Abstract
New fluorescent dyes containing an assembled 1,4-dihydroazolo[5,1-c][1,2,4]triazine (DAT) core and an isoxazole ring were synthesized through a reaction between diazopyrazole or diazoimidazoles and isoxazolyl-derived enamines in mild conditions. The photophysical characteristics (maxima absorption and emission, Stokes shifts, fluorescent quantum yields, and fluorescence lifetimes) of the new fluorophores were obtained. The prepared DATs demonstrated emission maxima ranging within 433–487 nm, quantum yields within 6.1–33.3%, and a large Stokes shift. The photophysical characteristics of representative DAT examples were studied in ten different solvents. Specific (hydrogen bonds) and non-specific (dipole–dipole) intermolecular and intramolecular interactions were analyzed using XRD data and spectral experiments. Solvatochromism was analyzed using Lippert–Mataga and Dimroth–Reichardt plots, revealing the relationship between the DAT structure and the nature of solute–solvent interactions. The significant advantages of DATs are the fluorescence of their powders (QY up to 98.7%). DAT-NMe2 10 expressed bright aggregation-induced emission (AIE) behavior in DMSO and THF as the water content increased. The numerous possible variations of the structures of the heterocycles included in the DATs, as well as substituents, create excellent prospects for adjusting their photophysical and physicochemical properties.
1. Introduction
1,2,4-Triazines are a large and promising group of nitrogen-containing heterocyclic compounds. Considerable attention has been paid to the synthesis and study of the properties of monocyclic and fused 1,2,4-triazines as induced by a broad range of bioactivities. 1,2,4-Triazine-based compounds and their fused congeners have anticancer, antimicrobial, antifungal, anti-inflammatory, antimalarial, and antiviral properties [1,2,3,4]. Since 1,2,4-triazines fused with five-membered heterocycles are considered bio-isosteres with a purine core, these derivatives are the focus of drug design [5,6,7,8,9,10,11]. However, 1,2,4-triazines possessing specific photophysical properties have seldom been used in optoelectrical research. Only a few 1,2,4-triazine derivatives have been employed as building blocks for organic photoactive materials, particularly organic light-emitting diodes [12,13,14,15,16,17,18]. However, their closed nitrogen congeners (such as triazoles, pyrimidines, and s-triazines) are an inexhaustible source of numerous photoactive substances for various applications in optoelectronics and luminescent materials [19,20,21,22,23].
1.1. Previous Works
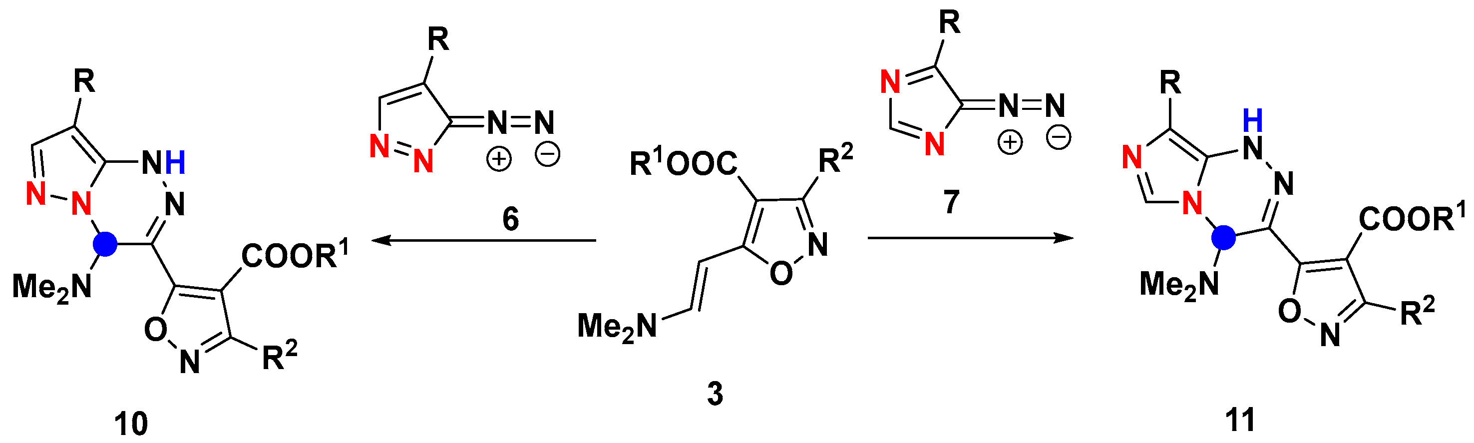
The reaction of azole diazonium salts 1 [24] with heterocyclic enamines 2 and 3 leads to azolo[5,1-c][1,2,4]triazines 4 and 5 [25] (Scheme 1). Analogous azolotriazines were synthesized previously by using enamines, obtained from various secondary linear N,N-dialkylamines, and cyclic amines—pyrrolidine, piperidine, morpholine [26,27,28,29,30,31,32,33,34,35]. We have found that diazoazoles 6 and 7 [36,37] react with enamines 2 to produce the DATs 8 and 9 [38] (Scheme 1). Thus, this reaction is managed by the diazo reagent structure and could be a source of both aromatic azolo[5,1-c][1,2,4]triazines 4 and 5 and non-aromatic DATs 8 and 9. Moreover, this finding points to a new approach to DATs, previously considered only as intermediates in the pathway to aromatic analogs.
Scheme 1.
Strategies for aromatic azolo[5,1-c][1,2,4]triazines 4, 5 and non-aromatic DATs 8, 9 via the reactions of azole diazonium salts 1 or diazoazoles 6 and 7 with heterocyclic enamines.
To describe the mechanism of heterocyclic backbone formation, several alternatives have been considered. Many comprehensive experimental and theoretical studies have revealed suitable pathways [26,27,28,29,30,31,32,33,34,35]. However, neither experimental results [30,32] nor quantum chemical calculations [26] have given a clear answer to the question of the reaction mechanism and the role of the diazo reagent.
We detected the reaction intermediate using 1H NMR experiments before isolating and characterizing it. This finding introduced some certainty into the question of the reaction mechanism in favor of 1,3-dipolar cycloaddition [38]. This highly efficient process is characterized by mild conditions, high yields, availability, the variability of starting reagents, and the easy isolation of the products. The listed advantages are very important, since DAT 9 is fluorescent and can be considered as a new candidate in the set of fluorosensors due to the sensitivity of its photophysical characteristics to protic or polar solvents.
1.2. This Work
The aim of this work was to expand the scope of the reaction between diazoazoles and enamines by synthesizing new DATs 10 and 11 (Scheme 2), bearing an isoxazole heterocycle at position C3 instead of a thiadiazole ring. This study was carried out to synthesize and investigate their photophysical properties (Scheme 2).
Scheme 2.
Design of new DATs–NMe2 10 and 11 isoxazole at C4 atom of heterocyclic core.
The choice of isoxazole was not accidental. Isoxazole rings are very popular in medicinal chemistry [39,40,41,42,43] and it is a structural part of many photoactive compounds [44,45]. The isoxazole electronic structure differs from 1,2,3-thiadiazole, exhibiting more electron saturation at the aromatic cycle. This enables it to change the optical characteristics and sensitivity of DATs depending on the microenvironment [45,46].
2. Results and Discussion
2.1. Chemistry
The reaction of 5-diazoazoles 6 and 7a,b and isoxazol-5-yl enamines 3a–d led to the formation of non-aromatic DAT–NMe2 10 and 11a–d in moderate to good yields (Scheme 3) [38]. The process was carried out in dry aprotic solvents at room temperature for 12–24 h. The starting enamines 3a–d [47] and diazoazoles 6 and 7a,b [36] were obtained by procedures described previously.
Scheme 3.
Synthesis of DATs–NMe2 10 and 11a–d.
The isolated compounds 10 and 11a–d were characterized by 1H, 13C (BB) and HMBC NMR spectra, and by HRESMS and XRD (Supplementary Materials). The 1H NMR spectra of DATs–NMe2 10 and 11a–d contain the signals of all proton-containing groups (Figures S1–S5). The most important signal of the 1H NMR spectra of DATs–NMe2 10 and 11a–d is the C4H triazine ring proton signal, which was recorded at 6.26–6.48 ppm and shifted upfield at 3–4 ppm compared to triazines 4 and 5. The 13C NMR spectra of derivatives 10 and 11a–d contain a signal of C4 at 67.7–70.1 ppm, in agreement with their sp3 hybrid state. The NH proton displayed a broad singlet at 9.77–9.78 ppm (for DATs–NMe2 11a,c,d in CDCl3) and 11.98 and 12.10 ppm (for DATs–NMe2 10 and 11b in DMSO-d6), which disappeared when CD3COOD was added.
