A Concise Profile of Gallic Acid—From Its Natural Sources through Biological Properties and Chemical Methods of Determination
Abstract
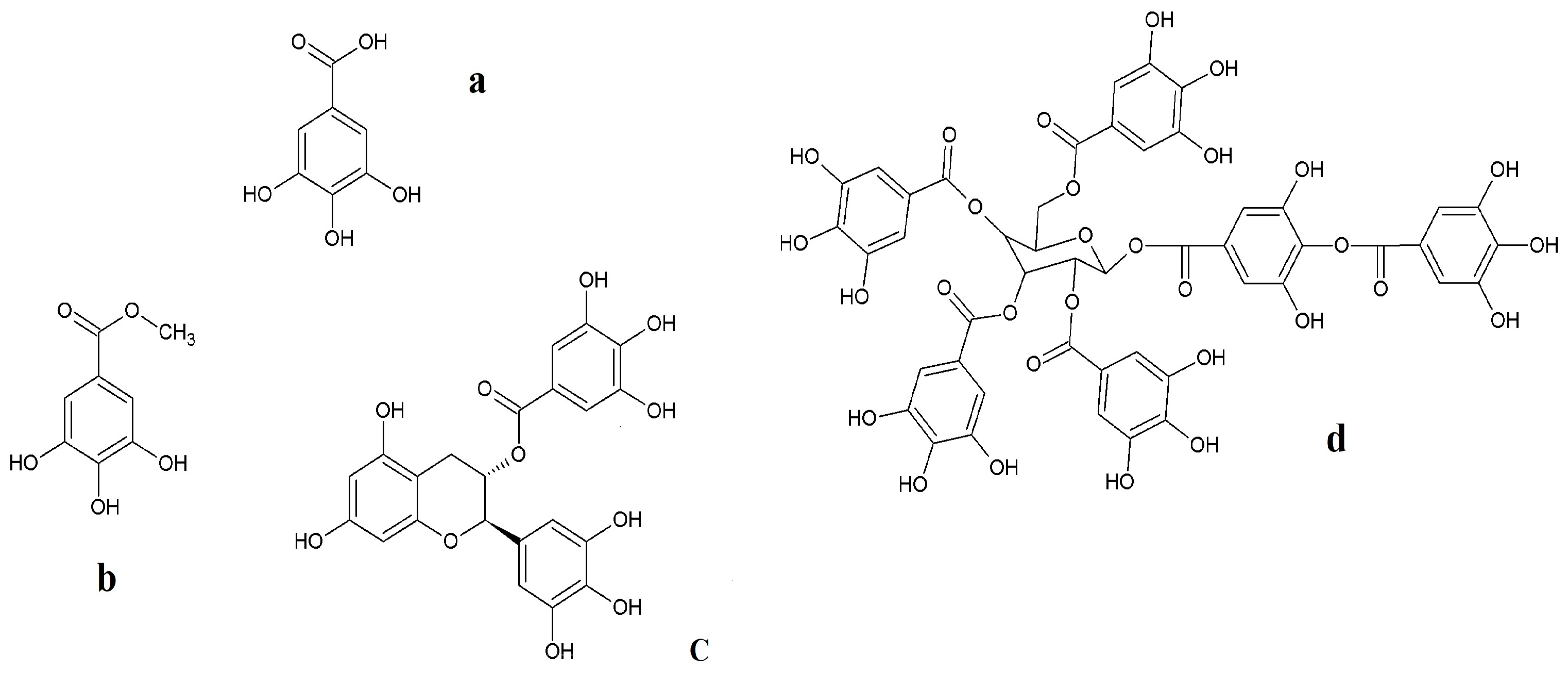
1. Introduction
2. Review Methodology
3. Gallic Acid Properties, Occurrence, and Production
4. Biological Activity
4.1. Anti-Oxidant Activity
4.2. Anti-Inflammatory Activities
4.3. Anti-Dengue Properties
4.4. Anti-Platelet Activities
4.5. Anti-Apoptotic Activities
4.6. Anti-Microbial Activities
4.7. Anti-Tumor and Anti-Cancer Properties
5. Isolation and Determination of Gallic Acid
5.1. Isolation of Gallic Acid
5.1.1. Conventional Isolation Methods
5.1.2. Modern Extraction Techniques
5.2. Chromatographic and Non-Chromatographic Methods of GA Determination
5.2.1. LC Separations
5.2.2. GC Separations
5.2.3. Non-Chromatographic Methods of GA Determination
6. Conclusions
Author Contributions
Funding
Institutional Review Board Statement
Informed Consent Statement
Data Availability Statement
Conflicts of Interest
Sample Availability
References
- Fernandes, F.H.A.; Salgado, H.R.N. Gallic Acid: Review of the Methods of Determination and Quantification. Crit. Rev. Anal. Chem. 2016, 46, 257–265. [Google Scholar] [CrossRef] [PubMed]
- Badhani, B.; Sharma, N.; Kakkar, R. Gallic acid: A versatile antioxidant with promising therapeutic and industrial applications. RSC Adv. 2015, 5, 27540–27557. [Google Scholar] [CrossRef]
- Puttaraju, N.G.; Venkateshaiah, S.U.; Dharmesh, S.M.; Urs, S.M.N.; Somasundaram, R. Antioxidant Activity of Indigenous Edible Mushrooms. J. Agric. Food Chem. 2006, 54, 9764–9772. [Google Scholar] [CrossRef] [PubMed]
- Jiang, Y.; Pei, J.; Zheng, Y.; Miao, Y.-J.; Duan, B.-Z.; Huang, L.-F. Gallic Acid: A Potential Anti-Cancer Agent. Chin. J. Integr. Med. 2022, 28, 661–671. [Google Scholar] [CrossRef] [PubMed]
- Kratz, J.M.; Andrighetti-Fröhner, C.R.; Kolling, D.J.; Leal, P.C.; Cirne-Santos, C.C.; Yunes, R.A.; Nunes, R.J.; Trybala, E.; Bergström, T.; Frugulhetti, I.C.P.P.; et al. Anti-HSV-1 and anti-HIV-1 activity of gallic acid and pentyl gallate. Memórias Inst. Oswaldo Cruz 2008, 103, 437–442. [Google Scholar] [CrossRef]
- Akbari, G.; Dianat, M.; Badavi, M. Effect of gallic acid on electrophysiological properties and ventricular arrhythmia following chemical-induced arrhythmia in rat. Iran. J. Basic Med. Sci. 2020, 23, 167–172. [Google Scholar] [CrossRef] [PubMed]
- Couto, A.G.; Kassuya, C.A.; Calixto, J.B.; Petrovick, P. Anti-inflammatory, antiallodynic effects and quantitative analysis of gallic acid in spray dried powders from Phyllanthus niruri leaves, stems, roots and whole plant. Braz. J. Pharmacogn. 2013, 23, 124–131. [Google Scholar] [CrossRef]
- Sorrentino, E.; Succi, M.; Tipaldi, L.; Pannella, G.; Maiuro, L.; Sturchio, M.; Coppola, R.; Tremonte, P. Antimicrobial activity of gallic acid against food-related Pseudomonas strains and its use as biocontrol tool to improve the shelf life of fresh black truffles. Int. J. Food Microbiol. 2018, 266, 183–189. [Google Scholar] [CrossRef]
- Li, Z.-J.; Liu, M.; Dawuti, G.; Dou, Q.; Ma, Y.; Liu, H.-G.; Aibai, S. Antifungal Activity of Gallic Acid In Vitro and In Vivo. Phytother. Res. 2017, 39, 1039–1045. [Google Scholar] [CrossRef]
- Pal, S.M.; Avneet, G.; Siddhraj, S.S. Gallic acid: Pharmacological promising lead molecule: A review. Int. J. Pharmacogn. Phytochem. Res. 2018, 10, 132–138. [Google Scholar] [CrossRef]
- Kahkeshani, N.; Farzaei, F.; Fotouhi, M.; Alavi, S.S.; Bahramsoltani, R.; Naseri, R.; Momtaz, S.; Abbasabadi, Z.; Rahimi, R.; Farzaei, M.H.; et al. Pharmacological effects of gallic acid in health and diseases: A mechanistic review. Iran. J. Basic Med. Sci. 2019, 22, 225–237. [Google Scholar] [CrossRef] [PubMed]
- Yu, M.; Chen, X.; Liu, J.; Ma, Q.; Zhuo, Z.; Chen, H.; Zhou, L.; Yang, S.; Zheng, L.; Ning, C.; et al. Gallic acid disruption of Aβ1–42 aggregation rescues cognitive decline of APP/PS1 double transgenic mouse. Neurobiol. Dis. 2019, 124, 67–80. [Google Scholar] [CrossRef] [PubMed]
- AL Zahrani, N.A.; El-Shishtawy, R.M.; Asiri, A.M. Recent developments of gallic acid derivatives and their hybrids in medicinal chemistry: A review. Eur. J. Med. Chem. 2020, 204, 112609. [Google Scholar] [CrossRef]
- Arshad, R.; Mohyuddin, A.; Saeed, S.; Hassan, A.U. Optimized production of tannase and gallic acid from fruit seeds by solid state fermentation. Trop. J. Pharm. Res. 2019, 18, 911–918. [Google Scholar] [CrossRef]
- Bajpali, B.; Patil, S. A new approach to microbial production of gallic acid. Braz. J. Microbiol. 2008, 39, 708–711. [Google Scholar] [CrossRef]
- Limpisophon, K.; Schleining, G. Use of Gallic Acid to Enhance the Antioxidant and Mechanical Properties of Active Fish Gelatin Film. J. Food Sci. 2017, 82, 80–89. [Google Scholar] [CrossRef] [PubMed]
- Sarvamangala, D.; Babu, C.R.; Sowjanya, N. Production of gallic acid- a short review. Int. J. Sci. Res. Methodol. 2015, 4, 125–132. Available online: https://ijsrm.humanjournals.com/production-of-gallic-acid-a-short-review (accessed on 21 November 2022).
