925. [Google Scholar] [CrossRef] [PubMed]
- Shi, Q.; Moinuddin, S.M.; Cai, T. Advances in coamorphous drug delivery systems. Acta Pharm. Sin. B 2019, 9, 19–35. [Google Scholar] [CrossRef]
- Sun, Y.; Zhu, L.; Wu, T.; Cai, T.; Gunn, E.M.; Yu, L. Stability of amorphous pharmaceutical solids: Crystal growth mechanisms and effect of polymer additives. AAPS J. 2012, 14, 380–388. [Google Scholar] [CrossRef] [PubMed]
- Yu, L. Amorphous pharmaceutical solids: Preparation, characterization and stabilization. Adv. Drug Deliv. Rev. 2001, 48, 27–42. [Google Scholar] [CrossRef]
- Shi, Q.; Chen, H.; Wang, Y.; Xu, J.; Liu, Z.; Zhang, C. Recent advances in drug polymorphs: Aspects of pharmaceutical properties and selective crystallization. Int. J. Pharm. 2021, 611, 121320. [Google Scholar] [CrossRef]
- Shi, Q.; Moinuddin, S.M.; Wang, Y.; Ahsan, F.; Li, F. Physical stability and dissolution behaviors of amorphous pharmaceutical solids: Role of surface and interface effects. Int. J. Pharm. 2022, 625, 122098. [Google Scholar] [CrossRef]
- Kramarczyk, D.; Knapik-Kowalczuk, J.; Smolka, W.; Monteiro, M.F.; Tajber, L.; Paluch, M. Inhibition of celecoxib crystallization by mesoporous silica—Molecular dynamics studies leading to the discovery of the stabilization origin. Eur. J. Pharm. Sci. 2022, 171, 106132. [Google Scholar] [CrossRef]
- Knapik, J.; Wojnarowska, Z.; Grzybowska, K.; Jurkiewicz, K.; Stankiewicz, A.; Paluch, M. Stabilization of the amorphous ezetimibe drug by confining its dimension. Mol. Pharm. 2016, 13, 1308–1316. [Google Scholar] [CrossRef] [PubMed]
- Knapik-Kowalczuk, J.; Kramarczyk, D.; Chmiel, K.; Romanova, J.; Kawakami, K.; Paluch, M. Importance of mesoporous silica particle size in the stabilization of amorphous pharmaceuticals-the case of simvastatin. Pharmaceutics 2020, 12, 384. [Google Scholar] [CrossRef] [PubMed]
- Baan, A.; Adriaensens, P.; Lammens, J.; Delgado Hernandez, R.; Vanden Berghe, W.; Pieters, L.; Vervaet, C.; Kiekens, F. Dry amorphisation of mangiferin, a poorly water-soluble compound, using mesoporous silica. Eur. J. Pharm. Biopharm. 2019, 141, 172–179. [Google Scholar] [CrossRef] [PubMed]
- Cordeiro, T.; Castineira, C.; Mendes, D.; Danede, F.; Sotomayor, J.; Fonseca, I.M.; Gomes da Silva, M.; Paiva, A.; Barreiros, S.; Cardoso, M.M.; et al. Stabilizing unstable amorphous menthol through inclusion in mesoporous silica hosts. Mol. Pharm. 2017, 14, 3164–3177. [Google Scholar] [CrossRef]
- Vranikova, B.; Niederquell, A.; Sklubalova, Z.; Kuentz, M. Relevance of the theoretical critical pore radius in mesoporous silica for fast crystallizing drugs. Int. J. Pharm. 2020, 591, 120019. [Google Scholar] [CrossRef]
- Cao, Y.; Zhang, K.; Wang, M.; Gao, Z.; Wang, J.; Gong, J. Influence of adsorption state and molecular interaction on physical stability of confined amorphous vortioxetine. Mol. Pharm. 2021, 18, 2754–2763. [Google Scholar] [CrossRef]
- Cheng, S.; McKenna, G.B. Nanoconfinement effects on the glass transition and crystallization behaviors of nifedipine. Mol. Pharm. 2019, 16, 856–866. [Google Scholar] [CrossRef]
- Fellah, N.; Tahsin, L.; Zhang, C.J.; Kahr, B.; Ward, M.D.; Shtukenberg, A.G. Efficient polymorph screening through crystallization from bulk and confined melts. Cryst. Growth Des. 2022, 22, 7527–7543. [Google Scholar] [CrossRef]
