Effects of Wood Content and Modification on Properties of Wood Flour/Polybutylene Adipate Terephthalate Biocomposites
Abstract
:1. Introduction
2. Results and Discussion
2.1. FTIR Analysis
2.2. Effect of WF Content on Properties of WF/PBAT Biocomposites
2.2.1. Visual Appearance
2.2.2. Mechanical Properties
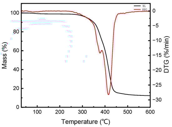
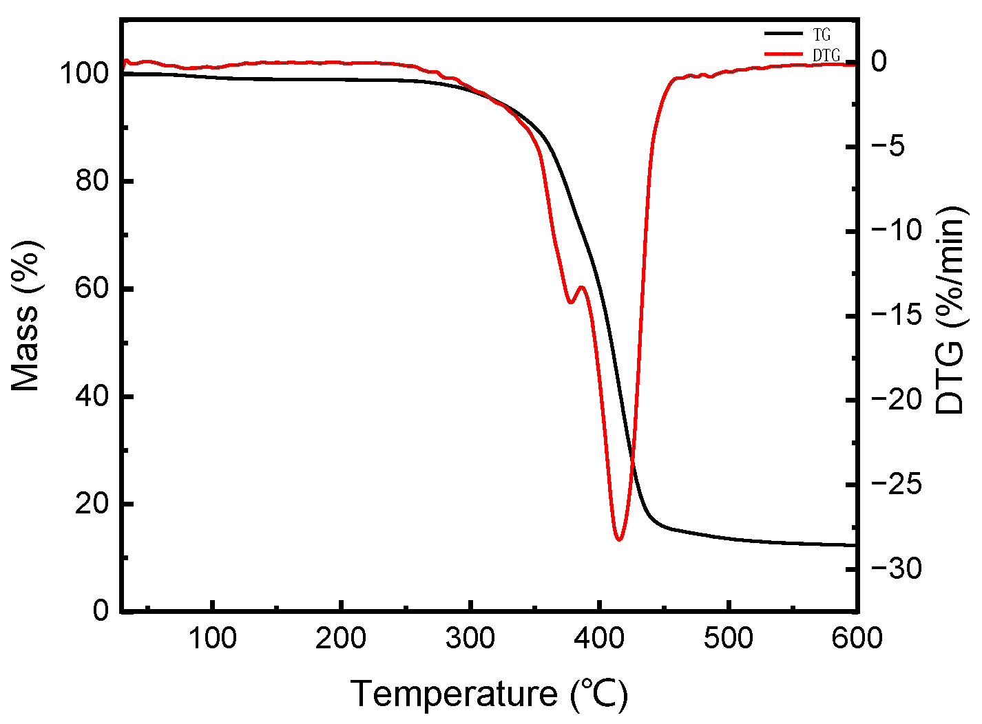
2.2.3. Thermal Stability
2.2.4. Melt and Crystallization Behavior
2.2.5. Fracture Surface Morphology
2.2.6. Wettability
2.3. Effect of WF Modification on Properties of WF/PBAT Biocomposites
2.3.1. Mechanical Properties
2.3.2. Thermal Stability
2.3.3. Fracture Surface Morphology
3. Experimental Procedure
3.1. Materials
3.2. Modification of WF
3.2.1. Alkaline Treatment
3.2.2. Acetylation
3.3. Sample Preparation
3.4. Characterization and Determination of Properties
3.4.1. FTIR Analysis
3.4.2. Mechanical Strength and Modulus Testing
3.4.3. Thermal Stability Assessment
3.4.4. Melt and Crystallization Behavior
3.4.5. Morphological Characterization
3.4.6. Wettability Testing
4. Conclusions
- (1)
- For the mechanical measurements, the tensile strength, tensile modulus, flexural strength and flexural modulus of the WF/PBAT biocomposites increased with the WF loading, while the elongation at break and impact strength decreased. The morphological observation supported the test results of the mechanical properties.
