A Stability-Indicating Assay for Tetrahydrocurcumin-Diglutaric Acid and Its Applications to Evaluate Bioaccessibility in an In Vitro Digestive Model
Abstract
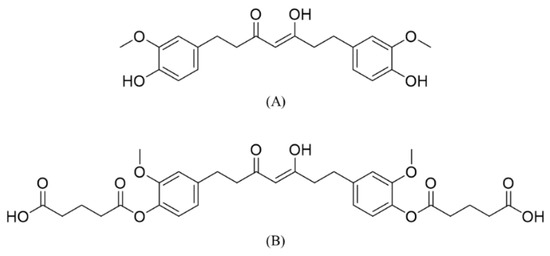
:1. Introduction
2. Results and Discussion
2.1. Method Development
2.2. Method Validation
2.2.1. System Suitability
2.2.2. Specificity and Forced Degradation Studies
2.2.3. Linearity and Range
2.2.4. Limit of Detection (LOD) and Limit of Quantification (LOQ)
2.2.5. Accuracy and Precision
2.2.6. Robustness
2.3. In Vitro Digestion
3. Materials and Methods
3.1. Chemicals and Reagents
3.2. Instrumentations and Conditions
3.3. Preparation of Standard and System Suitability Solutions
3.4. Forced Degradation Studies
3.4.1. Procedure for Acid Hydrolysis
3.4.2. Procedure for Basic Hydrolysis
3.4.3. Procedure for Moisture Hydrolysis
3.4.4. Procedure for Oxidative Degradation
3.4.5. Procedure for Thermal Degradation
3.4.6. Procedure for Photolysis
3.5. Method Validation
3.5.1. System Suitability
3.5.2. Specificity
3.5.3. Linearity and Range
3.5.4. Limit of Detection (LOD) and Limit of Quantitation (LOQ)
3.5.5. Accuracy
3.5.6. Precision
3.5.7. Robustness
3.6. In Vitro Digestion
4. Conclusions
Supplementary Materials
Author Contributions
Funding
Institutional Review Board Statement
Informed Consent Statement
Data Availability Statement
Acknowledgments
Conflicts of Interest
Sample Availability
References
- Bangphumi, K.; Kittiviriyakul, C.; Towiwat, P.; Rojsitthisak, P.; Khemawoot, P. Pharmacokinetics of Curcumin Diethyl Disuccinate, a Prodrug of Curcumin, in Wistar Rats. Eur. J. Drug Metab. Pharmacokinet. 2016, 41, 777–785. [Google Scholar] [CrossRef] [PubMed]
- Wichitnithad, W.; Nimmannit, U.; Wacharasindhu, S.; Rojsitthisak, P. Synthesis, characterization and biological evaluation of succinate prodrugs of curcuminoids for colon cancer treatment. Molecules 2011, 16, 1888–1900. [Google Scholar] [CrossRef] [PubMed]
- Bhunchu, S.; Muangnoi, C.; Rojsitthisak, P.; Rojsitthisak, P. Curcumin diethyl disuccinate encapsulated in chitosan/alginate nanoparticles for improvement of its in vitro cytotoxicity against MDA-MB-231 human breast cancer cells. Pharmazie 2016, 71, 691–700. [Google Scholar] [PubMed]
- Ratnatilaka Na Bhuket, P.; El-Magboub, A.; Haworth, I.S.; Rojsitthisak, P. Enhancement of curcumin bioavailability via the prodrug approach: Challenges and prospects. Eur. J. Drug Metab. Pharmacokinet. 2017, 42, 341–353. [Google Scholar] [CrossRef] [PubMed]
- Ratnatilaka Na Bhuket, P.; Wichitnithad, W.; Sudtanon, O.; Rojsitthisak, P. A stability-indicating UPLC method for the determination of curcumin diethyl disuccinate, an ester prodrug of curcumin, in raw materials. Heliyon 2020, 6, e04561. [Google Scholar] [CrossRef] [PubMed]