- Juramy, M.; Chevre, R.; Cerreia Vioglio, P.; Ziarelli, F.; Besson, E.; Gastaldi, S.; Viel, S.; Thureau, P.; Harris, K.D.M.; Mollica, G. Monitoring crystallization processes in confined porous materials by dynamic nuclear polarization solid-state nuclear magnetic resonance. J. Am. Chem. Soc. 2021, 143, 6095–6103. [Google Scholar] [CrossRef]
- Nartowski, K.P.; Tedder, J.; Braun, D.E.; Fabian, L.; Khimyak, Y.Z. Building solids inside nano-space: From confined amorphous through confined solvate to confined ‘metastable’ polymorph. Phys. Chem. Chem. Phys. 2015, 17, 24761–24773. [Google Scholar] [CrossRef]
- Nartowski, K.P.; Malhotra, D.; Hawarden, L.E.; Sibik, J.; Iuga, D.; Zeitler, J.A.; Fabian, L.; Khimyak, Y.Z. 19F NMR spectroscopy as a highly sensitive method for the direct monitoring of confined crystallization within nanoporous materials. Angew. Chem. Int. Ed. 2016, 55, 8904–8908. [Google Scholar] [CrossRef] [PubMed]
- Zhang, K.; Fellah, N.; López-Mejías, V.; Ward, M.D. Polymorphic phase transformation pathways under nanoconfinement: Flufenamic acid. Cryst. Growth Des. 2020, 20, 7098–7103. [Google Scholar] [CrossRef]
- Yao, C.; Zhang, S.; Wang, L.; Tao, X. Recent advances in polymorph discovery methods of organic crystals. Cryst. Growth Des. 2023, 23, 637–654. [Google Scholar] [CrossRef]
- Beiner, M.; Rengarajan, G.T.; Pankaj, S.; Enke, D.; Steinhart, M. Manipulating the crystalline state of pharmaceuticals by nanoconfinement. Nano Lett. 2007, 7, 1381–1385. [Google Scholar] [CrossRef] [PubMed]
- Hamilton, B.D.; Hillmyer, M.A.; Ward, M.D. Glycine polymorphism in nanoscale crystallization chambers. Cryst. Growth Des. 2008, 8, 3368–3375. [Google Scholar] [CrossRef]
- Cao, Y.; Zhang, K.; Gao, Z.; Wang, J.; Rohani, S.; Gong, J. Preparation, stabilization, and dissolution enhancement of vortioxetine hydrobromide metastable polymorphs in silica nanopores. Cryst. Growth Des. 2021, 22, 191–199. [Google Scholar] [CrossRef]
- Salas-Zuniga, R.; Mondragon-Vasquez, K.; Alcala-Alcala, S.; Lima, E.; Hopfl, H.; Herrera-Ruiz, D.; Morales-Rojas, H. Nanoconfinement of a pharmaceutical cocrystal with praziquantel in mesoporous silica: The influence of the solid form on dissolution enhancement. Mol. Pharm. 2022, 19, 414–431. [Google Scholar] [CrossRef]
- Ibrahim, A.H.; Smatt, J.H.; Govardhanam, N.P.; Ibrahim, H.M.; Ismael, H.R.; Afouna, M.I.; Samy, A.M.; Rosenholm, J.M. Formulation and optimization of drug-loaded mesoporous silica nanoparticle-based tablets to improve the dissolution rate of the poorly water-soluble drug silymarin. Eur. J. Pharm. Sci. 2020, 142, 105103. [Google Scholar] [CrossRef]
- Lizonova, D.; Muzik, J.; Soltys, M.; Beranek, J.; Kazarian, S.G.; Stepanek, F. Molecular-level insight into hot-melt loading and drug release from mesoporous silica carriers. Eur. J. Pharm. Biopharm. 2018, 130, 327–335. [Google Scholar] [CrossRef]
- Zhang, Z.; Quan, G.; Wu, Q.; Zhou, C.; Li, F.; Bai, X.; Li, G.; Pan, X.; Wu, C. Loading amorphous Asarone in mesoporous silica SBA-15 through supercritical carbon dioxide technology to enhance dissolution and bioavailability. Eur. J. Pharm. Biopharm. 2015, 92, 28–31. [Google Scholar] [CrossRef]
- McCarthy, C.A.; Ahern, R.J.; Devine, K.J.; Crean, A.M. Role of drug adsorption onto the silica surface in drug release from mesoporous silica systems. Mol. Pharm. 2018, 15, 141–149. [Google Scholar] [CrossRef] [PubMed]
- Wise, A.J.; Sefy, J.S.; Barbu, E.; O’Malley, A.J.; van der Merwe, S.M.; Cox, P.A. Zero-order and prolonged release of atenolol from microporous FAU and BEA zeolites, and mesoporous MCM-41: Experimental and theoretical investigations. J. Control. Release 2020, 327, 140–149. [Google Scholar] [CrossRef] [PubMed]
