Correlation between Magnetic and Dielectric Response of CoFe2O4:Li1+/Zn2+ Nanopowders Having Improved Structural and Morphological Properties
Abstract
1. Introduction
2. Results and Discussions
2.1. X-ray Diffraction (XRD)
2.2. Morphological Analysis
2.3. XPS Analysis
2.4. Magnetic Properties
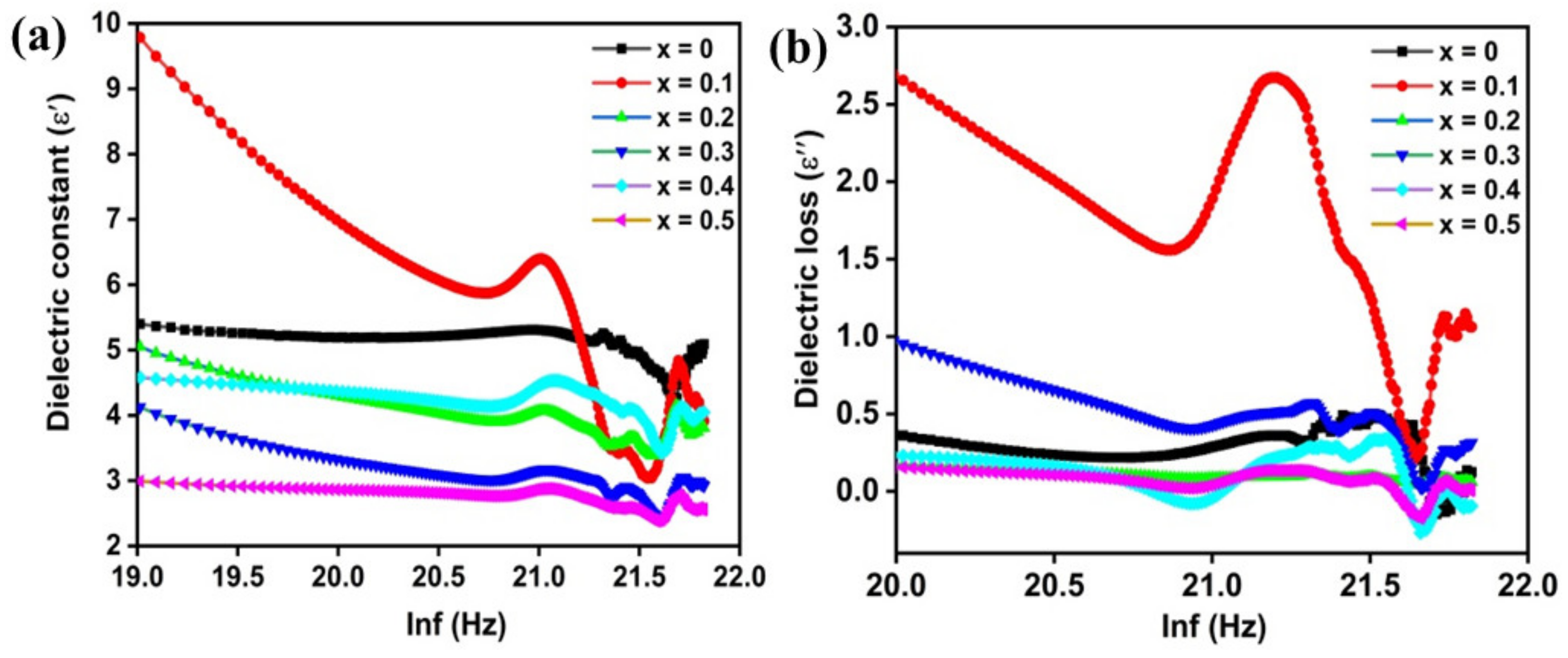
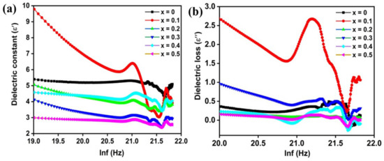
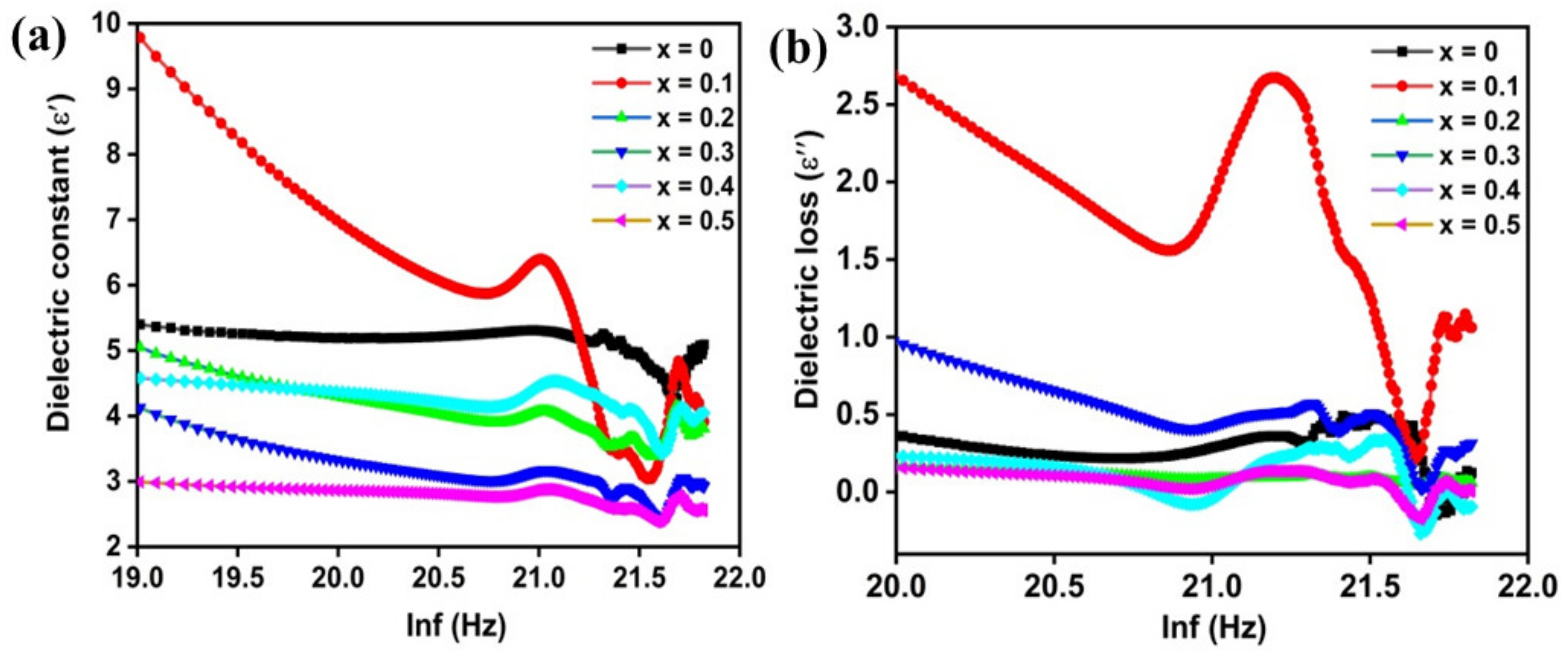
2.5. Dielectric Measurements
2.6. AC Conductivity
3. Experimental Section
3.1. Chemicals and Experimental Methods
3.2. Synthesis of CoFe2−2xLixZnxO4
3.3. Characterization
4. Conclusions
Author Contributions
Funding
Institutional Review Board Statement
Informed Consent Statement
Data Availability Statement
Acknowledgments
Conflicts of Interest
Sample Availability
References
- Andhare, D.D.; Patade, S.R.; Kounsalye, J.S.; Jadhav, K. Effect of Zn doping on structural, magnetic and optical properties of cobalt ferrite nanoparticles synthesized via. Co-precipitation method. Phys. B Condens. Matter 2020, 583, 412051. [Google Scholar] [CrossRef]
- Qin, H.; He, Y.; Xu, P.; Huang, D.; Wang, Z.; Wang, H.; Wang, Z.; Zhao, Y.; Tian, Q.; Wang, C. Spinel ferrites (MFe2O4): Synthesis, improvement and catalytic application in environment and energy field. Adv. Colloid Interface Sci. 2021, 294, 102486. [Google Scholar] [CrossRef]
- Nigam, A.; Pawar, S. Structural, magnetic, and antimicrobial properties of zinc doped magnesium ferrite for drug delivery applications. Ceram. Int. 2020, 46, 4058–4064. [Google Scholar] [CrossRef]
- Ali, R.; Aziz, M.H.; Gao, S.; Khan, M.I.; Li, F.; Batool, T.; Shaheen, F.; Qiu, B. Graphene oxide/zinc ferrite nanocomposite loaded with doxorubicin as a potential theranostic mediu in cancer therapy and magnetic resonance imaging. Ceram. Int. 2022, 48, 10741–10750. [Google Scholar] [CrossRef]
- Kalaiselvan, C.R.; Laha, S.S.; Somvanshi, S.B.; Tabish, T.A.; Thorat, N.D.; Sahu, N.K. Manganese ferrite (MnFe2O4) nanostructures for cancer theranostics. Coord. Chem. Rev. 2022, 473, 214809. [Google Scholar] [CrossRef]
- Ghasemi, A.K.; Ghorbani, M.; Lashkenari, M.S.; Nasiri, N. Controllable synthesis of zinc ferrite nanostructure with tunable morphology on polyaniline nanocomposite for supercapacitor application. J. Energy Storage 2022, 51, 104579. [Google Scholar] [CrossRef]
- Barbosa, F.F.; de Oliveira Soares, J.; Miranda, M.O.; Torres, M.A.M.; Braga, T.P. Catalysis Application of Magnetic Ferrites and Hexaferrites. In Handbook of Magnetic Hybrid Nanoalloys and their Nanocomposites; Springer: Berlin/Heidelberg, Germany, 2022; pp. 1–42. [Google Scholar]
- Hassan, S.; Ahmad, M.; ur Rehman, A.; Iqbal, M.W.; Shaukat, S.F.; Abd-Rabboh, H.S. Structural, magnetic and electrochemical properties of Al-substituted Ni ferrites for energy storage devices. J. Energy Storage 2022, 55, 105320. [Google Scholar] [CrossRef]
