Design of Novel Phosphatidylinositol 3-Kinase Inhibitors for Non-Hodgkin’s Lymphoma: Molecular Docking, Molecular Dynamics, and Density Functional Theory Studies on Gold Nanoparticles
Abstract
1. Introduction
2. Materials and Methods
2.1. Protein Preparation
2.2. Receptor Grid Generation
2.3. Quantum Polarised Ligand Docking (QPLD)
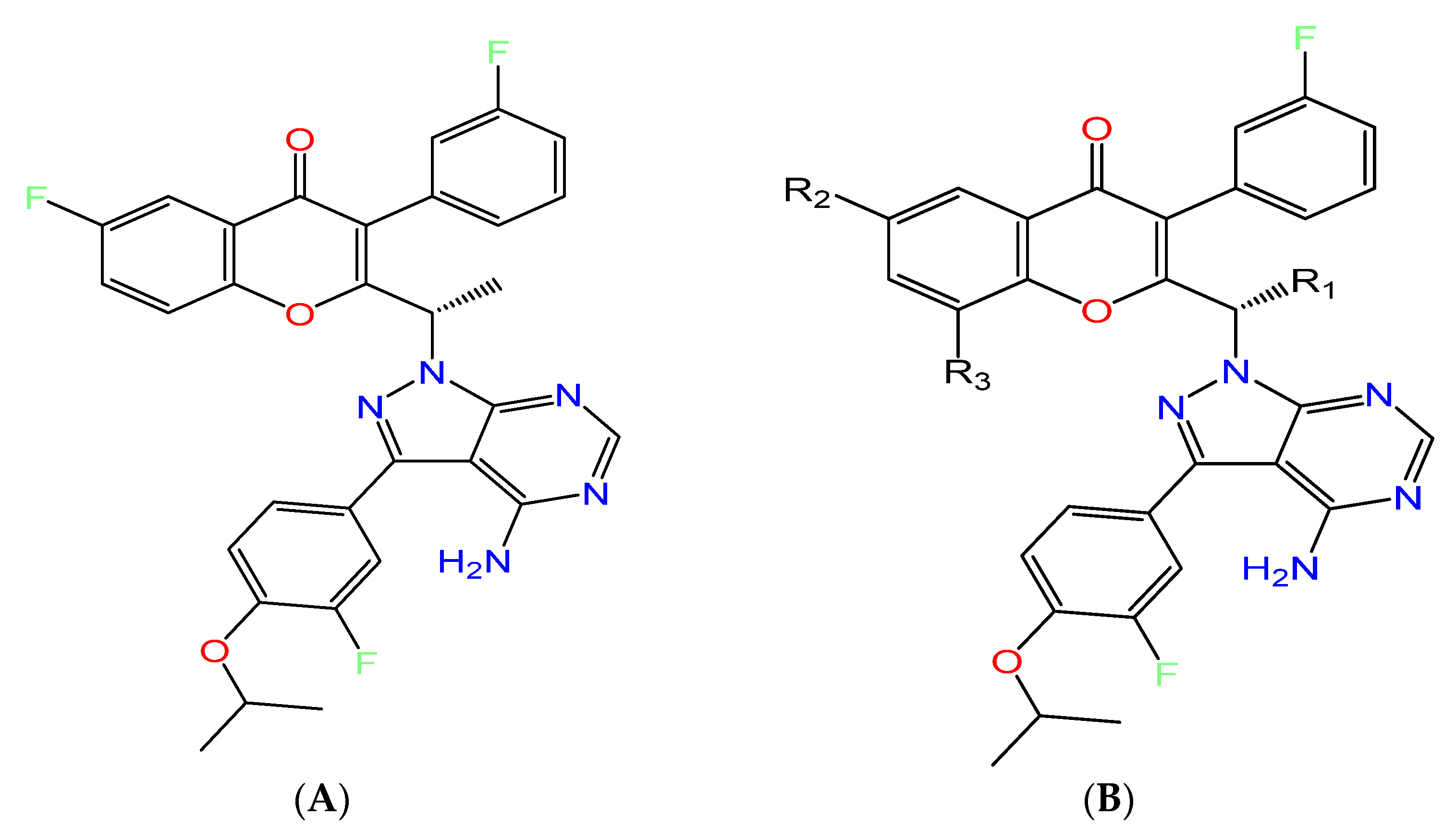
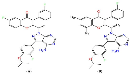
2.4. Analogues Design
2.5. Extra Precision Docking
2.6. Determination of ADMET Properties
2.7. MM-GBSA Calculations
2.8. Molecular Dynamics (MD)
2.9. DFT and Gold Nanoparticles
3. Results
3.1. Quantum Polarised Ligand Docking (QPLD) and Analogues Design
3.2. Extra Precision Docking and MM-GBSA Calculations
3.3. ADMET Analysis
3.4. In Silico Toxicity Prediction
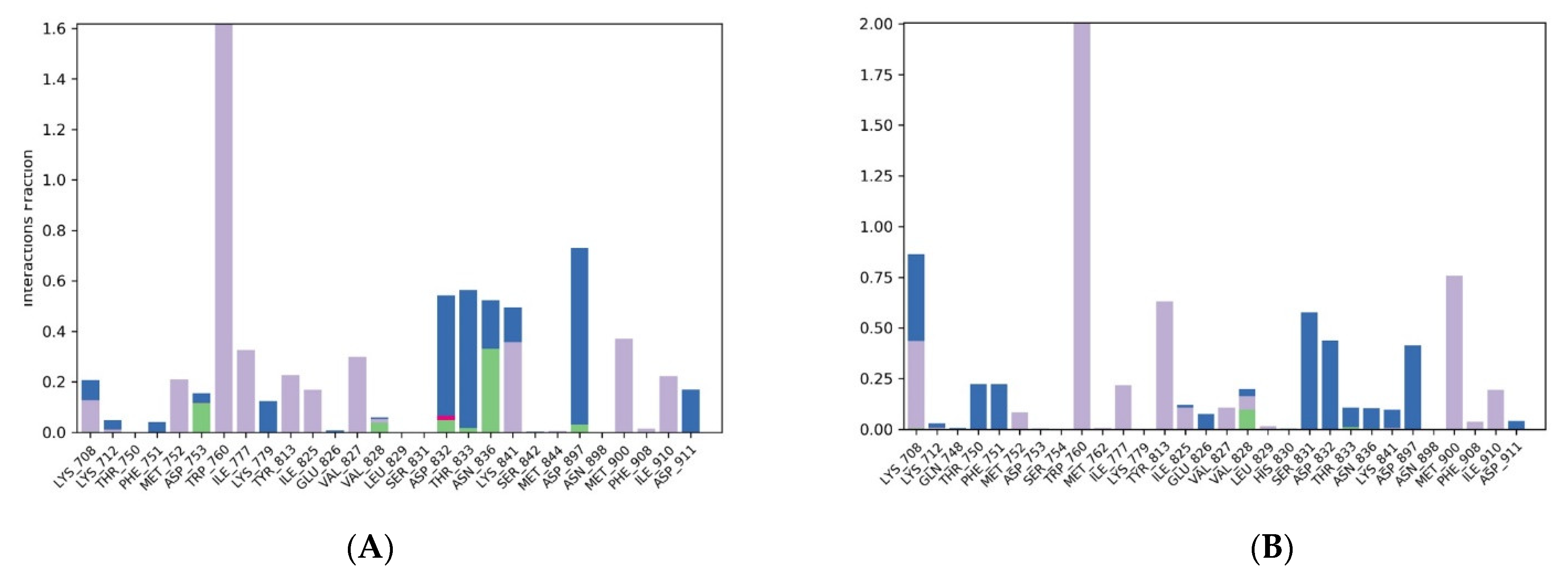
3.5. Molecular Dynamics (MD)
3.6. DFT Calculations on Gold Nanoparticles
4. Discussion
5. Conclusions
Supplementary Materials
Author Contributions
Funding
Institutional Review Board Statement
Informed Consent Statement
Data Availability Statement
Conflicts of Interest
References
- Singh, R.; Shaik, S.; Negi, B.S.; Rajguru, J.P.; Patil, P.B.; Parihar, A.S.; Sharma, U. Non-Hodgkin’s lymphoma: A review. J. Fam. Med. Prim. Care 2020, 9, 1834. [Google Scholar] [CrossRef]
- Binder, A.F.; Brody, J.D. Non-Hodgkin Lymphoma. Oncology 2021, 342–353. [Google Scholar] [CrossRef]
- Crisci, S.; Di Francia, R.; Mele, S.; Vitale, P.; Ronga, G.; De Filippi, R.; Berretta, M.; Rossi, P.; Pinto, A. Overview of Targeted Drugs for Mature B-Cell Non-hodgkin Lymphomas. Front. Oncol. 2019, 9, 443. [Google Scholar] [CrossRef] [PubMed]
- Ansell, S.M. Non-Hodgkin Lymphoma: Diagnosis and Treatment. Mayo Clin. Proc. 2015, 90, 1152–1163. [Google Scholar] [CrossRef] [PubMed]