- (2)
- The incorporation of WF weakened the thermal stability of PBAT, and a greater WF loading led to a worse thermal stability of the biocomposites.
- (3)
- The DSC studies revealed an increase in the cold crystallization temperature of the neat PBAT with the incorporation of WF, but the melting enthalpy and the crystallinity of the samples were reduced.
- (4)
- The contact angle of distilled water on the surface of the sample increased gradually with the increasing content of WF, and the sample even turned from hydrophilic to hydrophobic when more WF was used.
- (5)
- The acylated fiber composites showed increased mechanical properties and thermal stability, and the acetylation improved the interfacial bonding between the WF and PBAT, which was supported by the morphological observation.
Author Contributions
Funding
Institutional Review Board Statement
Informed Consent Statement
Data Availability Statement
Conflicts of Interest
References
- Wang, H.; Wang, B.; Yuan, T.; Zheng, L.; Shi, Q.; Wang, S.; Song, G.; Sun, R. Tunable, UV-shielding and biodegradablecomposites based on well-characterized lignins and poly(butylene adipate-co-terephthalate). Green Chem. 2020, 22, 8623–8632. [Google Scholar] [CrossRef]
- Jessica, S.; Pereira, S.; Juliana, M.F.S.; Bluma, G.S.; Sebastien, L. Fully biodegradable composites based on poly(butylene adipate-coterephthalate)/peach palm trees fiber. Compos. Part B 2017, 129, 117–123. [Google Scholar]
- Arvind, G.; Bansri, C.; Boon, P.C.; Tizazu, M. Robust and sustainable PBAT-Hemp residue biocomposites: Reactive extrusion compatibilization and fabrication. Compos. Sci. Technol. 2021, 215, 109014. [Google Scholar]
- Yang, X.; Zhong, S. Properties of maleic anhydride-modified lignin nanoparticles/polybutylene-co-terephthalate composites. J. Appl. Polym. Sci. 2020, 137, e49025. [Google Scholar] [CrossRef]
- Przemysław, P.; Andrzej, P.; Malgorzata, M.; Grazyna, G.; Barbara, G. Synthesis, Characterization and testing of antimicrobial activity of composites of unsaturated polyester resins with wood flour and silver nanoparticles. Materials 2021, 14, 1122. [Google Scholar]
- Rahman, M.R.; Hamdan, S.; Hasan, M.; Baini, R.; ASalleh, A. Physical, mechanical, and thermal properties of wood flour reinforced maleic anhydride grafted uyUnsaturated polyester(UP) biocomposites. Bioresources 2015, 3, 4557–4568. [Google Scholar]
- Dwivedi, U.K.; Chand, N. Influence of wood flour loading on tribological behavior of epoxy composites. Polym. Compos. 2008, 11, 1189–1192. [Google Scholar] [CrossRef]
- Anna, S.; Piotr, C. Modifification of epoxy compositions by the application of various fillers of natural origin. Materials 2023, 16, 3149. [Google Scholar]
- Chen, H.; Bahmani, M.; Humar, M.; Cheng, D. Properties of wood ceramics prepared from thermo-modified Poplar. Forests 2020, 11, 1204. [Google Scholar] [CrossRef]
- Guo, X.; Gao, Q.; Du, D.; Sun, C. Effects of filling rate and resin concentration on pore characteristics and pProperties of carbon based wood ceramics. Materials 2021, 14, 2441. [Google Scholar] [CrossRef]
