Comprehensive Evaluation of the Bioactive Composition and Neuroprotective and Antimicrobial Properties of Vacuum-Dried Broccoli (Brassica oleracea var. italica) Powder and Its Antioxidants
Abstract
1. Introduction
2. Results and Discussion
2.1. Drying Kinetics and Mathematical Modeling
2.2. Proximate Composition of Fresh and Powdered Broccoli
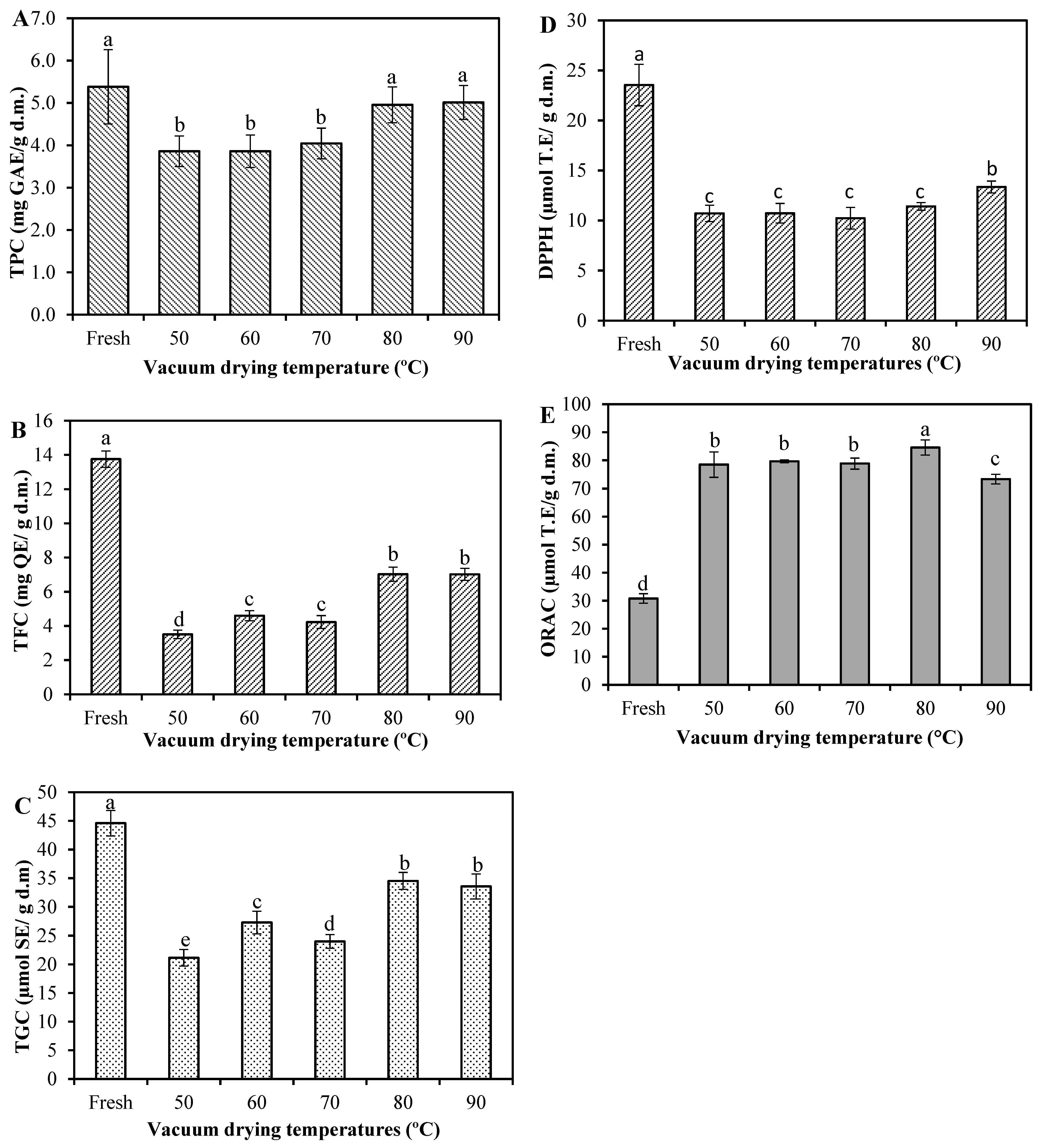
2.3. Bioactive Compounds and Antioxidant Potential of Fresh and Powdered Broccoli
2.4. Phenolic Profiles of Fresh and Powdered Broccoli
2.5. Neuroprotective Effect of Fresh and Powdered Broccoli
2.6. Antimicrobial Effect of Broccoli Powder
3. Materials and Methods
3.1. Chemicals
3.2. Raw Material and Sample Preparation
3.3. Vacuum-Drying Procedure
3.4. Determination of the Desorption Isotherm
3.5. Drying Kinetics Modeling
3.6. Moisture Content, and Proximate Composition
3.7. Determination of Bioactive Compounds and Antioxidant Potential
3.7.1. Preparation of Broccoli Extracts
3.7.2. Determination of Total Phenolic and Flavonoid Contents
3.7.3. Determination of Total Glucosinolate Content
3.7.4. Antioxidant Potential Measurement
3.7.5. Chromatographic Analysis
3.8. Neuroprotective Potential
3.8.1. Cell Culture
3.8.2. Cell Viability Assay
3.9. Extraction and Antimicrobial Potential
3.9.1. Preparation of the Broccoli Extracts by Supercritical Fluid Extraction (SFE)
3.9.2. Culture Maintenance and Inoculum Preparation
3.9.3. Antimicrobial Zone Inhibition Assay
3.10. Statistical Analysis
4. Conclusions
Author Contributions
Funding
Institutional Review Board Statement
Informed Consent Statement
Data Availability Statement
Acknowledgments
Conflicts of Interest
References
- Thomas, M.; Badr, A.; Desjardins, Y.; Gosselin, A.; Angers, P. Characterization of industrial broccoli discards (Brassica oleracea var. italica) for their glucosinolate, polyphenol and flavonoid contents using UPLC MS/MS and spectrophotometric methods. Food Chem. 2018, 245, 1204–1211. [Google Scholar] [CrossRef] [PubMed]
- Cao, Y.; Tao, Y.; Zhu, X.; Han, Y.; Li, D.; Liu, C.; Liao, X.; Show, P.L. Effect of microwave and air-borne ultrasound-assisted air drying on drying kinetics and phytochemical properties of broccoli floret. Dry. Technol. 2020, 38, 1733–1748. [Google Scholar] [CrossRef]
- Liu, M.; Zhang, L.; Ser, S.L.; Cumming, J.R.; Ku, K.M. Comparative phytonutrient analysis of broccoli by-products: The potentials for broccoli by-product utilization. Molecules 2018, 23, 900. [Google Scholar] [CrossRef] [PubMed]
- Li, H.; Xia, Y.; Liu, H.Y.; Guo, H.; He, X.Q.; Liu, Y.; Wu, D.T.; Mai, Y.H.; Li, H.B.; Zou, L.; et al. Nutritional values, beneficial effects, and food applications of broccoli (Brassica oleracea var. italica Plenck). Trends Food Sci. Technol. 2022, 119, 288–308. [Google Scholar] [CrossRef]
- Traka, M.H. Chapter 9—Health benefits of glucosinolates. In Advances in Botanical; Kopriva, S., Ed.; Academic Press: Cambridge, MA, USA, 2016; pp. 247–279. [Google Scholar]
- Luo, S.; An, R.; Zhou, H.; Zhang, Y.; Ling, J.; Hu, H.; Li, P. The glucosinolate profiles of Brassicaceae vegetables responded differently to quick-freezing and drying methods. Food Chem. 2022, 383, 132624. [Google Scholar] [CrossRef] [PubMed]
- Herr, I.; Büchler, M.W. Dietary constituents of broccoli and other cruciferous vegetables: Implications for prevention and therapy of cancer. Cancer Treat. Rev. 2010, 36, 377–383. [Google Scholar] [CrossRef] [PubMed]
- Prieto, M.A.; López, C.J.; Simal-Gandara, J. Glucosinolates: Molecular structure, breakdown, genetic, bioavailability, properties and healthy and adverse effects. In Advances in Food and Nutrition Research; Academic Press: Cambridge, MA, USA, 2019; pp. 1–46. [Google Scholar]