- Erdemgil, F.Z.; Şanli, S.; Şanlı, N.; Ozkan, G.; Barbosa, J.; Guiteras, J.; Beltran, J.L. Determination of pKa values of some hydroxylated benzoic acids in methanol–water binary mixtures by LC methodology and potentiometry. Talanta 2007, 72, 489–496. [Google Scholar] [CrossRef]
- Available online: https://hybris-static-assets-production.s3-eu-west-1.amazonaws.com/sys-master/pdfs/h0a/h53/10044523741214/PL_ST-WB-MSDS-2491833-1-1-1.PDF (accessed on 21 November 2022).
- Gallic Acid: Safety Data Sheet according to Regulation (EC) No. 1907/2006. Available online: https://www.sigmaaldrich.com/MSDS/MSDS/DisplayMSDSPage.do?country=PL&language=pl&productNumber=91215&brand=SIAL&PageToGoToURL=https%3A%2F%2Fwww.sigmaaldrich.com%2Fcatalog%2Fproduct%2Fsial%2F91215%3Flang%3Dpl (accessed on 21 November 2022).
- Kaliora, A.C.; Kanellos, P.T.; Kalogeropoulos, N. Gallic Acid Bioavailability in Humans, Chapter 15. In Handbook on Gallic Acid; Thompson, M.A., Collins, P.B., Eds.; Nova Science Publishers, Inc.: Hauppauge, NY, USA, 2013; pp. 301–312. [Google Scholar]
- King, A.; Young, G. Characteristics and Occurrence of Phenolic Phytochemicals. J. Am. Diet. Assoc. 1999, 99, 213–218. [Google Scholar] [CrossRef]
- Shahrzad, S.; Bitsch, I. Determination of some pharmacologically active phenolic acids in juices by high-performance liquid chromatography. J. Chromatogr. A 1996, 741, 223–231. [Google Scholar] [CrossRef]
- Tomás-Barberán, F.A.; Clifford, M.N. Flavanones, chalcones and dihydrochalcones—Nature, occurrence and dietary burden. J. Sci. Food Agric. 2000, 80, 1024–1032. [Google Scholar] [CrossRef]
- Karamać, M.; Kosińska, A.; Pegg, R.B. Content of gallic acid in selected plant extracts. Pol. J Food Nutr Sci 2006, 56, 55–58. Available online: http://journal.pan.olsztyn.pl/CONTENT-OF-GALLIC-ACID-IN-SELECTED-PLANT-EXTRACTS,97917,0,2.html (accessed on 21 November 2022).
- Wang, H.; Provan, G.J.; Helliwell, K. Determination of hamamelitannin, catechins and gallic acid in witch hazel bark, twig and leaf by HPLC. J. Pharm. Biomed. Anal. 2003, 33, 539–544. [Google Scholar] [CrossRef] [PubMed]
- Hsieh, C.-L.; Lin, Y.-C.; Yen, G.-C.; Chen, H.-Y. Preventive effects of guava (Psidium guajava L.) leaves and its active compounds against α-dicarbonyl compounds-induced blood coagulation. Food Chem. 2007, 103, 528–535. [Google Scholar] [CrossRef]
- Gryszczyńska, A.; Opala, B.; Łowicki, Z.; Krajewska-Patan, A.; Buchwald, W.; Czerny, B.; Mielcarek, S.; Boroń, D.; Bogacz, A.; Mrozikiewicz, P.M. Determination of chlorogenic and gallic acids by UPLC-MS/MS. Herba Pol. 2013, 59, 7–16. [Google Scholar] [CrossRef][Green Version]
- Roman, L.; Solomiia, K. HPLC-UV Determination of Catechins and Gallic Acid in Aerial Parts of Astragalus glycyphyllos L. Dhaka Univ. J. Pharm. Sci. 2019, 18, 241–247. [Google Scholar] [CrossRef][Green Version]
- Phansawan, B.; Pongsabangpho, S. Determination of gallic acid and rutin in extracts Cassia alata and Andrographis paniculata L. Scienceasia 2014, 40, 414–419. [Google Scholar] [CrossRef]
- Bontpart, T.; Marlin, T.; Vialet, S.; Guiraud, J.-L.; Pinasseau, L.; Meudec, E.; Sommerer, N.; Cheynier, V.; Terrier, N. Two shikimate dehydrogenases, VvSDH3 and VvSDH4, are involved in gallic acid biosynthesis in grapevine. J. Exp. Bot. 2016, 67, 3537–3550. [Google Scholar] [CrossRef]
- Aguilar-Zárate, P.; Cruz, M.A.; Montañez, J.; Rodríguez-Herrera, R.; Wong-Paz, J.E.; Belmares, R.E.; Aguilar, C.N. Gallic acid production under anaerobic submerged fermentation by two bacilli strains. Microb. Cell Factories 2015, 14, 209. [Google Scholar] [CrossRef]
- Dawidowicz, A.L.; Olszowy, M.; Jóźwik-Dolęba, M. Importance of solvent association in the estimation of antioxidant properties of phenolic compounds by DPPH method. J. Food Sci Technol. 2015, 52, 4523–4529. [Google Scholar] [CrossRef]
- Phonsatta, N.; Deetae, P.; Luangpituksa, P.; Grajeda-Iglesias, C.; Figueroa-Espinoza, M.C.; Le Comte, J.; Villeneuve, P.; Decker, E.A.; Visessanguan, W.; Panya, A. Comparison of Antioxidant Evaluation Assays for Investigating Antioxidative Activity of Gallic Acid and Its Alkyl Esters in Different Food Matrices. J. Agric. Food Chem. 2017, 65, 7509–7518. [Google Scholar] [CrossRef]
- Olszowy, M.; Dawidowicz, A.L.; Jóźwik-Dolęba, M. Are mutual interactions between antioxidants the only factors responsible for antagonistic antioxidant effect of their mixtures? Additive and antagonistic antioxidant effects in mixtures of gallic, ferulic and caffeic acids. Eur. Food Res. Technol. 2019, 245, 1473–1485. [Google Scholar] [CrossRef]
- Olszowy, M. What is responsible for antioxidant properties of polyphenolic compounds from plants? Plant Physiol. Biochem. 2019, 144, 135–143. [Google Scholar] [CrossRef]
- Rafiee, S.A.; Farhoosh, R.; Sharif, A. Antioxidant Activity of Gallic Acid as Affected by an Extra Carboxyl Group than Pyrogallol in Various Oxidative Environments. Eur. J. Lipid Sci. Technol. 2019, 120, 1800319. [Google Scholar] [CrossRef]
- Khorsandi, K.; Kianmehr, Z.; Hosseinmardi, Z.; Hosseinzadeh, R. Anti-cancer effect of gallic acid in presence of low level laser irradiation: ROS production and induction of apoptosis and ferroptosis. Cancer Cell Int. 2020, 20, 18. [Google Scholar] [CrossRef]
- Ahmadvand, H.; Yalameha, B.; Adibhesami, G.; Nasri, M.; Naderi, N.; Babaeenezhad, E.; Nouryazdan, N. The Protective Role of Gallic Acid Pretreatment On Renal Ischemia-reperfusion Injury in Rats. Rep. Biochem. Mol. Biol. 2019, 8, 42–48. Available online: https://www.ncbi.nlm.nih.gov/pmc/articles/PMC6590945/ (accessed on 21 November 2022).