- Kerim, K.; Yasin, K.; Ümit, T. Mechanical, thermo-mechanical and water uptake performance of wood flour filled polyurethane elastomer eco-composites: Influence of surface treatment of wood flour. Holzforschung 2018, 4, 401–407. [Google Scholar]
- Bi, H.J.; Ren, Z.C.; Guo, R.; Xu, M.; Song, Y.M. Fabrication of flexible wood flour/thermoplastic polyurethane elastomer composites using fused deposition molding. Ind. Crops Prod. 2018, 122, 76–84. [Google Scholar] [CrossRef]
- Klementina, P.Č.; Lidija, F.Z.; Lidija, S.P.; Marko, B. Effect of wood fiber loading on the chemical and thermo-rheological properties of unrecycled and recycled wood-polymer composites. Appl. Sci. 2020, 10, 8863. [Google Scholar]
- Slim, S.; Ferdaous, L.; Ahmed, E.; Anne, B. Properties of wood polymer composites based on polypropylene/olive wood four: Efects of fber treatment and compatibilizer. Iran. Polym. J. 2022, 31, 1511–1521. [Google Scholar]
- Poletto, M.; Dettenborn, J.; Zeni, M.; Zattera, A.J. Characterization of composites based on expanded polystyrene wastes and wood flour. Waste Manag. 2011, 31, 779–784. [Google Scholar] [CrossRef] [PubMed]
- Kaseem, M.; Hamad, K.; Deri, F.; Ko, Y.G. Effect of wood fibers on the rheological and mechanical properties of polystyrene/wood composites. J. Wood Chem. Technol. 2017, 37, 251–260. [Google Scholar] [CrossRef]
- Aina, K.S.; Oladimeji, A.O.; Agboola, F.Z.; Oguntayo, D.O. Dimensional stability and mechanical properties of extruded-compression biopolymer composites made from selected Nigerian grown wood species at varying Proportions. Sci. Rep. 2022, 12, 10545. [Google Scholar]
- Patti, A.; Cicala, G.; Acierno, S. Rotational Rheology of Wood Flour Composites Based on Recycled Polyethylene. Polymers 2021, 13, 2226. [Google Scholar] [CrossRef]
- Phung, A.T.; Dzung, H.T.; Linh, N.P.D.; Duc, V.M.; Liem, N.T. Acrylonitrile butadiene styrene/wood sawdust particles composites: Mechanical and morphological properties. Iran. Polym. J. 2023, 1–12. [Google Scholar] [CrossRef]
- Threepopnatkul, P.; Teppinta, W.; Sombatsompop, N. Effect of Co-monomer Ratio in ABS and Wood Content on Processing and Properties in Wood/ABS Composites. Fibers Polym. 2011, 12, 1007–1013. [Google Scholar] [CrossRef]
- Zong, G.G.; Hao, X.L.; Hao, J.X.; Tang, W.; Fang, Y.Q.; Ou, R.X.; Wang, Q.W. High-strength, lightweight, co-extruded wood flour-polyvinyl chloride/lumber composites: Effects of wood content in shell layer on mechanical properties, creep resistance, and dimensional stability. J. Clean. Prod. 2020, 244, 118860. [Google Scholar] [CrossRef]
- Li, J.L.; Huo, R.L.; Liu, W.Y.; Fang, H.; Jiang, L.; Zhou, D. Mechanical properties of PVC-based wood–plastic composites effected by Temperature. Front. Mater. 2022, 9, 989040. [Google Scholar] [CrossRef]
- Mirko, K.; Milan, S.; Murčo, O.; Manja, K.K. Effect of wood content in FDM filament on properties of 3D printed parts. Mater. Today Commun. 2018, 14, 135–140. [Google Scholar]