- Giacoppo, S.; Galuppo, M.; Montaut, S.; Lori, R.; Rollin, P.; Bramanti, P.; Mazzon, E. An overview on neuroprotective effects of isothiocyanates for the treatment of neurodegenerative diseases. Fitoterapia 2015, 106, 12–21. [Google Scholar] [CrossRef]
- Morroni, F.; Sita, G.; Djemil, A.; D’Amico, M.; Pruccoli, L.; Cantelli-Forti, G.; Hrelia, P.; Tarozzi, A. Comparison of Adaptive Neuroprotective Mechanisms of Sulforaphane and its Interconversion Product Erucin in in Vitro and in Vivo Models of Parkinson’s Disease. J. Agric. Food Chem. 2018, 66, 856–865. [Google Scholar] [CrossRef]
- Schepici, G.; Bramanti, P.; Mazzon, E. Efficacy of sulforaphane in neurodegenerative diseases. Int. J. Mol. Sci. 2020, 21, 8637. [Google Scholar] [CrossRef]
- Choi, J.W.; Kim, S.; Yoo, J.S.; Kim, H.J.; Kim, H.J.; Kim, B.E.; Lee, E.H.; Lee, Y.S.; Park, J.H.; Park, K.D. Development and optimization of halogenated vinyl sulfones as Nrf2 activators for the treatment of Parkinson’s disease. Eur. J. Med. Chem. 2021, 212, 113103. [Google Scholar] [CrossRef]
- Andini, S.; Araya-Cloutier, C.; Lay, B.; Vreeke, G.; Hageman, J.; Vincken, J.P. QSAR-based physicochemical properties of isothiocyanate antimicrobials against gram-negative and gram-positive bacteria. LWT-Food Sci. Technol. 2021, 144, 111222. [Google Scholar] [CrossRef]
- Saavedra-Leos, M.Z.; Leyva-Porras, C.; Toxqui-Terán, A.; Espinosa-Solis, V. Physicochemical properties and antioxidant activity of spray-dry broccoli (Brassica oleracea var Italica) stalk and floret juice powders. Molecules 2021, 26, 1973. [Google Scholar] [CrossRef]
- Ali, A.; Oon, C.C.; Chua, B.L.; Figiel, A.; Chong, C.H.; Wojdylo, A.; Turkiewicz, I.P.; Szumny, A.; Yczko, J.Ł. Volatile and polyphenol composition, anti-oxidant, anti-diabetic and antiaging properties, and drying kinetics as affected by convective and hybrid vacuum microwave drying of Rosmarinus officinalis L. Ind. Crops Prod. 2020, 151, 112463. [Google Scholar] [CrossRef]
- Chauhan, A.; Singh, S.; Dhar, A.; Powar, S. Optimization of pineapple drying based on energy consumption, nutrient retention, and drying time through multi-criteria decision making. J. Clean. Prod. 2021, 292, 125913. [Google Scholar] [CrossRef]
- Salim, N.S.; Gariépy, Y.; Raghavan, V. Hot air drying and microwave-assisted hot air drying of broccoli stalk slices (Brassica oleracea L. var. Italica). J. Food Pro. Preserv. 2017, 41, e12905. [Google Scholar] [CrossRef]
- Xu, Y.; Xiao, Y.; Lagnika, C.; Song, J.; Li, D.; Liu, C.; Jiang, N.; Zhang, M.; Duan, X. A comparative study of drying methods on physical characteristics, nutritional properties and antioxidant capacity of broccoli. Dry. Technol. 2020, 38, 1378–1388. [Google Scholar] [CrossRef]
- Vargas, L.; Kapoor, R.; Nemzer, B.; Feng, H. Application of different drying methods for evaluation of phytochemical content and physical properties of broccoli, kale, and spinach. LWT-Food Sci. Technol. 2022, 155, 112892. [Google Scholar] [CrossRef]
- Li, Y.; Wang, X.; Wu, Z.; Wan, N.; Yang, M. Dehydration of hawthorn fruit juices using ultrasound-assisted vacuum drying. Ultrason. Sonochem. 2020, 68, 105219. [Google Scholar] [CrossRef]
- Menon, A.; Stojceska, V.; Tassou, S.A. A systematic review on the recent advances of the energy efficiency improvements in non-conventional food drying technologies. Trends Food Sci. Technol. 2020, 100, 67–76. [Google Scholar] [CrossRef]