To refine the molecular structure, DAT–NMe2 11b was studied via single-crystal X-ray diffraction analysis. Single crystals of DAT–NMe2 11b were grown from their diluted solutions in acetone via the slow evaporation of the solvent. The molecular structures of the compound are shown in Figure 1 and Figure S1. Compound 11b crystallizes into the centrosymmetric triclinic space group P-1. The asymmetric unit contains two independent molecules, the structure of which is unequal both in bond length and angle values due to the rotation around the C8–C12 bond, the linked bicyclic core, and the isoxazole ring (Figure 1a). Selected bond lengths and torsion angles are presented in Table S1. The structures in Figure 1 distinctly demonstrate different deviations of the isoxazole ring in different molecules from the bicyclic core, as well as deviations of the phenyl ring plane from the isoxazole ring. The bond lengths are slightly different in the two neighboring molecules; however, their values are lower than the standard ones, indicating that there is a conjugation within the molecule structure. Using a Mercury software package, several short intramolecular contacts were found in the crystal of compound 11b (Figure 1b). The hydrogen bond involving the atom O4 and N6H hydrogen (l = 2.489 Å, RVdW = 2.6 Å) and the two noncovalent bonds formed by atoms O2–N7 (l = 2.909 Å, RVdW = 2.9 Å) and N3–O5 (l = 2.808 Å, RVdW = 2.9 Å) enhance the rigidity of the molecule skeleton (Figure 1b). A packing structure is formed by the set of parallel layers (Figure 1d,e). The neighboring molecules in the layer form five bonds that connect them together firmly (Figure 1c). The strongest specific bond is the NH–O hydrogen bond, with a length of 1.905 Å. Table S1 shows that the bicyclic core and isoxazole ring in molecule A of the DAT–NMe2 11b structure are planar, while the phenyl ring deviates at 27.7(5)°. The other molecule demonstrates deviations between the isoxazole and imidazotriazine plains at 57.0°, while the phenyl ring rejects the isoxazole at 154.5(5)°.
Figure 1.
The molecular structure of DAT–NMe2 11b according to X-ray diffraction data: (a) unit of DAT–NMe2 11b including two molecules; (b) front view with intramolecular hydrogen bonding (dotted lines) (RN4H–O3 = 2.302 Å; RN5H–O1 = 2.968 Å); (c) location of neighbored molecules and intermolecular noncovalent bonds (RVdW(O–H) = 2.5 Å, RVdW(N–H) = 2.6 Å, RVdW(N–O) = 3.35 Å, RVdW(N–O) = 3.25 Å); (d) arrangement of molecules in two parallel sheets; (e) partial packing diagram along the crystallographic axis a. Hydrogen atoms omitted for clarity.
The distance between layers in the packing was 3.334–3.395 Å (Figure 1d). NMe2 and alkoxycarbonyl groups, as well as phenyl rings, push the layers apart, preventing the formation of stronger contacts. Therefore, the planes of the cyclic fragments can only achieve the partial perturbation of orbitals in parallel layers, preventing strong π⋯π stacking. These spatial peculiarities lead to the formation of a specific 3D structure (Figure 1e and Figure S1).
It was found that the stirring of the DAT–NMe2 10, 11a–c in MeOH or in a wet solvent induces the replacement of the NMe2 group with the MeO or OH group, respectively, and the formation of DATs–OH 12 and 13a and DATs–OMe 14a,b with a good yield (Scheme 4). The reaction proceeds better in the presence of acetic acid or when being heated.
Scheme 4.
Synthesis of DATs–OH 12, 13a and DATs–OMe 14a,b.
The ‘one-pot’ cycloaddition of 5-diazoimidazole 7b to enamine 3d in wet 1,4-dioxane and further hydrolysis allows us to obtain DAT–OH 13b in a 48% yield (Scheme 5). Thus, this technique can be used for the straightforward synthesis of 4-OH and 4-OMe derivatives of DATs.
Scheme 5.
One-pot synthesis of DAT–OH 13b.
The prepared DATs–OH 12, 13a,b and DATs–OMe 14a,b were characterized by 1H, 13C NMR (including HSQC and HMBC for DAT 13b) (Figures S6–S10), HRESMS, and XRD data. The main sets of signals observed in the 1H and 13C spectra are similar to the spectra for DAT–NMe2 10 and 11. The exception is the appearance of the MeO group’s singlet at 3.14–3.22 ppm for compounds 14a,b and a doublet of OH (at 6.75–6.96 ppm) and C4H (at 7.71 and 7.80 ppm) with 4J = 7.8–8.5 Hz instead of a NMe2 proton singlet. Mass spectra (HRESMS) analysis showed the correct ion peaks [M+H]+ suggested by the molecular formulas.
The structure of DAT–OH 13b was confirmed by the XRD data from a single crystal growing in ethanol (Figure 2). The structure completely agrees with the physical and spectral data. The unit includes one molecule with four intramolecular noncovalent bonds (Figure 2). This makes the compound structure flatter than molecule 11b and shows a more ordered structure in the package (Figure 2b). This molecular architecture is supported by the many intermolecular hydrogen bonds between the two neighboring molecules in the layers (Figure 2c), taking a zigzag shape (Figure 2d).
Figure 2.
The molecular structure of DAT–OH 13b according to X-ray diffraction data level: (a) front view with intramolecular bonds; (b) arrangement of molecules in two parallel sheets; (c) layer of neighboring molecules with intermolecular noncovalent bonds (RVdW(O–H) = 2.5 Å, RVdW(N–H) = 2.6 Å, RVdW(N–O) = 3.35 Å, RVdW(N–O) = 3.25 Å); (d) partial packing diagram along the crystallographic axes a (d). Hydrogen atoms omitted for clarity.
The attempts to aromatize DATs–NMe2 10, 11a to azolo[5,1-c][1,2,4]triazines, as occurred in the reaction of azole diazonium salts with the enamines [25], by the addition of glacial AcOH, as well as catalytic amounts of H2SO4 or equimolar amounts of HBF4, failed. As a result, hydrolysis to the corresponding non-aromatic of DAT–OH 12, 13a proceeded (Scheme 6).
Scheme 6.
Transformation of DATs–NMe2 10 and 11a in the presence of acids and on heating.
2.2. Photophysical Properties of DATs
2.2.1. Spectroscopic Properties in a Chloroform Solution
The structures of the synthesized compound do not have an extended π-conjugated framework because the two heteroaromatic cycles (imidazole or pyrazole) are divided by a non-aromatic dihydro-1,2,4-triazine cycle and linked via a σ bond with another heteroaromatic (isoxazole). The lateral substituents are both electron-withdrawing (COOR) and electron-donating groups (NMe2, OMe, OH at C4 atom of the dihydrotriazine ring and the Me group in isoxazole). The XRD data revealed the complicated character of the 3D structure, where the isoxazole rings of some molecules of DAT–NMe2 11b can form a conjugation with the bicyclic core (Figure 1). However, other molecules are strongly repelled by this ring from the central core’s plane and therefore have slight conjugation within the molecule. The abundance of heteroatoms in the cyclic fragments and lateral substitutions with mobile electrons, and the presence of NH and OH groups, can provide DATs with specific photophysical properties, such as sensitivity to the microenvironment and the ability to induce differences in the investigated set of compounds.
DATs are soluble in organic solvents. Only hydroxy derivative 13a shows limited solubility in non-polar solvents, while DAT–OH 13b is insoluble in toluene, in contrast to its NMe2 or OMe congeners. DAT solutions are colorless; however, they exhibit blue or blue-green fluorescence upon UV irradiation. The absorption spectra of DATs–NMe2 10 and 11a–c,e, DATs–OH 12, 13a,b, and DATs–OMe 14a,b show the same absorption spectra profile, with one band in the 321–384 nm range (Table 1 and Figure 3a). Emission maxima of DATs–NMe2 are in the range of 433 to 488 nm (Table 1 and Figure 3b). DAT–NMe2 10 with pyrazole in the bicyclic core displays significant hypsochromic shifts in the absorption and emission maxima (1205–3899 cm−1 and 1863–2603 cm−1, respectively) (Figure S3).
Figure 3.
(a) Absorption and (b) emission spectra of DATs 10, 11a–c, 12a,b, 13a,b solutions in CHCl3 (c = 5 × 10−5 M for adsorption and c = 5 × 10−6 M for emission).
The DAT quantum yields (QYs) vary from 3.4 to 33.3%. DAT–NMe2 10 shows the lowest QY in a chloroform solution, while DAT–OH 13b is not fluorescent at all (Figure S3). It is worth emphasizing the significant Stokes shift of DATs 11a–d and 13 (Table 1), demonstrating the large differences between the ground (GS) and excited (ES) states in the electronic structure and revealing a partial intramolecular charge transfer (ICT) upon vertical excitation. The phenyl ring at the C5 isoxazole does not increase the ICT, since the maxima absorption and emission are closed to the analogous structure, bearing a Me substituent. This means that the rotation of this structure fragment prevents it from participating in the molecule’s conjugation channel. These conclusions are in agreement with the XRD data analysis (vide supra).
It should be mentioned that the DATs 10–14 displayed significant hypsochromic shifts in the absorption and emission maxima in comparison with the maxima of similar derivatives 9 (Scheme 1), bearing a thiadiazole moiety at the C4 atom of the azolotriazine core [38]. However, the DATs 9 molar absorption coefficients are 1.4 fold and QYs 2.0–3.8 fold lower than DATs’ 10–14 absorption and emission intensity characteristics. Thus, this position of the fluorophore molecule is effective for the tuning of its electronic state and photophysical properties [48].
Table 1.
Photophysical characteristics of DATs 10, 11a–c,e, 13a,b, and 14a,b in CHCl3 (c = 5 × 10−5 M for adsorption and c = 5 × 10−6 M for emission).
Table 1.