- Ahmad, U.; Afzia, M.; Shah, F.; Ismail, B.; Rahim, A.; Khan, R.A. Improved magnetic and electrical properties of transition metal doped nickel spinel ferrite nanoparticles for prospective applications. Mater. Sci. Semicond. Process. 2022, 148, 106830. [Google Scholar] [CrossRef]
- Vinosha, P.A.; Manikandan, A.; Ceicilia, A.S.J.; Dinesh, A.; Nirmala, G.F.; Preetha, A.C.; Slimani, Y.; Almessiere, M.; Baykal, A.; Xavier, B. Review on recent advances of zinc substituted cobalt ferrite nanoparticles: Synthesis characterization and diverse applications. Ceram. Int. 2021, 47, 10512–10535. [Google Scholar] [CrossRef]
- Dabagh, S.; Haris, S.A.; Ertas, Y.N. Synthesis, Characterization and Potent Antibacterial Activity of Metal-Substituted Spinel Ferrite Nanoparticles. J. Clust. Sci. 2022, 1–12. [Google Scholar] [CrossRef]
- Sharifianjazi, F.; Moradi, M.; Parvin, N.; Nemati, A.; Rad, A.J.; Sheysi, N.; Abouchenari, A.; Mohammadi, A.; Karbasi, S.; Ahmadi, Z. Magnetic CoFe2O4 nanoparticles doped with metal ions: A review. Ceram. Int. 2020, 46, 18391–18412. [Google Scholar] [CrossRef]
- Rasheed, S.; Aziz, H.S.; Khan, R.A.; Khan, A.M.; Rahim, A.; Nisar, J.; Shah, S.M.; Iqbal, F.; Khan, A.R. Effect of Li–Cu doping on structural, electrical and magnetic properties of cobalt ferrite nanoparticles. Ceram. Int. 2016, 42, 3666–3672. [Google Scholar] [CrossRef]
- Rasheed, S.; Khan, R.A.; Shah, F.; Ismail, B.; Nisar, J.; Shah, S.M.; Rahim, A.; Khan, A.R. Enhancement of electrical and magnetic properties of cobalt ferrite nanoparticles by co-substitution of Li-Cd ions. J. Magn. Magn. Mater. 2019, 471, 236–241. [Google Scholar] [CrossRef]
- Mmelesi, O.K.; Patala, R.; Nkambule, T.T.; Mamba, B.B.; Kefeni, K.K.; Kuvarega, A.T. Effect of Zn doping on physico-chemical properties of cobalt ferrite for the photodegradation of amoxicillin and deactivation of E. coli. Colloids Surf. A Physicochem. Eng. Asp. 2022, 649, 129462. [Google Scholar] [CrossRef]
- Dar, M.A.; Batoo, K.M.; Verma, V.; Siddiqui, W.; Kotnala, R. Synthesis and characterization of nano-sized pure and Al-doped lithium ferrite having high value of dielectric constant. J. Alloys Compd. 2010, 493, 553–560. [Google Scholar] [CrossRef]
- Kang, J.Y.; Kwon, W.H.; Lee, J.-G.; Chae, K.P.; Lee, Y.B. Crystallographic and magnetic properties of Al-substituted Li-Co-Ti ferrite. J. Korean Phys. Soc. 2011, 59, 85–89. [Google Scholar] [CrossRef]
- Kadam, R.; Alone, S.T.; Mane, M.L.; Biradar, A.; Shirsath, S.E. Phase evaluation of Li+ substituted CoFe2O4 nanoparticles, their characterizations and magnetic properties. J. Magn. Magn. Mater. 2014, 355, 70–75. [Google Scholar] [CrossRef]
- Manikandan, V.; Denardin, J.C.; Vigniselvan, S.; Mane, R. Structural, dielectric and enhanced soft magnetic properties of lithium (Li) substituted nickel ferrite (NiFe2O4) nanoparticles. J. Magn. Magn. Mater. 2018, 465, 634–639. [Google Scholar] [CrossRef]