- Reckziegel, P.; Dias, V.T.; Benvegnú, D.M.; Boufleur, N.; Barcelos, R.C.S.; Segat, H.J.; Pase, C.S.; dos Santos, C.M.M.; Flores, .M.M.; Bürger, M.E. Antioxidant protection of gallic acid against toxicity induced by Pb in blood, liver and kidney of rats. Toxicol. Rep. 2016, 3, 351–356. [Google Scholar] [CrossRef]
- Yen, G.-C.; Duh, P.-D.; Tsai, H.-L. Antioxidant and pro-oxidant properties of ascorbic acid and gallic acid. Food Chem. 2002, 79, 307–313. [Google Scholar] [CrossRef]
- Sunitha, D. A Review on Antioxidant Methods. Asian J. Pharm. Clin. Res. 2016, 9, 14–32. [Google Scholar] [CrossRef]
- Noreen, H.; Semmar, N.; Farman, M.; McCullagh, J.S. Measurement of total phenolic content and antioxidant activity of aerial parts of medicinal plant Coronopus didymus. Asian Pac. J. Trop. Med. 2017, 10, 792–801. [Google Scholar] [CrossRef]
- Pyrzynska, K.; Pękal, A. Application of free radical diphenylpicrylhydrazyl (DPPH) to estimate the antioxidant capacity of food samples. Anal. Methods 2013, 5, 4288–4295. [Google Scholar] [CrossRef]
- Abramovič, H.; Grobin, B.; Ulrih, N.P.; Cigić, B. Relevance and Standardization of In Vitro Antioxidant Assays: ABTS, DPPH, and Folin–Ciocalteu. J. Chem. 2018, 2018, 4608405. [Google Scholar] [CrossRef]
- Baba, S.A.; Malik, S.A. Determination of total phenolic and flavonoid content, antimicrobial and antioxidant activity of a root extract of Arisaema jacquemontii Blume. J. Taibah Univ. Sci. 2015, 9, 449–454. [Google Scholar] [CrossRef]
- Aryal, S.; Baniya, M.K.; Danekhu, K.; Kunwar, P.; Gurung, R.; Koirala, N. Total Phenolic Content, Flavonoid Content and Antioxidant Potential of Wild Vegetables from Western Nepal. Plants 2019, 8, 96. [Google Scholar] [CrossRef] [PubMed]
- Sirivibulkovit, K.; Nouanthavong, S.; Sameenoi, Y. Paper-based DPPH assay for antioxidant activity analysis. Anal. Sci. 2018, 34, 795–800. [Google Scholar] [CrossRef] [PubMed]
- Wang, H.; Qiu, C.; Chen, L.; Abbasi, A.M.; Guo, X.; Liu, R.H. Comparative study of phenolic profiles, antioxidant and antiproliferative activities in different vegetative parts of ramie (Boehmeria nivea L.). Molecules 2019, 24, 1551. [Google Scholar] [CrossRef]
- Boutennoun, H.; Boussouf, L.; Rawashdeh, A.; Al-Qaoud, K.; Abdelhafez, S.; Kebieche, M.; Madani, K. In vitro cytotoxic and antioxidant activities of phenolic components of Algerian Achillea odorata leaves. Arab. J. Chem. 2017, 10, 403–409. [Google Scholar] [CrossRef]
- Zhijing, Y.; Shavandi, A.; Harrison, R.; Bekhit, A.E.-D.A. Characterization of Phenolic Compounds in Wine Lees. Antioxidants 2018, 7, 48. [Google Scholar] [CrossRef]
- Antolovich, M.; Prenzler, P.D.; Patsalides, E.; McDonald, S.; Robards, K. Methods for testing antioxidant activity. Analyst 2002, 127, 183–198. [Google Scholar] [CrossRef]
- Wianowska, D.; Gil, M. Recent advances in extraction and analysis procedures of natural chlorogenic acids. Phytochem. Rev. 2019, 18, 273–302. [Google Scholar] [CrossRef]
- Aruoma, O.I.; Murcia, A.; Butler, J.; Halliwell, B. Evaluation of the antioxidant and prooxidant actions of gallic acid and its derivatives. J. Agric. Food Chem. 1993, 41, 1880–1885. [Google Scholar] [CrossRef]
- Kosuru, R.Y.; Roy, A.; Das, S.K.; Bera, S. Gallic Acid and Gallates in Human Health and Disease: Do Mitochondria Hold the Key to Success? Mol. Nutr. Food Res. 2018, 62, 1700699. [Google Scholar] [CrossRef]
- Mard, S.A.; Mojadami, S.; Farbood, Y.; Naseri, M.K.G. The anti-inflammatory and anti-apoptotic effects of gallic acid against mucosal inflammation- and erosions-induced by gastric ischemia-reperfusion in rats. Veter- Res. Forum Int. Q. J. 2015, 6, 305–311. Available online: https://pubmed.ncbi.nlm.nih.gov/26973766/ (accessed on 21 November 2022).
- Cotoras, M.; Vivanco, H.; Melo, R.; Aguirre, M.; Silva, E.; Mendoza, L. In Vitro and in Vivo Evaluation of the Antioxidant and Prooxidant Activity of Phenolic Compounds Obtained from Grape (Vitis vinifera) Pomace. Molecules 2014, 19, 21154–21167. [Google Scholar] [CrossRef] [PubMed]
- Zeraik, M.L.; Petrônio, M.S.; Coelho, D.; Regasini, L.O.; Silva, D.; Da Fonseca, L.M.; Machado, S.A.S.; Bolzani, V.; Ximenes, V.F. Improvement of Pro-Oxidant Capacity of Protocatechuic Acid by Esterification. PLoS ONE 2014, 9, e110277. [Google Scholar] [CrossRef]
- Khodayar, B.; Farzaei, M.H.; Abdolghaffari, A.H.; Bahramsoltani, R.; Baeeri, M.; Ziarani, F.S.; Mohammadi, M.; Rahimi, R.; Abdollahi, M. The Protective effect of the gallic acid against TNBS-induced ulcerative colitis in rats: Role of inflammatory parameters. J. Iran. Med. Counc. 2018, 1, 34–42. [Google Scholar]
- Marinov, V.P.; Tzaneva, M.A.; Zhelyazkova-Savova, M.D.; Gancheva, S.; Valcheva-Kuzmanova, S.V. Effects of gallic acid in a rat model of inflammatory bowel disease induced by trinitrobenzenesulfonic acid. Bulg. Chem. Commun. 2019, 51, 22–28. Available online: http://www.bcc.bas.bg/BCC_Volumes/Volume_51_Special_A_2019/A-pdf-ready/BCC-51-A-2019-22-28-Kuzmanova-A11.pdf (accessed on 21 November 2022).
- BenSaad, L.A.; Kim, K.H.; Quah, C.C.; Kim, W.R.; Shahimi, M. Anti-inflammatory potential of ellagic acid, gallic acid and punicalagin A&B isolated from Punica granatum. BMC Complement. Altern. Med. 2017, 17, 47. [Google Scholar] [CrossRef]
- Tanaka, M.; Kishimoto, Y.; Sato, A.; Sasaki, M.; Kamiya, T.; Kondo, K.; Iida, K. Molecular Mechanisms Underlying Anti-Inflammatory and Antioxidant Activities of Terminalia Bellirica Extract and Gallic Acid in LPS-stimulated Macrophages. Atheroscler. Suppl. 2018, 32, 126. [Google Scholar] [CrossRef]
- Zhu, L.; Gu, P.; Shen, H. Gallic acid improved inflammation via NF-κB pathway in TNBS-induced ulcerative colitis. Int. Immunopharmacol. 2019, 67, 129–137. [Google Scholar] [CrossRef] [PubMed]
- Suganthi, A.; Ravi, T. Estimation of Anti-dengue Phytochemical Markers Gallic acid, Rutin and Quercetin in Methanolic Extract of Euphorbia hirta (L.) and Tawa-Tawa Capsule Formulation by Validated RP-HPLC Method. Chem. Methodol. 2019, 3, 43–54. [Google Scholar] [CrossRef]
- Rothan, H.A.; Zulqarnain, M.; Ammar, Y.A.; Tan, E.C.; Rahman, N.A.; Yusof, R. Screening of antiviral activities in medicinal plants extracts against dengue virus using dengue NS2B-NS3 protease assay. Trop. Biomed. 2014, 31, 286–296. [Google Scholar]
- Chow, V.T.; Batool, R.; Aziz, E.; Mahmood, T.; Tan, B.K. Inhibitory activities of extracts of Rumex dentatus, Commelina benghalensis, Ajuga bracteosa, Ziziphus mauritiana as well as their compounds of gallic acid and emodin against dengue virus. Asian Pac. J. Trop. Med. 2018, 11, 265. [Google Scholar] [CrossRef]
- Chauhan, N.; Powale, K.; Kamble, B. Biocomputational approaches towards deciphering anti-dengue viral properties of synthetic and natural moieties. Adv. Hum. Biol. 2019, 9, 198–202. [Google Scholar] [CrossRef]
- Trujillo-Correa, A.I.; Quintero-Gil, D.C.; Diaz-Castillo, F.; Quiñones, W.; Robledo, S.M.; Martinez-Gutierrez, M. In vitro and in silico anti-dengue activity of compounds obtained from Psidium guajava through bioprospecting. BMC Complement. Altern. Med. 2019, 19, 298. [Google Scholar] [CrossRef]
- Chang, S.-S.; Lee, V.S.Y.; Tseng, Y.-L.; Chang, K.-C.; Chen, K.-B.; Chen, Y.-L.; Li, C.-Y. Gallic Acid Attenuates Platelet Activation and Platelet-Leukocyte Aggregation: Involving Pathways of Akt and GSK3β. Evid. -Based Complement. Altern. Med. 2012, 2012, 1–9. [Google Scholar] [CrossRef] [PubMed]
- Erol-Dayi, Ö.; Arda, N.; Erdem, G. Protective effects of olive oil phenolics and gallic acid on hydrogen peroxide-induced apoptosis. Eur. J. Nutr. 2011, 51, 955–960. [Google Scholar] [CrossRef]
- Lu, Z.; Nie, G.; Belton, P.S.; Tang, H.; Zhao, B. Structure–activity relationship analysis of antioxidant ability and neuroprotective effect of gallic acid derivatives. Neurochem. Int. 2006, 46, 263–274. [Google Scholar] [CrossRef] [PubMed]
- Borges, A.; Ferreira, C.; Saavedra, M.J.; Simões, M. Antibacterial Activity and Mode of Action of Ferulic and Gallic Acids against Pathogenic Bacteria. Microb. Drug Resist. 2013, 19, 256–265. [Google Scholar] [CrossRef]