Photophysical characteristics of DATs 10, 11a–c,e, 13a,b, and 14a,b in CHCl3 (c = 5 × 10−5 M for adsorption and c = 5 × 10−6 M for emission).
| Entry | Compd. | λmax, nm | ε, M−1·cm−1 | λem, nm | QY a, % | Stokes Shift, nm/cm−1 |
|---|---|---|---|---|---|---|
| 1 | 10 | 334 | 15,200 | 433 | 6.1 | 99/6845 |
| 2 | 11a | 352 | 18,500 | 471 | 19.0 | 119/7178 |
| 3 | 11b | 350 | 20,400 | 475 | 12.3 | 125/7519 |
| 4 | 11c | 348 | 15,500 | 473 | 16.8 | 125/7594 |
| 5 | 13a | 357 | 13,200 | 488 | 29 | 131/7519 |
| 6 | 13b | 384 | 13,700 | – | – | – |
| 7 | 14a | 355 | 20,100 | 473 | 33.3 | 118/7027 |
| 8 | 14b | 352 | 17,700 | 477 | 31.3 | 125/7445 |
a—Relative quantum yield [49], determined relative to the standard (quinine sulfate solution c = 5 × 10−5 M in 0.1 M H2SO4, ΦF = 54.0%).
The fluorescence lifetimes of the DATs were measured in chloroform at room temperature using the time-correlated single photon counting technique (Table 2). All decay (Figure S4) can be fitted well with the double exponential decay function, exhibiting the coexistence of two fluorescent species in the solvent. DAT–OH 13a demonstrated the longest fluorescence lifetime, followed by DAT–OMe 14b and DAT–NMe2 11c. DAT–NMe2 10 had the shortest fluorescence lifetime and the highest velocity of non-radiative energy dissipation.
Table 2.
The fluorescence lifetime (<τ>f) and radiative (kr) and non-radiative (knr) decay rate constants of DATs 10a, 11a–c, 13a, and 14a,b solutions in CHCl3.
2.2.2. The Solvatochromic Behaviour of DATs
The UV–Vis absorption and fluorescence spectra of DATs 10 and 11 in 10 solvents are shown in Figure 4 and Table S4. The obtained results demonstrate the solvent’s effect on the optical properties of the investigated compounds. The absorption maxima change within a small range (5–7 nm), while the molar extinction coefficient diminishes significantly, passing from toluene to the DMSO. The most unexpected result is the difference in the photophysical properties of DAT–NMe2 10 and DAT–NMe2 11c, 13a, and 14b. DAT–NMe2 10 exhibited emissions only in protic solvents (EtOH, MeOH, ethylene glycol (EG)) and chloroform. This clearly indicates that solvents capable of forming specific interactions with the dye can promote fluorescence. Moreover, the greater the redshift of the emission maximum, the stronger these interactions are. Therefore, the largest shift is observed in the DMSO–water mixture (v/v, 1/9), while the smallest is registered in chloroform. The QY has rather random values, ranging from 6 to 15%. Ethylene glycol’s influence is not only as a protic solvent, but also as a viscous one. Therefore, the QY increased compared to methanol 2.5-fold.
Figure 4.
Absorption (a,d,g,j) and emission (b,e,h,k) spectra of solutions of compounds 10 (a,b), 11c (d,e), 13a (g,h), and 14b (j,k) in various solvents (c,f,i,l); photographs of solutions of compounds 10 (c), 11c (f), 13a (i), and 14b (l) under UV irradiation (λ = 365 nm). Solvents: a—toluene, b—THF, c—EtOH, d—MeOH, e—EG, f—CHCl3, g—EtOAc, h—MeCN, i—DMF, j—DMSO, k—DMSO–H2O (v/v, 1:9) (c = 5 × 10−5 M).
The absorption maxima are weakly dependent on the nature of the solvent, unlike DAT–NMe2 10. DATs 11c, 13a, and 14b obviously exhibit positive solvato(fluoro)chromism and a red shift in the polar solvents. For example, in DMSO, these displacements are 1156, 706, and 1057 cm−1 for DATs 11c, 13a, 14b, respectively, passing from non-polar toluene, or THF for DAT 13a. The best QYs were registered in non-polar toluene for 11c and 14b and THF for compound 13a. In contrast to DAT–NMe2 10, the QYs of the compounds 11c, 13a, and 14b decrease in alcohol in comparison with both polar and non-polar solvents. The Stokes shift is large, ranging within 7295–8783 cm−1 (with the maximum value provided by acetonitrile for DAT–NMe2 11c).
The obtained results demonstrate the significant influence of the nature of the solvent used on the DATs’ fluorescence characteristics. Therefore, the solvatochromic behavior of DATs 11c, 13a, and 14b was analyzed using Lippert–Mataga [49,50,51] (Equation (S1)) and Dimroth–Reichardt (ET(30)), (Equation (S6)) [52,53,54,55] solvent polarity plots (Figure 5). The Lippert–Mataga Equation (S1) is based on the correlation of the energy difference between the ground and excited states (Stokes shift) and the solvent’s orientation polarizability (∆f). This expression of the Stokes shift only takes into account dipole–dipole interaction. The solution’s polarizability and the influence of specific interactions are neglected.
Figure 5.
(a) The Lippert–Mataga plot showing the Stokes shift (SS) against solvent polarizability (Δf); (b) the Dimroth–Reichardt plot showing the Stokes shift (SS) against the ET(30) parameter of DATs 11c, 13a, and 14b.
The correlation coefficients obtained from linear correlations (R2) were estimated using the maximum number of solvents with the aim of finding the best linearity. The values deviating from linearity were subtracted from the plots. As a result, good linearity (R2 = 0.89–0.96) was obtained with the exception of MeCN and EG for DAT–NMe2 11c and THF and DMF for 13a and 14b. The Lippert–Mataga plot shows good linearity, indicating an increase in the solvatochromic shift as the solvent polarity increases (Figure 5a). The positive slope obtained for each of the DATs under consideration exhibits a larger excited-state dipole moment than the ground-state dipole moment [49]. It is suggested that the dielectric interaction of the surrounding solvents is very responsible for the observed spectral shifts of the studied fluorophores. The slope values demonstrate that DAT–NMe2 11c is significantly less dependent on the solvent orientation polarizability (∆f) than DATs 13a and 14b. Therefore, a dipole–dipole interaction between the solute and the solvents for compound 11c is less important than for compounds 14b and 13a.
The advantage of the Dimroth–Reichardt method over the Lippert–Mataga method is the incorporation of both the solvent polarity and hydrogen bonding in the solvent parameter. The Dimroth–Reihardt plot of the Stokes shift for DAT–NMe2 11c via the ET(30) solvent polarity parameter (Figure 5b) displays a better correlation (R2 = 0.93) than that proposed by the Lippert–Mataga equation (excepting MeCN and EG). The Dimroth–Reichardt plots for DATs 13a and 14b showed a slight decrease in the linearity obtained, with the exception of MeCN and EtOAc (R2 = 0.91 and 0.92, respectively). Moreover, the slope of DAT–NMe2 11c is higher than those of DATs 13a and 14b, which were obtained according to the Dimroth–Reichardt correlation. This result confirms the conclusions stated on the basis of the Lippert–Mataga equation. Hydrogen bonding is very important for the solvatochromic behaviour of DAT–NMe2 11c. Compound 11c is more sensitive to the specific interaction with solvents than 13a and 14b.
2.2.3. Spectroscopic Properties in a Solid State
The fluorescence of the DAT powders was measured using an integrating sphere. The absolute QYs of the investigated DATs are in the range of 9.8 to 98.7% (Figure 6 and Table 3): most of them are higher than the QY in CHCl3 (1.2–3.0-fold). The maximum emission wavelengths in the solid state are very close to those obtained in chloroform for DAT 11a, 13a, and 14a: they are redshifted by 1300 cm−1 and 722 cm−1 for DAT–NMe2 11c and DAT–OMe 14b, respectively. Compounds 11c and 14b exhibited the lowest QYs among the compounds demonstrating fluorescence in a solid state. In addition, their structure has the same substituents, a decorated heterocycle ring in the molecular structure: they are differentiated only by NMe2 and OMe groups on the C4 atom.
Figure 6.
Photographs of DATs 11a,c, 13a, and 14a,b in a solid state under (a) daylight and (b) UV radiation with a hand-held UV lamp at an emission wavelength of 365 nm.
Table 3.
Photophysical characteristics of DATs 11a,c, 13a, and 14a,b in a solid state.
2.2.4. Study of DATs’ Aggregation-Induced Emission (AIE) and Aggregation-Induced Enhancement (AIEE)
The behavior of a fluorophore in aquatic environments plays an important role in determining the scope of the application, including such important fields as biology, medicine, and ecology [56,57,58,59,60]. Neutral organic dyes and fluorophores are poorly soluble in water and aqueous media. When using binary mixtures of an organic solvent with water, they are able to form suspensions. This process can cause two opposite photophysical behaviors: aggregation-caused fluorescence quenching (ACQ) or aggregation-induced emission (AIE). The reason behind ACQ is the increased redistribution of energy between the excited and unexcited molecules and the emergence of new channels for the loss of excitation energy during the aggregation. However, some compounds have a specific molecular architecture that prevents this energy loss: this is due to the presence of structural elements that induce the restriction of intramolecular motion (RIM) [56,57,58]. This can include bulky groups, structural peculiarities that decrease intermolecular interaction, the donors and acceptors of hydrogen bonds, and the insertion of molecules of solvents into the molecular packing structure.