- Zhang, M.; Jang, H.; Nussinov, R.; Nussinov, R. PI3K inhibitors: Review and new strategies. Chem. Sci. 2020, 11, 5855–5865. [Google Scholar] [CrossRef]
- Teng, Y.; Li, X.; Ren, S.; Cheng, Y.; Xi, K.; Shen, H.; Ma, W.; Luo, G.; Xiang, H. Discovery of novel quinazoline derivatives as potent PI3Kδ inhibitors with high selectivity. Eur. J. Med. Chem. 2020, 208, 112865. [Google Scholar] [CrossRef]
- Miller, M.S.; Thompson, P.E.; Gabelli, S.B. Structural Determinants of Isoform Selectivity in PI3K Inhibitors. Biomolecules 2019, 9, 82. [Google Scholar] [CrossRef] [PubMed]
- Liu, Y.Y.; Feng, X.Y.; Jia, W.Q.; Jing, Z.; Xu, W.R.; Cheng, X.C. Identification of novel PI3Kδ inhibitors by docking, ADMET prediction and molecular dynamics simulations. Comput. Biol. Chem. 2019, 78, 190–204. [Google Scholar] [CrossRef]
- Meng, D.; He, W.; Zhang, Y.; Liang, Z.; Zheng, J.; Zhang, X.; Zheng, X.; Zhan, P.; Chen, H.; Li, W.; et al. Development of PI3K inhibitors: Advances in clinical trials and new strategies (Review). Pharmacol. Res. 2021, 173, 105900. [Google Scholar] [CrossRef]
- Monga, N.; Nastoupil, L.; Garside, J.; Quigley, J.; Hudson, M.; O’Donovan, P.; Parisi, L.; Tapprich, C.; Thieblemont, C. Burden of illness of follicular lymphoma and marginal zone lymphoma. Ann. Hematol. 2019, 98, 175–183. [Google Scholar] [CrossRef]
- Denlinger, N.M.; Epperla, N.; William, B.M. Management of relapsed/refractory marginal zone lymphoma: Focus on ibrutinib. Cancer Manag. Res. 2018, 10, 615. [Google Scholar] [CrossRef]
- Sabbah, D.A.; Hajjo, R.; Bardaweel, S.K.; Zhong, H.A. Phosphatidylinositol 3-kinase (PI3K) inhibitors: A recent update on inhibitor design and clinical trials (2016–2020). Expert Opin. Ther. Pat. 2021, 31, 877–892. [Google Scholar] [CrossRef] [PubMed]