- Muangnoi, C.; Jithavech, P.; Ratnatilaka Na Bhuket, P.; Supasena, W.; Wichitnithad, W.; Towiwat, P.; Niwattisaiwong, N.; Haworth, I.S.; Rojsitthisak, P. A curcumin-diglutaric acid conjugated prodrug with improved water solubility and antinociceptive properties compared to curcumin. Biosci. Biotechnol. Biochem. 2018, 82, 1301–1308. [Google Scholar] [CrossRef] [PubMed]
- Yuyun, Y.; Ratnatilaka Na Bhuket, P.; Supasena, W.; Suwattananuruk, P.; Praengam, K.; Vajragupta, O.; Muangnoi, C.; Rojsitthisak, P. A novel curcumin-mycophenolic acid conjugate inhibited hyperproliferation of tumor necrosis factor-alpha-induced human keratinocyte cells. Pharmaceutics 2021, 13, 956. [Google Scholar] [CrossRef] [PubMed]
- Luckanagul, J.A.; Ratnatilaka Na Bhuket, P.; Muangnoi, C.; Rojsitthisak, P.; Wang, Q.; Rojsitthisak, P. Self-assembled thermoresponsive nanogel from grafted hyaluronic acid as a biocompatible delivery platform for curcumin with enhanced drug loading and biological activities. Polymers 2021, 13, 194. [Google Scholar] [CrossRef] [PubMed]
- Osawa, T.; Sugiyama, Y.; Inayoshi, M.; Kawakishi, S. Antioxidative activity of tetrahydrocurcuminoids. Biosci. Biotechnol. Biochem. 1995, 59, 1609–1612. [Google Scholar] [CrossRef] [PubMed]
- Prabhu, R.P.; Hegde, K.; Shabaraya, A.R.; Rao, M.N.A. Scavenging potential of reactive oxygen species by tetra-hydrocurcumin. J. Appl. Pharm. Sci. 2011, 1, 114–118. [Google Scholar]
- Pan, M.H.; Huang, T.M.; Lin, J.K. Biotransformation of curcumin through reduction and glucuronidation in mice. Drug Metab. Dispos. 1999, 27, 486–494. [Google Scholar] [PubMed]
- Pandey, A.; Chaturvedi, M.; Mishra, S.; Kumar, P.; Somvanshi, P.; Chaturvedi, R. Reductive metabolites of curcumin and their therapeutic effects. Heliyon 2020, 6, e05469. [Google Scholar] [CrossRef] [PubMed]
- Aggarwal, B.B.; Deb, L.; Prasad, S. Curcumin differs from tetrahydrocurcumin for molecular targets, signaling pathways and cellular responses. Molecules 2014, 20, 185–205. [Google Scholar] [CrossRef] [PubMed]
- Zhang, Z.B.; Luo, D.D.; Xie, J.H.; Xian, Y.F.; Lai, Z.Q.; Liu, Y.H.; Liu, W.H.; Chen, J.N.; Lai, X.P.; Lin, Z.X.; et al. Curcumin’s metabolites, tetrahydrocurcumin and octahydrocurcumin, possess superior anti-inflammatory effects in vivo through suppression of TAK1-NF-κB pathway. Front. Pharmacol. 2018, 9, 1181. [Google Scholar] [CrossRef]
- Lai, C.S.; Ho, C.T.; Pan, M.H. The cancer chemopreventive and therapeutic potential of tetrahydrocurcumin. Biomolecules 2020, 10, 831. [Google Scholar] [CrossRef]
- Luo, D.D.; Chen, J.F.; Liu, J.J.; Xie, J.H.; Zhang, Z.B.; Gu, J.Y.; Zhuo, J.Y.; Huang, S.; Su, Z.R.; Sun, Z.H. Tetrahydrocurcumin and octahydrocurcumin, the primary and final hydrogenated metabolites of curcumin, possess superior hepatic-protective effect against acetaminophen-induced liver injury: Role of CYP2E1 and Keap1-Nrf2 pathway. Food Chem. Toxicol. 2019, 123, 349–362. [Google Scholar] [CrossRef]