Preliminary experiments in a DMSO–H2O mixture (v/v, 1/9) (Table 4) demonstrate the appearance of DAT 10 emissions in a binary DMSO–H2O mixture. DATs–NMe2 11a,c keep the emissions at approximately the same level in DMSO, while DATs 13a and 14a,b show a 4.8–5.0-fold decrease in emission intensity in the DMSO–H2O mixture. The DAT maxima absorption and emissions are slightly redshifted to 320–563 cm−1 and 201–405 cm−1, respectively.
Table 4.
Photophysical characteristics of DATs 10, 11a,c, 13a, and 14a,b solutions in DMSO and DMSO–H2O mixture (v/v, 1/9) (c = 1 × 10−5 M).
To reveal the aggregation-induced emission properties of DATs–NMe2 10 and 11c, the fluorescence intensities at maximum emission were recorded in a mixture of DMSO–H2O and THF–H2O with different water content (Figure 7, Figures S5 and S6 and Tables S5–S8).
Figure 7.
(a,c,e,g) Fluorescence spectra of DATs (a,c) 10 and (e,g) 11c (c = 1 × 10−5 M) in the (a,e) DMSO–H2O and (c,g) THF–H2O mixtures with gradually changing water content. (b,d,f,h) Plot of the emission intensity (QY) of DATs (b,d) 10 and (f,h) 11c versus a water fraction from 0 to 100% in (b,f) a DMSO–H2O and (d,h) a THF–H2O mixture. Inserts: photographs of DATs–NMe2 10 and 11c solutions in DMSO–H2O and THF–H2O mixtures (v/v, 1:9).
Thus, a sample of DAT–NMe2 10 in a mixture of DMSO–H2O and THF–H2O became fluorescent when 20% of water was added. The fluorescence intensity decreases, but even at the ratio of DMSO–H2O and THF–H2O (v/v, 99:1), the QY holds at 6%. DAT–NMe2 11c had the opposite behavior, as the QY in DMSO–H2O showed a sharp increase as the water content increased up to 10%; then, there was a gradual decrease to 6%. In the THF–H2O mixture, the QY of DAT–NMe2 11c exhibited a sharp decrease (2-fold), and then the compounds held the fluorescence intensity at this level up to 50% water content and at the end slowly decreased. This research clearly shows that DAT–NMe2 10 is a new AIE gene, has a strong effect, and can be used in aquatic environments.
3. Materials and Methods
3.1. Chemistry
1H and 13C NMR spectra were recorded on a Bruker Avance II 400 (400 and 100 MHz, respectively) spectrometer or a Bruker Avance NEO 600 (600 and 150 MHz, respectively) spectrometer, equipped with the broadband gradient Prodigy Cryoprobe and using DMSO-d6 or CDCl3 as the solvent and TMS as an internal standard. 1H NMR data are reported as the chemical shift in parts per million, multiplicity (s, singlet; br. s, broadened singlet; d, doublet; t, triplet; q, quartet; m, multiplet), coupling constant in hertz, and number of protons. The concerted application of 1H–13C 2D heteronuclear experiments HSQC and HMBC was used for distinguishing carbon and proton resonances. Mass spectra were recorded with a Shimadzu GCMS-QP 2010 “Ultra” (Kyoto, Japan) mass spectrometer using the electron impact (EI) ionization technique (40–200 °C, 70 eV). Spectra of exact mass were acquired on a quadrupole orthogonal acceleration time-of-flight mass spectrometer (Synapt G2 HDMS, Waters, Milford, MA, USA). Samples were infused at 3 uL/min and spectra were obtained in positive (or negative) ionization mode with a resolution of 15,000 (FWHM), using leucine enkephalin as a lock mass. The abbreviation [M]+ refers to the molecular ion. Elemental analysis was performed on a PerkinElmer 2400 II CHNS-analyzer. All melting points were determined with a Stuart SMP3 apparatus.
Commercial reagents were obtained from Sigma-Aldrich, Acros Organics, or Alfa Aesar and used without any preprocessing. All workup and purification procedures were carried out using analytical-grade solvents.
The starting diazopyrazole 6 [61], diazoimidazoles 7a,b [62,63], and enamines 3a–d [47] were obtained as previously described.
Ethyl (N,N-dimethylamino)-3-[4-(methoxycarbonyl)-3-phenyl-1,2-oxazol-5-yl]-1,4-dihydropyrazolo[5,1-c][1,2,4]triazine-8-carboxylate (10): A mixture of diazopyrazole 6 (166 mg, 1.0 mmol), enamine 3a (272 mg, 1.0 mmol), and dry acetonitrile (5 mL) was stirred at room temperature for 12 h. The solvent was evaporated in vacuum, and the residue was purified by column chromatography on silica gel (eluent—DCM/acetone = 5:1). Yield 346 mg (79%), white solid, mp 158–160 °C. 1H NMR (400 MHz, DMSO-d6) δ 12.10 (1H, br. s, NH), 7.93 (1H, s, H), 7.65 (2H, dd, J = 7.4 Hz, J = 1.9 Hz, H), 7.54–7.57 (3H, m, H), 6.30 (1H, s, H), 4.28 (2H, q, J = 7.1 Hz, OCH2CH3), 3.80 (3H, s, OCH3), 2.18 (6H, s, N(CH3)2), 1.31 (3H, t, J = 7.1 Hz, OCH2CH3). 13C NMR (101 MHz, DMSO-d6) δ 166.2, 162.2, 161.7, 160.8, 140.2, 139.5, 130.3, 128.7, 128.1, 128.0, 127.1, 109.5, 94.5, 70.1, 59.5, 52.5, 39.5, 14.3. HRMS (ESI+), m/z calcd. for C21H22N6O5 [M+H]+ 439.1724, found 439.1717. Found, %: C 57.27, H 5.24, N 19.29. C21H22N6O5. Calculated, %: C 57.53, H 5.06, N 19.17.
Methyl (N,N-dimethylamino)-3-[4-(methoxycarbonyl)-3-phenyl-1,2-oxazol-5-yl]-1,4-dihydroimidazo[5,1-c][1,2,4]triazine-8-carboxylate (11a): Compound 11a was synthesized by the same procedure as 10 using diazoimidazole 7a (166 mg, 1.0 mmol). Yield 343 mg (81%), yellow solid, mp 197–200 °C. 1H NMR (400 MHz, CDCl3) δ 9.78 (1H, br. s, NH), 7.67 (2H, dd, J = 6.8 Hz, H), 7.47–7.51 (3H, m, H), 7.39 (1H, s, H), 6.30 (1H, s, H), 3.96 (3H, s, OCH3), 3.81 (3H, s, OCH3), 2.28 (6H, s, N(CH3)2). 13C NMR (101 MHz, CDCl3) δ 165.9, 163.9, 162.9, 161.9, 135.2, 130.2, 129.5, 128.6, 128.5, 127.7, 127.3, 110.9, 110.3, 69.0, 52.5, 51.8, 40.0. HRMS (ESI+), m/z calcd. for C20H20N6O5 [M+H]+ 425.1568, found 425.1579. Found, %: C 56.68, H 4.84, N 19.62. C20H20N6O5. Calculated, %: C 56.60, H 4.75, N 19.80.
Ethyl (N,N-dimethylamino)-3-[4-(methoxycarbonyl)-3-phenyl-1,2-oxazol-5-yl]-1,4-dihydroimidazo[5,1-c][1,2,4]triazine-8-carboxylate (11b): Compound 11b was synthesized by the same procedure as 10 using diazoimidazole 7b (166 mg, 1.0 mmol). Yield 311 mg (71%), yellow solid, mp 185–187 °C. 1H NMR (400 MHz, DMSO-d6) δ 11.98 (1H, br. s, NH), 7.70 (1H, s, H), 7.65 (2H, dd, J = 7.4 Hz, J = 1.9 Hz, H), 7.54–7.56 (3H, m, H), 6.38 (1H, s, H), 4.28 (2H, q, J = 7.0 Hz, OCH2CH3), 3.80 (3H, s, OCH3), 2.12 (6H, s, N(CH3)2), 1.28 (3H, t, J = 7.0 Hz, OCH2CH3). 13C NMR (101 MHz, DMSO-d6) δ 166.3, 162.4, 162.0, 160.9, 134.3, 130.9, 130.5, 128.9, 128.0, 127.2, 126.0, 110.0, 109.2, 67.7, 59.4, 52.7, 39.6, 14.5. HRMS (ESI+), m/z calcd. for C21H22N6O5 [M+H]+ 439.1724, found 439.1728. Found, %: C 57.76, H 4.93, N 19.03. C21H22N6O5. Calculated, %: C 57.53, H 5.06, N 19.17.