- Garcia-Bennett, A.E.; Lau, M.; Bedford, N. Probing the amorphous state of pharmaceutical compounds within mesoporous material using pair distribution function analysis. J. Pharm. Sci. 2018, 107, 2216–2224. [Google Scholar] [CrossRef] [PubMed]
- Zhao, P.; Wang, L.; Sun, C.; Jiang, T.; Zhang, J.; Zhang, Q.; Sun, J.; Deng, Y.; Wang, S. Uniform mesoporous carbon as a carrier for poorly water soluble drug and its cytotoxicity study. Eur. J. Pharm. Biopharm. 2012, 80, 535–543. [Google Scholar] [CrossRef]
- Hate, S.S.; Reutzel-Edens, S.M.; Taylor, L.S. Interplay of adsorption, supersaturation and the presence of an absorptive sink on drug release from mesoporous silica-based formulations. Pharm. Res. 2020, 37, 163. [Google Scholar] [CrossRef]
- Hate, S.S.; Reutzel-Edens, S.M.; Taylor, L.S. Influence of drug-silica electrostatic interactions on drug release from mesoporous silica-based oral delivery systems. Mol. Pharm. 2020, 17, 3435–3446. [Google Scholar] [CrossRef]
- Zhang, P.; Zardan Gomez de la Torre, T.; Welch, K.; Bergstrom, C.; Stromme, M. Supersaturation of poorly soluble drugs induced by mesoporous magnesium carbonate. Eur. J. Pharm. Sci. 2016, 93, 468–474. [Google Scholar] [CrossRef]
- Dening, T.J.; Taylor, L.S. Supersaturation potential of ordered mesoporous silica delivery systems. Part 1: Dissolution performance and drug membrane transport rates. Mol. Pharm. 2018, 15, 3489–3501. [Google Scholar] [CrossRef]
- McCarthy, C.A.; Zemlyanov, D.Y.; Crean, A.M.; Taylor, L.S. Comparison of drug release and adsorption under supersaturating conditions for ordered mesoporous silica with indomethacin or indomethacin methyl ester. Mol. Pharm. 2020, 17, 3062–3074. [Google Scholar] [CrossRef]
- Van Speybroeck, M.; Mols, R.; Mellaerts, R.; Thi, T.D.; Martens, J.A.; Van Humbeeck, J.; Annaert, P.; Van den Mooter, G.; Augustijns, P. Combined use of ordered mesoporous silica and precipitation inhibitors for improved oral absorption of the poorly soluble weak base itraconazole. Eur. J. Pharm. Biopharm. 2010, 75, 354–365. [Google Scholar] [CrossRef]
- Le, T.T.; Elzhry Elyafi, A.K.; Mohammed, A.R.; Al-Khattawi, A. Delivery of poorly soluble drugs via mesoporous silica: Impact of drug overloading on release and thermal profiles. Pharmaceutics 2019, 11, 269. [Google Scholar] [CrossRef] [PubMed]
- Price, D.J.; Nair, A.; Becker-Baldus, J.; Glaubitz, C.; Kuentz, M.; Dressman, J.; Saal, C. Incorporation of HPMCAS during loading of glibenclamide onto mesoporous silica improves dissolution and inhibits precipitation. Eur. J. Pharm. Sci. 2020, 141, 105113. [Google Scholar] [CrossRef] [PubMed]
- Munir, M.U.; Ikraam, M.; Nadeem, M.; Khalid, S.H.; Asghar, S.; Khalid, I.; Irfan, M.; Islam, N.; Ajaz, N.; Khan, I.U. Fabrication, in vitro and in vivo evaluation of non-ordered mesoporous silica-based ternary solid dispersions for enhanced solubility of flurbiprofen. Pharmaceuticals 2022, 15, 856. [Google Scholar] [CrossRef]
- Hanada, M.; Jermain, S.V.; Thompson, S.A.; Furuta, H.; Fukuda, M.; Williams, R.O., 3rd. Ternary amorphous solid dispersions containing a high-viscosity polymer and mesoporous silica enhance dissolution performance. Mol. Pharm. 2021, 18, 198–213. [Google Scholar] [CrossRef] [PubMed]