- Pari, L.; Amali, D.R. Protective role of tetrahydrocurcumin (THC) an active principle of turmeric on chloroquine induced hepatotoxicity in rats. J. Pharm. Pharm. Sci. 2005, 8, 115–123. [Google Scholar]
- Pari, L.; Murugan, P. Protective role of tetrahydrocurcumin against erythromycin estolate-induced hepatotoxicity. Pharmacol. Res. 2004, 49, 481–486. [Google Scholar] [CrossRef]
- Ozkan, G.; Kostka, T.; Esatbeyoglu, T.; Capanoglu, E. Effects of lipid-based encapsulation on the bioaccessibility and bioavailability of phenolic compounds. Molecules 2020, 25, 5545. [Google Scholar] [CrossRef]
- Tang, X.; Zhang, M.; Zhang, H.; Pan, Y.; Dong, Q.; Xin, Y.; Ho, C.T.; Huang, Q. Evaluation of the bioaccessibility of tetrahydrocurcumin-hyaluronic acid conjugate using in vitro and ex vivo models. Int. J. Biol. Macromol. 2021, 182, 1322–1330. [Google Scholar] [CrossRef]
- Jongjitphisut, N.; Phumsuay, R.; Thitikornpong, W.; Rashatasakhorn, P.; Muangnoi, C.; Vajragupta, O.; Rojsithisak, P. Synthesis, physicochemical properties, and protective effects of a novel water-soluble tetrahydrocurcumin-diglutaric acid prodrug on ethanol-induced toxicity in HepG2 cells. J. Pharm. Investig. 2022, 52, 477–487. [Google Scholar] [CrossRef]
- Yu, W.; Wen, D.; Cai, D.; Zheng, J.; Gan, H.; Jiang, F.; Liu, X.; Lao, B.; Yu, W.; Guan, Y.; et al. Simultaneous determination of curcumin, tetrahydrocurcumin, quercetin, and paeoniflorin by UHPLC-MS/MS in rat plasma and its application to a pharmacokinetic study. J. Pharm. Biomed. Anal. 2019, 172, 58–66. [Google Scholar] [CrossRef] [PubMed]
- Heath, D.D.; Pruitt, M.A.; Brenner, D.E.; Begum, A.N.; Frautschy, S.A.; Rock, C.L. Tetrahydrocurcumin in plasma and urine: Quantitation by high performance liquid chromatography. J. Chromatogr. B Analyt. Technol. Biomed. Life Sci. 2005, 824, 206–212. [Google Scholar] [CrossRef] [PubMed]
- Trivedi, M.K.; Panda, P.; Sethi, K.K.; Gangwar, M.; Mondal, S.C.; Jana, S. Solid and liquid state characterization of tetrahydrocurcumin using XRPD, FT-IR, DSC, TGA, LC-MS, GC-MS, and NMR and its biological activities. J. Pharm. Anal. 2020, 10, 334–345. [Google Scholar] [CrossRef]
- Liu, A.; Lou, H.; Zhao, L.; Fan, P. Validated LC/MS/MS assay for curcumin and tetrahydrocurcumin in rat plasma and application to pharmacokinetic study of phospholipid complex of curcumin. J. Pharm. Biomed. Anal. 2006, 40, 720–727. [Google Scholar] [CrossRef] [PubMed]
- Rauf, M.A.; Hisaindee, S.; Saleh, N. Spectroscopic studies of keto-enol tautomeric equilibrium of azo dyes. RSC Adv. 2015, 5, 18097–18110. [Google Scholar] [CrossRef]
- Rege, S.A.; Arya, M.; Momin, S.A. Structure activity relationship of tautomers of curcumin: A review. Ukr. Food J. 2019, 8, 45–60. [Google Scholar] [CrossRef]