- Mallek-Ayadi, S.; Bahloul, N.; Kechaou, N. Mathematical modelling of water sorption isotherms and thermodynamic properties of Cucumis melo L. seeds. LWT-Food Sci. Technol. 2020, 131, 109727. [Google Scholar] [CrossRef]
- Dapabko, S.K.; Nono, Y.J.; Arebga, A.W.; Kapseu, C.; Puiggali, J.R. Determination and modeling desorption isotherms of okra (Abelmoschus esculentus L. Moench) and sweet green pepper (Capsicum Annum L. Moench). J. Biosyst. Eng. 2021, 46, 60–80. [Google Scholar] [CrossRef]
- Al-Muhtaseb, A.H.; McMinn, W.A.M.; Magee, T.R.A. Moisture sorption isotherm characteristics of food products: A review. Food Bioprod. Process. 2002, 80, 118–128. [Google Scholar] [CrossRef]
- Seetapan, N.; Limparyoon, N.; Fuongfuchat, A.; Gamonpilas, C.; Methacanon, P. Effect of freezing rate and starch granular morphology on ice formation and non-freezable water content of flour and starch gels. Int. J. Food Prop. 2015, 19, 1616–1630. [Google Scholar] [CrossRef]
- Doymaz, I.; Sahin, M. Effect of temperature and pre-treatment on drying and rehydration characteristics of broccoli slices. J. Food Meas. Charact. 2016, 10, 364–373. [Google Scholar] [CrossRef]
- Liu, Z.L.; Bai, J.W.; Yang, W.X.; Wang, J.; Deng, L.Z.; Yu, X.L.; Zheng, Z.A.; Gao, Z.J.; Xiao, H.W. Effect of high-humidity hot air impingement blanching (HHAIB) and drying parameters on drying characteristics and quality of broccoli florets. Dry. Technol. 2019, 37, 1251–1264. [Google Scholar] [CrossRef]
- Midilli, A.; Kucuk, H.; Yapar, Z. A new model for single-layer drying. Dry. Technol. 2002, 20, 1503–1513. [Google Scholar] [CrossRef]
- Campas-Baypoli, O.N.; Sánchez-Machado, D.I.; Bueno-Solano, C.; Núñez-Gastélum, J.A.; Reyes-Moreno, C.; López-Cervantes, J. Biochemical composition and physicochemical properties of broccoli flours. Int. J. Food Sci. Nutr. 2009, 60, 163–173. [Google Scholar] [CrossRef]
- Djikeng, F.T.; Ndambwe, C.M.M.; Ngangoum, E.S.; Tiencheu, B.; Tene, S.T.; Achidi, A.U.; Womeni, H.M. Effect of different processing methods on the proximate composition, mineral content and functional properties of snail (Archachatina marginata) meat. J. Agric. Food Res. 2022, 8, 100298. [Google Scholar] [CrossRef]
- Cheng, R.; Liao, X.; Addou, A.M.; Qian, J.; Wang, S.; Cheng, Z.; Wang, L.; Huang, J. Effects of “nine steaming nine sun-drying” on proximate composition, oil properties and volatile compounds of black sesame seeds. Food Chem. 2021, 344, 128577. [Google Scholar] [CrossRef]
- Kumar, Y.; Singh, L.; Sharanagat, V.S.; Mani, S.; Kumar, S.; Kumar, A. Quality attributes of convective hot air-dried spine gourd (Momordica dioica Roxb Ex Willd) slices. Food Chem. 2021, 347, 129041. [Google Scholar] [CrossRef]
- Halkier, B.A.; Gershenzon, J. Biology and biochemistry of glucosinolates. Annu. Rev. Plant. Biol. 2006, 57, 303–333. [Google Scholar] [CrossRef]
- Emami, F.; Vatanara, A.; Park, E.J.; Na, D.H. Drying technologies for the stability and bioavailability of biopharmaceuticals. Pharmaceutics 2018, 10, 131. [Google Scholar] [CrossRef]
- Yilmaz, M.S.; Sakiyan, O.; Mazi, I.B.; Mazi, B.G. Phenolic content and some physical properties of dried broccoli as affected by drying method. Food Sci. Technol. Int. 2018, 25, 76–88. [Google Scholar] [CrossRef]
- Jaiswal, A.K.; Abu-Ghannam, N.; Gupta, S. A comparative study on the polyphenolic content, antibacterial activity and antioxidant capacity of different solvent extracts of Brassica oleracea vegetables. Int. J. Food Sci. Technol. 2012, 47, 223–231. [Google Scholar] [CrossRef]