- Jubinville, D.; Tzoganakis, C.; Mekonnen, T.H. Recycled PLA-Wood flour based biocomposites: Effect of wood flour surface modification, PLA recycling, and maleation. Constr. Build. Mater. 2022, 352, 129026. [Google Scholar] [CrossRef]
- Musioł, M.; Jurczyk, S.; Sobota, M.; Klim, M.; Sikorska, W.; Zięba, M.; Janeczek, H.; Rydz, J.; Kurcok, P.; Johnston, B.; et al. (Bio)Degradable Polymeric Materials for Sustainable Future-Part 3: Degradation Studies of the PHA/Wood Flour-Based Composites and Preliminary Tests of Antimicrobial Activity. Materials 2020, 13, 2200. [Google Scholar] [CrossRef] [PubMed]
- Tian, J.; Zhang, R.; Wu, Y.H.; Xue, P. Additive manufacturing of wood flour/polyhydroxyalkanoates (PHA) fully bio-based composites based on micro-screw extrusion system. Mater. Des. 2021, 199, 109418. [Google Scholar] [CrossRef]
- Cintra, C.S.; Braga, N.F.; Morgado, G.F.D.; Montanheiro, T.L.D.; Marini, J.; Passador, F.R.; Montagna, L.S. Development of new biodegradable composites materials from polycaprolactone and wood flour. Wood Mater. Sci. Eng. 2022, 17, 586–597. [Google Scholar] [CrossRef]
- Wu, C.-S. Analysis of Mechanical, Thermal, and Morphological Behavior of Polycaprolactone/Wood Flour Blends. J. Appl. Polym. Sci. 2004, 94, 1000–1006. [Google Scholar] [CrossRef]
- Weng, F.Q.; Liu, X.M.; Koranteng, E.; Ma, N.; Wu, Z.S.; Wu, Q.X. Structure and properties of a compatible wood-plastic composite prepared by using poly(butylene succinate)-based polyurethane prepolymer. Polym. Compos. 2019, 40, 4694–4703. [Google Scholar] [CrossRef]
- Park, C.-W.; Youe, W.-J.; Han, S.-Y.; Park, J.-S.; Lee, E.-A.; Park, J.-Y.; Kwon, G.-J.; Kim, S.-J.; Lee, S.-H. Influence of Lignin and Polymeric Diphenylmethane Diisocyante Addition on the Properties of Poly(butylene succinate)/Wood Flour Composite. Polymers 2019, 11, 1161. [Google Scholar] [CrossRef]
- Botta, L.; Titone, V.; Teresi, R.; Scarlata, M.C.; Re, G.L.; Mantia, F.P.L.; Lopresti, F. Biocomposite PBAT/lignin blown films with enhanced photo-stability. Int. J. Biol. Macromol. 2022, 217, 161–170. [Google Scholar] [CrossRef]
- Teklu, T.; Wangatia, L.M.; Alemayehu, E. Effect of Surface Modification of Sisal Fibers on Water Absorption and Mechanical Properties of Polyaniline Composite. Polym. Compos. 2017, 40, E46–E52. [Google Scholar] [CrossRef]
- Wu, J.; Yi, Z.X.; Zhong, T.; Zhang, W.; Chen, H. Bamboo slivers with high strength and toughness prepared by alkali treatment at a proper temperature. J. Wood Sci. 2023, 69, 13. [Google Scholar] [CrossRef]
- Thygesen, A.; Fernando, D.; Ståhl, K.; Daniel, G.; Mensah, M.; Meyer, A.S. Cell wall configuration and ultrastructure of cellulose crystals in green seaweeds. Cellulose 2021, 28, 2763–2778. [Google Scholar] [CrossRef]
- Zhai, X.S.; Wang, W.T.; Zhang, H.; Dai, Y.Y.; Dong, H.Z.; Hou, H.X. Effects of high starch content on the physicochemical properties of starch/PBAT nanocomposite films prepared by extrusion blowing. Carbohydr. Polym. 2020, 239, 116231. [Google Scholar] [CrossRef] [PubMed]