- Patil, R.; Jadhav, B.; Hankare, P. Electrical and thermoelectric properties of nanocrystalline Mn-substituted lithium ferrites. Results Phys. 2013, 3, 214–218. [Google Scholar] [CrossRef]
- Thomas, N.; Shimna, T.; Jithin, P.; Sudheesh, V.; Choudhary, H.K.; Sahoo, B.; Nair, S.S.; Lakshmi, N.; Sebastian, V. Comparative study of the structural and magnetic properties of alpha and beta phases of lithium ferrite nanoparticles synthesized by solution combustion method. J. Magn. Magn. Mater. 2018, 462, 136–143. [Google Scholar] [CrossRef]
- Kumar, P.; Juneja, J.; Singh, S.; Raina, K.; Prakash, C. Improved dielectric and magnetic properties in modified lithium-ferrites. Ceram. Int. 2015, 41, 3293–3297. [Google Scholar]
- Manova, E.; Kunev, B.; Paneva, D.; Mitov, I.; Petrov, L.; Estournès, C.; D’Orléan, C.; Rehspringer, J.-L.; Kurmoo, M. Mechano-synthesis, characterization, and magnetic properties of nanoparticles of cobalt ferrite, CoFe2O4. Chem. Mater. 2004, 16, 5689–5696. [Google Scholar] [CrossRef]
- Ferdosi, E.; Bahiraei, H.; Ghanbari, D. Investigation the photocatalytic activity of CoFe2O4/ZnO and CoFe2O4/ZnO/Ag nanocomposites for purification of dye pollutants. Sep. Purif. Technol. 2019, 211, 35–39. [Google Scholar] [CrossRef]
- Abedini, K.S.; Sadr, M.Q. Magnetic properties of cobalt ferrite synthesized by hydrothermal and Co-precipitation methods: A comparative study. J. Appl. Chem. Res. 2013, 7, 15–23. [Google Scholar]
- Ali, M.B.; El Maalam, K.; El Moussaoui, H.; Mounkachi, O.; Hamedoun, M.; Masrour, R.; Hlil, E.; Benyoussef, A. Effect of zinc concentration on the structural and magnetic properties of mixed Co–Zn ferrites nanoparticles synthesized by sol/gel method. J. Magn. Magn. Mater. 2016, 398, 20–25. [Google Scholar]
- Kumari, N.; Kour, S.; Singh, G.; Sharma, R.K. A Brief Review on Synthesis, Properties and Applications of Ferrites. In Proceedings of the 3rd International Conference on Condensed Matter & Applied Physics—AIP Conference Proceedings, Bikaner, India, 14–15 October 2020; p. 020164. [Google Scholar]
- Mazario, E.; Morales, M.; Galindo, R.; Herrasti, P.; Menendez, N. Influence of the temperature in the electrochemical synthesis of cobalt ferrites nanoparticles. J. Alloys Compd. 2012, 536, S222–S225. [Google Scholar] [CrossRef]
- Byun, M.; Wang, J.; Lin, Z. Massively ordered microstructures composed of magnetic nanoparticles. J. Phys. Condens. Matter 2009, 21, 264014. [Google Scholar] [CrossRef]
- Haneef, M.; Gul, I.H.; Hussain, M.; Hassan, I. Investigation of Magnetic and Dielectric Properties of Cobalt Cubic Spinel Ferrite Nanoparticles Synthesized by CTAB-Assisted Co-precipitation Method. J. Supercond. Nov. Magn. 2021, 34, 1467–1476. [Google Scholar] [CrossRef]
- Zaky, A.A.; Hawley, R. Dielectric Solids; Routledge & Kegan Paul Books: London, UK, 1970. [Google Scholar]
- Ateia, E.E.; Ateia, M.A.; Fayed, M.G.; El-Hout, S.; Mohamed, S.G.; Arman, M. Synthesis of nanocubic lithium cobalt ferrite toward high-performance lithium-ion battery. Appl. Phys. A 2022, 128, 483. [Google Scholar] [CrossRef]