- Li, Z.; Zheng, S.; Liu, Y.; Fang, Z.; Yang, L.; Zhuang, M.; Zhang, Y.; Lv, H.; Wang, Y.; Xu, D. Characterization of glucosinolates in 80 broccoli genotypes and different organs using UHPLC-Triple-TOF-MS method. Food Chem. 2021, 334, 127519. [Google Scholar] [CrossRef]
- Liu, Y.; Liao, Y.; Guo, M.; Zhang, W.; Sang, Y.; Wang, H.; Cheng, S.; Chen, G. Comparative elucidation of bioactive and volatile components in dry mature jujube fruit (Ziziphus jujuba Mill.) subjected to different drying methods. Food Chem. X 2022, 14, 100311. [Google Scholar] [CrossRef]
- Bhat, T.A.; Hussain, S.Z.; Wani, S.M.; Rather, M.A.; Reshi, M.; Naseer, B.; Qadri, T.; Khalil, A. The impact of different drying methods on antioxidant activity, polyphenols, vitamin C and rehydration characteristics of Kiwifruit. Food Biosci. 2022, 48, 101821. [Google Scholar] [CrossRef]
- Tao, Y.; Han, M.; Gao, X.; Han, Y.; Show, P.L.; Liu, C.; Ye, X.; Xie, G. Applications of water blanching, surface contacting ultrasound-assisted air drying, and their combination for dehydration of white cabbage: Drying mechanism, bioactive profile, color and rehydration property. Ultrason. Sonochem. 2019, 53, 192–201. [Google Scholar] [CrossRef]
- Costa-Pérez, A.; Moreno, D.A.; Periago, P.M.; García-Viguera, C.; Domínguez-Perles, R. A new food ingredient rich in bioaccessible (poly)phenols (and glucosinolates) obtained from stabilized broccoli stalks. Foods 2022, 11, 1734. [Google Scholar] [CrossRef]
- Oliviero, T.; Verkerk, R.; Dekker, M. A research approach for quality based design of healthy foods: Dried broccoli as a case study. Trends Food Sci. Technol. 2013, 30, 178–184. [Google Scholar] [CrossRef]
- Marino, M.; Martini, D.; Venturi, S.; Tucci, M.; Porrini, M.; Riso, P.; Del Bo’, C. An overview of registered clinical trials on glucosinolates and human health: The current situation. Front. Nutr. 2021, 8, 730906. [Google Scholar] [CrossRef] [PubMed]
- Ninfali, P.; Bacchiocca, M. Polyphenols and antioxidant capacity of vegetables under fresh and frozen conditions. J. Agric. Food Chem. 2003, 51, 2222–2226. [Google Scholar] [CrossRef] [PubMed]
- Roy, M.K.; Juneja, L.R.; Isobe, S.; Tsushida, T. Steam processed broccoli (Brassica oleracea) has higher antioxidant activity in chemical and cellular assay systems. Food Chem. 2009, 114, 263–269. [Google Scholar] [CrossRef]
- Zulueta, A.; Esteve, M.J.; Frígola, A. ORAC and TEAC assays comparison to measure the antioxidant capacity of food products. Food Chem. 2009, 114, 310–316. [Google Scholar] [CrossRef]
- López-Hernández, A.A.; Ortega-Villarreal, A.S.; Rodríguez, J.A.V.; Lomelí, M.L.C.; González-Martínez, B.E. Application of different cooking methods to improve nutritional quality of broccoli (Brassica oleracea var. italica) regarding its compounds content with antioxidant activity. Int. J. Gastron. Food Sci. 2022, 28, 100510. [Google Scholar] [CrossRef]
- Zhu, R.; Jiang, S.; Li, D.; Law, C.L.; Han, Y.; Tao, Y.; Kiani, H.; Liu, D. Dehydration of apple slices by sequential drying pretreatments and airborne ultrasound assisted air drying: Study on mass transfer, profiles of phenolics and organic acids and PPO activity. Innov. Food Sci. Emerg. Technol. 2022, 75, 102871. [Google Scholar] [CrossRef]
- Duan, Y.; Santiago, F.E.M.; dos Reis, A.R.; de Figueiredo, M.A.; Zhou, S.; Thannhauser, T.W.; Li, L. Genotypic variation of flavonols and antioxidant capacity in broccoli. Food Chem. 2021, 338, 127997. [Google Scholar] [CrossRef]
- Honarmand, S.; Dabirmanesh, B.; Amanlou, M.; Khajeh, K. The interaction of several herbal extracts with α-synuclein: Fibril formation and surface plasmon resonance analysis. PLoS ONE 2019, 14, e0217801. [Google Scholar] [CrossRef]