- Mtibe, A.; Hlekelele, L.; Kleyi, P.E.; Muniyasamy, S.; Nomadolo, N.E.; Ofosu, O.; Ojijo, V.; John, M.J. Fabrication of a Polybutylene Succinate (PBS)/PolybutyleneAdipate-Co-Terephthalate (PBAT)-Based Hybrid SystemReinforced with Lignin and Zinc Nanoparticles for PotentialBiomedical Applications. Polymers 2022, 14, 5065. [Google Scholar] [CrossRef] [PubMed]
- Raksaksri, L.; Ruksakulpiwat, Y.; Udomkitpanya, T. The Properties of Tannery Waste Addition as a Filler Based on Two Types of Polymer Matrices: Poly(Butylene Adipate-Co-Terephthalate) (PBAT) and Poly(Butylene Succinate) (PBS). Adv. Polym. Technol. 2023, 2023, 8301108. [Google Scholar] [CrossRef]
- Quitadamo, A.; Massardier, V.; Valente, M. Eco-Friendly Approach and Potential Biodegradable Polymer Matrix for WPC Composite Materials in Outdoor Application. Int. J. Polym. Sci. 2019, 2019, 3894370. [Google Scholar] [CrossRef]
- Hatakeyama, H.; Ohsuga, T.; Hatakeyama, T. Thermogravimetry on wood powder-filled polyurethane composites derived from lignin. J. Therm. Anal. Calorim. 2014, 118, 23–30. [Google Scholar] [CrossRef]
- Lule, Z.C.; Kim, J. Properties of economical and eco-friendly polybutylene adipate terephthalate composites loaded with surface treated coffee husk. Compos. Part A 2021, 140, 106154. [Google Scholar] [CrossRef]
- Deng, Y.; Thomas, N.L. Blending poly(butylene succinate) with poly(lactic acid): Ductility and phase inversion effects. Eur. Polym. J. 2015, 71, 534–546. [Google Scholar] [CrossRef]
- Dai, X.; Cao, Y.; Shi, X.W.; Wang, X.L. Non-isothermal crystallization kinetics, thermal degradation behavior and mechanical properties of poly(lactic acid)/MOF composites prepared by melt-blending methods. RSC Adv. 2016, 6, 71461–71471. [Google Scholar] [CrossRef]
- Giri, J.; Lach, R.; Le, H.H.; Grellmann, W.; Saiter, J.M.; Henning, S.; Radusch, H.J. Structural, thermal and mechanical properties of composites of poly(butylene adipate-co-terephthalate) with wheat straw microcrystalline cellulose. Polym. Bull. 2020, 78, 4779–4795. [Google Scholar] [CrossRef]
- Ayrilmis, N.; Kariž, M.; Kuzman, M.K. Effect of wood flour content on surface properties of 3D printed materials produced from wood flour/PLA filament. Int. J. Polym. Anal. Charact. 2019, 24, 659–666. [Google Scholar] [CrossRef]
- Preampree, S.; Thanyapanich, T.; Boonmahittsud, A.; Intatha, U.; Tawichai, N.; Soykeabkaew, N. Effects of mold sealing and fiber volume fraction on properties of rice straw/unsaturated polyester biocomposites. ScienceAsia 2020, 46, 85–90. [Google Scholar] [CrossRef]
- Zaman, H.U.; Khan, R.A. Acetylation used for natural fiber/polymer composites. J. Thermoplast. Compos. Mater. 2021, 34, 3–23. [Google Scholar] [CrossRef]
- GB/T 1043.1-2008; Plastics—Determination of Charpy Impact Properties—Part 1: Non-Instrumented Impact Test. Standardization Administration of China: Beijing, China, 2008. Available online: https://www.chinesestandard.net/PDF/English.aspx/GBT1043.1-2008 (accessed on 10 December 2023).