Ethyl 4-(N,N-dimethylamino)-3-[4-(methoxycarbonyl)-3-methyl-1,2-oxazol-5-yl]-1,4-dihydroimidazo[5,1-c][1,2,4]triazine-8-carboxylate (11c): Compound 11c was synthesized by the same procedure as 10 using diazoimidazole 7b (166 mg, 1.0 mmol) and enamine 3b (210 mg, 1.0 mmol). Yield 278 mg (74%), yellow solid, mp 140–142 °C. 1H NMR (400 MHz, CDCl3) δ 9.78 (1H, br. s, NH), 7.35 (1H, s, H), 6.41 (1H, s, H), 4.42 (2H, q, J = 7.0, OCH2CH3), 3.90 (3H, s, OCH3), 2.49 (3H, s, CH3), 2.23 (6H, s, N(CH3)2), 1.43 (3H, t, J = 7.0 Hz, OCH2CH3). 13C NMR (101 MHz, CDCl3) δ 168.5, 163.5, 162.3, 160.1, 135.1, 129.4, 127.8, 111.0, 110.3, 69.2, 60.8, 52.1, 40.0, 14.5, 11.9. HRMS (ESI+), m/z calcd. for C16H20N6O5 [M+H]+ 377.1345, found 377.1598. Found, %: C 51.19; H 5.11; N 22.52. C16H20N6O5. Calculated, %: C 51.06; H 5.36; N 22.33.
Ethyl 4-(N,N-dimethylamino)-3-[3-isopropyl-4-(metoxycarbonyl)isoxazol-5-yl]-1,4-dihydroimidazo[5,1-c][1,2,4]triazine-8-carboxylate (11d): Compound 11d was synthesized by the same procedure as 10 using diazoimidazole 7b (166 mg, 1.0 mmol) and enamine 3c (238 mg, 1.0 mmol). Yield 214 mg (53%), yellow solid, mp 165–167 °C. 1H NMR (400 MHz, CDCl3) δ 9.77 (1H, br. s, NH), 7.35 (1H, s, H), 6.26 (1H, s, H), 4.43 (2H, q, J = 7.1 Hz, OCH2CH3), 3.88 (3H, s, OCH3), 3.34–3.41 (1H, m, CH(CH3)2), 2.23 (6H, s, N(CH3)2), 1.34–1.44 (9H, m, CH(CH3)2, OCH2CH3). 13C NMR (101 MHz, CDCl3) δ 168.1, 166.9, 163.6, 162.5, 135.2, 129.3, 127.9, 110.9, 109.6, 69.3, 60.7, 52.2, 40.0, 26.8, 21.1, 20.9, 14.5. HRMS (ESI+), m/z calcd. for C18H24N6O5 [M+H]+ 405.1808, found 405.1881. Found, %: C 53.22, H 6.15, N 20.93. C18H24N6O5. Calculated, %: C 53.46, H 5.98, N 20.78.
Ethyl 4-hydroxy-3-[4-(methoxycarbonyl)-3-phenyl-1,2-oxazol-5-yl]-1,4-dihydropyrazolo[5,1-c][1,2,4]triazine-8-carboxylate (12): Compound 10 (219 mg, 0.5 mmol) in the mixture of water and acetic acid (1:1.5 mL) was stirred at room temperature for 24 h. The reaction completion was checked by TLC; the precipitate was filtered off and purified by column chromatography on silica gel (eluent—CHCl3/EA = 4:1). Yield 165 mg (80%), white solid, mp 190–192 °C. 1H NMR (600 MHz, DMSO-d6) δ 12.39 (1H, br. s, NH), 7.95 (1H, s, H), 7.90 (1H, d, J = 7.8 Hz, OH), 7.65 (2H, dd, J = 8.0 Hz, J = 1.9 Hz, H), 7.54–7.58 (3H, m, H), 6.75 (1H, d, J = 7.8 Hz, H), 4.28 (2H, q, J = 7.1 Hz, OCH2CH3), 3.82 (3H, s, OCH3), 1.30 (3H, t, J = 7.1 Hz, OCH2CH3). 13C NMR (101 MHz, DMSO-d6) δ 166.0, 162.5, 161.7, 160.8, 140.9, 138.2, 130.6, 129.4, 129.0, 127.9, 127.2, 109.3, 94.9, 70.4, 59.6, 52.9, 14.5. HRMS (ESI+), m/z calcd. for C19H17N5O6 [M+H]+ 412.1252, found 412.1257. Found, %: C 55.64, H 4.22, N 16.86. C19H17N5O6. Calculated, %: C 55.48, H 4.17, N 17.02.
Ethyl 4-hydroxy-3-[4-(methoxycarbonyl)-3-methyl-1,2-oxazol-5-yl]-1,4-dihydroimidazo[5,1-c][1,2,4]triazine-8-carboxylate (13a): Compound 13a was synthesized by the same procedure as 12 from compound 11c (300 mg, 0.5 mmol). Yield 231 mg (84%), yellow solid, mp 215–218 °C. 1H NMR (600 MHz, DMSO-d6) δ 12.14 (1H, s, NH), 7.74 (1H, s, H), 7.71 (1H, d, J = 8.5 Hz, OH), 6.79 (1H, d, J = 8.5 Hz, H), 4.28 (2H, q, J = 7.1 Hz, OCH2CH3), 3.84 (3H, s, CH3), 2.40 (3H, s, CH3), 1.29 (3H, t, J = 7.1 Hz, OCH2CH3). 13C NMR (101 MHz, DMSO-d6) δ 166.7, 162.0, 161.8, 159.7, 132.5, 130.5, 127.5, 109.9, 109.6, 68.5, 59.3, 52.3, 14.6, 11.1. HRMS (ESI+), m/z calcd. for C14H15N5O6 [M+H]+ 350.1095, found 350.1087. Found, %: C 47.95, H 4.69, N 20.19. C14H15N5O6. Calculated, %: C 48.14, H 4.33, N 20.05.
Ethyl 3-[4-(ethoxycarbonyl)-3-phenyl-1,2-oxazol-5-yl]-4-hydroxy-1,4-dihydroimidazo[5,1-c][1,2,4]triazine-8-carboxylate (13b): A mixture of compound 7b (166 mg, 1.0 mmol), enamine 3d (286 mg, 1.0 mmol), and dioxane (2 mL) was stirred at room temperature for 2 days. The solvent was evaporated in vacuum and the residue was separated on the column with silica gel (eluent: chloroform—ethyl acetate = 4: 1). The fractions containing compound with Rf = 0.1 were collected. The solvent was evaporated in vacuum to dryness to give the product 13b. Yield 204 mg (48%), yellow solid, mp 205–207 °C. 1H NMR (400 MHz, DMSO-d6) δ 12.18 (1H, s, NH), 7.80 (1H, d, J = 8.0 Hz, OH), 7.75 (1H, s, H), 7.65 (2H, dd, J = 7.4 Hz, J = 1.9 Hz, H), 7.52–7.57 (3H, m, H), 6.80 (1H, d, J = 8.0 Hz, H), 4.24–4.33 (4H, m, 2OCH2CH3), 1.30 (3H, t, J = 7.1 Hz, OCH2CH3), 1.16 (3H, t, J = 7.1 Hz, OCH2CH3); 13C NMR (101 MHz, DMSO-d6) δ 165.7, 161.9, 161.8, 161.0, 132.7, 130.4, 130.3, 128.8, 128.1, 128.0, 127.3, 109.9, 109.2, 68.1, 61.6, 59.3, 14.5, 13.6. HRMS (ESI+), m/z calcd. for C20H19N5O6 [M+H]+ 426.1408, found 426.1411. Found, %: C 56.58, H 4.64, N 16.53. C20H19N5O6. Calculated, %: C 56.47, H 4.50, N 16.46.
Methyl 4-methoxy-3-[4-(methoxycarbonyl)-3-phenyl-1,2-oxazol-5-yl]-1,4-dihydroimidazo[5,1-c][1,2,4]triazine-8-carboxylate (14a): Compound 11a (212 mg, 0.5 mmol) was refluxed in the mixture of methanol (10 mL) and acetic acid (1 mL) for 1 h. The reaction completion was checked by TLC, and the reaction mixture was evaporated in vacuum to dryness. The residue was purified by column chromatography on silica gel (eluent—CHCl3/EA = 4:1). Yield 164 mg (80%), yellow solid, mp 176–177 °C. 1H NMR (600 MHz, DMSO-d6) δ 12.46 (1H, br. s, NH), 7.99 (1H, s, H), 7.66 (2H, dd, J = 7.9 Hz, J = 1.6 Hz, H), 7.54–7.59 (3H, m, H), 6.85 (1H, s, H), 3.22 (3H, s, OCH3), 3.83 (3H, s, OCH3). 3.80 (3H, s, OCH3). 13C NMR (151 MHz, DMSO-d6) δ 165.3, 162.5, 162.1, 160.8, 133.0, 130.9, 130.6, 129.0, 127.9, 127.0, 124.7, 110.2, 108.9, 74.5, 54.5, 52.9, 50.9. HRMS (ESI+), m/z calcd. for C19H17N5O6 [M+H]+ 412.1252, found 412.1261. Found, %: C 55.10, H 3.86, N 17.36. C19H17N5O6. Calculated, %: C 55.48, H 4.17, N 17.02.