- Masci, A.; Mattioli, R.; Costantino, P.; Baima, S.; Morelli, G.; Punzi, P.; Giordano, C.; Pinto, A.; Donini, L.M.; d’Erme, M.; et al. Neuroprotective effect of Brassica oleracea sprouts crude juice in a cellular model of Alzheimer’s disease. Oxid. Med. Cell. Longev. 2015, 2015, 781938. [Google Scholar] [CrossRef]
- Pacheco-Cano, R.D.; Salcedo-Hernández, R.; López-Meza, J.E.; Bideshi, D.K.; Barboza-Corona, J.E. Antimicrobial activity of broccoli (Brassica oleracea var. italica) cultivar Avenger against pathogenic bacteria, phytopathogenic filamentous fungi and yeast. J. Appl. Microbiol. 2017, 124, 126–135. [Google Scholar] [CrossRef]
- Sun, Y.; Wang, Y.; Xu, Y.; Chen, T.; Li, B.; Zhang, Z.; Tian, S. Application and mechanism of benzyl-isothiocyanate, a natural antimicrobial agent from cruciferous vegetables, in controlling postharvest decay of strawberry. Postharvest Biol. Technol. 2021, 180, 111604. [Google Scholar] [CrossRef]
- Li, L.; Lee, W.; Lee, W.J.; Auh, J.H.; Kim, S.S.; Yoon, J. Extraction of allyl isothiocyanate from wasabi (Wasabia japonica Matsum) using supercritical carbon dioxide. Food Sci. Biotechnol. 2010, 19, 405–410. [Google Scholar] [CrossRef]
- Valková, V.; Dúranová, H.; Galovicová, L.; Borotová, P.; Vukovic, N.L.; Vukic, M.; Kacániová, M. Cymbopogon citratus essential oil: Its application as an antimicrobial agent in food preservation. Agronomy 2022, 12, 155. [Google Scholar] [CrossRef]
- Maria-Neto, S.; de Almeida, K.C.; Macedo, M.L.R.; Franco, O.L. Understanding bacterial resistance to antimicrobial peptides: From the surface to deep inside. Biochim. Biophys. Acta 2015, 1848, 3078–3088. [Google Scholar] [CrossRef]
- Mongalo, N.I.; McGaw, L.J.; Finnie, J.F.; Van Staden, J. Isolation and characterization of antimicrobial and anti-inflammatory triterpenoids from the acetone extract of Grewia flava DC. (Malvaceae) roots. S. Afr. J. Bot. 2022, 149, 87–95. [Google Scholar] [CrossRef]
- Abukhabta, S.; Ghawi, S.K.; Karatzas, K.A.; Charalampopoulos, D.; McDougall, G.; Allwood, J.W.; Verrall, S.; Lavery, S.; Latimer, C.; Pourshahidi, L.K.; et al. Sulforaphane-enriched extracts from glucoraphanin-rich broccoli exert antimicrobial activity against gut pathogens in vitro and innovative cooking methods increase in vivo intestinal delivery of sulforaphane. Eur. J. Nutr. 2021, 60, 1263–1276. [Google Scholar] [CrossRef]
- Gudiño, I.; Martín, A.; Casquete, R.; Prieto, M.H.; Ayuso, M.C.; Córdoba, M.G. Evaluation of broccoli (Brassica oleracea var. italica) crop by-products as sources of bioactive compounds. Sci. Hortic. 2022, 304, 111284. [Google Scholar] [CrossRef]
- Spiess, W.; Wolf, W. The results of the COST 90 project on water activity. In Physical Properties of Foods; Jowitt, R., Escher, F., Hallstrom, F., Meffert, M., Spiess, W., Vos, G., Eds.; Applied Science Publisher: London, UK, 1983; pp. 65–91. [Google Scholar]
- Inyang, U.E.; Oboh, I.O.; Etuk, B.R. Kinetic Models for Drying Techniques—Food Materials. Adv. Chem. Eng. Sci. 2018, 8, 27–48. [Google Scholar] [CrossRef]
- AOAC. Official Methods of Analysis, 16th ed.; AOAC International: Arlington, VA, USA, 1996. [Google Scholar]
- Ke, Y.Y.; Shyu, Y.T.; Wu, S.J. Evaluating the anti-inflammatory and antioxidant effects of broccoli treated with high hydrostatic pressure in cell models. Foods 2021, 10, 167. [Google Scholar] [CrossRef]
- Puente, L.; Vega-Gálvez, A.; Fuentes, I.; Stucken, K.; Rodríguez, A.; Pastén, A. Effects of drying methods on the characterization of fatty acids, bioactive compounds and antioxidant capacity in a thin layer of physalis (Physalis peruviana L.) pulp. J. Food Sci. Technol. 2021, 58, 1470–1479. [Google Scholar] [CrossRef]