- D’Souza, A.A.; Devarajan, P.V. Rapid and simultaneous HPLC analysis of curcumin and its metabolite tetrahydrocurcumin from plasma and liver homogenates. J. Liquid Chromatogr. Relat. Technol. 2013, 36, 1788–1801. [Google Scholar] [CrossRef]
- Raut, R.; Shaji, J. HPLC method validation for quantification of tetrahydrocurcumin in bulk drug and formulation. Future J. Pharm. Sci. 2021, 7, 42. [Google Scholar] [CrossRef]
- Limcharoen, T.; Dasuni Wasana, P.W.; Hasriadi; Muangnoi, C.; Vajragupta, O.; Rojsitthisak, P.; Towiwat, P. Curcumin Diglutaric Acid, a Prodrug of Curcumin Reduces Pain Hypersensitivity in Chronic Constriction Injury of Sciatic Nerve Induced-Neuropathy in Mice. Pharmaceuticals 2020, 13, 212. [Google Scholar] [CrossRef]
- ICH Steering Committee. International Conference on Harmonization (ICH) of Technical Requirements for Registration of Pharmaceuticals for Human Use. Q1A: Stability Testing of New Drug Substances and Products; ICH: Geneva, Switzerland, 2003. [Google Scholar]
- ICH Steering Committee. International Conference on Harmonization (ICH) of Technical Requirements for Registration of Pharmaceuticals for Human Use, Guideline Q1B: Stability testing: Photostability Testing of New Drug Substances and Products; ICH: Geneva, Switzerland, 1996. [Google Scholar]
- ICH Steering Committee. International Conference on Harmonization (ICH) of Technical Requirements for Registration of Pharmaceuticals for Human Use. Q2(R1): Validation of Analytical Procedures: Text and Methodology; ICH: Geneva, Switzerland, 2005. [Google Scholar]
- Zhou, F.; Huang, W.; Li, M.; Zhong, Y.; Wang, M.; Lu, B. Bioaccessibility and Absorption Mechanism of Phenylethanoid Glycosides Using Simulated Digestion/Caco-2 Intestinal Cell Models. J. Agric. Food Chem. 2018, 66, 4630–4637. [Google Scholar] [CrossRef] [PubMed]
- Wang, L.; Zhao, X.; Yang, F.; Wu, W.; Liu, Y.; Wang, L.; Wang, L.; Wang, Z. Enhanced bioaccessibility in vitro and bioavailability of Ginkgo biloba extract nanoparticles prepared by liquid anti-solvent precipitation. Int. J. Food Sci. Technol. 2019, 54, 2266–2276. [Google Scholar] [CrossRef]




| Injection No. | Retention Time (min) | Peak Response (sum) | Tailing Factor | Theoretical Plates | Resolution | ||||
|---|---|---|---|---|---|---|---|---|---|
| Keto Form | Enol Form | Keto Form | Enol Form | Keto Form | Enol Form | Keto Form | Enol Form | ||
| 1 | 1.812 | 4.839 | 55,937 | 1.271 | 1.012 | 2192 | 5462 | 2.41 | 4.41 |
| 2 | 1.803 | 4.816 | 56,079 | 1.304 | 1.027 | 2156 | 5576 | 2.42 | 4.45 |
| 3 | 1.798 | 4.809 | 55,885 | 1.319 | 1.028 | 2234 | 5711 | 2.42 | 4.42 |
| 4 | 1.806 | 4.824 | 55,945 | 1.329 | 1.037 | 2218 | 5679 | 2.44 | 4.48 |
| 5 | 1.803 | 4.822 | 55,427 | 1.294 | 1.043 | 2146 | 5611 | 2.40 | 4.46 |
| Mean | 1.804 | 4.822 | 55,855 | 1.303 | 1.029 | 2189 | 5608 | 2.42 | 4.44 |