- Deng, C.; Lipstein, M.R.; Scotto, L.; Jirau Serrano, X.O.; Mangone, M.A.; Li, S.; Vendome, J.; Hao, Y.; Xu, X.; Deng, S.X.; et al. Silencing c-Myc translation as a therapeutic strategy through targeting PI3Kδ and CK1ε in hematological malignancies. Blood 2017, 129, 88–99. [Google Scholar] [CrossRef] [PubMed]
- Perry, M.W.D.; Abdulai, R.; Mogemark, M.; Petersen, J.; Thomas, M.J.; Valastro, B.; Westin Eriksson, A. Evolution of PI3Kγ and δ Inhibitors for Inflammatory and Autoimmune Diseases. J. Med. Chem. 2019, 62, 4783–4814. [Google Scholar] [CrossRef] [PubMed]
- Burris, H.A.; Flinn, I.W.; Patel, M.R.; Fenske, T.S.; Deng, C.; Brander, D.M.; Gutierrez, M.; Essell, J.H.; Kuhn, J.G.; Miskin, H.P.; et al. Umbralisib, a novel PI3Kδ and casein kinase-1ε inhibitor, in relapsed or refractory chronic lymphocytic leukaemia and lymphoma: An open-label, phase 1, dose-escalation, first-in-human study. Lancet Oncol. 2018, 19, 486–496. [Google Scholar] [CrossRef]
- Baig, M.H.; Ahmad, K.; Rabbani, G.; Danishuddin, M.; Choi, I. Computer Aided Drug Design and its Application to the Development of Potential Drugs for Neurodegenerative Disorders. Curr. Neuropharmacol. 2018, 16, 740–748. [Google Scholar] [CrossRef]
- Leelananda, S.P.; Lindert, S. Computational methods in drug discovery. Beilstein J. Org. Chem. 2016, 12, 2694–2718. [Google Scholar] [CrossRef]
- Chowdhury, S.M.; Hossain, M.N.; Rafe, M.R. In silico design and evaluation of novel 5-fluorouracil analogues as potential anticancer agents. Heliyon 2020, 6, e04978. [Google Scholar] [CrossRef]
- Barbey, C.; Bouchemal, N.; Retailleau, P.; Dupont, N.; Spadavecchia, J. Idarubicin-Gold Complex: From Crystal Growth to Gold Nanoparticles. ACS Omega 2021, 6, 1235–1245. [Google Scholar] [CrossRef]