- Rashad, M.; Mahmoud, S.M.; Abdel-Hamid, Z.; El-Sayed, H.; Shalan, A.E.; Khalifa, N.; Kandil, A. Structural, magnetic properties, and induction heating behavior studies of cobalt ferrite nanopowders synthesized using modified co-precipitation method. Part. Sci. Technol. 2018, 36, 172–177. [Google Scholar] [CrossRef]
- Hossain, M.S.; Alam, M.B.; Shahjahan, M.; Begum, M.H.A.; Hossain, M.M.; Islam, S.; Khatun, N.; Hossain, M.; Alam, M.S.; Al-Mamun, M. Synthesis, structural investigation, dielectric and magnetic properties of Zn2+-doped cobalt ferrite by the sol–gel technique. J. Adv. Dielectr. 2018, 8, 1850030. [Google Scholar] [CrossRef]
- Aziz, H.S.; Khan, R.A.; Shah, F.; Ismail, B.; Nisar, J.; Shah, S.M.; Rahim, A.; Khan, A.R. Improved electrical, dielectric and magnetic properties of Al-Sm co-doped NiFe2O4 spinel ferrites nanoparticles. Mater. Sci. Eng. B 2019, 243, 47–53. [Google Scholar] [CrossRef]
- Cao, L.; Wang, Z.; Ye, Z.; Zhang, Y.; Zhao, L.; Zeng, Y. Interface exchange coupling induced enhancements in coercivity and maximal magnetic energy product of BaFe12O19/Co3O4 nanocomposites. J. Alloys Compd. 2017, 715, 199–205. [Google Scholar] [CrossRef]
- Khan, I.; Saeed, K.; Khan, I. Nanoparticles: Properties, applications and toxicities. Arab. J. Chem. 2019, 12, 908–931. [Google Scholar] [CrossRef]
- Shao, L.; Sun, A.; Zhang, Y.; Yu, L.; Suo, N.; Zuo, Z. Microstructure, XPS and magnetic analysis of Al-doped nickel–manganese–cobalt ferrite. J. Mater. Sci. Mater. Electron. 2021, 32, 20474–20488. [Google Scholar] [CrossRef]
- Li, Y.; Li, K.; Li, M.; Ge, M. Zinc-doped ferrite nanoparticles as magnetic recyclable catalysts for scale-up glycolysis of poly (ethylene terephthalate) wastes. Adv. Powder Technol. 2022, 33, 103444. [Google Scholar] [CrossRef]
- Sanad, M.M.; Azab, A.; Taha, T. Introduced oxygen vacancies in cadmium ferrite anode materials via Zn2+ incorporation for high performance lithium-ion batteries. Mater. Sci. Semicond. Process. 2022, 143, 106567. [Google Scholar] [CrossRef]
- Shobana, M.; Park, H.; Choe, H. Effect of strontium substitution in cobalt ferrite: Structural and optical studies. Mater. Chem. Phys. 2021, 272, 124923. [Google Scholar] [CrossRef]
- Shi, B.; Wang, Y.; Ahmed, I.; Zhang, B. Catalytic degradation of refractory phenol sulfonic acid by facile, calcination-free cobalt ferrite nanoparticles. J. Environ. Chem. Eng. 2022, 10, 107616. [Google Scholar] [CrossRef]
- Bukhtiyarova, M.V.; Ivanova, A.S.; Slavinskaya, E.M.; Plyasova, L.M.; Rogov, V.A.; Kaichev, V.V.; Noskov, A.S. Catalytic combustion of methane on substituted strontium ferrites. Fuel 2011, 90, 1245–1256. [Google Scholar] [CrossRef]
- Wang, J.; Wang, S. Reactive species in advanced oxidation processes: Formation, identification and reaction mechanism. Chem. Eng. J. 2020, 401, 126158. [Google Scholar] [CrossRef]