| %CV | 0.28 | 0.23 | 0.45 | - | - | - | - | - | - |
| Treatment | Peak Purity Index (Keto) | Peak Purity Index (Enol) | Single Point Threshold |
|---|---|---|---|
| Control (untreated) | 0.999999 | 0.999999 | 0.999787 |
| Acid hydrolysis (1.0 N HCl) at 80 °C for 6 h | 0.999999 | 0.999999 | 0.999703 |
| Basic hydrolysis (0.1 N NaOH) at room temperature for 3 h | 1.000000 | 1.000000 | 0.998026 |
| Moisture hydrolysis at 80 °C for 6 h | 1.000000 | 0.999999 | 0.998911 |
| Oxidative stress (3% H2O2) at 80 °C 3 h | 0.999999 | 0.999999 | 0.998222 |
| Thermal degradation at 80 °C for 8 h | 0.999999 | 0.999998 | 0.998944 |
| Photolysis in a solid state, 1.2 million lux h for 5 d | 1.000000 | 1.000000 | 0.999067 |
| Photolysis in solution, 1.2 million lux h for 5 d | 1.000000 | 1.000000 | 0.999407 |
| Compound | Nominal Conc (μg/mL) | Back-Calculated Concentration (μg/mL) | Mean Back-Calculated Concentration (μg/mL) ± SD | %RE | %CV | ||
|---|---|---|---|---|---|---|---|
| Day 1 | Day 2 | Day 3 | |||||
| TDG | 0.40 | 0.39 | 0.38 | 0.37 | 0.38 + 0.01 | −5.00 | 2.63 |
| 1.00 | 1.00 | 1.01 | 0.99 | 1.00 + 0.01 | 0.00 | 1.00 | |
| 2.00 | 1.94 | 2.00 | 1.99 | 1.98 + 0.03 | −1.17 | 1.63 | |
| 4.00 | 3.91 | 3.97 | 4.05 | 3.98 + 0.07 | −0.58 | 1.77 | |
| 6.00 | 6.02 | 6.01 | 6.20 | 6.08 + 0.11 | 1.28 | 1.76 | |
| 8.00 | 8.00 | 7.83 | 8.01 | 7.95 + 0.10 | −0.67 | 1.27 | |
| 10.00 | 9.82 | 9.85 | 10.18 | 9.95 + 0.20 | −0.50 | 2.01 | |
| 12.00 | 11.84 | 12.04 | 11.99 | 11.96 + 0.10 | −0.36 | 0.87 | |
| r2 | 0.9998 | 0.9997 | 0.9996 | ||||
| Fcal | 44,580.27635 | ||||||
| Ftable | 7.0732 × 10−38 | ||||||
| p-value | Slope | 7.0732 × 10−38 | |||||
| y-intercept | 0.9999 | ||||||
| Nominal Conc. (µg/mL) | Intra-Day (n = 3) | Inter-Day (n = 9) | ||||||
|---|---|---|---|---|---|---|---|---|
| Added Conc. (µg/mL) | Found Conc. (µg/mL) | %Recovery | %CV | Added Conc. (µg/mL) | Found Conc. (µg/mL) | %Recovery | %CV | |
| 0.4 | 0.40 | 0.41 ± 0.01 | 101.8 | 2.62 | 0.40 | 0.39 ± 0.01 | 98.6 | 3.32 |
| 8.0 | 7.99 | 8.07 ± 0.01 | 101.0 | 0.06 | 7.99 | 8.02 ± 0.02 | 100.4 | 0.30 |
| 10.0 | 9.99 | 10.07 ± 0.05 | 100.8 | 0.52 | 9.99 | 10.08 ± 0.02 | 100.9 | 0.15 |
| 12.0 | 11.99 | 12.16 ± 0.05 | 101.5 | 0.35 | 11.99 | 11.94 ± 0.14 | 99.6 | 1.14 |
| Chromatographic Parameters | Data Type | TDG Standard Solution | ||||||
|---|---|---|---|---|---|---|---|---|
| Retention Time | Peak Response | Tailing | Theoretical Plate | |||||
| Keto Form | Enol Form | Keto Form | Enol Form | Keto Form | Enol Form | |||
| Flow rate | ||||||||
| 0.9 mL/min | AVG | 2.008 | 5.33 | 53,192 | 1.34 | 1.04 | 4134 | 7666 |
| %CV | 0.17 | 0.06 | 0.48 | - | - | - | - | |
| 1.0 mL/min | AVG | 1.821 | 4.83 | 50,355 | 1.34 | 1.05 | 3886 | 7422 |
| %CV | 0.30 | 0.17 | 0.30 | - | - | - | - | |
| 1.1 mL/min | AVG | 1.667 | 4.44 | 47860 | 1.34 | 1.04 | 3717 | 7091 |