- Aghajanzadeh, T.; Hawkesford, M.J.; De Kok, L.J. The significance of glucosinolates for sulfur storage in Brassicaceae seedlings. Front. Plant Sci. 2014, 5, 704. [Google Scholar] [CrossRef] [PubMed]
- de Camargo, A.C.; Alvarez, A.C.; Arias-Santé, M.F.; Oyarzún, J.E.; Andia, M.E.; Uribe, S.; Pizarro, P.N.; Bustos, S.M.; Schwember, A.R.; Shahidi, F.; et al. Soluble free, esterified and insoluble-bound phenolic antioxidants from chickpeas prevent cytotoxicity in human hepatoma HuH-7 cells induced by peroxyl radicals. Antioxidants 2022, 11, 1139. [Google Scholar] [CrossRef] [PubMed]
- Goyeneche, R.; Fanovich, A.; Rodrigues, C.R.; Nicolao, M.C.; Di Scala, K. Supercritical CO2 extraction of bioactive compounds from radish leaves: Yield, antioxidant capacity and cytotoxicity. J. Supercrit. Fluids 2018, 135, 78–83. [Google Scholar] [CrossRef]
- Clinical Laboratory Standards Institute. Performance standards for antimicrobial susceptibility testing. In Clinical Laboratory Standards Institute; Approved standard—26th ed; CLSI document M100S: Wayne, PA, USA, 2016. [Google Scholar]



| Model | Parameters | Vacuum-Drying Temperatures (°C) | ||||
|---|---|---|---|---|---|---|
| 50 | 60 | 70 | 80 | 90 | ||
| Midilli–Kucuk | Equation | MR = a exp(−ktn) + bt | ||||
| a | 0.997300 ± 0.000100 | 0.995000 ± 0.002858 | 0.995367 ± 0.001922 | 0.995837 ± 0.003986 | 0.994267 ± 0.000153 | |
| k | 0.001129 ± 0.000092 | 0.000695 ± 0.000140 | 0.002098 ± 0.000057 | 0.001982 ± 0.000655 | 0.002154 ± 0.000138 | |
| n | 1.182333 ± 0.007371 | 1.353667 ± 0.021548 | 1.180333 ± 0.014295 | 1.274667 ± 0.000012 | 1.293000 ± 0.010440 | |
| b | 0.000008 ± 0.000006 | 0.000029 ± 0.000004 | 0.000011 ± 0.000005 | −0.000005 ± 0.000012 | 0.000012 ± 0.000014 | |
| R2 | 0.99994 | 0.99983 | 0.99986 | 0.99965 | 0.99951 | |
| SSE | 0.0000057 | 0.0000120 | 0.0000107 | 0.0000291 | 0.0000477 | |
| χ2 | 0.000007 | 0.000015 | 0.000014 | 0.000040 | 0.000069 | |
| Logarithmic | Equation | MR = a exp(−kt) + c | ||||
| a | 1.084382 ± 0.006208 | 1.136048 ± 0.021279 | 1.078490 ± 0.003831 | 1.111592 ± 0.033180 | 1.104668 ± 0.012193 | |
| k | 0.002983 ± 0.000199 | 0.004210 ± 0.000451 | 0.004997 ± 0.000287 | 0.006799 ± 0.001016 | 0.007945 ± 0.000368 | |
| c | −0.052828 ± 0.007588 | −0.079400 ± 0.022543 | −0.055687 ± 0.004800 | −0.076427 ± 0.029019 | −0.071284 ± 0.011698 | |
| R2 | 0.99807 | 0.99086 | 0.99764 | 0.98644 | 0.99448 | |
| SSE | 0.0001848 | 0.0005740 | 0.0001487 | 0.0004248 | 0.0005289 | |
| χ2 | 0.000217 | 0.000665 | 0.000181 | 0.000531 | 0.000688 | |
| Silva & Alii | Equation | MR = exp(−at − b√t) | ||||
| a | 0.004029 ± 0.000236 | 0.006686 ± 0.000403 | 0.006787 ± 0.000369 | 0.010668 ± 0.000871 | 0.012610 ± 0.000396 | |
| b | −0.013837 ± 0.000547 | −0.029878 ± 0.001048 | −0.017970 ± 0.000995 | −0.034889 ± 0.004209 | −0.039513 ± 0.002219 | |
| R2 | 0.99931 | 0.99791 | 0.99914 | 0.99766 | 0.99786 | |
| SSE | 0.0000694 | 0.0001857 | 0.0000728 | 0.0002105 | 0.0002111 | |
| χ2 | 0.000077 | 0.000204 | 0.000082 | 0.000243 | 0.000249 | |
| Weibull | Equation | MR = exp [−(t/β)α] | ||||
| β | 313.7490 ± 18.25255 | 221.2163 ± 14.40987 | 186.4917 ± 8.866578 | 135.2960 ± 13.33205 | 115.4380 ± 3.220747 | |
| α | 1.164667 ± 0.003055 | 1.299667 ± 0.023072 | 1.160000 ± 0.006000 | 1.268667 ± 0.055752 | 1.272333 ± 0.020033 | |
| R2 | 0.99989 | 0.99949 | 0.99983 | 0.99959 | 0.99945 | |
| SSE | 0.0000088 | 0.0000410 | 0.0000132 | 0.0000317 | 0.0000515 | |