- Wang, J.; Wang, S. Effect of inorganic anions on the performance of advanced oxidation processes for degradation of organic contaminants. Chem. Eng. J. 2021, 411, 128392. [Google Scholar] [CrossRef]
- Zhou, G.; Fu, Y.; Zhou, R.; Zhang, L.; Zhang, L.; Deng, J.; Liu, Y. Efficient degradation of organic contaminants by magnetic cobalt ferrite combined with peracetic acid. Process Saf. Environ. Prot. 2022, 160, 376–384. [Google Scholar] [CrossRef]
- Zhou, Z.; Zhang, Y.; Wang, Z.; Wei, W.; Tang, W.; Shi, J.; Xiong, R. Electronic structure studies of the spinel CoFe2O4 by X-ray photoelectron spectroscopy. Appl. Surf. Sci. 2008, 254, 6972–6975. [Google Scholar] [CrossRef]
- Dupin, J.-C.; Gonbeau, D.; Benqlilou-Moudden, H.; Vinatier, P.; Levasseur, A. XPS analysis of new lithium cobalt oxide thin-films before and after lithium deintercalation. Thin Solid Film. 2001, 384, 23–32. [Google Scholar] [CrossRef]
- Liu, P.; He, H.; Wei, G.; Liang, X.; Qi, F.; Tan, F.; Tan, W.; Zhu, J.; Zhu, R. Effect of Mn substitution on the promoted formaldehyde oxidation over spinel ferrite: Catalyst characterization, performance and reaction mechanism. Appl. Catal. B Environ. 2016, 182, 476–484. [Google Scholar] [CrossRef]
- Han, Z.J.; Tay, B.K.; Ha, P.C.; Sze, J.Y.; Chua, D.H. XPS studies on aluminum ions modified polyimide with the PIII technique. J. Appl. Phys. 2007, 101, 053301. [Google Scholar] [CrossRef]
- Salunkhe, A.; Khot, V.; Phadatare, M.R.; Thorat, N.; Joshi, R.; Yadav, H.; Pawar, S. Low temperature combustion synthesis and magnetostructural properties of Co–Mn nanoferrites. J. Magn. Magn. Mater. 2014, 352, 91–98. [Google Scholar] [CrossRef]
- Mazen, S.; Abu-Elsaad, N. Structural and some magnetic properties of manganese-substituted lithium ferrites. J. Magn. Magn. Mater. 2012, 324, 3366–3373. [Google Scholar] [CrossRef]
- Ismail, M.M.; Jaber, N.A. Structural analysis and magnetic properties of lithium-doped ni-zn ferrite nanoparticle. J. Supercond. Nov. Magn. 2018, 31, 1917–1923. [Google Scholar] [CrossRef]
- Somaiah, N.; Jayaraman, T.V.; Joy, P.; Das, D. Magnetic and magnetoelastic properties of Zn-doped cobalt-ferrites—CoFe2−xZnxO4 (x = 0, 0.1, 0.2, and 0.3). J. Magn. Magn. Mater. 2012, 324, 2286–2291. [Google Scholar] [CrossRef]
- Abd-Elbaky, H.; Rasly, M.; Deghadi, R.G.; Mohamed, G.G.; Rashad, M. Strong-base free synthesis enhancing the structural, magnetic and optical properties of Mn/Co and Zn/Co substituted cobalt ferrites. J. Mater. Res. Technol. 2022, 20, 905–915. [Google Scholar] [CrossRef]
- Feng, B.C.; Tegus, O.; Ochirkhyag, T.; Odkhuu, D.; Tsogbadrakh, N.; Sangaa, D.; Davaasambuu, J. Study of Structural and Magnetic Properties of Spinel Zn Doped Cobalt Ferrites. In Solid State Phenomena; Trans Tech Publications: Zurich, Switzerland, 2020; Volume 310, pp. 124–133. [Google Scholar]