- Hussein-Al-Ali, S.H.; Hussein, M.Z.; Bullo, S.; Arulselvan, P. Chlorambucil-Iron Oxide Nanoparticles as a Drug Delivery System for Leukemia Cancer Cells. Int. J. Nanomedicine 2021, 16, 6205–6216. [Google Scholar] [CrossRef]
- Sánchez-Coronilla, A.; Martín, E.I.; Fernández-de-Cordova, F.J.; Prado-Gotor, R.; Hidalgo, J. Theoretical study on the interactions between ibrutinib and gold nanoparticles for being used as drug delivery in the chronic lymphocytic leukemia. J. Mol. Liq. 2020, 316, 113878. [Google Scholar] [CrossRef]
- Somoza, J.R.; Koditek, D.; Villaseñor, A.G.; Novikov, N.; Wong, M.H.; Liclican, A.; Xing, W.; Lagpacan, L.; Wang, R.; Schultz, B.E.; et al. Structural, biochemical, and biophysical characterization of idelalisib binding to phosphoinositide 3-kinaseδ. J. Biol. Chem. 2015, 290, 8439–8446. [Google Scholar] [CrossRef]
- Lu, C.; Wu, C.; Ghoreishi, D.; Chen, W.; Wang, L.; Damm, W.; Ross, G.A.; Dahlgren, M.K.; Russell, E.; Von Bargen, C.D.; et al. OPLS4: Improving Force Field Accuracy on Challenging Regimes of Chemical Space. J. Chem. Theory Comput. 2021, 17, 4291–4300. [Google Scholar] [CrossRef] [PubMed]
- Bharadwaj, K.K.; Ahmad, I.; Pati, S.; Ghosh, A.; Sarkar, T.; Rabha, B.; Patel, H.; Baishya, D.; Edinur, H.A.; Abdul Kari, Z.; et al. Potent Bioactive Compounds From Seaweed Waste to Combat Cancer Through Bioinformatics Investigation. Front. Nutr. 2022, 9, 650. [Google Scholar] [CrossRef]
- Arodola, O.A.; Soliman, M.E.S. Quantum mechanics implementation in drug-design workflows: Does it really help? Drug Des. Devel. Ther. 2017, 11, 2551–2564. [Google Scholar] [CrossRef] [PubMed]
- Ligand Designer | Schrödinger. Available online: https://www.schrodinger.com/science-articles/ligand-designer (accessed on 5 February 2022).