- Sarjit, A.; Wang, Y.; Dykes, G.A. Antimicrobial activity of gallic acid against thermophilic Campylobacter is strain specific and associated with a loss of calcium ions. Food Microbiol. 2015, 46, 227–233. [Google Scholar] [CrossRef] [PubMed]
- Li, D.; Liu, Z.; Yuan, Y.; Liu, Y.; Niu, F. Green synthesis of gallic acid-coated silver nanoparticles with high antimicrobial activity and low cytotoxicity to normal cells. Process. Biochem. 2015, 3, 357–366. [Google Scholar] [CrossRef]
- Sun, G.; Zhang, S.; Xie, Y.; Zhang, Z.; Zhao, W. Gallic acid as a selective anticancer agent that induces apoptosis in SMMC-7721 human hepatocellular carcinoma cells. Oncol. Lett. 2015, 11, 150–158. [Google Scholar] [CrossRef] [PubMed]
- Rezaei-Seresht, H.; Cheshomi, H.; Falanji, F.; Movahedi-Motlagh, F.; Hashemian, M.; Mireskandari, E. Rezaei-Seresht, H.; Cheshomi, H.; Falanji, F.; Movahedi-Motlagh, F.; et al. Cytotoxic activity of caffeic acid and gallic acid against MCF-7 human breast cancer cells: An in silico and in vitro study. Avicenna J. Phytomedicine 2019, 9, 574–586. [Google Scholar] [CrossRef]
- Wang, R.; Ma, L.; Weng, D.; Yao, J.; Liu, X.; Jin, F. Gallic acid induces apoptosis and enhances the anticancer effects of cisplatin in human small cell lung cancer H446 cell line via the ROS-dependent mitochondrial apoptotic pathway. Oncol. Rep. 2016, 35, 3075–3083. [Google Scholar] [CrossRef] [PubMed]
- Zhang, T.; Ma, L.; Wu, P.; Li, W.; Li, T.; Gu, R.; Dan, X.; Li, Z.; Fan, X.; Xiao, Z. Gallic acid has anticancer activity and enhances the anticancer effects of cisplatin in non-small cell lung cancer A549 cells via the JAK/STAT3 signaling pathway. Oncol. Rep. 2019, 41, 1779–1788. [Google Scholar] [CrossRef] [PubMed]
- Chhillar, R.; Dhingra, D. Antidepressant-like activity of gallic acid in mice subjected to unpredictable chronic mild stress. Fundam. Clin. Pharmacol. 2013, 27, 409–418. [Google Scholar] [CrossRef] [PubMed]
- Nayeem, N.; Smb, A. Gallic Acid: A Promising Lead Molecule for Drug Development. J. Appl. Pharm. 2016, 8, 2. [Google Scholar] [CrossRef]
- Singh, P.; MK, R.; Thawani, V.; Sudhakar, P. Anxiolytic effect of chronic administration of gallic acid in rats. J. Appl. Pharm. Sci. 2013, 3, 101–104. [Google Scholar] [CrossRef]
- Fachriyah, E.; Eviana, I.; Eldiana, O.; Amaliyah, N.; Sektianingrum, A.N. Antidiabetic Activity from Gallic Acid Encapsulated Nanochitosan. IOP Conf. Series: Mater. Sci. Eng. 2017, 172, 012042. [Google Scholar] [CrossRef]
- Szopa, A.; Kokotkiewicz, A.; Bednarz, M.; Luczkiewicz, M.; Ekiert, H. Studies on the accumulation of phenolic acids and flavonoids in different in vitro culture systems of Schisandra chinensis (Turcz.) Baill. using a DAD-HPLC method. Phytochem. Lett. 2017, 20, 462–469. [Google Scholar] [CrossRef]
- Gao, J.; Hu, J.; Hu, D.; Yang, X. A Role of Gallic Acid in Oxidative Damage Diseases: A Comprehensive Review. Nat. Prod. Commun. 2019, 14, 1934578X19874174. [Google Scholar] [CrossRef]
- Kim, Y.-J. Antimelanogenic and Antioxidant Properties of Gallic Acid. Biol. Pharm. Bull. 2007, 30, 1052–1055. [Google Scholar] [CrossRef] [PubMed]
- Asci, H.; Ozmen, O.; Ellidag, H.Y.; Aydin, B.; Bas, E.; Yilmaz, N. The impact of gallic acid on the methotrexate-induced kidney damage in rats. J. Food Drug Anal. 2017, 25, 850–857. [Google Scholar] [CrossRef] [PubMed]
- Wianowska, D.; Gil, M. Critical approach to PLE technique application in the analysis of secondary metabolites in plants. TrAC Trends Anal. Chem. 2019, 114, 314–325. [Google Scholar] [CrossRef]
- Cabrera, C.; Giménez, R.; López, M.C. Determination of Tea Components with Antioxidant Activity. J. Agric. Food Chem. 2003, 51, 4427–4435. [Google Scholar] [CrossRef]
- Carvalho, M.G.; Freire, F.D.; Raffin, F.N.; Aragão, C.F.S.; Moura, T.F.A.L. LC Determination of Gallic Acid in Preparations Derived from Schinus terebinthifolius Raddi. Chromatographia 2009, 69, 249–253. [Google Scholar] [CrossRef]
- Soares, L.A.L.; De Mesquita, M.L.; Leão, W.F.; Ferreira, M.R.A.; De Paula, J.E.; Espindola, L.S. Reversed-phase-liquid chromatography method for separation and quantification of gallic acid from hydroalcoholic extracts of Qualea grandiflora and Qualea parviflora. Pharmacogn. Mag. 2015, 11, 316–321. [Google Scholar] [CrossRef]
- Fatariah, Z.; Zulkhairuazha, T.G.; Rosli, W.I. Quantitative HPLC analysis of gallic acid in Benincasa hispida prepared with different extraction techniques, Sains Malaysiana 2014, 43, 1181–1187. Available online: http://www.ukm.my/jsm/pdf_files/SM-PDF-43-8-2014/09%20Z.%20Fatariah.pdf (accessed on 21 November 2022).
- Fernandes, F.H.A.; de, A.; Batista, R.S.; De Medeiros, F.D.; Santos, F.S.; Medeiros, A.C.D. Development of a rapid and simple HPLC-UV method for determination of gallic acid in Schinopsis brasiliensis. Rev. Bras. Farmacogn. 2015, 25, 208–211. [Google Scholar] [CrossRef]
- Huang, X.; Sun, M.; Li, G. Method for qualitative and quantitative determination of gallic acid in Herba Gei. Biomed. Res. 2015, 26, 353–356. Available online: https://www.alliedacademies.org/articles/method-for-qualitative-and-quantitative-determination-of-gallic-acid-inherba-gei.html (accessed on 21 November 2022).
- Ismail, A.; Ramli, N.S.; Mohamed, M.; Ahmad, W.A.N.W. Acute and Sub-Acute Antihypertensive Effects of Syzygium polyanthum Leaf Extracts with Determination of Gallic Acid using HPLC Analysis. Pharmacogn. J. 2018, 10, 663–671. [Google Scholar] [CrossRef]
- Madhavi, P.G.; Vishal, P.R.; Rakesh, P.K. Development and validation of improved RP-HPLC method for identification and estimation of ellagic and gallic acid in Triphala Churna. Int. J. Chemtech Res. 2010, 2, 1486–1493. Available online: https://sphinxsai.com/july-sept_2010vol2.3/chemtech/chemtechvol2.3july-sept210/CT=20%201486-1493.pdf (accessed on 21 November 2022).
- Mämmelä, P.; Tuomainen, A.; Savolainen, H.; Kangas, J.; Vartiainen, T.; Lindroos, L. Determination of gallic acid in wood dust as an indicator of oak content. J. Environ. Monit. 2001, 3, 509–511. [Google Scholar] [CrossRef] [PubMed]
- Shahrzad, S.; Bitsch, I. Determination of gallic acid and its metabolites in human plasma and urine by high-performance liquid chromatography. J. Chromatogr. B: Biomed. Sci. Appl. 1998, 705, 87–95. [Google Scholar] [CrossRef]
- Baite, T.N.; Mandal, B.; Purkait, M.K. Ultrasound assisted extraction of gallic acid from Ficus auriculata leaves using green solvent. Food Bioprod. Process. 2021, 128, 1–11. [Google Scholar] [CrossRef]
- Chysirichote, T.; Pakaweerachat, P. Ultrasonic-assisted extraction of gallic acid and isoquercetin from aspergillus niger fermented tri-phala waste. MATEC Web Conf. 2018, 192, 03007. [Google Scholar] [CrossRef]
- Türköz Acar, E.; Celep, M.E.; Charehsaz Akyüz, G.S.; Yeşilada, E. Development and validation of a high-performance liquid chromatography–diode-array detection method for the determination of eight phenolic constituents in extracts of different wine species. Turk. J. Pharm. Sci. 2018, 15, 22–28. [Google Scholar] [CrossRef]
- Dhadge, V.L.; Changmai, M.; Purkait, M.K. Purification of catechins from Camellia sinensis using membrane cell. Food Bioprod. Process. 2019, 117, 203–212. [Google Scholar] [CrossRef]
- Athankar, K.K.; Wasewar, K.L.; Varma, M.N.; Shende, D.Z. Reactive extraction of gallic acid with tri-n-caprylylamine. New J. Chem. 2016, 40, 2413–2417. [Google Scholar] [CrossRef]
- Yamani, H.Z.; Hussein, L.A.; Ghany, M.F.A. Microwave-assisted extraction of the gallic acid biomarker from Acacia arabica bark followed by HPLC analysis. Arch. Pharm. Sci. Ain Shams Univ. 2019, 3, 78–89. [Google Scholar] [CrossRef]
- Alama, G.; Mishra, A.K. Simultaneous Estimation of Gallic Acid and Embelin by Validated HPTLC Method in Three Marketed Formulations and in-House Formulated Manibhadra Yoga: A Polyherbal Ayurvedic Formulation. Orient. J. Chem. 2020, 36, 120–126. [Google Scholar] [CrossRef]
- Karthika, R.S.; Hameed, A.S.; Meenu, M.T. HPTLC estimation of gallic acid and ellegic acid in Amrtottara Kvatha prepared in two ratios. Int. J. Ayurveda Pharma Res. 2019, 7, 1–9. Available online: https://ijapr.in/index.php/ijapr/article.view/1273 (accessed on 21 November 2022).