Ethyl 4-methoxy-3-[4-(methoxycarbonyl)-3-methyl-1,2-oxazol-5-yl]-1,4-dihydroimidazo[5,1-c][1,2,4]triazine-8-carboxylate (14b): Compound 14b was synthesized by the same procedure as 14a from compound 11c (188 mg, 0.5 mmol), stirred overnight at room temperature in the mixture of methanol (5 mL) and acetic acid (0.5 mL). Yield 158 mg (87%), yellow solid, mp 167–169 °C. 1H NMR (400 MHz, CDCl3) δ 10.30 (1H, br. s, NH), 7.54 (1H, s, H), 6.96 (1H, s, H), 4.44 (2H, q, J = 7.1 Hz, OCH2CH3), 3.89 (3H, s, OCH3), 3.14 (3H, s, OCH3), 2.48 (3H, s, CH3), 1.42 (3H, t, J = 7.1 Hz, OCH2CH3). 13C NMR (101 MHz, CDCl3) δ 166.5, 163.4, 162.1, 160.1, 133.9, 129.2, 125.9, 111.3, 110.6, 75.2, 61.0, 52.9, 52.3, 14.5, 11.8. HRMS (ESI+), m/z calcd. for C15H17N5O6 [M+H]+ 364.1252, found 364.1254. Found, %: C 49.38, H 4.67, N 19.47. C15H17N5O6. Calculated, %: C 49.59, H 4.72, N 19.28.
3.2. Photophysical Study
UV–Vis absorption spectra were recorded on a Shimadzu UV-1800 spectrophotometer (Kyoto, Japan). Fluorescence of the sample solutions was measured using a Hitachi F-7000 spectrophotometer (Tokyo, Japan). The absorption and emission spectra were recorded in toluene, dioxane, CH2Cl2, CHCl3, THF, EtOH, EtOAc, acetone, MeCN, DMF, and DMSO using 10.00 mm quartz cells. The excitation wavelength was at the absorption maxima. Atmospheric oxygen contained in solutions was not removed. Concentration of the compounds in the solution was 5.0 × 10−5 M and 5.0 × 10−6 M for absorption and fluorescence measurements, respectively. The relative fluorescence quantum yields (QY) were determined using quinine sulfate (c = 5 × 10−5 M) in 0.1 M H2SO4 as a standard (ΦF = 0.546).
AIE/AIEE phenomena study: A stock solution of the investigated compound in THF (or DMSO) (5 × 10−4 M) was prepared and an aliquot (1.0 mL) of this solution transferred to a 25 mL volumetric flask. After addition of a calculated volume of pure solvent, water was added at once to prepare mixtures with water content in the range of 0–90 vol% and final concentration 5 × 10−5 M. The UV–Vis and fluorescence measurements of the resultant solutions were then performed immediately. The absolute quantum yield for the solid-state and time-resolution study was recorded on a Horiba FlouroMax 4 Spectrofluorometer (Kyoto, Japan) with a Quanta-φ integrating sphere using the FluorEssence 3.5 Software (Kyoto, Japan).
4. Conclusions
In summary, we synthesized new assemblies of 1,4-dihydroazolotriazines and isoxazoles and characterized them using 1H and 13C NMR, HRESMS, and elemental analysis. The DATs obtained demonstrated the stability of their bicyclic systems, although C4–NMe2 is easily substituted by the MeO and OH groups. The DATs demonstrate emissions in organic solvents ranging from 433 to 487 nm, with QYs of 6.1–33.3% and a high Stokes shift (up to150 nm). Studies of the XRD data of the two DAT patterns demonstrate their tendency to form supramolecular architectures due to the ability to form a large amount of intra- and intermolecular NCIs. New non-aromatic azolotriazines demonstrated fluorescence in powder with a high quantum yield up to 95%.
DATs exhibited different sensitivities to the microenvironment depending on the structure of the azole ring involved in the central bicyclic scaffold. Imidazole derivatives 11 showed positive solvato(fluoro)chromism, with the best QYs in non-polar toluene (38%). The pyrazole derivative 10 only exhibited fluorescence in protic solvents and chloroform. Moreover, 1,4-dihydropyrasolotriazine had an excellent AIE effect in a DMSO–H2O and THF–H2O binary mixture with the increasing of QYs up to 16 and 13%, respectively. Analysis of the DAT behavior in different solvents with Lippert–Mataga and Dimroth–Reichardt plots established the strong influence of the nature of C4 substituents. Thus, the DATs’ photophysical properties are very sensitive to structural fragments and can be tuned by various types of modification. Structural diversity can be provided by using different starting heterocyclic diazo compounds and enamines and employing the nucleophilic substitution of the NMe2 group by numerous natural and bioactive compounds.
Supplementary Materials
The following supporting information can be downloaded at: https://www.mdpi.com/article/10.3390/molecules28073192/s1. 1H and 13C nuclear magnetic resonance (NMR) spectroscopy; UV–Vis and fluorescent spectra and photophysical characteristics. X-ray data of compounds 11b and 13b. These experiments were accomplished on the automated X-ray diffractometer «Xcalibur 3» with CCD detector on standard procedure (MoKα-irradiation, graphite monochromator, ω-scans with 1o step at T = 295(2) K). Empirical absorption correction was applied. The solution and refinement of the structures were accomplished with using Olex2 program package [64]. The structure was solved with the Superflip [65] structure solution program using Charge Flipping and refined by ShelXL by full-matrix least-squared method in the anisotropic approximation for non-hydrogen atoms [66]. The H-atoms at C-H bonds were placed in the calculated positions, the H-atoms at N-H bonds were refined independently in isotropic approximation. CCDC 2225550 for 11b and CCDC 2238176 for 13b can be obtained free of charge from the Cambridge Crystallographic Data Centre via link www.ccdc.cam.ac.uk/data_request/cif.
Author Contributions
Investigation, N.A.B. and N.E.S.; conceptualization, writing—original draft preparation and text writing, writing—review and editing, E.V.S., V.G.N., and N.P.B. All authors have read and agreed to the published version of the manuscript.
Funding
This research was funded by the Ministry of Science and Higher Education of the Russian Federation (Ural Federal University Program of Development within the Priority 2030 Program).
Institutional Review Board Statement
Not applicable.
Data Availability Statement
The data presented in this study are available in the Supplementary Materials.
Acknowledgments
The authors acknowledge partial support from Ural Federal University.
Conflicts of Interest
The authors declare no conflict of interest.
Sample Availability
Samples of compounds 11–14 are available from the authors.
References
- Khatir, Z.Z.; Irnnejad, H. Pharmacologic activities of 5,6-diaryl/heteroaryl-3-substituted-1,2,4-triazines as a privileged scaffold in drug development. Mini Rev. Med. Chem. 2021, 21, 2874–2928. [Google Scholar] [CrossRef] [PubMed]
- Kumar, R.; Sirohi, T.S.; Singh, H.; Yadav, R.; Roy, R.K.; Chaudhary, A.; Pandeya, S.N. 1,2,4-Triazine analogs as novel class of therapeutic agents. Mini Rev. Med. Chem. 2014, 14, 168–207. [Google Scholar] [CrossRef]
- Cascioferro, S.; Parrino, B.; Spanò, V.; Carbone, A.; Montalbano, A.; Barraja, P.; Diana, P.; Cirrincione, G. An overview on the recent developments of 1,2,4-triazine derivatives as anticancer compounds. Eur. J. Med. Chem. 2017, 142, 328–375. [Google Scholar] [CrossRef] [PubMed]
- Abdulrahman, S.A.; Reda, M.A.-R. Synthesis and chemistry of phosphorus compounds substituted by 1,2,4-triazine moieties as medicinal probes. Heterocycles 2021, 102, 2247–2276. [Google Scholar]
- Dong, G.; Jiang, Y.; Zhang, F.; Zhu, F.; Liu, J. Recent updates on 1,2,3-, 1,2,4-, and 1,3,5-triazine hybrids (2017–present): The anticancer activity, structure–activity relationships, and mechanisms of action. Arch. Pharm. 2022, 356, e2200479. [Google Scholar] [CrossRef]
- Alizadeh, S.R.; Ebrahimzadeh, M.A. Pyrazolotriazines: Biological activities, synthetic strategies and recent developments. Eur. J. Med. Chem. 2021, 223, 113537. [Google Scholar] [CrossRef] [PubMed]