- Konze, K.D.; Bos, P.H.; Dahlgren, M.K.; Leswing, K.; Tubert-Brohman, I.; Bortolato, A.; Robbason, B.; Abel, R.; Bhat, S. Reaction-based Enumeration, Active Learning, and Free Energy Calculations to Rapidly Explore Synthetically Tractable Chemical Space and Optimize Potency of Cyclin Dependent Kinase 2 Inhibitors. J. Chem. Inf. Model. 2019, 59, 3782–3793. [Google Scholar] [CrossRef]
- Friesner, R.A.; Murphy, R.B.; Repasky, M.P.; Frye, L.L.; Greenwood, J.R.; Halgren, T.A.; Sanschagrin, P.C.; Mainz, D.T. Extra Precision Glide: Docking and Scoring Incorporating a Model of Hydrophobic Enclosure for Protein−Ligand Complexes. J. Med. Chem. 2006, 49, 6177–6196. [Google Scholar] [CrossRef] [PubMed]
- Omer, S.E.; Ibrahim, T.M.; Krar, O.A.; Ali, A.M.; Makki, A.A.; Ibraheem, W.; Alzain, A.A. Drug repurposing for SARS-CoV-2 main protease: Molecular docking and molecular dynamics investigations. Biochem. Biophys. Rep. 2022, 29, 101225. Available online: https://pubmed.ncbi.nlm.nih.gov/35128086/ (accessed on 5 February 2022). [CrossRef]
- Osman, E.A.; Abdalla, M.A.; Abdelraheem, M.O.; Ali, M.F.; Osman, S.A.; Tanir, Y.M.; Abdelrahman, M.; Ibraheem, W.; Alzain, A.A. Design of novel coumarins as potent Mcl-1 inhibitors for cancer treatment guided by 3D-QSAR, molecular docking and molecular dynamics. Inform. Med. Unlocked 2021, 26, 100765. [Google Scholar] [CrossRef]
- Elbadwi, F.A.; Khairy, E.A.; Alsamani, F.O.; Mahadi, M.A.; Abdalrahman, S.E.; Alsharf, Z.; Ahmed, M.; Elsayed, I.; Ibraheem, W.; Alzain, A.A. Informatics in Medicine Unlocked Identification of novel transmembrane Protease Serine Type 2 drug candidates for COVID-19 using computational studies. Inform. Med. Unlocked 2021, 26, 100725. [Google Scholar] [CrossRef] [PubMed]
- Banerjee, P.; Eckert, A.O.; Schrey, A.K.; Preissner, R. ProTox-II: A webserver for the prediction of toxicity of chemicals. Nucleic Acids Res. 2018, 46, W257–W263. [Google Scholar] [CrossRef] [PubMed]
- Alzain, A.A.; Elbadwi, F.A.; Alsamani, F.O. Discovery of novel TMPRSS2 inhibitors for COVID-19 using in silico fragment-based drug design, molecular docking, molecular dynamics, and quantum mechanics studies. Inform. Med. Unlocked 2022, 29, 100870. [Google Scholar] [CrossRef]
- RAMÍREZ, David; CABALLERO, J. Is It Reliable to Take the Molecular Docking Top Scoring Position as the Best Solution without Considering Available Structural Data? Molecules 2018, 23, 1038. [Google Scholar] [CrossRef] [PubMed]
- Zhang, X.; Duan, Y.-T.; Wang, Y.; Zhao, X.-D.; Sun, Y.-M.; Lin, D.-Z.; Chen, Y.; Wang, Y.-X.; Zhou, Z.-W.; Liu, Y.-X.; et al. SAF-248, a novel PI3Kδ-selective inhibitor, potently suppresses the growth of diffuse large B-cell lymphoma. Acta Pharmacol. Sin. 2021, 43, 209–219. [Google Scholar] [CrossRef] [PubMed]
- Margulis, E.; Dagan-Wiener, A.; Ives, R.S.; Jaffari, S.; Siems, K.; Niv, M.Y. Intense bitterness of molecules: Machine learning for expediting drug discovery. Comput. Struct. Biotechnol. J. 2021, 19, 568–576. [Google Scholar] [CrossRef] [PubMed]