- Patel, N.V.; Telange, D.R. Qualitative and quantitative estimation of gallic acid and ascorbic acid in polyherbal tablets. Int. J. Pharm. Sci. Res. 2011, 2, 2394–2398. [Google Scholar] [CrossRef]
- Pathak, S.B.; Niranjan, K.; Padh, H.; Rajani, M. TLC Densitometric Method for the Quantification of Eugenol and Gallic Acid in Clove. Chromatographia 2004, 60, 241–244. [Google Scholar] [CrossRef]
- Ranjana, A.M.; Mishra, A.; Gupta, R. Determination of gallic acid and β–sitosterol in poly-herbal formulation by HPTLC. Pharm. Pharmacol. Int. J. 2016, 4, 373–379. [Google Scholar] [CrossRef]
- Sangeetha, S.; Malay, K.S.; Kavitha, R.; Remya, P.N.; Saraswathi, T.S. Formulation and pharmacokinetic determination of gallic acid in Emblica Officinalis. Int. J. App. Pharm. 2017, 9, 9–13. [Google Scholar] [CrossRef]
- Thakker, V.Y.; Shah, V.N.; Shah, U.D.; Suthar, M.P. Simultaneous estimation of Gallic acid, Curcumin and Quercetin by HPTLC method. J. Adv. Pharm. Educ. Res. 2011, 1, 70–80. Available online: https://japer.in/en/article/simultaneous-estimation-of-gallic-acid-curcumin-and-quercetin-by-hptlc-method (accessed on 21 November 2022).
- Verma, S.C.; Nigam, S.; Jain, C.L.; Pant, P.; Padhi, M.M. Microwave-assisted extraction of gallic acid in leaves of Eucalyptus x hybrida Maiden and its quantitative determination by HPTLC. Der Chem. Sin. 2011, 2, 268–277. [Google Scholar] [CrossRef]
- Balaban, M. Identification of the main phenolic compounds in wood of Ceratonia siliqua by GC-MS. Phytochem. Anal. 2004, 15, 385–388. [Google Scholar] [CrossRef]
- Minuti, L.; Pellegrino, R. Determination of phenolic compounds in wines by novel matrix solid-phase dispersion extraction and gas chromatography/mass spectrometry. J. Chromatogr. A 2008, 1185, 23–30. [Google Scholar] [CrossRef]
- Plessi, M.; Bertelli, D.; Miglietta, F. Extraction and identification by GC-MS of phenolic acids in traditional balsamic vinegar from Modena. J. Food Compos. Anal. 2006, 19, 49–54. [Google Scholar] [CrossRef]
- Proestos, C.; Komaitis, M. Analysis of Naturally Occurring Phenolic Compounds in Aromatic Plants by RP-HPLC Coupled to Diode Array Detector (DAD) and GC-MS after Silylation. Foods 2013, 2, 90–99. [Google Scholar] [CrossRef]
- Robles, A.D.; Fabjanowicz, M.; Płotka-Wasylka, J.; Konieczka, P. Organic Acids and Polyphenols Determination in Polish Wines by Ultrasound-Assisted Solvent Extraction of Porous Membrane-Packed Liquid Samples. Molecules 2019, 24, 4376. [Google Scholar] [CrossRef]
- Tor, E.R.; Francis, T.M.; Holstege, D.M.; Galey, F.D. GC/MS Determination of Pyrogallol and Gallic Acid in Biological Matrices as Diagnostic Indicators of Oak Exposure. J. Agric. Food Chem. 1996, 44, 1275–1279. [Google Scholar] [CrossRef]
- Zafra, A.; Juárez, M.; Blanc, R.; Navalón, A.; González, J.; Vílchez, J. Determination of polyphenolic compounds in wastewater olive oil by gas chromatography–mass spectrometry. Talanta 2006, 70, 213–218. [Google Scholar] [CrossRef]
- Chen, M.; Lv, H.; Li, X.; Tian, Z.; Ma, X. Determination of gallic acid in tea by a graphene modified glassy carbon electrode. Int. J. Electrochem. Sci. 2019, 14, 4852–4860. [Google Scholar] [CrossRef]
- Chikere, C.; Faisal, N.H.; Lin, P.K.T.; Fernandez, C. Zinc oxide nanoparticles modified-carbon paste electrode used for the electrochemical determination of Gallic acid. J. Physics: Conf. Ser. 2019, 1310, 012008. [Google Scholar] [CrossRef]
- Feminus, J.J.; Manikandan, R.; Narayanan, S.S.; Deepa, P.N. Determination of gallic acid using poly(glutamic acid): Graphene modified electrode. J. Chem. Sci. 2019, 131, 11. [Google Scholar] [CrossRef]
- Ghaani, M.; Nasirizadeh, N.; Ardakani, S.A.Y.; Mehrjardi, F.Z.; Scampicchio, M.; Farris, S. Development of an electrochemical nanosensor for the determination of gallic acid in food. Anal. Methods 2016, 8, 1103–1110. [Google Scholar] [CrossRef]
- Sarafraz, S.; Rafiee-Pour, H.A.; Khayatkashani, M.; Abrahimi, A. Electrochemical determination of gallic acid in Camellia sinensis (L.) Kuntze, Viola odorata L., Commiphora wightii (Arn.) Bhandari, and Vitex agnus-castus L. by MWCNTs-COOH Modified CPE. J. Nanostruct. 2019, 9, 384–395. [Google Scholar] [CrossRef]
- Sheikh-Mohseni, M.A. Sensitive Electrochemical Determination of Gallic Acid: Application in Estimation of Total Polyphenols in Plant Samples. Anal. Bioanal. Chem. Res. 2016, 2, 217–224. [Google Scholar] [CrossRef]
- Yilmaz, T.Ü.; Kekillioglu, A.; Mert, R. Determination of Gallic acid by differential pulse polarography: Application to fruit juices. J. Anal. Chem. 2013, 68, 1064–1069. [Google Scholar] [CrossRef]
- Wianowska, D.; Gil, M.; Olszowy, M. Miniaturized methods of sample preparation. In Handbook on Miniaturization in Analytical Chemistry: Application of Nanotechnology; Hussain, C.M., Ed.; Elsevier: Amsterdam, The Netherlands, 2020; pp. 95–125. [Google Scholar] [CrossRef]
- Dawidowicz, A.L.; Czapczyńska, N.B.; Wianowska, D. Relevance of the Sea Sand Disruption Method (SSDM) for the Biometrical Differentiation of the Essential-Oil Composition from Conifers. Chem. Biodivers. 2013, 10, 241–250. [Google Scholar] [CrossRef]
- Dawidowicz, A.L.; Wianowska, D. Application of the matrix solid-phase dispersion technique for the HPLC analysis of rutin in Sambucus nigra L.: The linear correlation of the matrix solid-phase dispersion process. J. Chromatogr. Sci. 2009, 47, 914–918. [Google Scholar] [CrossRef] [PubMed]
- Wianowska, D.; Dawidowicz, A.L. Can matrix solid phase dispersion (MSPD) be more simplified? Application of solventless MSPD sample preparation method for GC–MS and GC–FID analysis of plant essential oil components. Talanta 2016, 151, 179–182. [Google Scholar] [CrossRef]
- Wianowska, D. Application of Sea Sand Disruption Method for HPLC Determination of Quercetin in Plants. J. Liq. Chromatogr. Relat. Technol. 2015, 38, 1037–1043. [Google Scholar] [CrossRef]
- Wianowska, D.; Dawidowicz, A.L.; Bernacik, K.; Typek, R. Determining the true content of quercetin and its derivatives in plants employing SSDM and LC–MS analysis. Eur. Food Res. Technol. 2016, 243, 27–40. [Google Scholar] [CrossRef]
- Wianowska, D.; Typek, R.; Dawidowicz, A.L. How to eliminate the formation of chlorogenic acids artefacts during plants analysis? Sea sand disruption method (SSDM) in the HPLC analysis of chlorogenic acids and their native derivatives in plants. Phytochemistry 2015, 117, 489–499. [Google Scholar] [CrossRef]
- Kamal, A.A.A.; Mohamad, S.; Mohamad, M.; Wannahari, R.; Sulaiman, A.Z.; Ajit, A.; Lim, J.-W.; Zaudin, N.A.C. Extraction of Gallic Acid from Chromolaena sp. Using Ultrasound-assisted Extraction. Eng. J. 2021, 25, 269–276. [Google Scholar] [CrossRef]
- Liu, Z.; Chen, Z.; Han, F.; Kang, X.; Gu, H.; Yang, L. Microwave-assisted method for simultaneous hydrolysis and extraction in obtaining ellagic acid, gallic acid and essential oil from Eucalyptus globulus leaves using Brönsted acidic ionic liquid [HO3S(CH2)4mim]HSO4. Ind. Crops Prod. 2016, 81, 152–161. [Google Scholar] [CrossRef]
- Wianowska, D.; Gil, M. New insights into the application of MSPD in various fields of analytical chemistry. TrAC Trends Anal. Chem. 2019, 112, 29–51. [Google Scholar] [CrossRef]
- Shifeng, L.; Huimin, S.; Dong, W.; Li, Q.; Yan, Z.; Shanjun, T. Determination of gallic acid by flow injection analysis based on luminol-AgNO3-Ag NPs chemiluminescence system. Chin. J. Chem. 2012, 30, 837–841. [Google Scholar] [CrossRef]
- Singh, S.; Garg, S.; Chahal, J.; Raheja, K.; Singh, D.; Singla, M.L. Luminescent behavior of cadmium sulfide quantum dots for gallic acid estimation. Nanotechnology 2013, 24, 115602. [Google Scholar] [CrossRef]