- Marín-Ocampo, L.; Veloza, L.A.; Abonia, R.; Sepúlveda-Arias, J.C. Anti-inflammatory activity of triazine derivatives: A systematic review. Eur. J. Med. Chem. 2019, 162, 435–447. [Google Scholar] [CrossRef]
- Mojzych, M.; Šubertova, V.; Bielawska, A.; Bielawski, K.; Bazgier, V.; Berka, K.; Gucky, T.; Fornal, E.; Kryštof, V. Synthesis and kinase inhibitory activity of new sulfonamide derivatives of pyrazolo[4,3-e][1,2,4]triazines. Eur. J. Med. Chem. 2014, 78, 217–224. [Google Scholar] [CrossRef]
- Rusinov, V.L.; Charushin, V.N.; Chupakhin, O.N. Biologically active azolo-1,2,4-triazines and azolopyrimidines. Russ. Chem. Bull. 2018, 67, 573–599. [Google Scholar] [CrossRef]
- Mojzych, M.; Ceruso, M.; Bielawska, A.; Bielawski, K.; Fornal, E.; Supuran, C.T. New pyrazolo[4,3-e][1,2,4]triazine sulfonamides as carbonic anhydrase inhibitors. Bioorg. Med. Chem. 2015, 23, 3674–3680. [Google Scholar] [CrossRef]
- Al-Humairi, A.H.; Speransky, D.L.; Sadchikova, E.V. Synthesis and cytotoxic activity on cell cultures of new azolotriazines. Pharm. Chem. J. 2022, 56, 742–747. [Google Scholar] [CrossRef]
- Hiebel, M.-A.; Suzenet, F. Triazines, tetrazines, and fused ring polyaza systems. Prog. Heterocycl. Chem. 2020, 31, 505–531. [Google Scholar]
- Kaji, H.; Suzuki, H.; Fukushima, T.; Shizu, K.; Suzuki, K.; Kubo, S.; Komino, T.; Oiwa, H.; Suzuki, F.; Wakamiya, A.; et al. Purely organic electroluminescent material realizing 100% conversion from electricity to light. Nat. Commun. 2015, 6, 8476. [Google Scholar] [CrossRef] [PubMed]
- Xiang, Y.; Gong, S.; Zhao, Y.; Yin, X.; Luo, J.; Wu, K.; Lu, Z.-H.; Yang, C. Asymmetric-triazine-cored triads as thermally activated delayed fluorescence emitters for high-efficiency yellow OLEDs with slow efficiency roll-off. J. Mater. Chem. C 2016, 4, 9998–10004. [Google Scholar] [CrossRef]
- Maggiore, A.; Tan, X.; Brosseau, A.; Danos, A.; Miomandre, F.; Monkman, A.P.; Audebert, P.; Clavier, G. Novel D-A chromophores with condensed 1,2,4-triazine system simultaneously display thermally activated delayed fluorescence and crystallization-induced phosphorescence. Phys. Chem. Chem. Phys. 2022, 24, 17770–17781. [Google Scholar] [CrossRef]
- Sakr, M.E.M.; Abou Kana, M.T.H.; Elwahy, A.H.M.; El-Daly, S.A.; Ebeid, E.-Z.M. Novel far UV–Vis absorbing bis(dihydrophenanthro[9,10-e][1,2,4]triazine) derivative dyes: Synthesis, optical, photophysical and solvatochromic properties. J. Mol. Struct. 2020, 1206, 127690–127696. [Google Scholar] [CrossRef]
- Al-Shamiri, H.A.S.; Sakr, M.E.M.; Abdel-Latif, S.A.; Negm, N.A.; Abou Kana, M.T.H.; El-Daly, S.A.; Elwahy, A.H.M. Experimental and theoretical studies of linear and non-linear optical properties of novel fused-triazine derivatives for advanced technological applications. Sci. Rep. 2022, 12, 19937. [Google Scholar] [CrossRef]
- Mao, Z.; Kim, J.H.; Lee, J.; Xiong, H.; Zhang, F.; Kim, J.S. Engineering of BODIPY-based theranostics for cancer therapy. Coord. Chem. Rev. 2023, 476, 214908. [Google Scholar] [CrossRef]
- Singh, G.; George, N.; Singh, R.; Singh, G.; Sushma; Kaur, G.; Singh, H.; Singh, J. Ion recognition by 1,2,3-triazole moieties synthesized via “click chemistry”. Appl. Organomet. Chem. 2023, 37, e6897. [Google Scholar] [CrossRef]
- Gavlik, K.D.; Lesogorova, S.G.; Sukhorukova, E.S.; Subbotina, J.O.; Slepukhin, P.A.; Benassi, E.; Belskaya, N.P. Synthesis of 2-aryl-1,2,3-triazoles by oxidative cyclization of 2-(arylazo)ethene-1,1-diamines: A one-pot approach. Eur. J. Org. Chem. 2016, 15, 2700–2710. [Google Scholar] [CrossRef]
- Eltyshev, A.K.; Suntsova, P.O.; Karmatskaia, K.D.; Taniya, O.S.; Slepukhin, P.A.; Benassi, E.; Belskaya, N.P. An effective and facile synthesis of new blue fluorophores on the basis of an 8-azapurine core. Org. Biomol. Chem. 2018, 16, 9420–9429. [Google Scholar] [CrossRef] [PubMed]
- Tsyrenova, B.D.; Khrustalev, V.N.; Nenajdenko, V.G. Synthesis of blue light emitting heterocycles via cyclization of 2-pyridine derived 4-azido-1,2,3-triazoles. Org. Biomol. Chem. 2021, 19, 8140–8152. [Google Scholar] [CrossRef]
- Barakat, A.; El-Faham, A.; Haukka, M.; Al Majid, A.; Solimanm, S. s-Triazine pincer ligands: Synthesis of their metal complexes, coordination behavior, and applications. Appl. Organomet. Chem. 2021, 35, e6317. [Google Scholar] [CrossRef]
- Alekseeva, D.L.; Rakhimova, V.Y.; Minin, A.S.; Belousova, A.V.; Sadchikova, E.V. Synthesis and properties of 5-aryl-3-diazo-3H-pyrazoles and 3-aryl-1H-pyrazole-5-diazonium salts. Preparation and cytolytic activity studies of 2-arylpyrazolo[5,1-c][1,2,4]benzotriazines. Chem. Heterocycl. Compd. 2018, 54, 1145–1152. [Google Scholar] [CrossRef]
- Alexeeva, D.L.; Sadchikova, E.V.; Volkova, N.N.; Efimov, I.V.; Jacobs, J.; Van Meervelt, L.; Dehaen, W.; Bakulev, V.A. Reactivity of 3-substituted pyrazole-5-diazonium salts towards 3-azolyl enamines. Synthesis of novel 3-azolylpyrazolo[5,1-c][1,2,4]triazines. Arkivoc 2016, 4, 114–129. [Google Scholar] [CrossRef]
- Kaminskiy, N.A.; Galenko, E.E.; Kryukova, M.A.; Novikov, M.S.; Khlebnikov, A.F. Reaction of α-diazopyrroles with enamines: Synthesis of pyrrolo[2,1-c][1,2,4]triazines and α-(1,2,5-triazapenta-1,3-dienyl)pyrroles. J. Org. Chem. 2022, 87, 10485. [Google Scholar] [CrossRef]
- Ghozlan, S.; Abdelhamid, I.; Gaber, H.; Elnagdi, M. Studies with functionally substituted enamines: Synthesis of new aminoazolo-pyrimidines and -1,2,4-triazines. J. Chem. Res. 2004, 12, 789–793. [Google Scholar] [CrossRef]
- Elnagdi, M.H.; El-Moghayar, M.R.H.; Fleita, D.H.; Hafez, E.A.A.; Fahmy, S.M. Pyrimidine derivatives and related compounds. 4. A route for the synthesis of pyrazolo[3,4-e]-as-triazines, pyrazolo[3,4-d]pyrimidines, and pyrazolo[1,5-c]-as-triazines. J. Org. Chem. 1976, 41, 3781–3784. [Google Scholar] [CrossRef]
- El-Ghandour, A.H.H.; Ibrahim, M.K.A.; Abdel-Hafiz, I.S.; Elnagdi, M.H. Studies with polyfunctionally substituted heterocycles: Synthesis of new pyridines, naphtho[1,2-b]pyrans, pyrazolo[3,4-b]pyridines and pyrazolo[1,5-a]pyrimidines. Z. Naturforsch. B Chem. Sci. 1992, 47, 572–578. [Google Scholar]
- Padwa, A.; Kumagai, T.; Woolhouse, A.D. Higher order dipolar cycloaddition reactions of diazoazoles with electron-rich dipolarophiles. J. Org. Chem. 1983, 48, 2330–2336. [Google Scholar] [CrossRef]
- Magee, W.L.; Rao, C.B.; Glinka, J.; Hui, H.; Amick, T.J.; Fiscus, D.; Kakodkar, S.; Nair, M.; Shechter, H. Dipolar cycloaddition reactions of diazoazoles with electron-rich and with strained unsaturated compounds. J. Org. Chem. 1987, 52, 5538–5548. [Google Scholar] [CrossRef]
- Padwa, A.; Kumagai, T. Extended dipolar cycloaddition reactions of 3-diazopyrazoles with electron rich olefins. Tetrahedron Lett. 1981, 22, 1199–1202. [Google Scholar] [CrossRef]
- Ege, G.; Gilbert, K.; Franz, H. Cycloaddition von Ynaminen an Diazo-azole. Ein neuer Zugang zu Azolo[5,1-c][1,2,4]triazinen. Synthesis 1977, 8, 556. [Google Scholar] [CrossRef]
- Al-Omran, F.; El-Khair, A.A. 2-(3-Arylhydrazono-3-formyl-2-oxopropyl)-1H-isoindole-1,3-(2H)-dione in heterocyclic synthesis. Novel derivatives of pyridazin-6(1H)-one, pyridazin-6(1H)-imine, and pyrazolo[5,1-c][1,2,4]triazine incorporating an N-(2-oxoethyl)phthalimide moiety. J. Chem. Res. 2006, 1, 6–9. [Google Scholar] [CrossRef]
- Dürr, H.; Schmitz, H. 3-Diazoindazole: Photochemie, Thermochemie, Cycloadditionen. Chem. Ber. 1978, 111, 2258–2266. [Google Scholar] [CrossRef]