| χ2 | 0.000010 | 0.000045 | 0.000015 | 0.000037 | 0.000061 | |
| Newton | Equation | MR = exp(−kt) | ||||
| k | 0.003202 ± 0.000183 | 0.004686 ± 0.000317 | 0.005525 ± 0.000277 | 0.007725 ± 0.000800 | 0.009007 ± 0.000254 | |
| R2 | 0.99307 | 0.98116 | 0.99397 | 0.98572 | 0.98605 | |
| SSE | 0.0007233 | 0.0017654 | 0.0005253 | 0.0013586 | 0.0014010 | |
| χ2 | 0.000761 | 0.001849 | 0.000558 | 0.001456 | 0.001518 | |
| Page | Equation | MR = exp(−ktn) | ||||
| k | 0.001239 ± 0.000080 | 0.000909 ± 0.000178 | 0.002327 ± 0.000056 | 0.002072 ± 0.000732 | 0.002384 ± 0.000257 | |
| n | 1.164833 ± 0.003280 | 1.299710 ± 0.023105 | 1.159854 ± 0.005859 | 1.268532 ± 0.055616 | 1.272576 ± 0.019979 | |
| R2 | 0.99989 | 0.99949 | 0.99983 | 0.99959 | 0.99945 | |
| SSE | 0.0000079 | 0.0000318 | 0.0000132 | 0.0000317 | 0.0000515 | |
| χ2 | 0.000009 | 0.000035 | 0.000015 | 0.000037 | 0.000061 | |
| Modified Page | Equation | MR = exp[−(kt)n] | ||||
| k | 0.003194 ± 0.000179 | 0.004534 ± 0.000303 | 0.005370 ± 0.000253 | 0.007442 ± 0.000777 | 0.008667 ± 0.000245 | |
| n | 1.164834 ± 0.003279 | 1.299710 ± 0.023106 | 1.159854 ± 0.005859 | 1.268530 ± 0.055616 | 1.272576 ± 0.019978 | |
| R2 | 0.99989 | 0.99949 | 0.99983 | 0.99959 | 0.99945 | |
| SSE | 0.0000088 | 0.0000411 | 0.0000132 | 0.0000317 | 0.0000515 | |
| χ2 | 0.000010 | 0.000045 | 0.000015 | 0.000037 | 0.000061 | |
| Parameters | Vacuum-Drying Temperature (°C) | |||||
|---|---|---|---|---|---|---|
| Fresh | 50 | 60 | 70 | 80 | 90 | |
| 1 Moisture | 87.25 ± 0.76 a | 10.09 ± 0.12 b | 9.69 ± 0.21 b | 7.03 ± 0.04 c | 6.23 ± 0.17 d | 4.95 ± 0.18 e |
| 2 Water activity () | 0.9893 ± 0.0001 a | 0.4695 ± 0.0028 b | 0.4394 ± 0.0011 c | 0.2915 ± 0.0016 d | 0.2442 ± 0.0022 e | 0.2131 ± 0.0049 f |
| 3 Fat | 1.18 ± 0.02 c | 4.13 ± 0.07 b | 4.69 ± 0.24 a | 4.63 ± 0.41 a | 4.37 ± 0.07 ab | 4.36 ± 0.13 ab |
| 3 Ash | 11.25 ± 1.16 a | 9.30 ± 0.03 b | 8.81 ± 0.38 b | 8.76 ± 0.06 b | 8.35 ± 0.37 b | 8.72 ± 0.06 b |
| 3 Crude protein | 29.91 ± 1.94 d | 36.00 ± 0.26 a | 33.26 ± 0.33 b | 36.54 ± 0.17 a | 34.19 ± 0.27 b | 31.46 ± 0.15 c |
| 3 Crude fiber | 11.47 ± 0.25 a | 9.97 ± 0.63 c | 8.67 ± 0.67 c | 8.86 ± 0.60 c | 9.21 ± 0.20 bc | 9.13 ± 0.44 bc |
| Parameters | Vacuum-Drying Temperature (°C) | |||||
|---|---|---|---|---|---|---|
| Fresh | 50 | 60 | 70 | 80 | 90 | |
| Ferulic acid | ND | 3.45 ± 0.17 b | 1.15 ± 0.21 e | 2.70 ± 0.09 c | 3.96 ± 0.32 a | 1.89 ± 0.20 d |
| Chlorogenic acid | 53.61 ± 3.64 d | 88.79 ± 5.21 ab | 72.01 ± 3.89 c | 70.31 ± 2.01 c | 94.47 ± 4.89 a | 87.80 ± 0.50 b |
| Sinapic acid | 1.25 ± 0.13 e | 28.38 ± 3.05 b | 16.22 ± 2.33 d | 26.31 ± 0.19 b | 44.95 ± 0.90 a | 22.91 ± 0.26 c |
| Caffeic acid | 9.06 ± 0.36 d | 11.71 ± 1.22 cd | 14.71 ± 2.00 ab | 12.04 ± 2.00 bc | 17.03 ± 2.25 a | 15.98 ± 0.50 a |
| Coumaric acid | LLOQ | 3.58 ± 0.75 a | 0.53 ± 0.10 b | 0.85 ± 0.21 b | LLOQ | LLOQ |
| Cryptochlorogenic acid | LLOQ | LLOQ | LLOQ | LLOQ | LLOQ | LLOQ |
| Quercetin | LLOQ | LLOQ | LLOQ | LLOQ | LLOQ | LLOQ |
| Kaempferol | ND | LLOQ | LLOQ | LLOQ | LLOQ | LLOQ |
| Isorhamnetin | LLOQ | LLOQ | LLOQ | LLOQ | LLOQ | LLOQ |
| Bacterial Strain | Concentration | Vacuum-Drying Temperature (°C) | 3 Negative | * Positive | ||||
|---|---|---|---|---|---|---|---|---|
| mg/mL | 50 | 60 | 70 | 80 | 90 | Control | Control | |
| 1Salmonella typhimurium | 50.0 | 18.6 ± 0.6 b | 15.7 ± 1.8 c | 17.5 ± 0.9 bc | 0.00 ± 0.0 d | 0.00 ± 0.0 d | 0.00 ± 0.0 d | 49.8 ± 0.2 a |
| 25.0 | 12.5 ± 0.5 b | 0.00 ± 0.0 c | 13.0 ± 1.0 b | 0.00 ± 0.0 c | 0.00 ± 0.0 c | 0.00 ± 0.0 c | 49.8 ± 0.2 a | |