- Sheikh, I.N.; Elgehiny, A.; Ragoonanan, D.; Mahadeo, K.M.; Nieto, Y.; Khazal, S. Management of Aggressive Non-Hodgkin Lymphomas in the Pediatric, Adolescent, and Young Adult Population: An Adult vs. Pediatric Perspective. Cancers 2022, 14, 2912. [Google Scholar] [CrossRef] [PubMed]
- Al-Sha’er, M.A.; Al-Aqtash, R.A.; Taha, M.O. Discovery of New Phosphoinositide 3-kinase Delta (PI3Kδ) Inhibitors via Virtual Screening using Crystallography-derived Pharmacophore Modelling and QSAR Analysis. Med. Chem. 2019, 15, 588–601. [Google Scholar] [CrossRef]
- Dhillon, S.; Keam, S.J. Umbralisib: First Approval. Drugs 2021, 81, 857–866. [Google Scholar] [CrossRef]
- Schweitzer, J.; Hoffman, M.; Graf, S.A. The evidence to date on umbralisib for the treatment of refractory marginal zone lymphoma and follicular lymphoma. Expert Opin. Pharmacother. 2022, 23, 535–541. [Google Scholar] [CrossRef]
- Dangi, M.; Khichi, A.; Jakhar, R.; Chhillar, A.K. Growing Preferences towards Analog-based Drug Discovery. Curr. Pharm. Biotechnol. 2021, 22, 1030–1045. [Google Scholar] [CrossRef]
- Hasan, M.R.; Chowdhury, S.M.; Aziz, M.A.; Shahriar, A.; Ahmed, H.; Khan, M.A.; Mahmud, S.; Emran, T. Bin In silico analysis of ciprofloxacin analogs as inhibitors of DNA gyrase of Staphylococcus aureus. Inform. Med. Unlocked 2021, 26, 100748. [Google Scholar] [CrossRef]
- Zhu, J.; Ke, K.; Xu, L.; Jin, J. Theoretical studies on the selectivity mechanisms of PI3Kδ inhibition with marketed idelalisib and its derivatives by 3D-QSAR, molecular docking, and molecular dynamics simulation. J. Mol. Model. 2019, 25, 242. [Google Scholar] [CrossRef] [PubMed]
- Krause, G.; Hassenrück, F.; Hallek, M. Copanlisib for treatment of B-cell malignancies: The development of a PI3K inhibitor with considerable differences to idelalisib. Drug Des. Devel. Ther. 2018, 12, 2577–2590. [Google Scholar] [CrossRef]
- Sztandera, K.; Gorzkiewicz, M.; Klajnert-Maculewicz, B. Gold Nanoparticles in Cancer Treatment. Mol. Pharm. 2018, 16, 1–23. [Google Scholar] [CrossRef] [PubMed]
- Najafi, M.; Morsali, A.; Bozorgmehr, M.R. DFT study of SiO2 nanoparticles as a drug delivery system: Structural and mechanistic aspects. Struct. Chem. 2019, 30, 715–726. [Google Scholar] [CrossRef]










| Number | Docking Score Kcal/mol | XP Pose Rank | RMSD Å |
|---|---|---|---|
| Pose1 | −7.49 | 1 | 0.39 |
| Pose2 | −7.46 | 1 | 0.37 |
| Pose3 | −7.25 | 1 | 0.31 |
| Pose4 | −7.10 | 2 | 0.30 |
| Pose5 | −7.08 | 2 | 0.29 |
| Pose6 | −7.05 | 3 | 0.31 |
| Pose7 | −7.02 | 2 | 0.34 |
| Pose8 | −6.92 | 1 | 0.28 |
| Pose9 | −6.80 | 3 | 0.37 |
| Pose10 | −6.74 | 2 | 0.30 |
| Title | Docking Score (Kcal/mol) | XP GScore (Kcal/mol) | MM-GBSA dG Bind (K/mol) | Number of Interaction Bonds (Kcal/mol) | Interacting Residues with Distances (Å) | RMSD (Å) |
|---|---|---|---|---|---|---|
| Analogue 306 | −7.68 | −7.92 | −52.22 | 3Pi-Pi,2H bond | TRP760 (4.86, 5.34 5.25)-ASN836 (3.87)-SER831(2.29) | 0.19 |
| Analogue 268 | −8.02 | −8.02 | −49.70 | 2Pi-Pi, 3H bonds | SER831(3.62)-VAL828 (3.78) ASN836 (3.81) TRP760 (4.89,5.28) | 0.23 |
| Analogue 205 | −7.89 | −7.90 | −49.60 | 3Pi-Pi,2H bond | HIS830 (4.16)-VAL828 (2.77)-TRP760 (5.06, 3.97, 5.31) | 1.35 |