- Gaoyang, Y.; Zhu, C.; Guo, S.; Qiu, B.; Wu, D.; Gao, Y.; Liang, Q.; Han, N.; Zhang, P. Determination of gallic acid in the traditional Chinese medicine by high-performance capillary electrophoresis. J. Chin. Pharm. Sci. 2016, 25, 747–753. [Google Scholar] [CrossRef]

| Property Name | Property Characteristics |
|---|---|
| Chemical structure | C7H6O5 |
| Molecular weight | 170.12 g/mol |
| CAS no. | 149-91-7 |
| Physical State | Solid |
| Appearance | Fine crystals, white yellowish-white or pale, fawn-color |
| Melting point | 250–253 °C |
| Odor | Odorless |
| Solubility in water | 12 g/L (20 °C) |
| Density | 1.694 g/cm3 (anhydrous) |
| log P | 0.7 |
| PKa | 1 (4.09–4.41); 2 (7.30–8.70); 3 (11.45–12.17) |
| Lethal dose, 50% | 5000 mg/kg (rabbit); 4300 mg/kg (rat) (intraperitoneal); 320 mg/kg (mouse) (intravenous) |
| Food and Beverages | Content | References |
|---|---|---|
| Raspberry | 19–102 mg/kg | [22] |
| Strawberry | 21–89 mg/kg | [22] |
| Grape juice, black | 79 mg/kg | [23] |
| Grape juice, green | 110 mg/kg | [23] |
| Blackberry | 8–67 mg/kg | [24] |
| Black currant | 30–62 mg/kg | [24] |
| White currant | 3–38 mg/kg | [24] |
| Evening primrose (Oenothera biennis) | 15 (36) mg/kg | [25] |
| Hazelnut (Corylus avellana) | 1 (5) mg/kg | [25] |
| Witch hazel bark (Hamamelis virginiana L.) | bark 0.59 (% w/w) | [26] |
| Guava leaf/twig (Psidium guajava L.) | twig 0.12 (% w/w) | [27] |
| Golden root (Rhodiola rosea L) | leaf 0.21 (% w/w) | [28] |
| Golden root (Rhodiola kirilowii L.) | 12.18 mg/g | [28] |
| Wild liquorice root (Astragalus glycyphyllos L.) | 31.6 mg/100 g | [29] |
| Emperor’s candlesticks root (Cassia alata L.) | 3.85 mg/100 g | [30] |
| Green chiretta (Andrographis paniculata L). | 0.4 mg/g | [30] |
| Material | Sample Preparation | Analytical Conditions | Ref. |
|---|---|---|---|
| Tea samples, including fermented (black and red), semi-fermented (oolong), and non-fermented (green) teas of different geographical origins | Grinding of samples; triple maceration with 20 mL of 80% (v/v) methanol (MeOH) for 3 h and then twice with 20 mL of 80% (v/v) MeOH containing 0.15% HCl for 3 h; filtration of the obtained extracts | HPLC-DAD; C18 column (250 × 4.6 mm I.D, 5-μm); mobile phase: water-acetic acid, 97:3 v/v (A), MeOH (B); gradient elution program: 100% solvent A for 1 min, followed by a linear increase in solvent B to 63% in 27 min; flow rate: 1 mL L/min; detection: λ = 200–400 nm | [88] |
| Schinus terebinthifolius Raddi bark | Maceration in 40% ethanol (EtOH) over 5 days; extracts hydrolysis by refluxing for 1.5 h with 5% sulfuric acid, followed by LLE with 30 mL of ethyl acetate (EtAc) and concentration in a rotavapor | HPLC-DAD; C18 column (250 × 4.6 mm, 5 μm); mobile phase: ACN:H2O and MeOH:H2O at pH 2.7(adjusted with formic acid (HCOOH)); gradient elution I: organic phase changes from 5 to 80% for 20 min; gradient elution II: organic phase changes from 15 to 80% for 20 min; flow rate: 1 mL/min; detection: λ = 200–400 nm | [89] |
| Stem bark of Q. parviflora and Q. grandiflora | Maceration with a hydroalcoholic solution; complete evaporation of the solvents under reduced pressure at 40 °C | HPLC-UV; C18 column (250 × 4.6 mm., 5 μm); mobile phase: water (+0.05% trifluoroacetic acid [TFA]) as solvent A and MeOH (+0.05% TFA) as solvent B; gradient elution profile: 0–12 min (15–40% B); 12–14 min (40–74%) B; 14 -16 min (74–15%) B, 16–18 min (15% B); flow 0.8 mL/min; λ = 280 nm | [90] |
| Fresh fruit of Benincasa hispida (Bh) | Homogenization of pulps; low heating maceration with water at 60 °C for 30 min followed by drying for 2 days at 55–60 °C | HPLC-UV; LiChrospher 100 RP-18 (125 × 4 mm, 5-μm); mobile phase: 0.01 M potassium dihydrogen phosphate-ACN (85:15, v/v) at pH 3.2; flow 0.75 mL L/min.; detection: λ = 280 nm | [91] |
| Stem bark of Schinopsis brasiliensis Engl., Anacardiaceae | Hydroalcoholic maceration of dry powder material with water:EtOH mixture (30:70, v/v) for 72 h; drying of the obtained extract at 140 °C | HPLC-UV; Phenomenex Gemini NX C18 column (5-μm, 250 × 4.6 mm); mobile phase: 0.05% orthophosphoric acid (A): MeOH (B); gradient program: 90–10% B (10 min), 70–30% B (3 min), 40–60% B (5 min), 60–40% B (3 min), 80–20% B (3 min) and 90–10% B (6 min); flow 1 mL L/min; λ = 271 nm | [92] |
| Rhodiola kirilowii (Regel.) Maximroot Rhodiola rosea L. root | Extraction under reflux for 45 min with 70% MeOH with acetylsalicylic acid; evaporation of organic phase and dissolution in the mobile phase | UPLC-ESI MS/MS; C18 column (1.7 μm, 2.1 × 50 mm); mobile phase: MeOH (A), water (B); flow 0.35 mL L/min; isocratic elution: 95% of phase A; column temperature: 24 °C; ion source temperature: 100 °C; desolvation temperature: 300 °C; gas flow rate: desolvation gas: 700 L/h; cone gas: 10 L/h. | [28] |
| Herba Gei | Extraction under reflux with 30% EtOH in a water bath for 90 min; filtration of the obtained extract | HPLC-UV; C18 column (250 × 4.6 mm, 5 μm); column temperature: 30 °C; mobile phase: MeOH (B) -0.1% aqueous phosphoric acid (A); isocratic elution: (10% B, 90% A); flow rate 1 mL/min; λ = 273 nm | [93] |
| Syzygium polyanthum leaf | Maceration with water and MeOH; filtration; evaporation and dissolution of 10 mg of the aqueous and methanolic extracts in 1 mL of MeOH | HPLC-UV; C18 column (250 × 4.6 mm, 5 μm); mobile phase: 0.1% aqueous HCOOH (A) and ACN (B); gradient elution profile: 0–12 min with 15–25% B, 12–22 min with 25% B, 22–25 min with 25–15% B, and 25–30 min with 15% B; flow 1 mL/min; λ = 280 nm | [94] |
| Fruits mixture (Triphala): Amla (Phyllanthus emblica Linn.), Baheda (Terminalia belerica Roxb., Fam. Combretaceae), and Harde (Terminalia chebula Retz., Fam. Combretaceae) | Triple maceration with MeOH; combination of the obtained extracts; concentration at reduced temperature (50 °C) on rotavapor; filtration through a nylon filter | HPLC-UV; C18 column (250 × 4.6 mm, 5 μm); mobile phase: ACN (A) and o-phosphoric acid in water (0.3%) (B); gradient elution profile: 0–5 min with 90–88% B, 5–6 min with 88–86% B, 6–9.5 min with 86–80% B, 9.5–10.5 min with 80–79% B, 10.5–12 min with 79–78% B, 12–22 min with 78–76% B, and 22–30 min with 76–90% B; flow 0.8 mL/min; λ = 254 nm | [95] |
| European red oak (Quercus robur), North American white oak (Quercus alba), blocks | Grinding of the sample into fine dust; collecting of oak wood dust on the polycarbonate membrane filters; filter maceration with the MeOH/water mixture (80/20 v/v) for 60 min; evaporation of MeOH; LLE with EtAc–EtOH (95/5 v/v) and then evaporation and reconstitution in 0.07% HCOOH (100 μL, pH 2.7); filtration through a nylon filter | HPLC-UV; C18 column (150 × 4.6 mm, 5 μm); mobile phase: pH 2.7 HCOOH (A) and 0.07% HCOOH in MeOH (B); gradient elution: 100% (A) for 20 min, 100% to 20% in 5 min, 20% for 10 min, 20% to 100% in 5 min, and 100% for 20 min; flow 0.7 mL/min; λ = 270 nm | [96] |
| Human plasma and urine | Acid hydrolysis; maceration with EtAc; evaporation of organic phase; dissolution in the mobile phase | HPLC-UV; Chrospher 100 RP-18 column (5 μm; 120 × 4 mm); method 1: mobile phase (4.4 × 10−3 M phosphoric acid in water); flow 1 mL L/min; λ = 220 nm and 270 nm; method 2: mobile phase water–ACN (97.5:2.5, v/v) modified with 0.025% phosphoric acid; flow 1 mL L/min; λ = 220 nm and 270 nm | [97] |
| Ficus auriculata Lour. leaves (Roxburgh Fig) | UASE with the aqueous solvent at 37 kHz; centrifugation of the extract at 10000 rpm for 10 min; filtration using Whatman filter paper | HPLC-IR-UV-Vis; Shimpack C18 column (250 × 4.6 mm, 5 μm); mobile phase consisted of pure ACN (A) and 0.1% ortho-phosphoric acid in water (B) with a stable composition of 20% A and 80% B; flow 0.8 mL L/min | [98] |