- Li, X.; Liu, E.; Zhang, Z.; Xu, Z.; Xu, F. Solvothermal synthesis, characterization and magnetic properties of nearly superparamagnetic Zn-doped Fe3O4 nanoparticles. J. Mater. Sci. Mater. Electron. 2019, 30, 3177–3185. [Google Scholar] [CrossRef]
- Thankachan, R.M.; Cyriac, J.; Raneesh, B.; Kalarikkal, N.; Sanyal, D.; Nambissan, P. Cr3+-substitution induced structural reconfigurations in the nanocrystalline spinel compound ZnFe2O4 as revealed from X-ray diffraction, positron annihilation and Mössbauer spectroscopic studies. RSC Adv. 2015, 5, 64966–64975. [Google Scholar] [CrossRef]
- Amir, M.; Ünal, B.; Shirsath, S.E.; Geleri, M.; Sertkol, M.; Baykal, A. Polyol synthesis of Mn3+ substituted Fe3O4 nanoparticles: Cation distribution, structural and electrical properties. Superlattices Microstruct. 2015, 85, 747–760. [Google Scholar] [CrossRef]
- Fawzi, A.S.; Sheikh, A.; Mathe, V. Structural, dielectric properties and AC conductivity of Ni(1−x)ZnxFe2O4 spinel ferrites. J. Alloys Compd. 2010, 502, 231–237. [Google Scholar] [CrossRef]
- Liu, X.; Liu, J.; Zhang, S.; Nan, Z.; Shi, Q. Structural, magnetic, and thermodynamic evolutions of Zn-doped Fe3O4 nanoparticles synthesized using a one-step solvothermal method. J. Phys. Chem. C 2016, 120, 1328–1341. [Google Scholar] [CrossRef]
- Duvuru, H.B.; Alla, S.; Shaw, S.; Meena, S.S.; Gupta, N.; Prasad, B.V.; Kothawale, M.; Kumar, M.; Prasad, N. Magnetic and dielectric properties of Zn substituted cobalt oxide nanoparticles. Ceram. Int. 2019, 45, 16512–16520. [Google Scholar] [CrossRef]
- Rather, S.-U.; Bamufleh, H.S.; Alhumade, H. Structural, thermal, morphological, surface, chemical, and magnetic analysis of Al3+-doped nanostructured mixed-spinel cobalt ferrites. Ceram. Int. 2021, 47, 17361–17372. [Google Scholar] [CrossRef]
- Nadeem, K.; Shahid, M.; Mumtaz, M. Competing crystallite size and zinc concentration in silica coated cobalt ferrite nanoparticles. Prog. Nat. Sci. Mater. Int. 2014, 24, 199–204. [Google Scholar] [CrossRef]
- Kumar, L.; Kumar, P.; Kar, M. Cation distribution by Rietveld technique and magnetocrystalline anisotropy of Zn substituted nanocrystalline cobalt ferrite. J. Alloys Compd. 2013, 551, 72–81. [Google Scholar] [CrossRef]
- Ahmad, S.I. Nano cobalt ferrites: Doping, Structural, Low-temperature, and room temperature magnetic and dielectric properties–A comprehensive review. J. Magn. Magn. Mater. 2022, 562, 169840. [Google Scholar] [CrossRef]
- Liu, P.; Yao, Z.; Ng, V.M.H.; Zhou, J.; Kong, L.B.; Yue, K. Facile synthesis of ultrasmall Fe3O4 nanoparticles on MXenes for high microwave absorption performance. Compos. Part A Appl. Sci. Manuf. 2018, 115, 371–382. [Google Scholar] [CrossRef]
- Singh, S.; Kaur, A.; Kaur, P.; Singh, L. Unveiling the high-temperature dielectric relaxation and conduction mechanisms in sol-gel derived LaFeO3 modified Sodium Bismuth Titanate ceramics. J. Alloys Compd. 2023, 941, 169023. [Google Scholar] [CrossRef]