- Solomon, S.; Iqbal, J.; Albadarin, A.B. Insights into the ameliorating ability of mesoporous silica in modulating drug release in ternary amorphous solid dispersion prepared by hot melt extrusion. Eur. J. Pharm. Biopharm. 2021, 165, 244–258. [Google Scholar] [CrossRef]
- Xi, Z.; Zhang, W.; Fei, Y.; Cui, M.; Xie, L.; Chen, L.; Xu, L. Evaluation of the solid dispersion system engineered from mesoporous silica and polymers for the poorly water soluble drug indomethacin: In vitro and in vivo. Pharmaceutics 2020, 12, 144. [Google Scholar] [CrossRef]
- Mitran, R.A.; Matei, C.; Berger, D.; Bajenaru, L.; Moisescu, M.G. Controlling drug release from mesoporous silica through an amorphous, nanoconfined 1-tetradecanol layer. Eur. J. Pharm. Biopharm. 2018, 127, 318–325. [Google Scholar] [CrossRef]
- Budiman, A.; Higashi, K.; Ueda, K.; Moribe, K. Effect of drug-coformer interactions on drug dissolution from a coamorphous in mesoporous silica. Int. J. Pharm. 2021, 600, 120492. [Google Scholar] [CrossRef]
- McCarthy, C.A.; Faisal, W.; O’Shea, J.P.; Murphy, C.; Ahern, R.J.; Ryan, K.B.; Griffin, B.T.; Crean, A.M. In vitro dissolution models for the prediction of in vivo performance of an oral mesoporous silica formulation. J. Control. Release 2017, 250, 86–95. [Google Scholar] [CrossRef]
- Huang, X.; Li, L.; Liu, T.; Hao, N.; Liu, H.; Chen, D.; Tang, F. The shape effect of mesoporous silica nanoparticles on biodistribution, clearance, and biocompatibility in vivo. ACS Nano 2011, 7, 5390–5399. [Google Scholar] [CrossRef]
- Ramírez, M.A.; Martínez-Villacorta, A.; Gómez-Vallejo, B.; Andreozzi, P.; Soler-Illia, G.; Llop, G.; Moya, S.E. Core vs. surface labelling of mesoporous silica nanoparticles: Advancing the understanding of nanoparticle fate and design of labelling strategies. Nanoscale Adv. 2022, 4, 2098–2106. [Google Scholar] [CrossRef] [PubMed]
- Miller, L.; Winter, G.; Baur, B.; Witulla, B.; Solbach, C.; Reske, S.; Linden, M. Synthesis, characterization, and biodistribution of multiple 89Zr-labeled pore-expanded mesoporous silica nanoparticles for PET. Nanoscale 2014, 6, 4928–4935. [Google Scholar] [CrossRef] [PubMed]
- Bimbo, L.M.; Sarparanta, M.; Santos, H.A.; Airaksinen, A.J.; Makila, E.; Laaksonen, T.; Peltonen, L.; Lehto, V.; Hirvonen, J.; Salonen, J. Biocompatibility of thermally hydrocarbonized porous silicon nanoparticles and their biodistribution in rats. ACS Nano 2010, 6, 3023–3032. [Google Scholar] [CrossRef] [PubMed]
- Zivojevic, K.; Mladenovic, M.; Djisalov, M.; Mundzic, M.; Ruiz-Hernandez, E.; Gadjanski, I.; Knezevic, N.Z. Advanced mesoporous silica nanocarriers in cancer theranostics and gene editing applications. J. Control. Release 2021, 337, 193–211. [Google Scholar] [CrossRef] [PubMed]
- Gao, S.; Liu, Y.; Liu, M.; Yang, D.; Zhang, M.; Shi, K. Biodegradable mesoporous nanocomposites with dual-targeting function for enhanced anti-tumor therapy. J. Control. Release 2022, 341, 383–398. [Google Scholar] [CrossRef] [PubMed]
- Wang, L.; Guan, H.; Wang, Z.; Xing, Y.; Zhang, J.; Cai, K. Hybrid mesoporous-microporous nanocarriers for overcoming multidrug resistance by sequential drug delivery. Mol. Pharm. 2018, 15, 2503–2512. [Google Scholar] [CrossRef] [PubMed]
- Wang, K.; Lu, J.; Li, J.; Gao, Y.; Mao, Y.; Zhao, Q.; Wang, S. Current trends in smart mesoporous silica-based nanovehicles for photoactivated cancer therapy. J. Control. Release 2021, 339, 445–472. [Google Scholar] [CrossRef]