| Analogue 202 | −7.92 | −7.92 | −49.54 | 3Pi-Pi,1H bond | ASN836 (4.15)-TRP760 (3.94, 4.13, 5.37) | 0.43 |
| Analogue 262 | −8.42 | −8.42 | −48.51 | 3Pi-Pi,3H bond | VAL828 (3.79)-SER831 (4.08)-ASN836 (3.99)-TRP760 (5.36, 5.46, 5.06) | 0.20 |
| Analogue 101 | −8.24 | −8.24 | −48.14 | 3Pi-Pi,1H bond | TRP760 (5.32, 4.49, 4.32)-ASN836 (4.14) | 0.25 |
| Analogue 131 | −7.72 | −7.72 | −47.47 | 3Pi-Pi,1H bond | TRP760 (5.35, 4.95, 5.20)-ASN836 (2.97) | 0.56 |
| Analogue 223 | −8.10 | −8.16 | −47.34 | 2Pi-Pi,1H bond | TRP760 (5.33)-His830 (2.23)-HIS830 (4.79) | 0.55 |
| Analogue 201 | −7.83 | −7.83 | −46.75 | 3Pi-Pi,2H bond | TRP760 (5.29, 4.18, 4.33)-HIS830 (1.82)-ASN836 (4.09) | 1.46 |
| Analogue 293 | −7.66 | −7.66 | −45.39 | 3Pi-Pi,1H bond | TRP760 (5.26, 4.87, 5.19)-ASN836(3.86) | 0.15 |
| Analogue 188 | −7.81 | −7.81 | −44.59 | 1Pi-Pi,1H bond | TRY813 (4.48)-PHE751 (2.49) | 0.55 |
| Umbralisib | −7.58 | −7.58 | −44.44 | 3Pi-Pi,1 H bond | TRP760-ASN836 | 0.64 |
| Compound | QPlog Po/w a | QPlog S b | QPlog HERG c | QPPCaco d | QPlogBB e | HOA f | HD g | HA h | MW i | ROF j |
|---|---|---|---|---|---|---|---|---|---|---|
| Analogue 306 | 7.35 | −9.45 | −7.61 | 631.52 | −1.10 | 94.18 | 1 | 10 | 651.64 | 2 |
| Analogue 268 | 6.67 | −9.05 | −7.23 | 349.30 | −1.48 | 85.62 | 2 | 9 | 641.64 | 2 |
| Analogue 205 | 5.73 | −8.10 | −6.55 | 317.40 | −1.27 | 79.35 | 1 | 9 | 613.59 | 2 |
| Analogue 202 | 6.13 | −8.51 | −6.68 | 537.57 | −1.02 | 85.84 | 2 | 8 | 600.59 | 2 |
| Analogue 262 | 4.59 | −7.05 | −5.87 | 39.45 | −2.18 | 56.50 | 3 | 9 | 629.59 | 1 |
| Analogue 101 | 5.81 | −7.72 | −6.58 | 550.31 | −0.97 | 84.11 | 1 | 8 | 587.55 | 2 |
| Analogue 131 | 5.46 | −7.89 | −6.62 | 241.92 | −1.41 | 75.66 | 1 | 8 | 586.57 | 2 |
| Analogue 223 | 6.19 | −9.06 | −7.63 | 337.04 | −1.39 | 82.52 | 2 | 9 | 619.62 | 2 |
| Analogue 201 | 5.67 | −8.02 | −4.82 | 30.47 | −1.77 | 60.8 | 1 | 10 | 615.56 | 2 |
| Analogue 293 | 6.031 | −8.54 | −7.24 | 182.75 | −1.89 | 63.86 | 1 | 10 | 692.71 | 2 |
| Analogue 188 | 7.06 | −10.02 | −7.93 | 616.33 | −1.02 | 92.29 | 1 | 10 | 636.67 | 2 |
| Umbralisib | 6.50 | −8.58 | −6.84 | 822.55 | −0.72 | 91.30 | 1 | 8 | 571.55 | 2 |
| Compound | Oral Toxicity | Organ Toxicity | Toxicity Endpoints | ||||
|---|---|---|---|---|---|---|---|
| Toxicity Class | LD50 | Hepato Toxicity | Immuno Toxicity | Mutagenicity | Cyto Toxicity | Carcinogenicity | |
| Analogue 306 | IV | 1000 mg/kg | +0.55 | +0.90 | −0.52 | −0.61 | −0.54 |
| Analogue 268 | IV | 1000 mg/kg | +0.55 | +0.97 | −0.57 | −0.61 | −0.55 |
| Analogue 205 | IV | 1000 mg/kg | +0.62 | +0.96 | +0.52 | −0.68 | −0.54 |
| Analogue 202 | IV | 1000 mg/kg | +0.65 | +0.96 | +0.53 | −0.60 | −0.52 |
| Analogue 262 | IV | 1000 mg/kg | +0.59 | −0.82 | −0.55 | −0.72 | −0.56 |
| Analogue 101 | IV | 1000 mg/kg | +0.55 | +0.97 | −0.57 | −0.61 | −0.55 |
| Analogue 131 | IV | 1000 mg/kg | +0.65 | +0.93 | −0.51 | −0.64 | −0.50 |
| Analogue 223 | IV | 1000 mg/kg | +0.65 | +0.87 | +0.51 | −0.64 | −0.52 |
| Analogue 201 | IV | 1000 mg/kg | +0.62 | +0.95 | +0.53 | −0.69 | −0.54 |
| Analogue 293 | IV | 1000 mg/kg | +0.63 | +0.89 | −0.57 | −0.64 | +0.50 |