- Srinivasamurthy, K.; El-Denglawey, A.; Manjunatha, K.; Oliveira, M.; Longo, E.; Lázaro, S.; Ribeiro, R. Observation of dielectric dispersion and relaxation behavior in Ni2+-substituted cobalt ferrite nanoparticles. J. Mater. Chem. C 2022, 10, 3418–3428. [Google Scholar] [CrossRef]
- Bajaj, S.; Andhare, D.D.; Jadhav, S.A.; Shinde, S. Low temperature synthesis of in doped cobalt ferrite and investigations of structural, magnetic and dielectric properties. Solid State Commun. 2022, 360, 115016. [Google Scholar] [CrossRef]
- Murugesan, C.; Ugendar, K.; Okrasa, L.; Shen, J.; Chandrasekaran, G. Zinc substitution effect on the structural, spectroscopic and electrical properties of nanocrystalline MnFe2O4 spinel ferrite. Ceram. Int. 2021, 47, 1672–1685. [Google Scholar] [CrossRef]
- Asghar, G.; Anis-ur-Rehman, M. Structural, dielectric and magnetic properties of Cr–Zn doped strontium hexa-ferrites for high frequency applications. J. Alloys Compd. 2012, 526, 85–90. [Google Scholar] [CrossRef]
- Liu, P.; Yao, Z.; Zhou, J.; Yang, Z.; Kong, L.B. Small magnetic Co-doped NiZn ferrite/graphene nanocomposites and their dual-region microwave absorption performance. J. Mater. Chem. C 2016, 4, 9738–9749. [Google Scholar] [CrossRef]
- Farid, M.; Ahmad, I.; Aman, S.; Kanwal, M.; Murtaza, G.; Alia, I.; Ishfaq, M. SEM, FTIR and dielectric properties of cobalt substituted spinel ferrites. J. Ovonic Res. 2015, 11, 1–10. [Google Scholar]
- Asandulesa, M.; Hamciuc, C.; Pui, A.; Virlan, C.; Lisa, G.; Barzic, A.I.; Oprisan, B. Cobalt Ferrite/Polyetherimide Composites as Thermally Stable Materials for Electromagnetic Interference Shielding Uses. Int. J. Mol. Sci. 2023, 24, 999. [Google Scholar] [CrossRef] [PubMed]
- Asandulesa, M.; Kostromin, S.; Podshivalov, A.; Tameev, A.; Bronnikov, S. Relaxation processes in a polymer composite for bulk heterojunction: A dielectric spectroscopy study. Polymer 2020, 203, 122785. [Google Scholar] [CrossRef]
- Ahmad, B.; Ashiq, M.N.; Khan, M.S.; Osada, M.; Najam-Ul-Haq, M.; Ali, I. Elucidation of structure and conduction mechanism in Nd-Mn substituted Y-type strontium hexaferrites. J. Alloys Compd. 2017, 723, 9–16. [Google Scholar] [CrossRef]
- Aziz, H.S.; Rasheed, S.; Khan, R.A.; Rahim, A.; Nisar, J.; Shah, S.M.; Iqbal, F.; Khan, A.R. Evaluation of electrical, dielectric and magnetic characteristics of Al–La doped nickel spinel ferrites. RSC Adv. 2016, 6, 6589–6597. [Google Scholar] [CrossRef]
- Patil, K.; Phadke, S.; Mishra, A. Effect of D-Block Element Co2+ Substitution on Structural and Vibrational Properties of Spinel Ferrites. In Proceedings of the National Conference on Physics and Chemistry of Materials: NCPCM2020—AIP Conference Proceedings, Indore, India, 14–16 December 2020; p. 020015. [Google Scholar]
- Ciomaga, C.E.; Neagu, A.M.; Pop, M.V.; Airimioaei, M.; Tascu, S.; Schileo, G.; Galassi, C.; Mitoseriu, L. Ferroelectric and dielectric properties of ferrite-ferroelectric ceramic composites. J. Appl. Phys. 2013, 113, 074103. [Google Scholar] [CrossRef]