| Triphala waste | Grinding of the dried sample into small particles; fermentation with Aspergillus niger; drying and milling of the fermented sample into powder; UASE with water (10–60 min, 40 kHz at 30 °C) | HPLC-UV; C18 column (250 × 4.6 mm, 5 μm); mobile phase: ACN (A) and acetic acid in water (0.1%) (B); gradient elution; flow 1 mL/min; λ = 280 nm | [99] |
| Fruit wines and grape wines of Papazkarasi-type cultivar | Removing the alcohol using a rotatory evaporator; lyophilization of residues; dissolution in water | HPLC-UV; C18 column (150 × 4.6 mm, 3.5 μm); mobile phase: 10 mM phosphoric acid as solvent A and MeOH as solvent B; gradient elution profile: 0–15 min (0–60% B), 15–20 min (60–80% B), 20–22 min (80–100% B), 22–27 min (100–0% B), and 27–32 min (0% B); flow 1 mL/min; λ = 214 nm | [100] |
| Camellia sinensis leaves | Maceration with hot water and then polyamide membrane separation; filtration with filter paper | HPLC-UV; C-18 column; mobile phase, consisting of 7% (v/v) solvent A (100% ACN) and 93% of solvent B (20 mM KH2PO4); flow 1 mL/min. | [101] |
| Aqueous solutions | Reactive extraction with tri-n-caprylylamine in hexanol (0.234 mol/L) at 25 °C; filtration through a syringe PVD filter | HPLC-DAD; Eclipse XDB-C18 column (250 × 4.6 mm, 5 µm); at 35 °C; mobile phase: ACN (10%) and 0.2 mole of the aqueous solution of acetic acid (90%); flow 1 mL/min; λ = 273 nm | [102] |
| Acacia arabica bark | Grinding; MASE and reflux extraction with 20% MeOH at T = 88 °C for 1–7 h; maceration in 20% MeOH for 12–30 h; centrifugation of the obtained extract | HPLC-UV; C18 column (150 × 4.6 mm, 5 μm); mobile phase: 0.025% o-phosphoric acid in water (A) and MeOH (B); gradient elution profile: 0–5 min, 20% B; 5.1–15 min, increasing gradually from 50% to 80% B; 15.1–18 min, 20% B; flow 1 mL/min; λ = 272 nm | [103] |
| Mixture of Vidanga (Embelia ribes Burm.), Amalaki (Emblica officinalis Geartn), Haritaki (Terminalia chebula Retz.), Nishotha or Trivrt- Root (Operculina turpethum Linn.), and Guda (Jeggary) | Maceration with MeOH; evaporation; reconstitution in MeOH | HPTLC with silica gel 60 F254 plates (10 × 10 cm, 0.2 mm thickness); mobile phase: toluene/EtAc/MeOH/HCOOH (5: 4: 0.5: 0.5, v/v); migration distance: 80 mm; λ = 254 nm | [104] |
| Amrtottara kvatha mixture containing fresh stem of Tinospora cordifolia (Willd.) Miers (Guduchi), dried fruit rind of Terminalia chebula Retz (Haritaki), and dried rhizome of Zingiber offficinale Roscoe (Shunti) | Maceration with boiling water; evaporation at 80 °C for 2 h; reconstitution of the residue in MeOH | HPTLC with silica gel 60 F254 plates (20 × 20 cm) with the aluminum sheet support; the mobile phase: toluene/EtAc/HCOOH (5/7/1, v/v/v); migration distance: 70 mm; λ = 254 nm and λ = 366 nm | [105] |
| Polyherbal tablets (Amalant and Sookshma Triphala Tablet) containing Embelica Officinalis | Extraction under reflux with 50 mL of MeOH; filtration of the obtained extract | HPTLC with silica gel 60 F254 plates (20 × 10 cm with 0.2 mm thickness); mobile phase: toluene/EtAc/HCOOH (6/3/1, v/v/v); distance: 60 mm; λ = 254 nm | [106] |
| Flower buds of Syzygium aromaticum (L.) Merr. & Perry (clove) | Extraction under reflux with MeOH; concentration of the obtained extract to a known volume | HPTLC with the silica gel 60 F254 plates (20 × 10 cm, 0.2 mm thickness); the mobile phase: toluene/EtAc/HCOOH (10.8 mL) (3:2:0.4, v/v); distance: 80 mm; λ = 280 nm | [107] |
| Selected polyherbal supplements | Maceration in MeOH enhanced by shaking for 4 hrs using a magnetic stirrer; filtration of the obtained extract | HPTLC with the aluminum backed TLC plate coated with the 0.2 mm layer of silica gel (10 × 10cm); mobile phase: toluene/EtAc/HCOOH (5:5:1, v/v/v); λ = 254 nm | [108] |
| Emblica officinalis fruit | Double maceration with MeOH for 24 h at 25 °C; filtration and concentration of the obtained extract | HPTLC with silica gel 60 F254 (4 × 10 cm); mobile phase: toluene/EtAc/HCOOH at the ratio (7/5/1, v/v/v); λ = 273 nm | [109] |
| Polyherbal formulation, psoriasis tablets with Azadirachta indica Linn., Curcuma longa Linn., Rubia cordifolia Linn., Tinospora cordifolia Willd., Acacia catechu Wild and others herbs | Distillation with MeOH; filtration; concentration of the obtained extract to a dry residue; reconstitution in MeOH | HPTLC with silica gel 60 F254 TLC plate (0.2 mm thickness); mobile phase: toluene/EtAc/formic acid (4.5: 3:0.2, v/v/v); λ = 366 nm | [110] |
| Eucalyptus leaves | Grinding of dried leaves; MASE with different solvents: n-hexane, DCM, EtAc, acetone, MeOH, MeOH/water (60:40, v/v); concentration and dissolution of the dry residue in MeOH. | HPTLC with silica gel 60 F254 plates (20 × 20 cm) with aluminum sheet support; mobile phase: EtAc/CHCl3/formic acid (50:50:3, v/v/v); migration distance: 30 mm; λ = 288 nm | [111] |
| Ceratonia siliqua wood | Maceration with MeOH/water mixture; evaporation; LLE of the aqueous phase with petroleum ether (2 × 25 mL), then with Et2O (2 × 25 mL), and finally with a mixture of Et2O:MeOH (9:1; 2 × 25 mL); hydrolysis with HCl (6 M) in MeOH (1:1, v/v) at 100 °C for 8 h; evaporation; reconstitution in water and evaporation again (four or five times); LLE with a mixture of Et2O:MeOH (9:1; 2 × 25 mL) and water (2 × 25 mL); derivatization with trimethylchlorosilane (TMCS) and bis-(trimethylsilyl)-trifluoracetamide (BSTFA) (1:3) | GC/MS; DB-1 fused silica capillary column (30 m × 0.25 mm I.D., 0.25 µm film thickness); carrier gas: helium; flow 1.5 mL/min; temperature of the injector: 280 °C; volume of sample: 1µL; split ratio: 1:10; temperature of the interface: 300 °C; column temperature program: oven equilibration time 1 min; initial temperature 90 °C for 2 min, then raised to 290 °C at a rate of 20°C/min and then 5 min at 290 °C, and then to 310 °C at a rate of 4 °C/min and kept for 10 min; ionization energy: 70 eV | [112] |
| Red wine samples | MSPD of wine samples (1.5 mL) acidified to pH 1.0 with 0.1 mL of 1 M solution of HCl and salted with 0.4 g of NaCl using 1.5 g of silica gel (70–230 mesh) as a dispersant and 5 mL of EtAc as the eluting solvent; evaporation of the extract; derivatization with 100 µL of BSTFA and pyridine (1 mL); the procedure gave mean recoveries between 87 and 109% with RSD < 9% | GC/MS in the selective ion monitoring (SIM) mode; the DB-5MS fused silica capillary column (30 m × 0.25 mm, 0.25 µm film thickness); carrier gas: helium; flow 2.5 mL/min; column head pressure 26.04 psi; temperature of the injector 320 °C; volume of sample 1 µL; split ratio 1:50; temperature of the interface 280 °C; column temperature program: oven equilibration time 1 min, initial temperature 120 °C for 3 min, then raised to 292 °C at a rate of 5 °C/min and then to 320 °C at a rate of 30 °C/min with a final isotherm of 2 min; ionization energy: 70 eV | [113] |
| Balsamic vinegar from Modena | Dilution of the sample with water (1:1); SPE 1) with 1 g diatomaceous earth cartridges using 6 mL of EtAc or n-butanol or isopentyl alcohol or 4-methylpentan-2-one; SPE 2) in the polyamidic SPE cartridge conditioned with 2 mL of MeOH and 2 mL of water and eluted with 3 mL of EtAc; evaporation; derivatization of 1 mL of sample reconstituted in 1 mL of DCM to ensure removal of water (azeotropic removal of water) with 300 µL of 1:1 BSTFA/pyridine at 70°C for 30 min. | GC/MS with the SIM mode; RTX-5MS fused silica capillary column (30 m × 0.25 mm, 0.25 µm film thickness); carrier gas: helium; flow 39 mL/min; temperature of the injector 260 °C; volume of sample 1µL; splitless mode; temperature of the interface 280 °C; column temperature program: oven equilibration time 1 min; initial temperature 90 °C for 1 min, then raised to 240 °C at the rate of 20 °C/min and then 240°C for10 min, then to 280 °C at a rate of 20 °C/min with a final isotherm of 1 min; ionization energy: 70 eV | [114] |