- Sadchikova, E.V.; Mokrushin, V.S. Synthesis and properties of new 5-diazoimidazoles and their imidazolyl-5-diazonium salts. Rus. Chem. Bull. 2003, 52, 1600–1605. [Google Scholar] [CrossRef]
- Mokrushin, V.S.; Sadchikova, E.V. Khimiya Geterotsiklicheskikh Diazosoedinenii (Chemistry of Heterocyclic Diazo Compounds); Prospekt Nauki: St. Petersburg, Russia, 2013; ISBN 978-5-903090-97-6. [Google Scholar]
- Sadchikova, E.V.; Beliaev, N.A.; Alexeeva, D.L.; Safronov, N.E.; Belskaya, N.P. Non-aromatic azolo[5,1-c][1,2,4]triazines: A pot, atom and step economic (PASE) synthesis, mechanistic insight and fluorescence properties. New J. Chem. 2022, 46, 22171–22184. [Google Scholar] [CrossRef]
- Pairas, G.N.; Perperopoulou, F.; Tsoungas, P.G.; Varvounis, G. The isoxazole ring and its N-oxide: A privileged core structure in neuropsychiatric therapeutics. ChemMedChem 2017, 12, 408–419. [Google Scholar] [CrossRef]
- Zhu, J.; Mo, J.; Lin, H.Z.; Chen, Y.; Sun, H.P. The recent progress of isoxazole in medicinal chemistry. Bioorg. Med. Chem. 2018, 26, 3065–3075. [Google Scholar] [CrossRef] [PubMed]
- Barmade, M.A.; Murumkar, P.R.; Sharma, M.K.; Yadav, M.R. Medicinal chemistry perspective of fused isoxazole derivatives. Curr. Top. Med. Chem. 2016, 16, 2863–2883. [Google Scholar] [CrossRef]
- Uto, Y. 1,2-Benzisoxazole: A privileged structure with a potential for polypharmacology. Curr. Pharm. Des. 2016, 22, 3201–3211. [Google Scholar] [CrossRef]
- Sysak, A.; Obminska-Mrukowicz, B. Isoxazole ring as a useful scaffold in a search for new therapeutic agents. Eur. J. Med. Chem. 2017, 137, 292–309. [Google Scholar] [CrossRef]
- Fonseca, S.M.; Burrows, H.D.; Nunes, C.M.; Pinho e Melo, T.M.V.D.; Rocha Gonsalves, A.M.d’A. On the photophysical behaviour of 4-halo-5-phenylisoxazoles. Chem. Phys. Lett. 2005, 414, 98–101. [Google Scholar] [CrossRef]
- Sharma, M.; Pal, U.; Kumari, M.; Bagchi, D.; Rani, S.; Mukherjee, D.; Bera, A.; Pal, S.K.; Dasgupta, T.S.; Mozumdar, S. Effect of solvent on the photophysical properties of isoxazole derivative of curcumin: A combined spectroscopic and theoretical study. J. Photochem. Photobiol. A Chem. 2021, 410, 113164. [Google Scholar] [CrossRef]
- Jani, T.; Shastri, A.; Prajapati, D.; Vinodkumar, P.C.; Limbachiya, C.; Vinodkumar, M. Structural, spectroscopic and electron collisional studies of isoxazole (C3H3NO). Chem. Phys. 2022, 553, 111379. [Google Scholar] [CrossRef]
- Beryozkina, T.V.; Zhidovinov, S.S.; Shafran, Y.M.; Eltsov, O.S.; Slepukhin, P.A.; Leban, J.; Marquez, J.; Bakulev, V.A. Self-condensation of β-(isoxazol-5-yl) enamines under treatment with acetyl chloride and acids. Synthesis of novel 1,3-diisoxazolyl-1,3-dieneamines and 1,3,5-triisoxazolyl benzenes. Tetrahedron 2014, 70, 3915–3923. [Google Scholar] [CrossRef]
- Valeur, B.; Berberan-Santos, M.N. Molecular Fluorescence: Principles and Applications, 2nd ed.; Wiley-VCH: Weinheim, Germany, 2013; ISBN 978-3-527-65002-6. [Google Scholar]
- Mataga, N.; Chosrowjan, H.; Taniguchi, S. Ultrafast charge transfer in excited electronic states and investigations into fundamental problems of exciplex chemistry: Our early studies and recent developments. J. Photochem. Photobiol. C Photochem. Rev. 2005, 6, 37–79. [Google Scholar] [CrossRef]
- Sıdır, İ.; Sarı, T.; Sıdır, Y.G.; Berber, H. Synthesis, solvatochromism and dipole moment in the ground and excited states of substitute phenol derivative fluorescent Schiff base compounds. J. Mol. Liq. 2022, 346, 117075. [Google Scholar] [CrossRef]
- Lippert, E. Spektroskopische Bestimmung des Dipolmomentes aromatischer Verbindungen im ersten angeregten Singulettzustand. Z. Elektrochem. Ber. Bunsengesel. Phys. Chem. 1957, 61, 962–975. [Google Scholar]
- Cerõn-Carrasco, J.P.; Jacquemin, D.; Laurence, C.; Planchat, A.; Reichardt, C.; Sraïdi, K. Solvent polarity scales: Determination of new ET(30) values for 84 organic solvents. J. Phys. Org. Chem. 2014, 27, 512–518. [Google Scholar] [CrossRef]
- Reichardt, C. Empirical parameters of solvent polarity as linear free-energy relationships. Angew. Chem. Int. Ed. 1979, 18, 98–110. [Google Scholar] [CrossRef]
- Wang, Q.; Cai, L.; Gao, F.; Zhou, Q.; Zhan, F.; Wang, Q. Photochromism of Schiff base compounds derived from N,N′-bis(2-aminophenyl)isophthalamide: Structure and photosensitivity. J. Mol. Struct. 2010, 977, 274–278. [Google Scholar] [CrossRef]
- Reichardt, C. Solvents and Solvent Effects in Organic Chemistry, 3rd ed.; Wiley-VCH: Weinheim, Germany, 2006; ISBN 978-3-527-60567-5. [Google Scholar]
- Luo, J.; Xie, Z.; Lam, J.W.Y.; Cheng, L.; Chen, H.; Qiu, C.; Kwok, H.C.; Zhan, X.; Liu, Y.; Zhu, D.; et al. Aggregation-induced emission of 1-methyl-1,2,3,4,5-pentaphenylsilole. Chem. Commun. 2001, 18, 1740–1741. [Google Scholar] [CrossRef]
- Hong, Y.; Lam, J.W.Y.; Tang, B.Z. Aggregation-induced emission: Phenomenon, mechanism and applications. Chem. Commun. 2009, 29, 4332–4353. [Google Scholar] [CrossRef]
- Mei, J.; Leung, N.L.C.; Kwok, R.T.K.; Lam, R.T.K.; Tang, B.Z. Aggregation-induced emission: Together we shine, united we soar! Chem. Rev. 2015, 115, 11718–11940. [Google Scholar] [CrossRef]
- Chen, Y. Recent advances in AIEgens for three-photon fluorescence bioimaging. Mater. Today Chem. 2022, 25, 100975. [Google Scholar] [CrossRef]
- Rouillon, J.; Blahut, J.; Jean, M.; Albalat, M.; Vanthuyne, N.; Lesage, A.; Ali, L.M.A.; Hadj-Kaddour, K.; Onofre, M.; Gary-Bobo, M.; et al. Two-photon absorbing AIEgens: Influence of stereoconfiguration on their crystallinity and spectroscopic properties and applications in bioimaging. ACS Appl. Mater. Interfaces 2020, 12, 55157–55168. [Google Scholar] [CrossRef] [PubMed]
- Shealy, Y.F.; O’Dell, C.A. Synthesis, antileukemic activity, and stability of 3-(substituted-triazeno)pyrazole-4-carboxylic acid. Ester and 3-(substituted-triazeno)pyrazole-4-carboxamide. J. Pharm. Sci. 1971, 60, 554–560. [Google Scholar] [CrossRef] [PubMed]
- Shealy, Y.E.; Krauth, C.A.; Pittillo, R.; Hunt, D.E. A new antifungal and antibacterial agent, methyl 5(4)-(3,3-dimethyl-1-triazeno)imidazole-4(5)-carboxylate. J. Pharm. Sci. 1967, 56, 147–148. [Google Scholar] [CrossRef]
- Mokrushin, V.S.; Selezneva, I.S.; Pospelova, T.A.; Usova, V.K. Acid-base characteristics of 5-diazoimidazole derivatives. Chem. Heterocycl. Comp. 1997, 33, 1086–1091. [Google Scholar] [CrossRef]
- Dolomanov, O.V.; Bourhis, L.J.; Gildea, R.J.; Howard, J.A.K.; Puschmann, H. OLEX2: A complete structure solution, refinement and analysis program. J. Appl. Cryst. 2009, 42, 339–341. [Google Scholar] [CrossRef]
- Bourhis, L.J.; Dolomanov, O.V.; Gildea, R.J.; Howard, J.A.K.; Puschmann, H. The anatomy of a comprehensive constrained, restrained refinement program for the modern computing environment—Olex2 dissected. Acta Cryst. 2015, A71, 59–75. [Google Scholar]
- Sheldrick, G.M. A short history of SHELX. Acta Cryst. 2008, A64, 112–122. [Google Scholar] [CrossRef] [PubMed]
Disclaimer/Publisher’s Note: The statements, opinions and data contained in all publications are solely those of the individual author(s) and contributor(s) and not of MDPI and/or the editor(s). MDPI and/or the editor(s) disclaim responsibility for any injury to people or property resulting from any ideas, methods, instructions or products referred to in the content. |
© 2023 by the authors. Licensee MDPI, Basel, Switzerland. This article is an open access article distributed under the terms and conditions of the Creative Commons Attribution (CC BY) license (https://creativecommons.org/licenses/by/4.0/).