| Sample Code | Ti | Tp,1 | Tp,2 | Tf |
|---|---|---|---|---|
| PBAT | 369.38 | 420.41 | 450.02 | |
| 10%WF/PBAT | 361.22 | 417.14 | 448.62 | |
| 20%WF/PBAT | 346.94 | 418.36 | 446.32 | |
| 30%WF/PBAT | 344.90 | 370.12 | 415.51 | 444.65 |
| 40%WF/PBAT | 342.86 | 369.80 | 415.10 | 443.57 |
| 50%WF/PBAT | 342.04 | 368.96 | 415.14 | 440.82 |
| Sample Code | Tcc/°C | ΔHc (J/g) | Tm/°C | ΔHm (J/g) | Xc/% |
|---|---|---|---|---|---|
| PBAT | 71.3 | −17.39 | 122.7 | 13.43 | 11.78 |
| 10%WF/PBAT | 85.9 | −11.93 | 120.2 | 11.11 | 10.83 |
| 20%WF/PBAT | 86.2 | −9.32 | 120.9 | 9.44 | 10.35 |
| 30%WF/PBAT | 88.4 | −9.23 | 120.6 | 8.59 | 10.76 |
| 40%WF/PBAT | 94.2 | −6.73 | 123.9 | 7.15 | 10.46 |
| 50%WF/PBAT | 94.7 | −6.19 | 123.0 | 5.15 | 9.04 |
| Sample Code | PBAT | 10%WF/PBAT | 20%WF/PBAT | 30%WF/PBAT | 40%WF/PBAT | 50%WF/PBAT |
|---|---|---|---|---|---|---|
| Contact angle/° | 59.9 ±6.0 | 82.8 ±7.5 | 88.0 ±1.8 | 90.1 ±4.0 | 92.1 ±3.9 | 95.2 ±4.2 |
| Sample Code | Tensile Strength (MPa) | Tensile Modulus (Mpa) | Elongation at Break (%) | Flexural Strength (Mpa) | Flexural Modulus (Mpa) | Impact Strength (kJ/m2) |
|---|---|---|---|---|---|---|
| 50%E-WF/ PBAT | 12.99 ±0.50 | 305.82 ±18.53 | 12.41 ±1.24 | 17.70 ±0.55 | 605.30 ±16.82 | 14.95 ±1.13 |
| Sample Codes | PBAT | 10%WF/PBAT | 20%WF/PBAT | 30%WF/PBAT | 40%WF/PBAT | 50%WF/PBAT |
|---|---|---|---|---|---|---|
| PBAT/wt.% | 100 | 90 | 80 | 70 | 60 | 50 |
| WF/wt.% | 0 | 10 | 20 | 30 | 40 | 50 |
Disclaimer/Publisher’s Note: The statements, opinions and data contained in all publications are solely those of the individual author(s) and contributor(s) and not of MDPI and/or the editor(s). MDPI and/or the editor(s) disclaim responsibility for any injury to people or property resulting from any ideas, methods, instructions or products referred to in the content. |
© 2023 by the authors. Licensee MDPI, Basel, Switzerland. This article is an open access article distributed under the terms and conditions of the Creative Commons Attribution (CC BY) license (https://creativecommons.org/licenses/by/4.0/).
Share and Cite
Yu, W.; Qiu, R.; Li, M.; Lei, W. Effects of Wood Content and Modification on Properties of Wood Flour/Polybutylene Adipate Terephthalate Biocomposites. Molecules 2023, 28, 8057. https://doi.org/10.3390/molecules28248057
Yu W, Qiu R, Li M, Lei W. Effects of Wood Content and Modification on Properties of Wood Flour/Polybutylene Adipate Terephthalate Biocomposites. Molecules. 2023; 28(24):8057. https://doi.org/10.3390/molecules28248057
Chicago/Turabian StyleYu, Wangwang, Rui Qiu, Mengya Li, and Wen Lei. 2023. "Effects of Wood Content and Modification on Properties of Wood Flour/Polybutylene Adipate Terephthalate Biocomposites" Molecules 28, no. 24: 8057. https://doi.org/10.3390/molecules28248057
APA StyleYu, W., Qiu, R., Li, M., & Lei, W. (2023). Effects of Wood Content and Modification on Properties of Wood Flour/Polybutylene Adipate Terephthalate Biocomposites. Molecules, 28(24), 8057. https://doi.org/10.3390/molecules28248057