| 1Escherichia coli | 50.0 | 13.4 ± 0.4 b | 12.9 ± 1.2 b | 11.6 ± 0.5 c | 0.00 ± 0.0 d | 0.00 ± 0.0 d | 0.00 ± 0.0 d | 34.3 ± 0.2 a |
| 25.0 | 10.7 ± 0.5 b | 9.3 ± 0.4 c | 8.8 ± 0.2 c | 0.00 ± 0.0 d | 0.00 ± 0.0 d | 0.00 ± 0.0 d | 34.3 ± 0.2 a | |
| 2Staphylococcus aureus | 50.0 | 16.5 ± 0.5 b | 15.4 ± 0.4 c | 15.7 ± 0.6 bc | 0.00 ± 0.0 d | 0.00 ± 0.0 d | 0.00 ± 0.0 d | 33.4 ± 0.3 a |
| 25.0 | 11.9 ± 0.1 b | 0.00 ± 0.0 d | 10.5 ± 0.5 c | 0.00 ± 0.0 d | 0.00 ± 0.0 d | 0.00 ± 0.0 d | 33.4 ± 0.3 a | |
| 12.5 | 8.8 ± 0.3 b | 0.00 ± 0.0 c | 0.00 ± 0.0 c | 0.00 ± 0.0 c | 0.00 ± 0.0 c | 0.00 ± 0.0 c | 33.4 ± 0.3 a | |
| 2Bacillus cereus | 50.0 | 19.6 ± 0.5 b | 14.3 ± 0.7 c | 14.8 ± 0.3 c | 11.4 ± 1.0 d | 9.0 ± 0.0 e | 0.00 ± 0.0 f | 33.6 ± 0.5 a |
| 25.0 | 13.0 ± 0.5 b | 12.1 ± 0.6 bc | 11.3 ± 0.6 c | 10.0 ± 1.0 d | 8.5 ± 0.5 e | 0.00 ± 0.0 f | 33.6 ± 0.5 a | |
| 12.5 | 9.5 ± 0.9 b | 9.3 ± 0.8 bc | 8.3 ± 0.5 c | 8.9 ± 0.2 bc | 8.1 ± 1.0 c | 0.00 ± 0.0 d | 33.6 ± 0.5 a | |
| 6.3 | 8.5 ± 0.1 b | 8.2 ± 0.3 bc | 7.6 ± 0.4 c | 7.7 ± 0.6 c | 7.6 ± 0.7 c | 0.00 ± 0.0 d | 33.6 ± 0.5 a | |
| 3.1 | 7.5 ± 0.1 b | 7.3 ± 0.6 b | 7.0 ± 0.0 b | 7.2 ± 0.3 b | 0.00 ± 0.0 c | 0.00 ± 0.0 c | 33.6 ± 0.5 a | |
| 1.6 | 7.3 ± 0.5 b | 7.0 ± 0.0 b | 0.00 ± 0.0 c | 0.00 ± 0.0 c | 0.00 ± 0.0 c | 0.00 ± 0.0 c | 33.6 ± 0.5 a | |
Disclaimer/Publisher’s Note: The statements, opinions and data contained in all publications are solely those of the individual author(s) and contributor(s) and not of MDPI and/or the editor(s). MDPI and/or the editor(s) disclaim responsibility for any injury to people or property resulting from any ideas, methods, instructions or products referred to in the content. |
© 2023 by the authors. Licensee MDPI, Basel, Switzerland. This article is an open access article distributed under the terms and conditions of the Creative Commons Attribution (CC BY) license (https://creativecommons.org/licenses/by/4.0/).
Share and Cite
Vega-Galvez, A.; Uribe, E.; Pasten, A.; Camus, J.; Gomez-Perez, L.S.; Mejias, N.; Vidal, R.L.; Grunenwald, F.; Aguilera, L.E.; Valenzuela-Barra, G. Comprehensive Evaluation of the Bioactive Composition and Neuroprotective and Antimicrobial Properties of Vacuum-Dried Broccoli (Brassica oleracea var. italica) Powder and Its Antioxidants. Molecules 2023, 28, 766. https://doi.org/10.3390/molecules28020766
Vega-Galvez A, Uribe E, Pasten A, Camus J, Gomez-Perez LS, Mejias N, Vidal RL, Grunenwald F, Aguilera LE, Valenzuela-Barra G. Comprehensive Evaluation of the Bioactive Composition and Neuroprotective and Antimicrobial Properties of Vacuum-Dried Broccoli (Brassica oleracea var. italica) Powder and Its Antioxidants. Molecules. 2023; 28(2):766. https://doi.org/10.3390/molecules28020766
Chicago/Turabian StyleVega-Galvez, Antonio, Elsa Uribe, Alexis Pasten, Javiera Camus, Luis S. Gomez-Perez, Nicol Mejias, René L. Vidal, Felipe Grunenwald, Lorgio E. Aguilera, and Gabriela Valenzuela-Barra. 2023. "Comprehensive Evaluation of the Bioactive Composition and Neuroprotective and Antimicrobial Properties of Vacuum-Dried Broccoli (Brassica oleracea var. italica) Powder and Its Antioxidants" Molecules 28, no. 2: 766. https://doi.org/10.3390/molecules28020766
APA StyleVega-Galvez, A., Uribe, E., Pasten, A., Camus, J., Gomez-Perez, L. S., Mejias, N., Vidal, R. L., Grunenwald, F., Aguilera, L. E., & Valenzuela-Barra, G. (2023). Comprehensive Evaluation of the Bioactive Composition and Neuroprotective and Antimicrobial Properties of Vacuum-Dried Broccoli (Brassica oleracea var. italica) Powder and Its Antioxidants. Molecules, 28(2), 766. https://doi.org/10.3390/molecules28020766