| Parameters | Li-Zn Content | |||||
|---|---|---|---|---|---|---|
| 0.0 | 0.1 | 0.2 | 0.3 | 0.4 | 0.5 | |
| Crystallite size (nm) (XRD) | 23 | 22 | 20 | 19 | 17 | 16 |
| Lattice constant (Å) | 8.335 | 8.337 | 8.339 | 8.410 | 8.430 | 8.500 |
| Cell volume (Å3) | 579.0 | 579.4 | 579.8 | 594.0 | 599.0 | 607.0 |
| X-ray density (g/cm3) | 5.20 | 5.10 | 5.02 | 4.82 | 4.69 | 4.47 |
| Parameters | Li-Zn Content | |||||
|---|---|---|---|---|---|---|
| 0.0 | 0.1 | 0.2 | 0.3 | 0.4 | 0.5 | |
| Dielectric constant (ε′) | 5.24 | 5.89 | 3.96 | 3.13 | 4.50 | 2.83 |
| Dielectric loss (ɛ″) | 0.34 | 2.52 | 0.09 | 0.49 | 0.15 | 0.12 |
| Ac conductivity, σAC (Ω-cm)−1 | 0.042 | 0.21 | 0.007 | 0.041 | 0.012 | 0.010 |
| Saturation Magnetization, Ms (A/m) | 34.0 | 42.4 | 56.21 | 61.0 | 56.45 | 41.7 |
| Remnant Magnetization, Mr (A/m) | 8.15 | 15.3 | 18.1 | 18.5 | 10.34 | 11.1 |
| Coercivity, Hc (103A/m) | 30 | 42 | 43 | 44 | 10 | 20 |
Disclaimer/Publisher’s Note: The statements, opinions and data contained in all publications are solely those of the individual author(s) and contributor(s) and not of MDPI and/or the editor(s). MDPI and/or the editor(s) disclaim responsibility for any injury to people or property resulting from any ideas, methods, instructions or products referred to in the content. |
© 2023 by the authors. Licensee MDPI, Basel, Switzerland. This article is an open access article distributed under the terms and conditions of the Creative Commons Attribution (CC BY) license (https://creativecommons.org/licenses/by/4.0/).
Share and Cite
Afzia, M.; Khan, R.A.; Ismail, B.; Zaki, M.E.A.; Althagafi, T.M.; Alanazi, A.A.; Khan, A.U. Correlation between Magnetic and Dielectric Response of CoFe2O4:Li1+/Zn2+ Nanopowders Having Improved Structural and Morphological Properties. Molecules 2023, 28, 2824. https://doi.org/10.3390/molecules28062824
Afzia M, Khan RA, Ismail B, Zaki MEA, Althagafi TM, Alanazi AA, Khan AU. Correlation between Magnetic and Dielectric Response of CoFe2O4:Li1+/Zn2+ Nanopowders Having Improved Structural and Morphological Properties. Molecules. 2023; 28(6):2824. https://doi.org/10.3390/molecules28062824
Chicago/Turabian StyleAfzia, Mahwish, Rafaqat Ali Khan, Bushra Ismail, Magdi E. A. Zaki, Talal M. Althagafi, Abdulaziz A. Alanazi, and Afaq Ullah Khan. 2023. "Correlation between Magnetic and Dielectric Response of CoFe2O4:Li1+/Zn2+ Nanopowders Having Improved Structural and Morphological Properties" Molecules 28, no. 6: 2824. https://doi.org/10.3390/molecules28062824
APA StyleAfzia, M., Khan, R. A., Ismail, B., Zaki, M. E. A., Althagafi, T. M., Alanazi, A. A., & Khan, A. U. (2023). Correlation between Magnetic and Dielectric Response of CoFe2O4:Li1+/Zn2+ Nanopowders Having Improved Structural and Morphological Properties. Molecules, 28(6), 2824. https://doi.org/10.3390/molecules28062824