| %CV | 0.24 | 0.13 | 0.42 | - | - | - | - | |
| Column temperature | ||||||||
| 33 °C | AVG | 1.879 | 5.03 | 53,148 | 1.32 | 1.05 | 3957 | 7499 |
| %CV | 0.19 | 0.17 | 0.25 | - | - | - | - | |
| 35 °C | AVG | 1.821 | 4.83 | 50,355 | 1.34 | 1.05 | 3886 | 7422 |
| %CV | 0.30 | 0.17 | 0.30 | - | - | - | - | |
| 37 °C | AVG | 1.786 | 4.72 | 47,082 | 1.36 | 1.04 | 3925 | 7433 |
| %CV | 0.20 | 0.08 | 0.52 | - | - | - | - | |
| Formic acid concentration | ||||||||
| 0.9% | AVG | 1.811 | 4.78 | 50,695 | 1.31 | 1.03 | 4172 | 7923 |
| %CV | 0.16 | 0.07 | 0.28 | - | - | - | - | |
| 1.0% | AVG | 1.821 | 4.83 | 50,355 | 1.34 | 1.05 | 3886 | 7422 |
| %CV | 0.30 | 0.17 | 0.30 | - | - | - | - | |
| 1.1% | AVG | 1.875 | 5.05 | 49,481 | 1.34 | 1.03 | 4253 | 7960 |
| %CV | 0.14 | 0.07 | 0.12 | - | - | - | - | |
Disclaimer/Publisher’s Note: The statements, opinions and data contained in all publications are solely those of the individual author(s) and contributor(s) and not of MDPI and/or the editor(s). MDPI and/or the editor(s) disclaim responsibility for any injury to people or property resulting from any ideas, methods, instructions or products referred to in the content. |
© 2023 by the authors. Licensee MDPI, Basel, Switzerland. This article is an open access article distributed under the terms and conditions of the Creative Commons Attribution (CC BY) license (https://creativecommons.org/licenses/by/4.0/).
Share and Cite
Jongjitphisut, N.; Thitikornpong, W.; Wichitnithad, W.; Thanusuwannasak, T.; Vajragupta, O.; Rojsitthisak, P. A Stability-Indicating Assay for Tetrahydrocurcumin-Diglutaric Acid and Its Applications to Evaluate Bioaccessibility in an In Vitro Digestive Model. Molecules 2023, 28, 1678. https://doi.org/10.3390/molecules28041678
Jongjitphisut N, Thitikornpong W, Wichitnithad W, Thanusuwannasak T, Vajragupta O, Rojsitthisak P. A Stability-Indicating Assay for Tetrahydrocurcumin-Diglutaric Acid and Its Applications to Evaluate Bioaccessibility in an In Vitro Digestive Model. Molecules. 2023; 28(4):1678. https://doi.org/10.3390/molecules28041678
Chicago/Turabian StyleJongjitphisut, Nattapong, Worathat Thitikornpong, Wisut Wichitnithad, Thanundorn Thanusuwannasak, Opa Vajragupta, and Pornchai Rojsitthisak. 2023. "A Stability-Indicating Assay for Tetrahydrocurcumin-Diglutaric Acid and Its Applications to Evaluate Bioaccessibility in an In Vitro Digestive Model" Molecules 28, no. 4: 1678. https://doi.org/10.3390/molecules28041678
APA StyleJongjitphisut, N., Thitikornpong, W., Wichitnithad, W., Thanusuwannasak, T., Vajragupta, O., & Rojsitthisak, P. (2023). A Stability-Indicating Assay for Tetrahydrocurcumin-Diglutaric Acid and Its Applications to Evaluate Bioaccessibility in an In Vitro Digestive Model. Molecules, 28(4), 1678. https://doi.org/10.3390/molecules28041678