| Origanum dictamnus (dictamus), Eucalyptus globulus (eucalyptus), Origanum vulgare L. (oregano), Mellisa officinalis L. (balm mint), and Sideritis cretica (mountain tea) | Maceration of the dried sample (0.5 g) with 62.5% aqueous MeOH containing BHT (1 g/L); the addition of HCl (10 mL); sonication of the extraction mixture for 15 min and extraction under reflux at 90°C for 2 h; LLE with EtAc (3 × 10 mL); reduction of the organic phase and removing moisture with anhydrous Na2SO4; derivatization after the evaporation of the solvent with the mixture TMCS (100 µL) and BSTFA (200 µL) at 80 °C for 45 min. | GC/MS; capillary column low-bleed CP-Sil 8 CB-MS (30 m × 0.32 mm, 0.25 µm film thickness); carrier gas: helium; flow 1.9 mL/min; temperature of the injector 280 °C; volume of sample 1 µL; splitless mode; temperature of the interface 290 °C; column temperature program: oven equilibration time 1 min; initial temperature 70 °C then raised to 135 °C at 2 °C/min, kept for 10 min and then raised to 220 °C at 4 °C/min and kept for 10 min and up to 270 °C at a rate of 3.5 °C/min with a final isotherm of 20 min; ionization energy: 70 Ev | [115] |
| Wines from different regions of Poland | UASE-PMLS of 25 µL sample on 60 mg of MgSO4, used as the sample support, using 1 ml of ACN or DCM or EtAc or MeOH; exposition for 25 min in an ultrasound bath; evaporation of the extract to dryness; derivatization with a mixture of 1% TMCS in BSTFA (30 µL) at 35°C for 30 min | GC-MS; ZB-5 MS capillary column (30 m×0.25 mm, 0.25 µm film thickness); carrier gas: helium; flow 1 mL/min; temperature of the injector 240 °C; sample volume 2 µL; splitless mode; temperature of the interface 300 °C; column temperature program: 70 °C for 1 min, then increased to 280 °C at 10 °C /min and kept for 5 min; ionization energy: 70 eV | [116] |
| Blue Oak Plant | Hydrolysis of sample (1 g) with 10 mL of 3% HCl (v/v) at 110 °C for 4 h; maceration of hydrolyzed sample after its cooling with 5% EtOH in EtAc (100 mL) and 50 g of Na2SO4; evaporation of the extract to dryness; derivatization with TMCS after the solvent evaporation; LLE cleanup using back extraction with isooctane (1 mL) and water (1:1) | GC-MS; DB-1 capillary column (15 m × 0.53 mm, 0.1µm film thickness); carrier gas: helium; flow 7 mL/min; temperature of the injector 240 °C; sample volume 2 µL; splitless mode; temperature of the interface 280 °C; column temperature program: initial temperature 60 °C for 0.5 min, then raised to 110 °C at a rate of 5 °C/min, and then raised to 180 °C at 10 °C/min, and finally up to 275 °C at 30 °C/min with a final isotherm of 1 min; ionization energy 70 eV | [117] |
| Wastewater olive oil | LLME with EtAc (0.5 mL) of 2 mL of acidified samples (pH 3) saturated with NaCl; evaporation to dryness in the nitrogen stream; derivatization of the solid residue with 50 µL of a mixture of BSTFA and pyridine in EtAc as the silylation reagent (4:1:5, v/v/v) | GC/MS with the SIM mode; HP-5MS fused silica capillary column (60 m × 0.25 mm × 0.25µm film thickness); carrier gas: helium; flow 1 mL/min; temperature of the injector 250 °C; sample volume 1 µL; splitless mode; temperature of the interface 280 °C; column temperature program: oven equilibration time 1 min; initial temperature 90 °C for 1 min, then raised to 220 °C at 6 °C/min and then to 290 °C at 10 °C/min and kept for 1.23 min and finally to 310 °C at a rate of 40 °C/min and kept for 7.5 min; ionization energy 70 eV | [118] |
| Green tea sample | Maceration with water at pH3.0, adjusted with a phosphate buffer saline (PBS) | Differential pulse voltammetry with graphene modified glassy carbon electrode used as a working electrode, the saturated Ag/AgCl electrode and a Pt wire, which was used as a reference and counter electrode, respectively; potential window range from −0.4 to 1. 2 V; a scanning rate of 0.1 V·S−1; the stirring time −25 s at pH = 3(PBS) | [119] |
| Red wine | Unprepared samples | Differential pulse voltammetry win zinc oxide nanoparticles modified-carbon paste electrodeas working electrode, a KCl saturated Ag/AgCl as reference electrode, and a platinum wire as counter electrode; potential window range from 0 to 1. 2 V, a scanning rate of 0.1 V·S−1; the stirring time −25 s at pH = 2, adjusted with PBS | [120] |
| Green tea sample | Maceration with water | Differential pulse voltammetry with poly(glutamic acid): graphene modified electrode; potential window range from −0.8 to 2 V, a scanning rate of 0.1 V·S−1 at pH 5, adjusted with acetate buffer | [121] |
| Apple juice, lemon juice, peach juice, green tea, orange juice | Dilution of different beverage samples (5 mL) with 10 mL of phosphate buffer solution (0.1 mol/L, pH 7.0) | Amperometry with silver nanoparticle/delphinid in modified glassy carbon electrode. The experiments were carried out at a potential of 220 mV in a 0.1 mol/L phosphate buffer solution at pH 7.0 | [122] |
| C. wightii (Commiphora mukul) known as Indianbdellium-tree, V. agnus-castus also called Vitex, C. sinensis (green tea) | UASE with water: EtOH mixture (30:70) at 25 °C at a constant frequency of 35 kHz for 30 min extracts; filtration through Whatman no. 1 filter paper | Differential pulse voltammetry with carbon paste electrode modified with carboxylated multi-walled carbon nanotubes; a potential window range from 0 to 0.9 V, a scanning rate of 0.148 V·s−1 and solution was 0.2 M PBS at pH 2.0 | [123] |
| Apple peel, apple flesh, nettle | Maceration and dilution | Differential pulse voltammetry with a three electrode cell including modified or bare CPE, saturated calomel electrode and a platinum wire as working reference and counter electrodes, respectively; a potential window of 0.0–0.4 V; the scan rate was 40 mV s−1 and solution was phosphate buffer at pH 7.0 | [124] |
| Fruit juice (e.g., orange, apple, and apricot juice) | Unprepared sample | Differential pulse polarography with dropping mercury electrode as a working electrode, a platinum counter electrode, and an Ag/AgCl (3 M NaCl) reference electrode; optimum conditions: 200–1000 μL of fruit juice samples pH 10.0, at the reduction (peak) potential of –160 mV, 2 s drop time, and 50 mV pulse amplitude | [125] |
Disclaimer/Publisher’s Note: The statements, opinions and data contained in all publications are solely those of the individual author(s) and contributor(s) and not of MDPI and/or the editor(s). MDPI and/or the editor(s) disclaim responsibility for any injury to people or property resulting from any ideas, methods, instructions or products referred to in the content. |
© 2023 by the authors. Licensee MDPI, Basel, Switzerland. This article is an open access article distributed under the terms and conditions of the Creative Commons Attribution (CC BY) license (https://creativecommons.org/licenses/by/4.0/).
Share and Cite
Wianowska, D.; Olszowy-Tomczyk, M. A Concise Profile of Gallic Acid—From Its Natural Sources through Biological Properties and Chemical Methods of Determination. Molecules 2023, 28, 1186. https://doi.org/10.3390/molecules28031186
Wianowska D, Olszowy-Tomczyk M. A Concise Profile of Gallic Acid—From Its Natural Sources through Biological Properties and Chemical Methods of Determination. Molecules. 2023; 28(3):1186. https://doi.org/10.3390/molecules28031186
Chicago/Turabian StyleWianowska, Dorota, and Małgorzata Olszowy-Tomczyk. 2023. "A Concise Profile of Gallic Acid—From Its Natural Sources through Biological Properties and Chemical Methods of Determination" Molecules 28, no. 3: 1186. https://doi.org/10.3390/molecules28031186
APA StyleWianowska, D., & Olszowy-Tomczyk, M. (2023). A Concise Profile of Gallic Acid—From Its Natural Sources through Biological Properties and Chemical Methods of Determination. Molecules, 28(3), 1186. https://doi.org/10.3390/molecules28031186