- Kumar, P.; Tambe, P.; Paknikar, K.M.; Gajbhiye, V. Mesoporous silica nanoparticles as cutting-edge theranostics: Advancement from merely a carrier to tailor-made smart delivery platform. J. Control. Release 2018, 287, 35–57. [Google Scholar] [CrossRef]
- Hanafi-Bojd, M.Y.; Jaafari, M.R.; Ramezanian, N.; Xue, M.; Amin, M.; Shahtahmassebi, N.; Malaekeh-Nikouei, B. Surface functionalized mesoporous silica nanoparticles as an effective carrier for epirubicin delivery to cancer cells. Eur. J. Pharm. Biopharm. 2015, 89, 248–258. [Google Scholar] [CrossRef]
- Ahmadi, F.; Sodagar-Taleghani, A.; Ebrahimnejad, P.; Pouya Hadipour Moghaddam, S.; Ebrahimnejad, F.; Asare-Addo, K.; Nokhodchi, A. A review on the latest developments of mesoporous silica nanoparticles as a promising platform for diagnosis and treatment of cancer. Int. J. Pharm. 2022, 625, 122099. [Google Scholar] [CrossRef]
- Meka, A.K.; Jenkins, L.J.; Davalos-Salas, M.; Pujara, N.; Wong, K.Y.; Kumeria, T.; Mariadason, J.M.; Popat, A. Enhanced solubility, permeability and anticancer activity of vorinostat using tailored mesoporous silica nanoparticles. Pharmaceutics 2018, 10, 283. [Google Scholar] [CrossRef] [PubMed]
- Lee, S.; Kwon, J.A.; Park, K.H.; Jin, C.M.; Joo, J.B.; Choi, I. Controlled drug release with surface-capped mesoporous silica nanoparticles and its label-free in situ Raman monitoring. Eur. J. Pharm. Biopharm. 2018, 131, 232–239. [Google Scholar] [CrossRef] [PubMed]
- Goscianska, J.; Olejnik, A.; Nowak, I.; Marciniak, M.; Pietrzak, R. Ordered mesoporous silica modified with lanthanum for ibuprofen loading and release behaviour. Eur. J. Pharm. Biopharm. 2015, 94, 550–558. [Google Scholar] [CrossRef] [PubMed]
- Zhang, Y.; Wang, H.; Li, C.; Sun, B.; Wang, Y.; Wang, S.; Gao, C. A novel three-dimensional large-pore mesoporous carbon matrix as a potential nanovehicle for the fast release of the poorly water-soluble drug, celecoxib. Pharm. Res. 2014, 31, 1059–1070. [Google Scholar] [CrossRef] [PubMed]
- Han, C.; Zhang, S.; Huang, H.; Dong, Y.; Sui, X.; Jian, B.; Zhu, W. In vitro and in vivo evaluation of core-shell mesoporous silica as a promising water-insoluble drug delivery system: Improving the dissolution rate and bioavailability of celecoxib with needle-like crystallinity. J. Pharm. Sci. 2019, 108, 3225–3232. [Google Scholar] [CrossRef]








| API | Mesoporous Materials | Reference |
|---|---|---|
| Indomethacin Griseofulvin | anodic aluminum oxide (AAO) | [10] |
| Tolbutamide | MCM-41 | [11] |
| Celecoxib | Syloid 244 FP (SYL244FP) | [20] |
| Ezetimibe | Aeroperl 300 Neusilin US2 | [21] |
| Simvastatin | Syloid XDP 3050 Syloid 244 FP | [22] |
| Mangiferin | Syloid® XDP 3050 | [23] |
| Menthol | MCM-41 SBA-15 | [24] |
| Haloperidol Carbamazepine Benzamide | Parteck SLC 500 Neusilin US2 Syloid® XDP 3050 Aeroperl 300 | [25] |
| Vortioxetine | MCM-41 SBA-15 mesostructured cellular foam (MCF) | [26] |
| Flufenamic acid | controlled pore glass (CPG) | [32] |
| Nifedipine | controlled pore glass (CPG) | [27] |
| Oxalyl dihydrazide Nicotinamide Isonicotinamide Coumarin Paracetamol Acridine Theophylline Carbamazepine Dantron Sulfapyridine Imidacloprid ROY Tolfenamic acid Tolbutamide Chlorpropamide Flufenamic acid Galunisertib Aripiprazole Sulfathiazole Sulfameter | controlled pore glass (CPG) | [28] |
| [1-13C] glycine | SBA-15 with wall-embedded TEMPO radicals | [29] |
| Indomethacin | mesoscopic cellular foam (MCF) controlled pore glass (CPG) | [30] |
| Flufenamic acid | MCM-41 SBA-15 mesoscopic cellular foam (MCF) | [31] |