| Analogue 188 | IV | 1000 mg/kg | +0.63 | −0.51 | +0.53 | −0.66 | −0.55 |
| Umbralisib | IV | 1000 mg/kg | +0.64 | +0.74 | +0.51 | −0.64 | −0.52 |
| Complex | Interacting Atom | Complex EE + ZPE(Hartree) | Interaction Energy (Hartree) | Interaction Energy (Kcal/mol) |
|---|---|---|---|---|
| M1 | Nitrogen 70 | −2800.675858 | −0.039173 | −24.581 |
| M2 | Nitrogen 10 | −2800.675672 | −0.038987 | −24.464 |
| M3 | Nitrogen 11 | −2800.675687 | −0.039002 | −24.474 |
| M4 | Oxygen 6 | −2800.671692 | −0.035007 | −21.967 |
| M5 | Nitrogen 9 | −2800.675672 | −0.03897 | −24.454 |
| M6 | Nitrogen 7 | −2800.675702 | −0.039017 | −24.483 |
| M7 | Nitrogen 8 | −2800.675704 | −0.039019 | −24.484 |
| M8 | Oxygen 4 | −2800.675678 | −0.039 | −24.472 |
| M9 | Nitrogen 67 | −2900.675857 | −0.039172 | −24.580 |
| M10 | Oxygen 5 | −2800.683565 | −0.046887 | −29.422 |
Disclaimer/Publisher’s Note: The statements, opinions and data contained in all publications are solely those of the individual author(s) and contributor(s) and not of MDPI and/or the editor(s). MDPI and/or the editor(s) disclaim responsibility for any injury to people or property resulting from any ideas, methods, instructions or products referred to in the content. |
© 2023 by the authors. Licensee MDPI, Basel, Switzerland. This article is an open access article distributed under the terms and conditions of the Creative Commons Attribution (CC BY) license (https://creativecommons.org/licenses/by/4.0/).
Share and Cite
Ali, A.M.; Makki, A.A.; Ibraheem, W.; Abdelrahman, M.; Osman, W.; Sherif, A.E.; Ashour, A.; Ibrahim, S.R.M.; Ghazawi, K.F.; Samman, W.A.; et al. Design of Novel Phosphatidylinositol 3-Kinase Inhibitors for Non-Hodgkin’s Lymphoma: Molecular Docking, Molecular Dynamics, and Density Functional Theory Studies on Gold Nanoparticles. Molecules 2023, 28, 2289. https://doi.org/10.3390/molecules28052289
Ali AM, Makki AA, Ibraheem W, Abdelrahman M, Osman W, Sherif AE, Ashour A, Ibrahim SRM, Ghazawi KF, Samman WA, et al. Design of Novel Phosphatidylinositol 3-Kinase Inhibitors for Non-Hodgkin’s Lymphoma: Molecular Docking, Molecular Dynamics, and Density Functional Theory Studies on Gold Nanoparticles. Molecules. 2023; 28(5):2289. https://doi.org/10.3390/molecules28052289
Chicago/Turabian StyleAli, Abdalrahim M., Alaa A. Makki, Walaa Ibraheem, Mohammed Abdelrahman, Wadah Osman, Asmaa E. Sherif, Ahmed Ashour, Sabrin R. M. Ibrahim, Kholoud F. Ghazawi, Waad A. Samman, and et al. 2023. "Design of Novel Phosphatidylinositol 3-Kinase Inhibitors for Non-Hodgkin’s Lymphoma: Molecular Docking, Molecular Dynamics, and Density Functional Theory Studies on Gold Nanoparticles" Molecules 28, no. 5: 2289. https://doi.org/10.3390/molecules28052289
APA StyleAli, A. M., Makki, A. A., Ibraheem, W., Abdelrahman, M., Osman, W., Sherif, A. E., Ashour, A., Ibrahim, S. R. M., Ghazawi, K. F., Samman, W. A., & Alzain, A. A. (2023). Design of Novel Phosphatidylinositol 3-Kinase Inhibitors for Non-Hodgkin’s Lymphoma: Molecular Docking, Molecular Dynamics, and Density Functional Theory Studies on Gold Nanoparticles. Molecules, 28(5), 2289. https://doi.org/10.3390/molecules28052289