| Acetaminophen | controlled pore glass (CPG) | [34] |
| Glycine | controlled pore glass(CPG) porous polystyrene-poly(dimethyl acrylamide) (p-PS-PDMA) monoliths | [35] |
| Vortioxetine Hydrobromide | MCM-41 Porous silica particles | [36] |
| Praziquantel Praziquantel-glutaric acid cocrystal | SBA-15 | [37] |
| Silymarin | mesoporous silica nanospheres with a 3D dendritic pore structure | [38] |
| Ibuprofen | mesoporous silica particles | [39] |
| Asarone | SBA-15 | [40] |
| Sulphamethazine | SBA-15 Aerosil®200 (non-porous) | [41] |
| Atenolol | MCM-41 microporous zeolites FAU and BEA | [42] |
| Albendazole Hydrocortisone Indomethacin | MCM-41 MCM-48 SBA-15 | [43] |
| Lovastatin | uniform mesoporous carbon spheres (UMCS) with 3D pore system fibrous ordered mesoporous carbon (FOMC) with two-dimensional hexagonal mesoporous structure | [44] |
| Atazanavir | SBA-15 | [45] |
| Ketoconazole Clozapine Atazanavir | SBA-15 | [46] |
| Celecoxib Cinnarizine Griseofulvin | mesoporous magnesium carbonate (MMC) | [47] |
| Ritonavir Lopinavir | SBA-15 | [48] |
| Indomethacin and Indomethacin methyl ester | SBA-15 | [49] |
| Itraconazole | SBA-15 | [50] |
| Felodipine Furosemide | Syloid XDP 3050 | [51] |
| Glibenclamide | mesoporous silica | [52] |
| Flurbiprofen | Syloid 244 FP Syloid AL1 FP | [53] |
| Itraconazole | Syloid XDP 3050 | [54] |
| Felodipine | Syloid 244 FP Syloid AL1 FP Syloid XDP 3050 | [55] |
| Indomethacin | mesoporous silica nanoparticles | [56] |
| Metoprolol | MCM-41 | [57] |
| Ritonavir -saccharin coamorphous system | Taiyo’s mesoporous silica (TMPS) | [58] |
| Vorinostat | MCM-41 ordered mesoporous silica nanoparticles | [71] |
| Ibuprofen | Cubic mesoporous silica KIT-6 SBA-15 | [73] |
| Celecoxib | Three-dimensional large-pore mesoporous carbon matrix | [74] |
| Celecoxib | Core-shell mesoporous silica | [75] |
Disclaimer/Publisher’s Note: The statements, opinions and data contained in all publications are solely those of the individual author(s) and contributor(s) and not of MDPI and/or the editor(s). MDPI and/or the editor(s) disclaim responsibility for any injury to people or property resulting from any ideas, methods, instructions or products referred to in the content. |
© 2023 by the authors. Licensee MDPI, Basel, Switzerland. This article is an open access article distributed under the terms and conditions of the Creative Commons Attribution (CC BY) license (https://creativecommons.org/licenses/by/4.0/).
Share and Cite
Wang, Y.; Li, F.; Xin, J.; Xu, J.; Yu, G.; Shi, Q. Mesoporous Drug Delivery System: From Physical Properties of Drug in Solid State to Controlled Release. Molecules 2023, 28, 3406. https://doi.org/10.3390/molecules28083406
Wang Y, Li F, Xin J, Xu J, Yu G, Shi Q. Mesoporous Drug Delivery System: From Physical Properties of Drug in Solid State to Controlled Release. Molecules. 2023; 28(8):3406. https://doi.org/10.3390/molecules28083406
Chicago/Turabian StyleWang, Yanan, Fang Li, Junbo Xin, Jia Xu, Guanghua Yu, and Qin Shi. 2023. "Mesoporous Drug Delivery System: From Physical Properties of Drug in Solid State to Controlled Release" Molecules 28, no. 8: 3406. https://doi.org/10.3390/molecules28083406
APA StyleWang, Y., Li, F., Xin, J., Xu, J., Yu, G., & Shi, Q. (2023). Mesoporous Drug Delivery System: From Physical Properties of Drug in Solid State to Controlled Release. Molecules, 28(8), 3406. https://doi.org/10.3390/molecules28083406

